Feasibility Evaluation of Dried Whole Egg Powder Application in Tadpole (Lithobates catesbeianus) Feed: Effects on Growth, Metamorphosis Rate, Lipid Metabolism and Intestinal Flora
Simple Summary
Abstract
1. Introduction
2. Materials and Methods
2.1. Experimental Feeds
2.2. Feeding Management
2.3. Determination of Growth Indices
2.4. Ingredient Content and Liver Slices
2.5. Hepatic Lipid Metabolism and Antioxidant Biochemical Indicators
2.6. Determination of Intestinal Flora
2.7. Data Processing
3. Results
3.1. Growth Data of Tadpoles
3.2. Hepatic Crude Fat Content of Tadpoles and the Structure of the Liver
3.3. Biochemical Indicators Related to Lipid Metabolism in the Liver
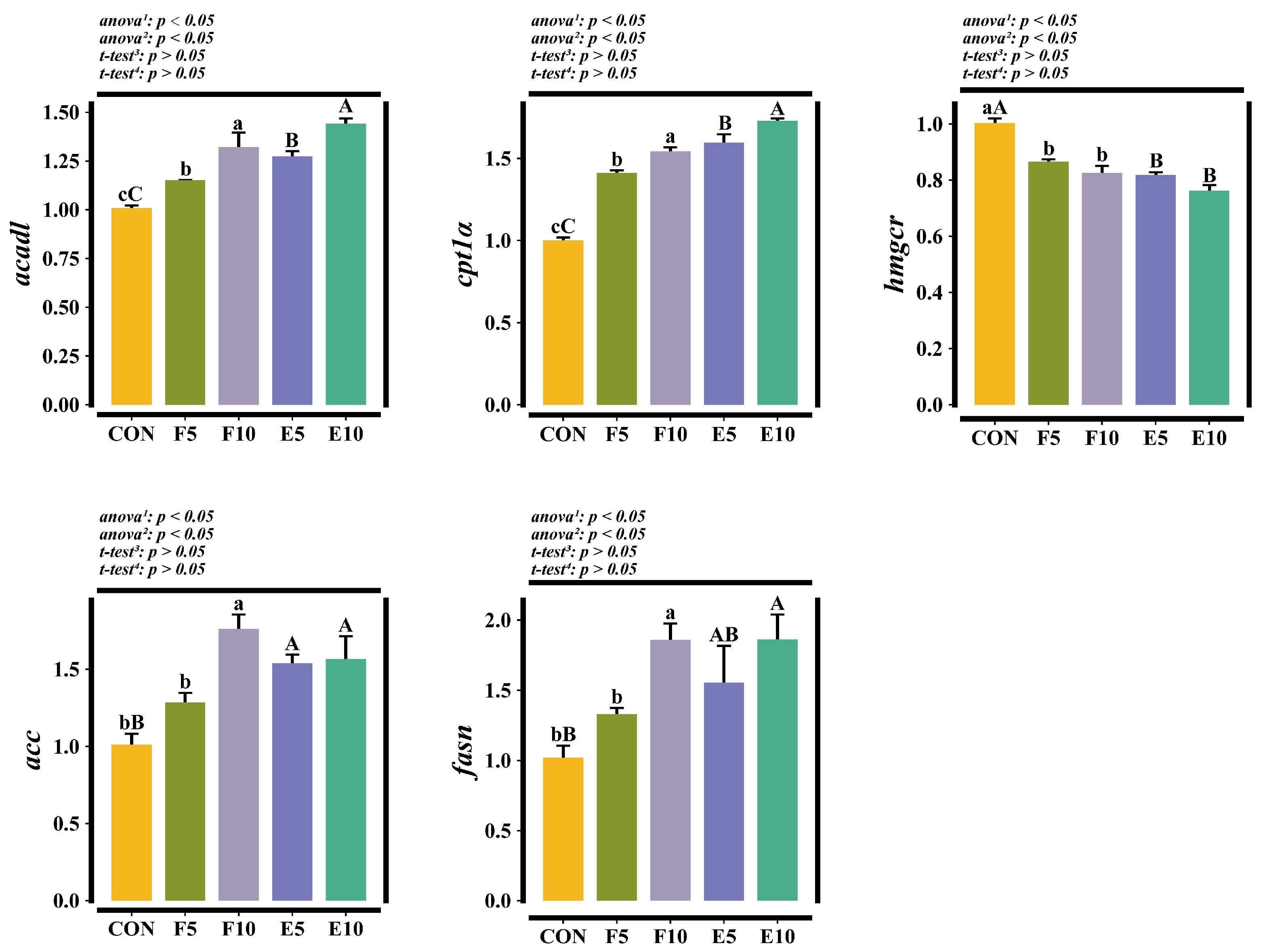
3.4. Relative Expression Levels of Hepatic Genes
3.5. Enzyme Activity Related to Antioxidant Capacity in the Liver
3.6. Gut Microbial Community Alteration
4. Discussion
4.1. Effects of Different Levels of FM and DWEP on the Growth Performance of Tadpoles
4.2. Effects of Different Levels of FM and DWEP on the Lipid Metabolism of Tadpoles
4.3. Effects of Different Levels of FM and DWEP on the Antioxidant Properties of Tadpoles
4.4. Effects of Different Levels of FM and DWEP on the Intestinal Flora of Tadpoles
5. Conclusions
Author Contributions
Funding
Institutional Review Board Statement
Informed Consent Statement
Data Availability Statement
Conflicts of Interest
References
- Zhu, Y.; Bao, M.; Chen, C.; Yang, X.; Yan, W.; Ren, F.; Wang, P.; Wen, P. Comparison of the Nutritional Composition of Bullfrog Meat from Different Parts of the Animal. Food Sci. Anim. Resour. 2021, 41, 1049–1059. [Google Scholar] [CrossRef] [PubMed]
- Pryor, G.S. Tadpole nutritional ecology and digestive physiology: Implications for captive rearing of larval anurans. Zoo Biol. 2014, 33, 502–507. [Google Scholar] [CrossRef] [PubMed]
- Wright, M.L.; Frim, E.K.; Bonak, V.A.; Baril, C. Metamorphic rate in Rana pipiens larvae treated with thyroxine or prolactin at different times in the light/dark cycle. Gen. Comp. Endocrinol. 1986, 63, 51–61. [Google Scholar] [CrossRef] [PubMed]
- Carmona-Osalde, C.; Olvera-Novoa, M.A.; Rodríguez-Serna, M.; Flores-Nava, A. Estimation of the protein requirement for bullfrog (Rana catesbeiana) tadpoles, and its effect on metamorphosis ratio. Aquaculture 1996, 141, 223–231. [Google Scholar] [CrossRef]
- Bellakhal, M.; Neveu, A.; Fartouna-Bellakhal, M.; Missaoui, H.; Aleya, L. Effects of temperature, density and food quality on larval growth and metamorphosis in the north African green frog Pelophylax saharicus. J. Therm. Biol. 2014, 45, 81–86. [Google Scholar] [CrossRef] [PubMed]
- Zhu, B.; Zhong, L.; Shao, C.; Xu, W.; Xiang, S.; Fu, S.; Hu, Y. Effects of dietary lipid and protein levels on metamorphosis, growth, metabolism and gut microbiota of tadpole (Lithobates catesbeianus). Aquaculture 2024, 587, 740900. [Google Scholar] [CrossRef]
- Nik Sin, N.N.; Mustafa, S.; Suyono; Shapawi, R. Efficient utilization of poultry by-product meal-based diets when fed to giant freshwater prawn, Macrobrachium rosenbergii. J. Appl. Aquac. 2020, 33, 53–72. [Google Scholar] [CrossRef]
- Adelina, A.; Feliatra, F.; Siregar, Y.I.; Putra, I.; Suharman, I. Use of chicken feather meal fermented with Bacillus subtilis in diets to increase the digestive enzymes activity and nutrient digestibility of silver pompano Trachinotus blochii (Lacepede, 1801). F1000Res 2021, 10, 25. [Google Scholar] [CrossRef]
- Xie, M.; Xie, Y.; Li, Y.; Zhou, W.; Zhang, Z.; Yang, Y.; Olsen, R.E.; Ran, C.; Zhou, Z. The effects of fish meal replacement with ultra-micro ground mixed plant proteins (uPP) in practical diet on growth, gut and liver health of common carp (Cyprinus carpio). Aquac. Rep. 2021, 19, 100558. [Google Scholar] [CrossRef]
- Fang, K.; Wu, F.; Chen, G.; Dong, H.; Li, J.; Zhao, Y.; Xu, L.; Zou, X.; Lu, F.-e. Diosgenin ameliorates palmitic acid-induced lipid accumulation via AMPK/ACC/CPT-1A and SREBP-1c/FAS signaling pathways in LO2 cells. BMC Complement. Altern. Med. 2019, 19, 255. [Google Scholar] [CrossRef] [PubMed]
- Oliver, W.T.; Wells, J.E.; Maxwell, C.V. Lysozyme as an alternative to antibiotics improves performance in nursery pigs during an indirect immune challenge. J. Anim. Sci. 2014, 92, 4927–4934. [Google Scholar] [CrossRef] [PubMed]
- Pereira, E.P.V.; van Tilburg, M.F.; Florean, E.; Guedes, M.I.F. Egg yolk antibodies (IgY) and their applications in human and veterinary health: A review. Int. Immunopharmacol. 2019, 73, 293–303. [Google Scholar] [CrossRef]
- Alves-Bezerra, M.; Cohen, D.E. Triglyceride Metabolism in the Liver. Compr. Physiol. 2017, 8, 1–8. [Google Scholar] [CrossRef]
- Zhu, W.; Zhang, M.; Chang, L.; Zhu, W.; Li, C.; Xie, F.; Zhang, H.; Zhao, T.; Jiang, J. Characterizing the composition, metabolism and physiological functions of the fatty liver in Rana omeimontis tadpoles. Front. Zool. 2019, 16, 42. [Google Scholar] [CrossRef] [PubMed]
- Yang, L.; Liu, M.; Zhao, M.; Zhi, S.; Zhang, W.; Qu, L.; Xiong, J.; Yan, X.; Qin, C.; Nie, G.; et al. Dietary Bile Acid Supplementation Could Regulate the Glucose, Lipid Metabolism, and Microbiota of Common Carp (Cyprinus carpio L.) Fed with a High-Lipid Diet. Aquac. Nutr. 2023, 2023, 9953927. [Google Scholar] [CrossRef] [PubMed]
- Zhu, B.; Shao, C.; Xu, W.; Dai, J.; Fu, G.; Hu, Y. Effects of Thyroid Powder on Tadpole (Lithobates catesbeiana) Metamorphosis and Growth: The Role of Lipid Metabolism and Gut Microbiota. Animals 2024, 14, 208. [Google Scholar] [CrossRef] [PubMed]
- Sun, F.; Chen, J.; Liu, K.; Tang, M.; Yang, Y. The avian gut microbiota: Diversity, influencing factors, and future directions. Front. Microbiol. 2022, 13, 934272. [Google Scholar] [CrossRef] [PubMed]
- Mishra, R.; Tripathi, M.; Tripathi, N.; Singh, J.; Tiwari, S. Nutritional and Anti-Nutritional Factors in Soybean. Acta Sci. Agric. 2024, 8, 46–63. [Google Scholar]
- Lei, Y.; Kim, I.H. Effect of whole egg powder on growth performance, blood cell counts, nutrient digestibility, relative organ weights, and meat quality in broiler chickens. Livest. Sci. 2013, 158, 124–128. [Google Scholar] [CrossRef]
- Yang, S.T.; Kreutzberger, A.J.B.; Lee, J.; Kiessling, V.; Tamm, L.K. The role of cholesterol in membrane fusion. Chem. Phys. Lipids 2016, 199, 136–143. [Google Scholar] [CrossRef] [PubMed]
- Xu, Z.; Liu, P.; Li, H.; Zhang, M.; Wu, Q. In vitro study on electrospun lecithin-based poly (L-lactic acid) scaffolds and their biocompatibility. J. Biomater. Sci. Polym. Ed. 2020, 31, 2285–2298. [Google Scholar] [CrossRef]
- Cheng, H.M.; Mah, K.K.; Seluakumaran, K. Fat Digestion: Bile Salt, Emulsification, Micelles, Lipases, Chylomicrons. In Defining Physiology: Principles, Themes, Concepts. Volume 2: Neurophysiology and Gastrointestinal Systems; Springer: Berlin/Heidelberg, Germany, 2020; pp. 63–65. [Google Scholar] [CrossRef]
- Voon, P.T.; Ng, C.M.; Ng, Y.T.; Wong, Y.J.; Yap, S.Y.; Leong, S.L.; Yong, X.S.; Lee, S.W.H. Health Effects of Various Edible Vegetable Oils: An Umbrella Review. Adv. Nutr. 2024, 15, 100276. [Google Scholar] [CrossRef] [PubMed]
- Yaoita, Y. Tail Resorption During Metamorphosis in Xenopus Tadpoles. Front. Endocrinol. 2019, 10, 143. [Google Scholar] [CrossRef]
- Paul, B.; Sterner, Z.R.; Buchholz, D.R.; Shi, Y.-B.; Sachs, L.M. Thyroid and Corticosteroid Signaling in Amphibian Metamorphosis. Cells 2022, 11, 1595. [Google Scholar] [CrossRef] [PubMed]
- Kuang, H.; Yang, F.; Zhang, Y.; Wang, T.; Chen, G. The Impact of Egg Nutrient Composition and Its Consumption on Cholesterol Homeostasis. Cholesterol 2018, 2018, 6303810. [Google Scholar] [CrossRef] [PubMed]
- Cho, J.H.; Kim, I.H. Fish meal—Nutritive value. J. Anim. Physiol. Anim. Nutr. 2011, 95, 685–692. [Google Scholar] [CrossRef] [PubMed]
- Babić Leko, M.; Jureško, I.; Rozić, I.; Pleić, N.; Gunjača, I.; Zemunik, T. Vitamin D and the Thyroid: A Critical Review of the Current Evidence. Int. J. Mol. Sci. 2023, 24, 3586. [Google Scholar] [CrossRef] [PubMed]
- Taheriniya, S.; Arab, A.; Hadi, A.; Fadel, A.; Askari, G. Vitamin D and thyroid disorders: A systematic review and Meta-analysis of observational studies. BMC Endocr. Disord. 2021, 21, 171. [Google Scholar] [CrossRef]
- Cerqueira, N.M.; Oliveira, E.F.; Gesto, D.S.; Santos-Martins, D.; Moreira, C.; Moorthy, H.N.; Ramos, M.J.; Fernandes, P.A. Cholesterol Biosynthesis: A Mechanistic Overview. Biochemistry 2016, 55, 5483–5506. [Google Scholar] [CrossRef] [PubMed]
- Bonett, R.M.; Hoopfer, E.D.; Denver, R.J. Molecular mechanisms of corticosteroid synergy with thyroid hormone during tadpole metamorphosis. Gen. Comp. Endocrinol. 2010, 168, 209–219. [Google Scholar] [CrossRef] [PubMed]
- Luongo, C.; Dentice, M.; Salvatore, D. Deiodinases and their intricate role in thyroid hormone homeostasis. Nat. Rev. Endocrinol. 2019, 15, 479–488. [Google Scholar] [CrossRef] [PubMed]
- Yu, J.E.; Han, S.Y.; Wolfson, B.; Zhou, Q. The role of endothelial lipase in lipid metabolism, inflammation, and cancer. Histol. Histopathol. 2018, 33, 1–10. [Google Scholar] [CrossRef] [PubMed]
- Houten, S.M.; Violante, S.; Ventura, F.V.; Wanders, R.J. The Biochemistry and Physiology of Mitochondrial Fatty Acid β-Oxidation and Its Genetic Disorders. Annu. Rev. Physiol. 2016, 78, 23–44. [Google Scholar] [CrossRef] [PubMed]
- Günenc, A.N.; Graf, B.; Stark, H.; Chari, A. Fatty Acid Synthase: Structure, Function, and Regulation. In Macromolecular Protein Complexes IV: Structure and Function; Springer: Berlin/Heidelberg, Germany, 2022; pp. 1–33. [Google Scholar] [CrossRef]
- Men, X.; Han, X.; Lee, S.J.; Oh, G.; Park, K.T.; Han, J.K.; Choi, S.I.; Lee, O.H. Anti-Obesogenic Effects of Sulforaphane-Rich Broccoli (Brassica oleracea var. italica) Sprouts and Myrosinase-Rich Mustard (Sinapis alba L.) Seeds In Vitro and In Vivo. Nutrients 2022, 14, 3814. [Google Scholar] [CrossRef] [PubMed]
- Zhao, X.; Qin, W.; Jiang, Y.; Yang, Z.; Yuan, B.; Dai, R.; Shen, H.; Chen, Y.; Fu, J.; Wang, H. ACADL plays a tumor-suppressor role by targeting Hippo/YAP signaling in hepatocellular carcinoma. NPJ Precis. Oncol. 2020, 4, 7. [Google Scholar] [CrossRef]
- Shao, W.; Espenshade, P.J. Lipids|Cholesterol Synthesis and Regulation In Encyclopedia of Biological Chemistry III, 3rd ed.; Elsevier: Amsterdam, The Netherlands, 2021; pp. 732–738. [Google Scholar] [CrossRef]
- Zhu, T.; Ai, Q.; Mai, K.; Xu, W.; Zhou, H.; Liufu, Z. Feed intake, growth performance and cholesterol metabolism in juvenile turbot (Scophthalmus maximus L.) fed defatted fish meal diets with graded levels of cholesterol. Aquaculture 2014, 428–429, 290–296. [Google Scholar] [CrossRef]
- Mejia, E.M.; Hatch, G.M. Mitochondrial phospholipids: Role in mitochondrial function. J. Bioenerg. Biomembr. 2016, 48, 99–112. [Google Scholar] [CrossRef]
- Braun, V.; Hantke, K. Lipoproteins: Structure, Function, Biosynthesis. Subcell. Biochem. 2019, 92, 39–77. [Google Scholar] [CrossRef] [PubMed]
- Ghosh, N.; Das, A.; Chaffee, S.; Roy, S.; Sen, C.K. Chapter 4—Reactive Oxygen Species, Oxidative Damage and Cell Death. Immun. Inflamm. Health Dis. 2018, 11, 45–55. [Google Scholar] [CrossRef]
- Adwas, A.; Elsayed, A.; Azab, A.; Quwaydir, F. Oxidative stress and antioxidant mechanisms in human body. J. Biotechnol. 2019, 6, 43–47. [Google Scholar] [CrossRef]
- Dharmajaya, R.; Sari, D.K. Malondialdehyde value as radical oxidative marker and endogenous antioxidant value analysis in brain tumor. Ann. Med. Surg. 2022, 77, 103231. [Google Scholar] [CrossRef]
- Silvestrini, A.; Meucci, E.; Ricerca, B.M.; Mancini, A. Total Antioxidant Capacity: Biochemical Aspects and Clinical Significance. Int. J. Mol. Sci. 2023, 24, 10978. [Google Scholar] [CrossRef]
- Wang, S.; Bai, H.; Liu, T.; Yang, J.; Wang, Z. Optimization of concentrations of different n-3PUFAs on antioxidant capacity in mouse hepatocytes. Lipids Health Dis. 2024, 23, 214. [Google Scholar] [CrossRef] [PubMed]
- Taghavizadeh, M.; Shekarabi, S.P.H.; Mehrgan, M.S.; Islami, H.R. Efficacy of dietary lysophospholipids (Lipidol™) on growth performance, serum immuno-biochemical parameters, and the expression of immune and antioxidant-related genes in rainbow trout (Oncorhynchus mykiss). Aquaculture 2020, 525, 735315. [Google Scholar] [CrossRef]
- Rathnapala, E.C.N.; Ahn, D.U.; Abeyrathne, S. Functional properties of ovotransferrin from chicken egg white and its derived peptides: A review. Food Sci. Biotechnol. 2021, 30, 619–630. [Google Scholar] [CrossRef] [PubMed]
- Rodriguez-Concepcion, M.; Avalos, J.; Bonet, M.L.; Boronat, A.; Gomez-Gomez, L.; Hornero-Mendez, D.; Limon, M.C.; Meléndez-Martínez, A.J.; Olmedilla-Alonso, B.; Palou, A.; et al. A global perspective on carotenoids: Metabolism, biotechnology, and benefits for nutrition and health. Prog. Lipid Res. 2018, 70, 62–93. [Google Scholar] [CrossRef] [PubMed]
- Schoeler, M.; Caesar, R. Dietary lipids, gut microbiota and lipid metabolism. Rev. Endocr. Metab. Disord. 2019, 20, 461–472. [Google Scholar] [CrossRef]
- Feng, S.; Achoute, L.; Margolskee, R.F.; Jiang, P.; Wang, H. Lipopolysaccharide-Induced Inflammatory Cytokine Expression in Taste Organoids. Chem. Senses 2020, 45, 187–194. [Google Scholar] [CrossRef] [PubMed]
- Bajer, L.; Kverka, M.; Kostovcik, M.; Macinga, P.; Dvorak, J.; Stehlikova, Z.; Brezina, J.; Wohl, P.; Spicak, J.; Drastich, P. Distinct gut microbiota profiles in patients with primary sclerosing cholangitis and ulcerative colitis. World J. Gastroenterol. 2017, 23, 4548–4558. [Google Scholar] [CrossRef] [PubMed]
- Chambers, E.S.; Preston, T.; Frost, G.S.; Morrison, D.J. Role of Gut Microbiota-Generated Short-Chain Fatty Acids in Metabolic and Cardiovascular Health. Curr. Nutr. Rep. 2018, 7, 198–206. [Google Scholar] [CrossRef]
- Kang, W.; Jia, Z.; Tang, D.; Zhang, Z.; Gao, H.; He, K.; Feng, Q. Fusobacterium nucleatum Facilitates Apoptosis, ROS Generation, and Inflammatory Cytokine Production by Activating AKT/MAPK and NF-κB Signaling Pathways in Human Gingival Fibroblasts. Oxid. Med. Cell Longev. 2019, 2019, 1681972. [Google Scholar] [CrossRef] [PubMed]









| Ingredient (%) | CON * | F5 * | F10 * | E5 * | E10 * |
|---|---|---|---|---|---|
| FM | 0 | 5 | 10 | 0 | 0 |
| DWEP | 0 | 0 | 0 | 5 | 10 |
| Poultry powder | 12 | 12 | 12 | 12 | 12 |
| Soybean meal | 15 | 15 | 15 | 15 | 15 |
| Soy protein concentrate | 32.71 | 27.6 | 22.45 | 28.69 | 25.4 |
| Microcrystalline cellulose | 0 | 0.43 | 0.9 | 0.98 | 1.24 |
| Rice bran meal | 6 | 6 | 6 | 6 | 6 |
| Flour | 26 | 26 | 26 | 26 | 26 |
| Soybean oil | 4.24 | 3.92 | 3.6 | 2.28 | 0.31 |
| Premix 1 | 2 | 2 | 2 | 2 | 2 |
| Monocalcium phosphate | 1.5 | 1.5 | 1.5 | 1.5 | 1.5 |
| Choline chloride | 0.5 | 0.5 | 0.5 | 0.5 | 0.5 |
| Antioxidant | 0.02 | 0.02 | 0.02 | 0.02 | 0.02 |
| Mold inhibitor | 0.03 | 0.03 | 0.03 | 0.03 | 0.03 |
| Total | 100 | 100 | 100 | 100 | 100 |
| Crude protein | 43.51 | 43.49 | 42.87 | 42.73 | 43.64 |
| Crude fat | 7.27 | 7.83 | 7.48 | 7.35 | 7.24 |
| Gene | GenBank Number 1 | Forward Primer (5′-3′) | Reverse Primer (5′-3′) | Amplification Efficiency (%) |
|---|---|---|---|---|
| fasn | LH228595.1 | CCTCCACGCCAGAACAAGAT | GATATTTTTATGAGTGGACATTGTATCGA | 99.28 |
| acc | LH212450.1 | GTTAAAGCTGCCATCCTCACTGT | TGTCCGTCTGGCTAAGATGGT | 93.66 |
| acadl | LH364687.1 | TGAGGAAACCCGGAACTATGTC | TGTGCTGCACGGTCTGTAAGT | 92.73 |
| cpt1α | LH022414.1 | TGATTGGCAAAATCAAAGAACATC | AATGCTCTGACCCTGGTGAGA | 95.72 |
| hmgcr | LH363056.1 | TGCATCCTCAAAAACCCAGAT | GGGATGTGTTTAGCATTCACCAA | 91.53 |
| beta actin | AB094353 | ATGATGCTCCTCGTGCTGTGT | CCCCATTCCAACCATGACA | 94.54 |
| Item | CON | F5 | F10 | E5 | E10 |
|---|---|---|---|---|---|
| initial average weight/g | 0.28 ± 0.00 | 0.28 ± 0.00 | 0.28 ± 0.00 | 0.28 ± 0.01 | 0.28 ± 0.00 |
| 1 mean weight of BM/g | 3.72 ± 0.04 cC | 4.25 ± 0.01 b | 4.58 ± 0.02 a | 4.18 ± 0.08 B | 4.48 ± 0.03 A |
| 2 weight gain rate of BM/% | 1228.03 ± 14.29 cC | 1416.97 ± 1.85 b | 1534.30 ± 7.52 a | 1392.06 ± 29.89 B | 1501.59 ± 11.97 A |
| 3 metamorphosis rate/% | 25.92 ± 2.83 cC | 47.92 ± 2.41 b | 62.16 ± 6.68 a | 40.80 ± 2.82 B(*) | 58.22 ± 0.60 A |
| 4 feed conversion rate | 1.37 ± 0.05 aA | 1.19 ± 0.00 b | 1.06 ± 0.01 c | 1.21 ± 0.00 B | 1.11 ± 0.01 C |
| 5 survival rate/% | 98.22 ± 0.38 | 97.83 ± 0.06 | 98.49 ± 0.41 | 98.42 ± 0.28 | 97.32 ± 0.11 |
Disclaimer/Publisher’s Note: The statements, opinions and data contained in all publications are solely those of the individual author(s) and contributor(s) and not of MDPI and/or the editor(s). MDPI and/or the editor(s) disclaim responsibility for any injury to people or property resulting from any ideas, methods, instructions or products referred to in the content. |
© 2025 by the authors. Licensee MDPI, Basel, Switzerland. This article is an open access article distributed under the terms and conditions of the Creative Commons Attribution (CC BY) license (https://creativecommons.org/licenses/by/4.0/).
Share and Cite
Li, Q.; Shao, C.; Hu, Y.; Chen, K.; Zhang, J. Feasibility Evaluation of Dried Whole Egg Powder Application in Tadpole (Lithobates catesbeianus) Feed: Effects on Growth, Metamorphosis Rate, Lipid Metabolism and Intestinal Flora. Animals 2025, 15, 584. https://doi.org/10.3390/ani15040584
Li Q, Shao C, Hu Y, Chen K, Zhang J. Feasibility Evaluation of Dried Whole Egg Powder Application in Tadpole (Lithobates catesbeianus) Feed: Effects on Growth, Metamorphosis Rate, Lipid Metabolism and Intestinal Flora. Animals. 2025; 15(4):584. https://doi.org/10.3390/ani15040584
Chicago/Turabian StyleLi, Quan, Chuang Shao, Yi Hu, Kaijian Chen, and Junzhi Zhang. 2025. "Feasibility Evaluation of Dried Whole Egg Powder Application in Tadpole (Lithobates catesbeianus) Feed: Effects on Growth, Metamorphosis Rate, Lipid Metabolism and Intestinal Flora" Animals 15, no. 4: 584. https://doi.org/10.3390/ani15040584
APA StyleLi, Q., Shao, C., Hu, Y., Chen, K., & Zhang, J. (2025). Feasibility Evaluation of Dried Whole Egg Powder Application in Tadpole (Lithobates catesbeianus) Feed: Effects on Growth, Metamorphosis Rate, Lipid Metabolism and Intestinal Flora. Animals, 15(4), 584. https://doi.org/10.3390/ani15040584
