Crude Protein Degradation Kinetics of Selected Tropical Forages in Buffalo Using NorFor In Situ Standards
Simple Summary
Abstract
1. Introduction
2. Materials and Methods
2.1. Forage Sampling and Processing
2.2. Management of Experimental Animals
2.3. In Situ Incubation and Degradation Profiles
2.4. Chemical Analyses
2.5. Data Analysis and Curve Fitting
2.6. Statistical Analysis
3. Results
3.1. Chemical Composition of Forage Family
3.2. Degradation Parameters and Effective CPD by Forage Species and Family
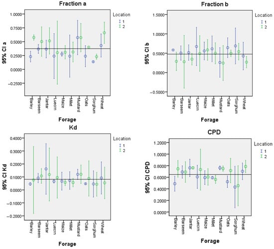
3.3. Degradation Parameters and Effective CPD by Location
3.4. Relationship Between CPD and Rate of Degradation
4. Discussion
4.1. Chemical Composition of Forage Family
4.2. Degradation Parameters and Effective CPD by Forage Species and Family
4.3. Degradation Parameters and Effective CPD by Location
4.4. Relationship Between CPD and Rate of Degradation
5. Conclusions
Author Contributions
Funding
Institutional Review Board Statement
Informed Consent Statement
Data Availability Statement
Acknowledgments
Conflicts of Interest
References
- Singh, T.; Ramakrishnan, S.; Mahanta, S.K.; Tyagi, V.C.; Roy, A.K. Tropical forage legumes in India: Status and scope for sustaining livestock production. In Forage Groups; Edvan, R.L.E., Santos, M., Eds.; Intechopen: London, UK, 2018; pp. 123–143. [Google Scholar]
- Tahir, M.N.; Ihsan, M.Z.; Siddiqui, M.H.; Haque, M.N.U.; Zahra, N.; Chattha, W.S.; Bajwa, A.A. Appraisal of spatial distribution and fibre degradability of cereal-legume fodders to enhance the sustainability of livestock feed supply in sub-tropics. Sustainability 2024, 16, 4070. [Google Scholar] [CrossRef]
- Mudau, H.S.; Mokoboki, H.K.; Ravhuhali, K.E.; Mkhize, Z. Nutrients profile of 52 browse species found in semi-arid areas of South Africa for livestock production: Effect of harvesting site. Plants 2021, 10, 2127. [Google Scholar] [CrossRef]
- Gallardo, I.; Bárcena, R.; Pinos-Rodríguez, J.M.; Cobos, M.; Carreón, L.; Ortega, M.E. Influence of exogenous fibrolytic enzymes on in vitro and in sacco degradation of forages for ruminants. Ital. J. Anim. Sci. 2010, 9, e8. [Google Scholar] [CrossRef]
- Miranda, L.F.; Rodriguez, N.M.; Pereira, E.S.; Queiroz, A.C.d.; Sainz, R.D.; Pimentel, P.G.; Gontijo Neto, M.M. Chemical composition and ruminal degradation kinetics of crude protein and amino acids, and intestinal digestibility of amino acids from tropical forages. Rev. Bras. Zootec. 2012, 41, 717–725. [Google Scholar] [CrossRef]
- Veloso, C.M.; Rodriguez, N.M.; de Carvalho, G.G.P.; Pires, A.J.V.; Mourao, G.B.; Gonçalves, L.C.; Sampaio, I.B.M. Ruminal degradabilities of dry matter and crude protein of tropical forages. Rev. Bras. Zootec. 2006, 35, 613–617. [Google Scholar] [CrossRef]
- Tahir, M.N.; Khan, Z.; Khan, N.A.; Saima, S.; Kamran, Z.; Inal, F. Dry matter degradation kinetics of selected tropical forage in Nili-Ravi buffalo and Cholistani cows at heifer and lactating stages using NorFor in situ standards. J. Zool. Res. 2019, 1, 10–19. [Google Scholar] [CrossRef]
- Zhang, J.; Yin, B.; Xie, Y.; Li, J.; Yang, Z.; Zhang, G. Legume-cereal intercropping improves forage yield, quality and degradability. PLoS ONE 2015, 10, e0144813. [Google Scholar] [CrossRef] [PubMed]
- Navarro Ortiz, C.A.; Roa Vega, M.L. Determination of in vitro digestibility of forage species used in ruminant feeding. Trop. Anim. Health Prod. 2020, 52, 3045–3059. [Google Scholar] [CrossRef]
- Sarwar, M.; Khan, M.; Nisa, M.; Bhatti, S.; Shahzad, M. Nutritional management for buffalo production. Asian-Australas. J. Anim. Sci. 2009, 22, 1060–1068. [Google Scholar] [CrossRef]
- Wanapat, M.; Kang SungChhang, K.S.; Phesatcha, K. Enhancing buffalo production efficiency through rumen manipulation and nutrition. Buffalo Bull. 2013, 32, 258–275. [Google Scholar]
- Åkerlind, M.; Weisbjerg, M.; Eriksson, T.; Tøgersen, R.; Udén, P.; Ólafsson, B.; Harstad, O.; Volden, H. Feed analyses and digestion methods. In NorFor-The Nordic Feed Evaluation System; Wageningen Academic: Wageningen, The Netherlands, 2011; pp. 41–54. [Google Scholar]
- Dumas, J. Procédés de l’analyse organique. Ann. Chim. Phys. 1831, 47, 198–205. [Google Scholar]
- Van Soest, P.J.; Robertson, J.B.; Lewis, B.A. Methods for dietary fiber, neutral detergent fiber, and nonstarch polysaccharides in relation to animal nutrition. J. Dairy Sci. 1991, 74, 3583–3597. [Google Scholar] [CrossRef]
- Mertens, D.R. Gravimetric determination of amylase-treated neutral detergent fiber in feeds with refluxing in beakers or crucibles: Collaborative study. J. AOAC Int. 2002, 85, 1217–1240. [Google Scholar] [PubMed]
- Ørskov, E.-R.; McDonald, I. The estimation of protein degradability in the rumen from incubation measurements weighted according to rate of passage. J. Agric. Sci. 1979, 92, 499–503. [Google Scholar] [CrossRef]
- Hvelplund, T.; Weisbjerg, M.R. In situ techniques for the estimation of protein degradability and postrumen availability. In Forage Evaluation in Ruminant Nutrition; Givens, D.I., Owen, E., Axford, R.F.E., Omed, H.M., Eds.; CABI Publishing: Oxon, UK, 2000; pp. 233–258. [Google Scholar]
- Sarwar, M.; Mahmood, S.; Abbas, W.; Ali, C. In situ ruminal degradation kinetics of forages and feed byproducts in male Nili-Ravi buffalo calves. Asian-Australas. J. Anim. Sci. 1996, 9, 533–538. [Google Scholar] [CrossRef]
- Singh, S.; Kushwaha, B.; Nag, S.; Mishra, A.; Singh, A.; Anele, U. In vitro ruminal fermentation, protein and carbohydrate fractionation, methane production and prediction of twelve commonly used Indian green forages. Anim. Feed Sci. Technol. 2012, 178, 2–11. [Google Scholar] [CrossRef]
- Rehman, S.; Nizam, S.; Saima Rubab, S.B.; Wei, X. Evaluation of protein content in some fodder crops. Hamdard Med. 2023, 66, 1–14. [Google Scholar]
- Habib, G.; Khan, N.; Ali, M.; Bezabih, M. In situ ruminal crude protein degradability of by-products from cereals, oilseeds and animal origin. Livest. Sci. 2013, 153, 81–87. [Google Scholar] [CrossRef]
- Valderrama, X.L.; Anrique, R.G. In situ rumen degradation kinetics of high-protein forage crops in temperate climates. Chil. J. Agric. Res. 2011, 71, 572. [Google Scholar] [CrossRef]
- Das, L.K.; Kundu, S.; Kumar, D.; Datt, C. Fractionation of carbohydrate and protein content of some forage feeds of ruminants for nutritive evaluation. Vet. World 2015, 8, 197. [Google Scholar] [CrossRef] [PubMed]
- Kaithwas, M.; Singh, S.; Prusty, S.; Mondal, G.; Kundu, S. Evaluation of legume and cereal fodders for carbohydrate and protein fractions, nutrient digestibility, energy and forage quality. Range Manag. Agrofor. 2020, 41, 126–132. [Google Scholar]
- Singh, S.; Joshi, D.; Kumar, R. Carbohydrate and protein fractions, nutritive value and energetic efficiency in different sorghum accessions. Range Manag. Agrofor. 2018, 39, 251–259. [Google Scholar]
- Islas, A.; Soto-Navarro, S. Effect of supplementation of dried distillers grains with solubles on forage intake and characteristics of digestion of beef heifers grazing small-grain pasture. J. Anim. Sci. 2011, 89, 1229–1237. [Google Scholar] [CrossRef]
- Aufrère, J.; Graviou, D.; Baumont, R.; Detour, A.; Demarquilly, C. Degradation in the rumen of proteins from fresh lucerne forage in various stages of growth and conserved as silage or hay. Anim. Res. 2000, 49, 461–474. [Google Scholar] [CrossRef]
- Singh, K.; Das, M.; Samanta, A.; Kundu, S.; Sharma, S. Evaluation of certain feed resources for carbohydrate and protein fractions and in situ digestion characteristics. Indian J. Anim. Sci. 2002, 72, 794–797. [Google Scholar]
- Gerdes, L.; Barbosa, C.M.P.; Giacomini, A.A.; Mattos, W.T.d.; Gimenes, F.M.d.A.; Batista, K.; Uzan, B.Z. Introduction of forage legumes into Aruana Guineagrass pasture. Bol. De Indústria Anim. 2020, 77, 1–10. [Google Scholar] [CrossRef]
- Iommelli, P.; Zicarelli, F.; Musco, N.; Sarubbi, F.; Grossi, M.; Lotito, D.; Lombardi, P.; Infascelli, F.; Tudisco, R. Effect of cereals and legumes processing on in situ rumen protein degradability: A review. Fermentation 2022, 8, 363. [Google Scholar] [CrossRef]
- Musco, N.; Koura, I.B.; Tudisco, R.; Awadjihè, G.; Adjolohoun, S.; Cutrignelli, M.I.; Mollica, M.P.; Houinato, M.; Infascelli, F.; Calabrò, S. Nutritional characteristics of forage grown in south of Benin. Asian-Australas. J. Anim. Sci. 2016, 29, 51–61. [Google Scholar] [CrossRef] [PubMed]
- Foster, J.; Carter, J.; Sollenberger, L.; Blount, A.; Myer, R.; Maddox, M.; Phatak, S.; Adesogan, A. Nutritive value, fermentation characteristics, and in situ disappearance kinetics of ensiled warm-season legumes and bahiagrass. J. Dairy Sci. 2011, 94, 2042–2050. [Google Scholar] [CrossRef] [PubMed]
- Choudhary, S.; Guha, A.; Kholova, J.; Pandravada, A.; Messina, C.D.; Cooper, M.; Vadez, V. Maize, sorghum, and pearl millet have highly contrasting species strategies to adapt to water stress and climate change-like conditions. Plant Sci. 2020, 295, 110297. [Google Scholar] [CrossRef]
- Hadebe, S.; Modi, A.; Mabhaudhi, T. Drought tolerance and water use of cereal crops: A focus on sorghum as a food security crop in sub—Saharan Africa. J. Agron. Crop Sci. 2017, 203, 177–191. [Google Scholar] [CrossRef]
- Rao, I.M.; Ayarza, M.A.; García, R. Adaptive attributes of tropical forage species to acid soils I. Differences in plant growth, nutrient acquisition and nutrient utilization among C4 grasses and C3 legumes. J. Plant Nutr. 1995, 18, 2135–2155. [Google Scholar] [CrossRef]
- Gunasekera, C.; Martin, L.; Siddique, K.; Walton, G. Genotype by environment interactions of Indian mustard (Brassica juncea L.) and canola (B. napus L.) in Mediterranean-type environments: 1. Crop growth and seed yield. Eur. J. Agron. 2006, 25, 1–12. [Google Scholar] [CrossRef]
- Fernandes, G.A.; de Assis, J.R.; da Silva, E.B.; Morales, R.L.; Costa, F.M.; Olini, L.M.G.; da Conceição Padilha, V.H.T.; Nunes, D.; Dias, M.R. Influence of the time of the year on the nutritional value of forage consumed by beef cattle raised on grassland. Sci. Electron. Arch. 2022, 15. [Google Scholar] [CrossRef]
- Gruber, L.; Taferner, K.; Haberl, L.; Maierhofer, G.; Gasteiner, J.; Urdl, M. Ruminal in situ degradation as well as crude protein and carbohydrate fractions of CNCPS of forage maize depending on vegetative stage, variety, conservation and site. In Proceedings of the 15th International Science Symposium on Nutrition of Domestic Animals, Zadravec-Erjavec Days’, Radenci, Slovenia, 9–10 November 2006. [Google Scholar]
- Kaufman, R.; Wilson, J.; Bean, S.; Galant, A.; Perumal, R.; Tesso, T.; Herald, T.; Shi, Y.C. Influence of genotype × location interaction on grain sorghum grain chemistry and digestibility. Agron. J. 2018, 110, 1681–1688. [Google Scholar] [CrossRef]
- Roukos, C.; Koutsoukis, C.; Akrida-Demertzi, K.; Karatassiou, M.; Demertzis, G.; Kandrelis, S. The effect of altitudinal zone on soil properties, species composition and forage production in a subalpine grassland in northwest Greece. Appl. Ecol. Environ. Res. 2017, 15, 609–626. [Google Scholar] [CrossRef]
- Dongdong, C.; Qi, L.; Zhe, L.; Fuquan, H.; Xin, C.; Shixiao, X.; Xinquan, Z.; Liang, Z. Variations of forage yield and nutrients with altitude gradients and their influencing factors in alpine meadow of Sanjiangyuan, China. J. Soil Sci. Plant Nutr. 2020, 20, 2164–2174. [Google Scholar] [CrossRef]
- Pembleton, K.; Cullen, B.; Rawnsley, R.; Ramilan, T. Climate change effects on pasture-based dairy systems in south-eastern Australia. Crop. Pasture Sci. 2020, 72, 666–677. [Google Scholar] [CrossRef]
- Buxton, D.R. Quality-related characteristics of forages as influenced by plant environment and agronomic factors. Anim. Feed Sci. Technol. 1996, 59, 37–49. [Google Scholar] [CrossRef]
- Vázquez-de-Aldana, B.R.; García-Ciudad, A.; García-Criado, B. Interannual variations of above-ground biomass and nutritional quality of Mediterranean grasslands in Western Spain over a 20-year period. Aust. J. Agric. Res. 2008, 59, 769–779. [Google Scholar] [CrossRef]
- Niklas, K.J. Plant allometry, leaf nitrogen and phosphorus stoichiometry, and interspecific trends in annual growth rates. Ann. Bot. 2006, 97, 155–163. [Google Scholar] [CrossRef] [PubMed]
- Li, X.; An, J.; Hou, X. Effects of six consecutive years of irrigation and phosphorus fertilization on alfalfa yield. Plants 2023, 12, 2227. [Google Scholar] [CrossRef] [PubMed]
- Enriquez-Hidalgo, D.; Barrera, K.; Rivero, M.; Merino, V.; Teixeira, D.; Vargas-Bello-Pérez, E. Effect of Feeding Lucerne and a Mixed Diet of Oats and Berseem Clover as a Source of Fresh Forage on Ruminal Characteristics and Nitrogen Use Efficiency in Dairy Cows during the Winter Period. Ruminants 2022, 2, 212–225. [Google Scholar] [CrossRef]
- Seibt, D.C.; Olivo, C.J.; Alessio, V.; Sauter, C.P.; Bratz, V.F.; Aguirre, P.F. Forage mass and nutritional value of elephant grass intercropped with forage legumes1. Rev. Ceres 2021, 68, 429–440. [Google Scholar] [CrossRef]
- Moore, K.J.; Jung, H.-J.G. Lignin and fiber digestion. J. Range Manag. 2001, 54, 420–430. [Google Scholar] [CrossRef]
- Gaillard, C.; Bhatti, H.S.; Novoa-Garrido, M.; Lind, V.; Roleda, M.Y.; Weisbjerg, M.R. Amino acid profiles of nine seaweed species and their in situ degradability in dairy cows. Anim. Feed Sci. Technol. 2018, 241, 210–222. [Google Scholar] [CrossRef]
- Peng, Q.; Khan, N.A.; Wang, Z.; Yu, P. Relationship of feeds protein structural makeup in common Prairie feeds with protein solubility, in situ ruminal degradation and intestinal digestibility. Anim. Feed Sci. Technol. 2014, 194, 58–70. [Google Scholar] [CrossRef]






| Parameter | OM (%) | Soil pH | Available K (mg/kg) | Available N (mg/kg) | Available P (mg/kg) | EC (dS/m) | Soil Texture | Ht (m) | PP (mm) | Topography |
|---|---|---|---|---|---|---|---|---|---|---|
| Lahore | 0.87 | 7.8 | 158 | 0.054 | 14.3 | 0.67 | Clay loam | 210 | 1000 | Flat and slope toward south |
| Rawalpindi | 1.42 | 7.9 | 112 | 0.062 | 11.12 | 0.36 | Clay loam | 530 | 1300 | Hilly sub-terrain |
| No. of Samples = 5, No. of Statistical Replicates = 2, Total No. of Observations per Feed = 10 | |
| Mean ± SD | |
| Ingredients (g/kg on fresh matter) | |
| Sorghum forage | 807.5 ± 10 |
| Lucerne hay | 141.5 ± 3 |
| Cotton seed cake | 15.0 ± 1 |
| Concentrate mixture | 35.5 |
| Forage to concentrate ratio (on DM basis) | 85:15 |
| Chemical composition (g/kg DM) | |
| DM (as fed) | 331 ± 10 |
| aNDF | 575 ± 12 |
| CP | 59.0 ± 3 |
| EE | 17.5 ± 2 |
| NFC | 234 ± 7 |
| Ash | 113 ± 6 |
| Factor | DMfresh | DMdry | aNDF | CP | EE | Ash | NFC | |
|---|---|---|---|---|---|---|---|---|
| No. of Samples = 2, No. of Statistical Replicates = 2, Total No. of Observations/Feed = 4 | ||||||||
| Species (Family) | ||||||||
| Cereal fodders | ||||||||
| Barley | 15.4 d | 95.3 bc | 639.0 a | 46.8 e | 14.3 bcd | 119.6 bcd | 180.4 b | |
| Maize | 19.6 e | 95.2 bc | 621.1 a | 55.8 e | 9.0 d | 94.9 de | 219.2 b | |
| Millet | 19.8 e | 94.4 ab | 611.3 a | 71.2 d | 15.3 bc | 104.5 cde | 197.8 b | |
| Oat | 16.5 d | 95.4 bc | 612.8 a | 52.8 e | 17.6 bc | 91.8 de | 225.0 b | |
| Sorghum | 21.9 f | 94.0 a | 607.9 a | 53.3 e | 17.3 bc | 86.7 e | 234.8 b | |
| Wheat | 15.4 b | 95.9 cd | 527.7 b | 76.8 d | 15.5 bc | 146.3 b | 233.7 b | |
| Legume fodders | ||||||||
| Berseem | 8.3 a | 96.8 d | 429.7 c | 110.3 b | 13.5 cd | 204.6 a | 241.9 b | |
| Jantar | 16.8 d | 94.4 ab | 480.9 bc | 93.7 c | 20.2 b | 79.0 e | 326.3 a | |
| Lucerne | 13.2 bc | 95.2 bc | 183.6 bc | 131.5 a | 14.7 bcd | 148.0 b | 222.1 b | |
| Mustard | 14.9 cd | 95.5 bc | 529.5 b | 80.4 cd | 28.1 a | 127.3 bc | 234.7 b | |
| SEM | 0.25 | 0.44 | 16.28 | 4.26 | 1.73 | 8.24 | 17.70 | |
| Family | ||||||||
| Cereals | 17.5 | 95.0 | 603.3 a | 59.5 b | 14.8 b | 102.3 b | 215.1 b | |
| Legumes | 13.3 | 95.5 | 480.9 b | 104.0 a | 19.1 a | 139.7 a | 256.2 a | |
| SEM | 0.22 | 0.12 | 7.39 | 1.94 | 0.77 | 3.74 | 8.03 | |
| Location | ||||||||
| Lahore | 17.0 | 95.1 | 563.8 a | 80.8 | 17.1 | 124.3 | 213.9 b | |
| Rawalpindi | 14.6 | 95.3 | 520.4 b | 82.6 | 16.8 | 122.7 | 247.5 a | |
| SEM | 0.19 | 0.11 | 7.43 | 1.94 | 0.79 | 3.76 | 8.08 | |
| Family*Location | ||||||||
| Cereals | Lahore | 19.2 | 95.2 | 644.4 b | 54.7 c | 14.7 | 105.3 | 180.9 |
| Cereals | Rawalpindi | 15.9 | 94.9 | 562.2 c | 64.2 b | 14.9 | 109.3 | 249.3 |
| Legumes | Lahore | 13.9 | 95.4 | 483.3 a | 106.9 a | 19.6 | 143.4 | 246.8 |
| Legumes | Rawalpindi | 12.8 | 95.6 | 478.6 a | 101.1 a | 18.7 | 136.0 | 265.7 |
| SEM | 0.25 | 0.17 | 10.46 | 2.74 | 1.06 | 5.00 | 11.66 | |
| p-value | ||||||||
| Species (Family) | 0.001 | 0.001 | 0.002 | 0.001 | 0.001 | 0.001 | 0.005 | |
| Family*Location | 0.001 | 0.345 | 0.001 | 0.010 | 0.576 | 0.292 | 0.039 | |
| Family | 0.001 | 0.444 | 0.001 | 0.001 | 0.001 | 0.001 | 0.001 | |
| Location | 0.001 | 0.617 | 0.001 | 0.515 | 0.764 | 0.755 | 0.007 | |
| In situ Parameters 1 | ||||||
| Factor | a | b | c | Kd | CPD2 | |
| No. of Samples = 2, No. of Statistical Replicates = 2, Total No. of Observations/Feed/Incubation Interval = 4 | ||||||
| Species (Family) | ||||||
| Cereal fodders | ||||||
| Barley | 0.403 b | 0.437 b | 0.160 abc | 0.061 cd | 0.617 bc | |
| Maize | 0.293 c | 0.572 a | 0.135 b | 0.063 cd | 0.599 bc | |
| Millet | 0.276 c | 0.556 a | 0.167 ab | 0.065 cd | 0.577 c | |
| Oats | 0.319 c | 0.570 a | 0.110 c | 0.068 bcd | 0.620 bc | |
| Sorghum | 0.183 d | 0.615 a | 0.201 a | 0.045 d | 0.443 d | |
| Wheat | 0.545 a | 0.349 b | 0.106 c | 0.073 bc | 0.745 a | |
| Legume fodders | ||||||
| Berseem | 0.435 b | 0.392 b | 0.173 ab | 0.099 b | 0.691 ab | |
| Jantar | 0.440 b | 0.432 b | 0.128 b | 0.140 a | 0.763 a | |
| Lucerne | 0.271 c | 0.583 a | 0.147 abc | 0.081 b | 0.670 ab | |
| Mustard | 0.574 a | 0.253 c | 0.173 ab | 0.120 a | 0.755 a | |
| SEM | 0.029 | 0.031 | 0.016 | 0.009 | 0.027 | |
| Family | ||||||
| Cereals | 0.336 b | 0.516 a | 0.146 | 0.062 b | 0.600 b | |
| Legumes | 0.429 a | 0.414 b | 0.155 | 0.110 a | 0.719 a | |
| SEM | 0.014 | 0.015 | 0.008 | 0.004 | 0.013 | |
| Location | ||||||
| Lahore | 0.323 b | 0.537 a | 0.139 | 0.086 | 0.630 b | |
| Rawalpindi | 0.444 a | 0.394 b | 0.162 | 0.087 | 0.689 a | |
| SEM | 0.013 | 0.014 | 0.008 | 0.004 | 0.012 | |
| Family*Location | ||||||
| Cereals | Lahore | 0.259 | 0.586 | 0.156 ab | 0.062 | 0.555 |
| Cereals | Rawalpindi | 0.415 | 0.447 | 0.138 b | 0.063 | 0.645 |
| Legumes | Lahore | 0.387 | 0.489 | 0.124 b | 0.110 | 0.705 |
| Legumes | Rawalpindi | 0.473 | 0.341 | 0.186 a | 0.110 | 0.734 |
| SEM | 0.019 | 0.020 | 0.011 | 0.006 | 0.017 | |
| p-value | ||||||
| Species (Family) | 0.001 | 0.001 | 0.004 | 0.010 | 0.001 | |
| Family | 0.001 | 0.001 | 0.441 | 0.001 | 0.001 | |
| Location | 0.001 | 0.001 | 0.044 | 0.895 | 0.002 | |
| Family*Location | 0.073 | 0.807 | 0.001 | 0.971 | 0.095 | |
| Regression Model | p-Value | R2 | SE | r |
|---|---|---|---|---|
| Cereal fodders | ||||
| Linear | 0.001 | 0.44 | 0.088 | 0.66 |
| Quadratic | 0.01 | 0.46 | 0.088 | |
| Cubic | 0.04 | 0.47 | 0.089 | |
| Legume fodders | ||||
| Linear | 0.001 | 0.60 | 0.035 | 0.78 |
| Quadratic | 0.001 | 0.79 | 0.027 | |
| Cubic | 0.001 | 0.81 | 0.027 | |
Disclaimer/Publisher’s Note: The statements, opinions and data contained in all publications are solely those of the individual author(s) and contributor(s) and not of MDPI and/or the editor(s). MDPI and/or the editor(s) disclaim responsibility for any injury to people or property resulting from any ideas, methods, instructions or products referred to in the content. |
© 2025 by the authors. Licensee MDPI, Basel, Switzerland. This article is an open access article distributed under the terms and conditions of the Creative Commons Attribution (CC BY) license (https://creativecommons.org/licenses/by/4.0/).
Share and Cite
Riaz, R.; Bilal, R.M.; Hassan, M.U.; Todaro, M.; Gannuscio, R.; Inal, F.; Haque, M.N.U.; Tahir, M.N. Crude Protein Degradation Kinetics of Selected Tropical Forages in Buffalo Using NorFor In Situ Standards. Animals 2025, 15, 585. https://doi.org/10.3390/ani15040585
Riaz R, Bilal RM, Hassan MU, Todaro M, Gannuscio R, Inal F, Haque MNU, Tahir MN. Crude Protein Degradation Kinetics of Selected Tropical Forages in Buffalo Using NorFor In Situ Standards. Animals. 2025; 15(4):585. https://doi.org/10.3390/ani15040585
Chicago/Turabian StyleRiaz, Roshan, Rana Muhammad Bilal, Mahmood Ul Hassan, Massimo Todaro, Riccardo Gannuscio, Fatma Inal, Muhammad Naveed Ul Haque, and Muhammad Naeem Tahir. 2025. "Crude Protein Degradation Kinetics of Selected Tropical Forages in Buffalo Using NorFor In Situ Standards" Animals 15, no. 4: 585. https://doi.org/10.3390/ani15040585
APA StyleRiaz, R., Bilal, R. M., Hassan, M. U., Todaro, M., Gannuscio, R., Inal, F., Haque, M. N. U., & Tahir, M. N. (2025). Crude Protein Degradation Kinetics of Selected Tropical Forages in Buffalo Using NorFor In Situ Standards. Animals, 15(4), 585. https://doi.org/10.3390/ani15040585

