Mechanisms of Mitochondria-Mediated Apoptosis During Eimeria tenella Infection
Simple Summary
Abstract
1. Introduction
2. Materials and Methods
2.1. Parasites
2.2. Primary Cultures of Epithelial Cells of Chick Embryo Cecum and Parasite Infections
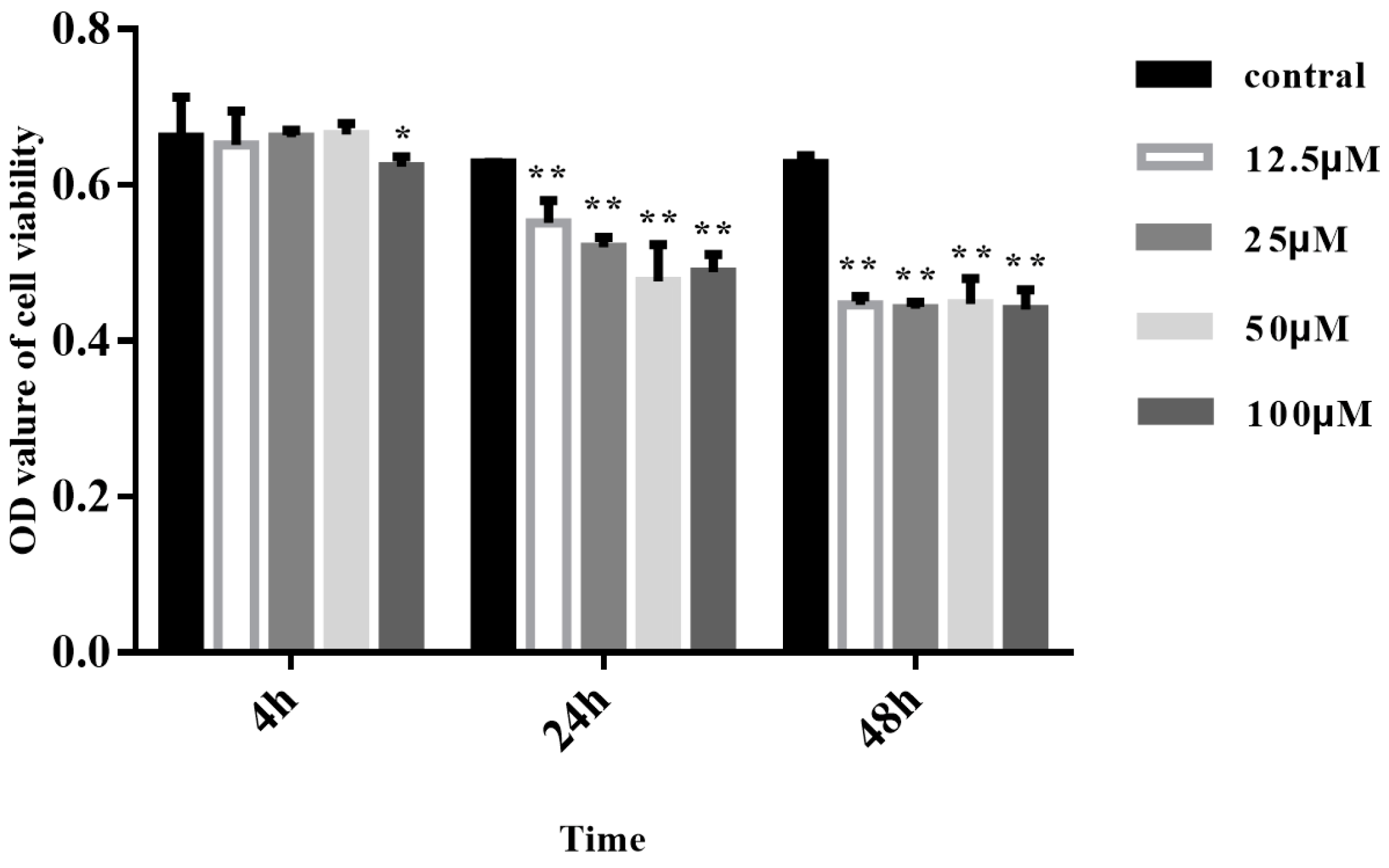
2.3. MTT Assays
2.4. Experimental Design and Grouping for Chick Embryo Cecal Epithelial Cell Infection and TUNEL Assays
2.5. H&E Staining
2.6. Annexin/PI Staining
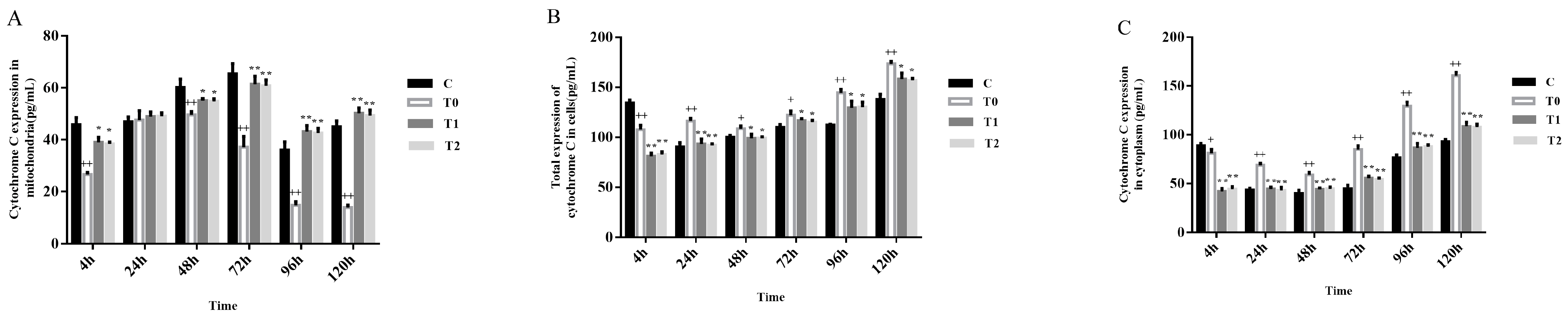
2.7. Cytochrome c Assays
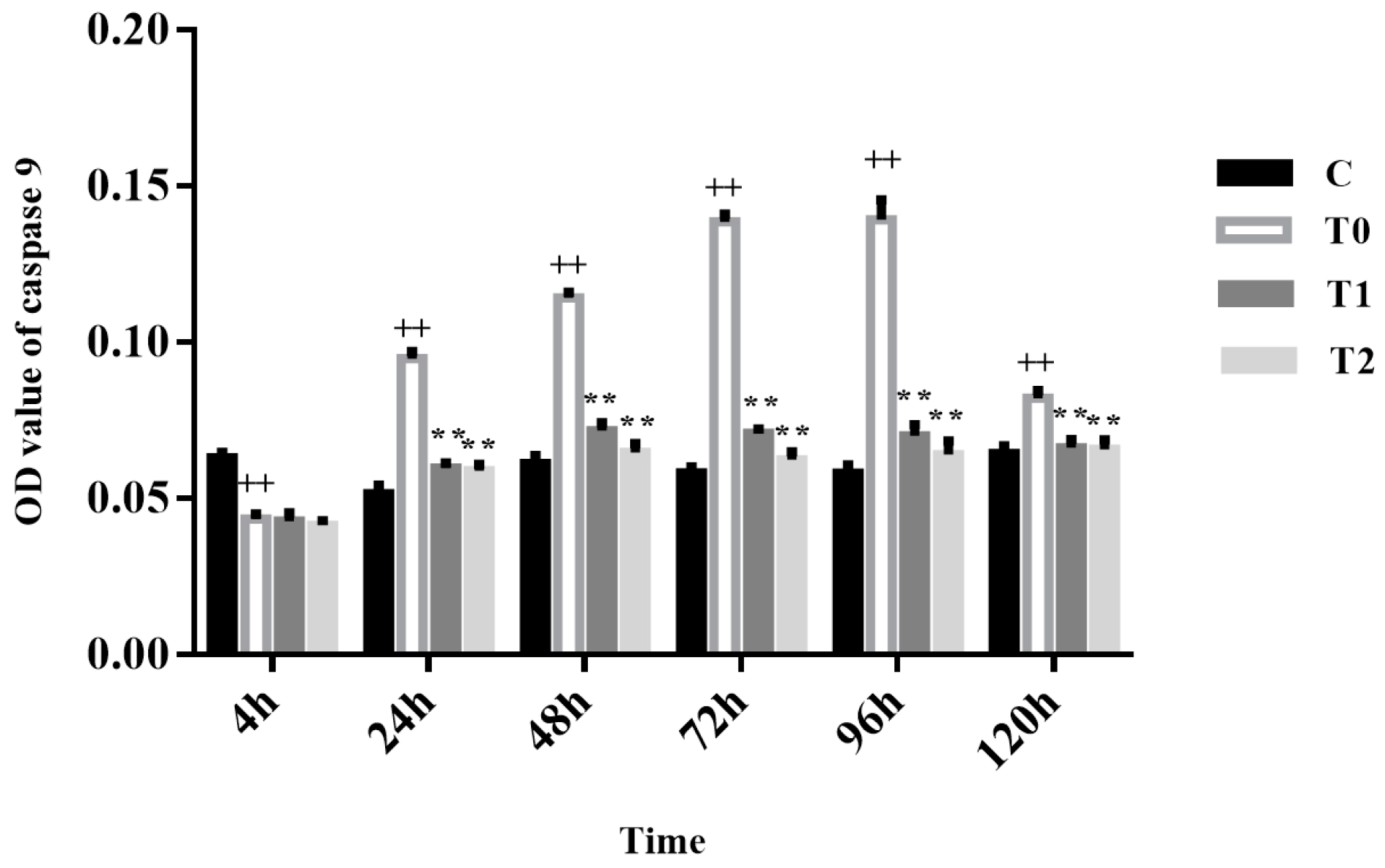
2.8. Caspase-9 Activity
2.9. Statistics
3. Results
3.1. Apoptosis Assessments in Response to Parasite Infection
3.2. Effect of CsA, TMPD, and Asc on the Infection Rates of E. tenella
3.3. Inhibiting Cytochrome c Reduces E. tenella-Induced Apoptosis
3.4. Cytochrome c Activity
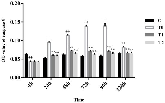
3.5. Relationship Between Cytochrome c and Caspase-9 Activity Following E. tenella Infection
4. Discussion
5. Conclusions
Author Contributions
Funding
Institutional Review Board Statement
Informed Consent Statement
Data Availability Statement
Conflicts of Interest
References
- López-Osorio, S.; Chaparro-Gutiérrez, J.J.; Gómez-Osorio, L.M. Overview of Poultry Eimeria Life Cycle and Host-Parasite Interactions. Front. Vet. Sci. 2020, 7, 384. [Google Scholar] [CrossRef] [PubMed]
- Attree, E.; Sanchez-Arsuaga, G.; Jones, M.; Xia, D.; Marugan-Hernandez, V.; Blake, D.; Tomley, F. Controlling the Causative Agents of Coccidiosis in Domestic Chickens; an Eye on the Past and Considerations for the Future. CABI Agric. Biosci. 2021, 2, 37. [Google Scholar] [CrossRef] [PubMed]
- Badri, M.; Olfatifar, M.; Hayati, A.; Bijani, B.; Samimi, R.; Abdoli, A.; Nowak, O.; Diaz, D.; Eslahi, A.V. The Global Prevalence and Associated Risk Factors of Eimeria Infection in Domestic Chickens: A Systematic Review and Meta-Analysis. Vet. Med. Sci. 2024, 10, e1469. [Google Scholar] [CrossRef] [PubMed]
- Niu, Z.; Xue, L.; Yin, X.; Shen, B. Genetic Manipulation Toolkits in Apicomplexan Parasites. Zoonoses 2022, 2, 1–15. [Google Scholar] [CrossRef]
- Gao, Y.; Sun, P.; Hu, D.; Tang, X.; Zhang, S.; Shi, F.; Yan, X.; Yan, W.; Shi, T.; Wang, S.; et al. Advancements in Understanding Chicken Coccidiosis: From Eimeria Biology to Innovative Control Strategies. One Health Adv. 2024, 2, 6. [Google Scholar] [CrossRef]
- Mesa-Pineda, C.; Navarro-Ruíz, J.L.; López-Osorio, S.; Chaparro-Gutiérrez, J.J.; Gómez-Osorio, L.M. Chicken Coccidiosis: From the Parasite Lifecycle to Control of the Disease. Front. Vet. Sci. 2021, 8, 787653. [Google Scholar] [CrossRef]
- Lu, C.; Yan, Y.; Jian, F.; Ning, C. Coccidia-Microbiota Interactions and Their Effects on the Host. Front. Cell. Infect. Microbiol. 2021, 11, 751481. [Google Scholar] [CrossRef] [PubMed]
- Yun, C.H.; Lillehoj, H.S.; Lillehoj, E.P. Intestinal Immune Responses to Coccidiosis. Dev. Comp. Immunol. 2000, 24, 303–324. [Google Scholar] [CrossRef]
- Allen, P.C.; Fetterer, R.H. Recent Advances in Biology and Immunobiology of Eimeria Species and in Diagnosis and Control of Infection with These Coccidian Parasites of Poultry. Clin. Microbiol. Rev. 2002, 15, 58–65. [Google Scholar] [CrossRef] [PubMed]
- Dalloul, R.A.; Lillehoj, H.S. Poultry Coccidiosis: Recent Advancements in Control Measures and Vaccine Development. Expert Rev. Vaccines 2006, 5, 143–163. [Google Scholar] [CrossRef] [PubMed]
- Blake, D.P.; Knox, J.; Dehaeck, B.; Huntington, B.; Rathinam, T.; Ravipati, V.; Ayoade, S.; Gilbert, W.; Adebambo, A.O.; Jatau, I.D.; et al. Re-Calculating the Cost of Coccidiosis in Chickens. Vet. Res. 2020, 51, 115. [Google Scholar] [CrossRef] [PubMed]
- Ahmad, R.; Yu, Y.-H.; Hua, K.-F.; Chen, W.-J.; Zaborski, D.; Dybus, A.; Hsiao, F.S.-H.; Cheng, Y.-H. Management and Control of Coccidiosis in Poultry—A Review. Anim. Biosci. 2024, 37, 1. [Google Scholar] [CrossRef]
- Martins, R.R.; Silva, L.J.G.; Pereira, A.M.P.T.; Esteves, A.; Duarte, S.C.; Pena, A. Coccidiostats and Poultry: A Comprehensive Review and Current Legislation. Foods 2022, 11, 2738. [Google Scholar] [CrossRef]
- Shivaramaiah, C.; Barta, J.R.; Hernandez-Velasco, X.; Téllez, G.; Hargis, B.M. Coccidiosis: Recent Advancements in the Immunobiology of Eimeria Species, Preventive Measures, and the Importance of Vaccination as a Control Tool against These Apicomplexan Parasites. Vet. Med. 2014, 5, 23–34. [Google Scholar] [CrossRef]
- Peek, H.W.; Landman, W.J.M. Coccidiosis in Poultry: Anticoccidial Products, Vaccines and Other Prevention Strategies. Vet. Q. 2011, 31, 143–161. [Google Scholar] [CrossRef] [PubMed]
- Farinacci, P.; Mevissen, M.; Ayrle, H.; Maurer, V.; Sørensen Dalgaard, T.; Melzig, M.F.; Walkenhorst, M. Medicinal Plants for Prophylaxis and Therapy of Common Infectious Diseases In Poultry-A Systematic Review of In Vivo Studies. Planta Med. 2022, 88, 200–217. [Google Scholar] [CrossRef] [PubMed]
- Rizwan, H.M.; Khan, M.K.; Mughal, M.A.S.; Abbas, Z.; Abbas, R.Z.; Sindhu, Z.U.D.; Sajid, M.S.; Ain, Q.U.; Abbas, A.; Zafar, A.; et al. A New Insight in Immunomodulatory Impact of Botanicals in Treating Avian Coccidiosis. J. Parasit. Dis. Off. Organ Indian Soc. Parasitol. 2022, 46, 1164–1175. [Google Scholar] [CrossRef] [PubMed]
- Blake, D.P.; Vrba, V.; Xia, D.; Jatau, I.D.; Spiro, S.; Nolan, M.J.; Underwood, G.; Tomley, F.M. Genetic and Biological Characterisation of Three Cryptic Eimeria Operational Taxonomic Units That Infect Chickens (Gallus gallus domesticus). Int. J. Parasitol. 2021, 51, 621–634. [Google Scholar] [CrossRef] [PubMed]
- Mohsin, M.; Zhang, Z.; Yin, G. Effect of Probiotics on the Performance and Intestinal Health of Broiler Chickens Infected with Eimeria tenella. Vaccines 2022, 10, 97. [Google Scholar] [CrossRef] [PubMed]
- Hussain, K.; Abbas, R.Z.; Abbas, A.; Samiullah, K.; Ahmed, T.; Siddique, F.; Mohsin, M.; Rehman, A.; Rahman, A.U.L.; Waqas, M.U. Anticoccidial Potential of Ageratum Conyzoides and Its Effect on Blood Parameters of Experimentally Infected Broiler Chickens. J. Hell. Vet. Med. Soc. 2021, 72, 3085–3090. [Google Scholar] [CrossRef]
- Zhang, Y.; Zheng, M.; Xu, Z.; Xu, H.; Cui, X.; Yang, S.; Zhao, W.; Li, S.; Lv, Q.; Bai, R. Relationship between Eimeria Tenella Development and Host Cell Apoptosis in Chickens. Poult. Sci. 2015, 94, 2970–2979. [Google Scholar] [CrossRef] [PubMed]
- Lian, L.; Sun, Q.; Huang, X.; Li, W.; Cui, Y.; Pan, Y.; Yang, X.; Wang, P. Inhibition of Cell Apoptosis by Apicomplexan Protozoa-Host Interaction in the Early Stage of Infection. Animals 2023, 13, 3817. [Google Scholar] [CrossRef] [PubMed]
- Chu, Q.; Gu, X.; Zheng, Q.; Wang, J.; Zhu, H. Mitochondrial Mechanisms of Apoptosis and Necroptosis in Liver Diseases. Anal. Cell. Pathol. 2021, 2021, 8900122. [Google Scholar] [CrossRef] [PubMed]
- Guan, S.; Zhao, L.; Peng, R. Mitochondrial Respiratory Chain Supercomplexes: From Structure to Function. Int. J. Mol. Sci. 2022, 23, 13880. [Google Scholar] [CrossRef]
- Mustafa, M.; Ahmad, R.; Tantry, I.Q.; Ahmad, W.; Siddiqui, S.; Alam, M.; Abbas, K.; Hassan, M.I.; Habib, S.; Islam, S. Apoptosis: A Comprehensive Overview of Signaling Pathways, Morphological Changes, and Physiological Significance and Therapeutic Implications. Cells 2024, 13, 1838. [Google Scholar] [CrossRef]
- Li, L.; Wang, S.; Zhou, W. Balance Cell Apoptosis and Pyroptosis of Caspase-3-Activating Chemotherapy for Better Antitumor Therapy. Cancers 2022, 15, 26. [Google Scholar] [CrossRef] [PubMed]
- Ketelut-Carneiro, N.; Fitzgerald, K.A. Apoptosis, Pyroptosis, and Necroptosis-Oh My! The Many Ways a Cell Can Die. J. Mol. Biol. 2022, 434, 167378. [Google Scholar] [CrossRef] [PubMed]
- Bertheloot, D.; Latz, E.; Franklin, B.S. Necroptosis, Pyroptosis and Apoptosis: An Intricate Game of Cell Death. Cell. Mol. Immunol. 2021, 18, 1106–1121. [Google Scholar] [CrossRef] [PubMed]
- Bosurgi, L.; Rothlin, C.V. Management of Cell Death in Parasitic Infections. Semin. Immunopathol. 2021, 43, 481–492. [Google Scholar] [CrossRef] [PubMed]
- Solano-Gálvez, S.-G.; Álvarez-Hernández, D.-A.; Gutiérrez-Kobeh, L.; Vázquez-López, R. Leishmania: Manipulation of Signaling Pathways to Inhibit Host Cell Apoptosis. Ther. Adv. Infect. Dis. 2021, 8, 20499361211014976. [Google Scholar] [CrossRef]
- Xu, Z.-Y.; Zheng, M.-X.; Zhang, Y.; Cui, X.-Z.; Yang, S.-S.; Liu, R.-L.; Li, S.; Lv, Q.-H.; Zhao, W.-L.; Bai, R. The Effect of the Mitochondrial Permeability Transition Pore on Apoptosis in Eimeria tenella Host Cells. Poult. Sci. 2016, 95, 2405–2413. [Google Scholar] [CrossRef] [PubMed]
- Qi, N.; Liao, S.; Abuzeid, A.M.I.; Li, J.; Wu, C.; Lv, M.; Lin, X.; Hu, J.; Xiao, W.; Sun, M.; et al. Effect of Different Floatation Solutions on E. Tenella Oocyst Purification and Optimization of Centrifugation Conditions for Improved Recovery of Oocysts and Sporocysts. Exp. Parasitol. 2020, 217, 107965. [Google Scholar] [CrossRef]
- Ryley, N.G.; Ryley, J.F. Effects of Saturated Sodium Chloride Solution on Coccidial Oocysts. Parasitology 1978, 77, 33–39. [Google Scholar] [CrossRef] [PubMed]
- Smith, R.R.; Ruff, M.D. A Rapid Technique for the Cleaning and Concentration of Eimeria Oocysts. Poult. Sci. 1975, 54, 2081–2086. [Google Scholar] [CrossRef] [PubMed]
- Duan, B.-T.; Zhang, H.-Y.; Song, Z.-H.; Han, X.-Y.; Cui, K.-L.; Xu, T.; Zhang, Y.; Zhao, Y.-J.; Lei, X.; Tan, F.; et al. EtROP38 Suppresses Apoptosis of Host Cells Infected with Eimeria tenella by Inhibition of the P38MAPK Pathway. Vet. Parasitol. 2024, 331, 110296. [Google Scholar] [CrossRef]
- Li, X.; Hu, L.; Zhu, X.; Guo, X.; Deng, X.; Zhang, J. The Effect of Caspase-3 in Mitochondrial Apoptosis Activation on Degradation of Structure Proteins of Esox Lucius during Postmortem Storage. Food Chem. 2022, 367, 130767. [Google Scholar] [CrossRef] [PubMed]
- Li, X.; Luo, S.; Zhang, J.; Yuan, Y.; Jiang, W.; Zhu, H.; Ding, X.; Zhan, L.; Wu, H.; Xie, Y.; et al. LncRNA H19 Alleviated Myocardial I/RI via Suppressing MiR-877-3p/Bcl-2-Mediated Mitochondrial Apoptosis. Mol. Ther. Nucleic Acids 2019, 17, 297–309. [Google Scholar] [CrossRef] [PubMed]
- Hayward, J.A.; Rajendran, E.; Zwahlen, S.M.; Faou, P.; van Dooren, G.G. Divergent Features of the Coenzyme Q:Cytochrome c Oxidoreductase Complex in Toxoplasma Gondii Parasites. PLoS Pathog. 2021, 17, e1009211. [Google Scholar] [CrossRef] [PubMed]
- Thind, S.; Lima, D.; Booy, E.; Trinh, D.; McKenna, S.A.; Kuss, S. Cytochrome c Oxidase Deficiency Detection in Human Fibroblasts Using Scanning Electrochemical Microscopy. Proc. Natl. Acad. Sci. USA 2024, 121, e2310288120. [Google Scholar] [CrossRef] [PubMed]
- Csomó, K.B.; Sándor, A.P.; Belik, A.A.; Varga, G.; Hrabák, A.; Kukor, Z. Characterization of Oxidation of Glutathione by Cytochrome C. J. Bioenerg. Biomembr. 2022, 54, 1–8. [Google Scholar] [CrossRef] [PubMed]
- Szarka, A.; Kapuy, O.; Lőrincz, T.; Bánhegyi, G. Vitamin C and Cell Death. Antioxid. Redox Signal. 2021, 34, 831–844. [Google Scholar] [CrossRef] [PubMed]
- Hannesschlaeger, C.; Pohl, P. Membrane Permeabilities of Ascorbic Acid and Ascorbate. Biomolecules 2018, 8, 73. [Google Scholar] [CrossRef] [PubMed]
- Vinokurov, A.Y.; Pogonyalova, M.Y.; Andreeva, L.; Abramov, A.Y.; Angelova, P.R. Energy Substrate Supplementation Increases ATP Levels and Is Protective to PD Neurons. Curr. Res. Pharmacol. Drug Discov. 2024, 6, 100187. [Google Scholar] [CrossRef]
- Borutaite, V.; Brown, G.C. Mitochondrial Regulation of Caspase Activation by Cytochrome Oxidase and Tetramethylphenylenediamine via Cytosolic Cytochrome c Redox State. J. Biol. Chem. 2007, 282, 31124–31130. [Google Scholar] [CrossRef] [PubMed]
- Battogtokh, G.; Choi, Y.S.; Kang, D.S.; Park, S.J.; Shim, M.S.; Huh, K.M.; Cho, Y.-Y.; Lee, J.Y.; Lee, H.S.; Kang, H.C. Mitochondria-Targeting Drug Conjugates for Cytotoxic, Anti-Oxidizing and Sensing Purposes: Current Strategies and Future Perspectives. Acta Pharm. Sin. B 2018, 8, 862–880. [Google Scholar] [CrossRef] [PubMed]
- Vringer, E.; Tait, S.W.G. Mitochondria and Cell Death-Associated Inflammation. Cell Death Differ. 2023, 30, 304–312. [Google Scholar] [CrossRef] [PubMed]
- Wu, D.; Yan, L.; Zheng, C.; Ren, X.; Pan, Y.; Huang, S.; Pan, L.; Li, Z. Akt-GSK3β-MPTP Pathway Regulates the Mitochondrial Dysfunction Contributing to Odontoblasts Apoptosis Induced by Glucose Oxidative Stress. Cell Death Discov. 2022, 8, 168. [Google Scholar] [CrossRef] [PubMed]
- Kent, A.C.; El Baradie, K.B.Y.; Hamrick, M.W. Targeting the Mitochondrial Permeability Transition Pore to Prevent Age-Associated Cell Damage and Neurodegeneration. Oxid. Med. Cell. Longev. 2021, 2021, 6626484. [Google Scholar] [CrossRef]
- Bratton, S.B.; Salvesen, G.S. Regulation of the Apaf-1-Caspase-9 Apoptosome. J. Cell Sci. 2010, 123, 3209–3214. [Google Scholar] [CrossRef] [PubMed]
- Li, P.; Zhou, L.; Zhao, T.; Liu, X.; Zhang, P.; Liu, Y.; Zheng, X.; Li, Q. Caspase-9: Structure, Mechanisms and Clinical Application. Oncotarget 2017, 8, 23996–24008. [Google Scholar] [CrossRef]
- Diallo, M.A.; Sausset, A.; Gnahoui-David, A.; Ribeiro E Silva, A.; Brionne, A.; Le Vern, Y.; Bussière, F.I.; Tottey, J.; Lacroix-Lamandé, S.; Laurent, F.; et al. Eimeria Tenella ROP Kinase EtROP1 Induces G0/G1 Cell Cycle Arrest and Inhibits Host Cell Apoptosis. Cell. Microbiol. 2019, 21, e13027. [Google Scholar] [CrossRef] [PubMed]
- Graumann, K.; Hippe, D.; Gross, U.; Lüder, C.G.K. Mammalian Apoptotic Signalling Pathways: Multiple Targets of Protozoan Parasites to Activate or Deactivate Host Cell Death. Microbes Infect. 2009, 11, 1079–1087. [Google Scholar] [CrossRef] [PubMed]
- Pessoa, J. Cytochrome c in Cancer Therapy and Prognosis. Biosci. Rep. 2022, 42, BSR20222171. [Google Scholar] [CrossRef] [PubMed]
- Bonora, M.; Giorgi, C.; Pinton, P. Molecular Mechanisms and Consequences of Mitochondrial Permeability Transition. Nat. Rev. Mol. Cell Biol. 2022, 23, 266–285. [Google Scholar] [CrossRef] [PubMed]
- Morciano, G.; Naumova, N.; Koprowski, P.; Valente, S.; Sardão, V.A.; Potes, Y.; Rimessi, A.; Wieckowski, M.R.; Oliveira, P.J. The Mitochondrial Permeability Transition Pore: An Evolving Concept Critical for Cell Life and Death. Biol. Rev. Camb. Philos. Soc. 2021, 96, 2489–2521. [Google Scholar] [CrossRef] [PubMed]
- Su, L.; Xu, J.; Lu, C.; Gao, K.; Hu, Y.; Xue, C.; Yan, X. Nano-Flow Cytometry Unveils Mitochondrial Permeability Transition Process and Multi-Pathway Cell Death Induction for Cancer Therapy. Cell Death Discov. 2024, 10, 176. [Google Scholar] [CrossRef]
- Chandra, D.; Liu, J.-W.; Tang, D.G. Early Mitochondrial Activation and Cytochrome c Up-Regulation during Apoptosis. J. Biol. Chem. 2002, 277, 50842–50854. [Google Scholar] [CrossRef] [PubMed]
- Espino-Sanchez, T.J.; Wienkers, H.; Marvin, R.G.; Nalder, S.-A.; García-Guerrero, A.E.; VanNatta, P.E.; Jami-Alahmadi, Y.; Mixon Blackwell, A.; Whitby, F.G.; Wohlschlegel, J.A.; et al. Direct Tests of Cytochrome c and c(1) Functions in the Electron Transport Chain of Malaria Parasites. Proc. Natl. Acad. Sci. USA 2023, 120, e2301047120. [Google Scholar] [CrossRef]
- Bernardi, P.; Gerle, C.; Halestrap, A.P.; Jonas, E.A.; Karch, J.; Mnatsakanyan, N.; Pavlov, E.; Sheu, S.-S.; Soukas, A.A. Identity, Structure, and Function of the Mitochondrial Permeability Transition Pore: Controversies, Consensus, Recent Advances, and Future Directions. Cell Death Differ. 2023, 30, 1869–1885. [Google Scholar] [CrossRef] [PubMed]
- Jia, K.; Du, H. Mitochondrial Permeability Transition: A Pore Intertwines Brain Aging and Alzheimer’s Disease. Cells 2021, 10, 649. [Google Scholar] [CrossRef]
- Zhou, Y.; Jing, S.; Liu, S.; Shen, X.; Cai, L.; Zhu, C.; Zhao, Y.; Pang, M. Double-Activation of Mitochondrial Permeability Transition Pore Opening via Calcium Overload and Reactive Oxygen Species for Cancer Therapy. J. Nanobiotechnol. 2022, 20, 188. [Google Scholar] [CrossRef] [PubMed]
- Fan, X.; Song, Y.; Liu, Y.; Song, J.; Zeng, J.; Li, Z.; Xu, J.; Xue, C. Effect of Cytochrome c Release on the Mitochondrial-Dependent Apoptosis and Quality Deterioration of Black Rockfish (Sebastes schlegelii) Postmortem Storage. Food Chem. 2024, 458, 140283. [Google Scholar] [CrossRef] [PubMed]
- Picca, A.; Calvani, R.; Coelho-Junior, H.J.; Marzetti, E. Cell Death and Inflammation: The Role of Mitochondria in Health and Disease. Cells 2021, 10, 537. [Google Scholar] [CrossRef] [PubMed]
- El-Shall, N.A.; Abd El-Hack, M.E.; Albaqami, N.M.; Khafaga, A.F.; Taha, A.E.; Swelum, A.A.; El-Saadony, M.T.; Salem, H.M.; El-Tahan, A.M.; AbuQamar, S.F.; et al. Phytochemical Control of Poultry Coccidiosis: A Review. Poult. Sci. 2022, 101, 101542. [Google Scholar] [CrossRef]
- Jiao, J.; Yang, Y.; Liu, M.; Li, J.; Cui, Y.; Yin, S.; Tao, J. Artemisinin and Artemisia Annua Leaves Alleviate Eimeria Tenella Infection by Facilitating Apoptosis of Host Cells and Suppressing Inflammatory Response. Vet. Parasitol. 2018, 254, 172–177. [Google Scholar] [CrossRef] [PubMed]





Disclaimer/Publisher’s Note: The statements, opinions and data contained in all publications are solely those of the individual author(s) and contributor(s) and not of MDPI and/or the editor(s). MDPI and/or the editor(s) disclaim responsibility for any injury to people or property resulting from any ideas, methods, instructions or products referred to in the content. |
© 2025 by the authors. Licensee MDPI, Basel, Switzerland. This article is an open access article distributed under the terms and conditions of the Creative Commons Attribution (CC BY) license (https://creativecommons.org/licenses/by/4.0/).
Share and Cite
Bai, R.; Wang, H.; Yang, T.; Yan, Y.; Zhu, S.; Lv, C.; Pei, Y.; Guo, J.; Li, J.; Cui, X.; et al. Mechanisms of Mitochondria-Mediated Apoptosis During Eimeria tenella Infection. Animals 2025, 15, 577. https://doi.org/10.3390/ani15040577
Bai R, Wang H, Yang T, Yan Y, Zhu S, Lv C, Pei Y, Guo J, Li J, Cui X, et al. Mechanisms of Mitochondria-Mediated Apoptosis During Eimeria tenella Infection. Animals. 2025; 15(4):577. https://doi.org/10.3390/ani15040577
Chicago/Turabian StyleBai, Rui, Hui Wang, Tiantian Yang, Yuqi Yan, Shuying Zhu, Chenyang Lv, Yang Pei, Jiale Guo, Jianhui Li, Xiaozhen Cui, and et al. 2025. "Mechanisms of Mitochondria-Mediated Apoptosis During Eimeria tenella Infection" Animals 15, no. 4: 577. https://doi.org/10.3390/ani15040577
APA StyleBai, R., Wang, H., Yang, T., Yan, Y., Zhu, S., Lv, C., Pei, Y., Guo, J., Li, J., Cui, X., Lv, X., & Zheng, M. (2025). Mechanisms of Mitochondria-Mediated Apoptosis During Eimeria tenella Infection. Animals, 15(4), 577. https://doi.org/10.3390/ani15040577
