Co-Supplementation of Diet with Saccharomyces cerevisiae and Thymol: Effects on Growth Performance, Antioxidant and Immunological Responses of Rainbow Trout, Oncorhynchus mykiss
Simple Summary
Abstract
1. Introduction
2. Materials and Methods
2.1. Source of Thymol and Yeast
2.2. Diets
2.3. Fish Husbandry and Growth Performance
2.4. Sampling and Processing
2.5. Immunological Analysis
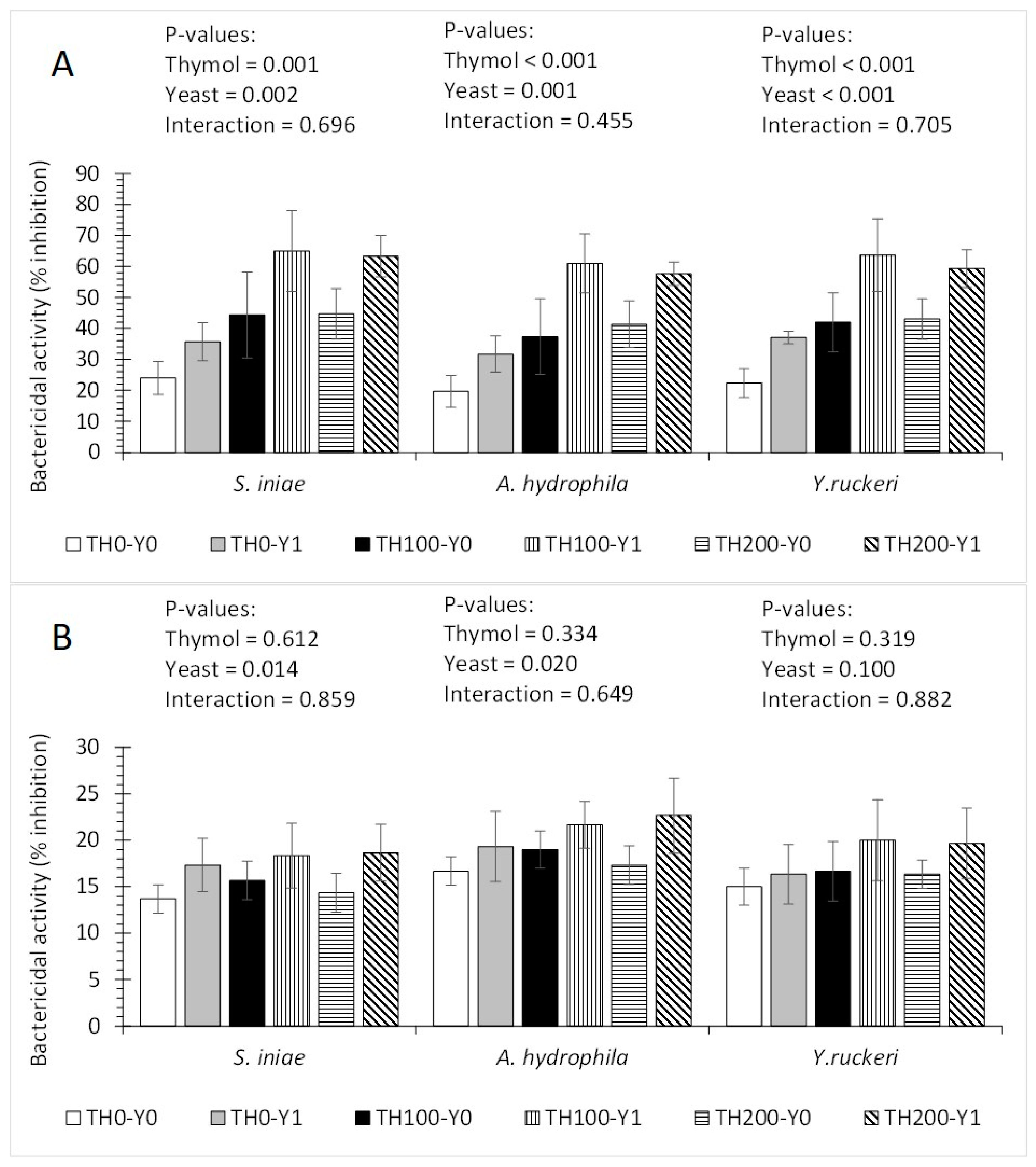
2.6. Bactericidal Activity
2.7. Plasma Enzymes
2.8. Hepatic Antioxidant Activity
2.9. Hindgut Gene Expression
2.10. Statistical Analysis
3. Results
3.1. Growth Performance
3.2. Plasma Biochemical Parameters
3.3. Hepatic Antioxidant Parameters
3.4. Plasma and Mucus Immunological Parameters
3.5. Hidgut Immunological Transcripts
4. Discussion
5. Conclusions
Supplementary Materials
Author Contributions
Funding
Institutional Review Board Statement
Informed Consent Statement
Data Availability Statement
Conflicts of Interest
Correction Statement
References
- FAO. Cultured Aquatic Species Information Programme: Oncorhynchus Mykiss (Walbaum, 1792); FAO: Roma, Italy, 2024. [Google Scholar]
- FAO. Fishery Statistical Collections: Global Aquaculture Production; FAO: Roma, Italy, 2023. [Google Scholar]
- Moreira, M.; Schrama, D.; Farinha, A.P.; Cerqueira, M.; de Magalhães, C.R.; Carrilho, R.; Rodrigues, P. Fish pathology research and diagnosis in aquaculture of farmed fish; a proteomics perspective. Animals 2021, 11, 125. [Google Scholar] [CrossRef] [PubMed]
- Assefa, A.; Abunna, F. Maintenance of fish health in aquaculture: Review of epidemiological approaches for prevention and control of infectious disease of fish. Vet. Med. Int. 2018, 2018, 5432497. [Google Scholar] [CrossRef]
- Alagawany, M.; Farag, M.R.; Abdelnour, S.A.; Elnesr, S.S. A review on the beneficial effect of thymol on health and production of fish. Rev. Aquac. 2021, 13, 632–641. [Google Scholar] [CrossRef]
- Kong, Y.-D.; Li, M.; Xia, C.-G.; Zhao, J.; Niu, X.-T.; Shan, X.-F.; Wang, G.-Q. The optimum thymol requirement in diets of Channa argus: Effects on growth, antioxidant capability, immune response and disease resistance. Aquac. Nutr. 2021, 27, 712–722. [Google Scholar] [CrossRef]
- Abou-Zeid, S.M.; Zheng, C.; Khalil, S.R.; Farag, M.R.; Elsabbagh, H.S.; Siddique, M.S.; Mawed, S.A.; Azzam, M.M.; Di Cerbo, A.; Elkhadrawey, B.A. Thymol-enriched diet alleviates the toxic impacts of zinc oxide nanoparticles on growth performance, blood biochemistry, oxidant/antioxidant status and stress-related genes and histology of liver and gills in Oreochromis niloticus. Aquac. Rep. 2023, 33, 101750. [Google Scholar] [CrossRef]
- Hafsan, H.; Saleh, M.M.; Zabibah, R.S.; Obaid, R.F.; Jabbar, H.S.; Mustafa, Y.F.; Sultan, M.Q.; Gabr, G.A.; Ramírez-Coronel, A.A.; Khodadadi, M.; et al. Dietary thymol improved growth, body composition, digestive enzyme activities, hematology, immunity, antioxidant defense, and resistance to Streptococcus iniae in the rainbow trout (Oncorhynchus mykiss). Aquac. Nutr. 2022, 2022, 3288139. [Google Scholar] [CrossRef]
- Navarrete, P.; Tovar-Ramírez, D. Use of yeasts as probiotics in fish aquaculture. In Sustainable Aquaculture Techniques; Hernandez-Vergara, M., Perez-Rostro, C., Eds.; IntechOpen: Rijeka, Croatia, 2014; pp. 135–172. [Google Scholar]
- Chiu, C.-H.; Cheng, C.-H.; Gua, W.-R.; Guu, Y.-K.; Cheng, W. Dietary administration of the probiotic, Saccharomyces cerevisiae P13, enhanced the growth, innate immune responses, and disease resistance of the grouper, Epinephelus coioides. Fish Shellfish Immunol. 2010, 29, 1053–1059. [Google Scholar] [CrossRef]
- Abass, D.A.; Obirikorang, K.A.; Campion, B.B.; Edziyie, R.E.; Skov, P.V. Dietary supplementation of yeast (Saccharomyces cerevisiae) improves growth, stress tolerance, and disease resistance in juvenile Nile tilapia (Oreochromis niloticus). Aquac. Int. 2018, 26, 843–855. [Google Scholar] [CrossRef]
- Sheikhzadeh, N.; Makhloughi, A.R.; Nofouzi, K.; Tukmechi, A. Influence of diets enriched with two different Saccharomyces cerevisiae strains on growth performance, innate immune system and disease resistance in rainbow trout (Onchorhynchus mykiss). Aquac. Res. 2016, 47, 2691–2695. [Google Scholar] [CrossRef]
- Waché, Y.; Auffray, F.; Gatesoupe, F.-J.; Zambonino, J.; Gayet, V.; Labbé, L.; Quentel, C. Cross effects of the strain of dietary Saccharomyces cerevisiae and rearing conditions on the onset of intestinal microbiota and digestive enzymes in rainbow trout, Onchorhynchus mykiss, fry. Aquaculture 2006, 258, 470–478. [Google Scholar] [CrossRef]
- Gonçalves, A.T.; Gallardo-Escárate, C. Microbiome dynamic modulation through functional diets based on pre- and probiotics (mannan-oligosaccharides and Saccharomyces cerevisiae) in juvenile rainbow trout (Oncorhynchus mykiss). J. Appl. Microbiol. 2017, 122, 1333–1347. [Google Scholar] [CrossRef]
- El-Bab, A.F.F.; Saghir, S.A.M.; El-Naser, I.A.; El-Kheir, S.M.M.A.; Abdel-Kader, M.F.; Alruhaimi, R.S.; Alqhtani, H.A.; Mahmoud, A.M.; Naiel, M.A.E.; El-Raghi, A.A. The effect of dietary Saccharomyces cerevisiae on growth performance, oxidative status, and immune response of sea bream (Sparus aurata). Life 2022, 12, 1013. [Google Scholar] [CrossRef]
- Ellis, A.E. Lysozyme assays. In Techniques in Fish Immunology; Stolen, J.S., Ed.; SOS Publication: Fair Haven, NJ, USA, 1990; pp. 101–103. [Google Scholar]
- Yousefi, M.; Hoseini, S.M.; Kulikov, E.V.; Kharlitskaya, E.V.; Petukhov, N.V.; Khomenets, N.G. Dietary propionate administration improves growth performance, hepatic lipid deposition, and intestinal activity of digestive enzymes, inflammation, bacterial population, and antioxidant capacity in rainbow trout, Oncorhynchus mykiss. Aquaculture 2024, 578, 740099. [Google Scholar] [CrossRef]
- Hoseinifar, S.H.; Shakouri, M.; Van Doan, H.; Shafiei, S.; Yousefi, M.; Raeisi, M.; Yousefi, S.; Harikrishnan, R.; Reverter, M. Dietary supplementation of lemon verbena (Aloysia citrodora) improved immunity, immune-related genes expression and antioxidant enzymes in rainbow trout (Oncorrhyncus mykiss). Fish Shellfish Immunol. 2020, 99, 379–385. [Google Scholar] [CrossRef] [PubMed]
- Morselli, M.B.; Reis, J.H.; Baldissera, M.D.; Souza, C.F.; Baldisserotto, B.; Petrolli, T.G.; Paiano, D.; Lopes, D.L.A.; Da Silva, A.S. Benefits of thymol supplementation on performance, the hepatic antioxidant system, and energetic metabolism in grass carp. Fish Physiol. Biochem. 2020, 46, 305–314. [Google Scholar] [CrossRef] [PubMed]
- Aanyu, M.; Betancor, M.B.; Monroig, O. Effects of dietary limonene and thymol on the growth and nutritional physiology of Nile tilapia (Oreochromis niloticus). Aquaculture 2018, 488, 217–226. [Google Scholar] [CrossRef]
- Zargham, D.; Emtiazjoo, M.; Sahafi, H.; Bashti, T.; Razmi, K. The effect of probiotic Saccharomyces cerevisiae strain: ptcc5052 on growth parameters and survival of rainbow trout (Oncorhynchus mykiss) larvae. Adv. Environ. Biol. 2011, 5, 1393–1400. [Google Scholar]
- Cid García, R.A.; Hernández, L.H.H.; Longoria, J.A.C.; Araiza, M.A.F. Inclusion of yeast and/or fructooligosaccharides in diets with plant-origin protein concentrates for rainbow trout (Oncorhynchus mykiss) fingerlings. J. World Aquac. Soc. 2020, 51, 970–981. [Google Scholar] [CrossRef]
- Hisano, H.; Soares, M.P.; Luiggi, F.G.; Arena, A.C. Dietary β-glucans and mannanoligosaccharides improve growth performance and intestinal morphology of juvenile pacu Piaractus mesopotamicus (Holmberg, 1887). Aquac. Int. 2018, 26, 213–223. [Google Scholar] [CrossRef]
- Farag, M.R.; Alagawany, M.; Khalil, S.R.; El-Aziz, R.M.A.; Zaglool, A.W.; Moselhy, A.A.A.; Abou-Zeid, S.M. Effect of parsley essential oil on digestive enzymes, intestinal morphometry, blood chemistry and stress-related genes in liver of Nile tilapia fish exposed to Bifenthrin. Aquaculture 2022, 546, 737322. [Google Scholar] [CrossRef]
- Abdel-Tawwab, M.; Mousa, M.A.A.; Mohammed, M.A. Use of live baker’s yeast, Saccharomyces cerevisiae, in practical diet to enhance the growth performance of galilee tilapia, Sarotherodon galilaeus (L.), and its resistance to environmental copper toxicity. J. World Aquac. Soc. 2010, 41, 214–223. [Google Scholar] [CrossRef]
- Zhang, P.; Cao, S.; Zou, T.; Han, D.; Liu, H.; Jin, J.; Yang, Y.; Zhu, X.; Xie, S.; Zhou, W. Effects of dietary yeast culture on growth performance, immune response and disease resistance of gibel carp (Carassius auratus gibelio CAS Ⅲ). Fish Shellfish Immunol. 2018, 82, 400–407. [Google Scholar] [CrossRef]
- Biller, J.D.; Takahashi, L.S. Oxidative stress and fish immune system: Phagocytosis and leukocyte respiratory burst activity. An. Acad. Bras. Cienc. 2018, 90, 3403–3414. [Google Scholar] [CrossRef]
- Abdel-Tawwab, M.; Adeshina, I.; Issa, Z.A. Antioxidants and immune responses, resistance to Aspergilus flavus infection, and growth performance of Nile tilapia, Oreochromis niloticus, fed diets supplemented with yeast, Saccharomyces serevisiae. Anim. Feed. Sci. Technol. 2020, 263, 114484. [Google Scholar] [CrossRef]
- Bu, X.; Lian, X.; Wang, Y.; Luo, C.; Tao, S.; Liao, Y.; Yang, J.; Chen, A.; Yang, Y. Dietary yeast culture modulates immune response related to TLR2-MyD88-NF-kβ signaling pathway, antioxidant capability and disease resistance against Aeromonas hydrophila for Ussuri catfish (Pseudobagrus ussuriensis). Fish Shellfish Immunol. 2019, 84, 711–718. [Google Scholar] [CrossRef] [PubMed]
- El-Nobi, G.; Hassanin, M.; Khalil, A.A.; Mohammed, A.Y.; Amer, S.A.; Montaser, M.M.; El-sharnouby, M.E. Synbiotic effects of Saccharomyces cerevisiae, mannan oligosaccharides, and β-glucan on innate immunity, antioxidant status, and disease resistance of Nile tilapia, Oreochromis niloticus. Antibiotics 2021, 10, 567. [Google Scholar] [CrossRef] [PubMed]
- Ren, Z.; Wang, S.; Cai, Y.; Wu, Y.; Tian, L.; Wang, S.; Jiang, L.; Guo, W.; Sun, Y.; Zhou, Y. Effects of dietary mannan oligosaccharide supplementation on growth performance, antioxidant capacity, non-specific immunity and immune-related gene expression of juvenile hybrid grouper (Epinephelus lanceolatus♂ × Epinephelus fuscoguttatus♀). Aquaculture 2020, 523, 735195. [Google Scholar] [CrossRef]
- Whyte, S.K. The innate immune response of finfish—A review of current knowledge. Fish Shellfish Immunol. 2007, 23, 1127–1151. [Google Scholar] [CrossRef]
- Song, Q.; Xiao, Y.; Xiao, Z.; Liu, T.; Li, J.; Li, P.; Han, F. Lysozymes in fish. J. Agric. Food Chem. 2021, 69, 15039–15051. [Google Scholar] [CrossRef] [PubMed]
- Bavia, L.; Santiesteban-Lores, L.E.; Carneiro, M.C.; Prodocimo, M.M. Advances in the complement system of a teleost fish, Oreochromis niloticus. Fish Shellfish Immunol. 2022, 123, 61–74. [Google Scholar] [CrossRef]
- Adel, M.; Dawood, M.A.; Shafiei, S.; Sakhaie, F.; Shekarabi, S.P.H. Dietary Polygonum minus extract ameliorated the growth performance, humoral immune parameters, immune-related gene expression and resistance against Yersinia ruckeri in rainbow trout (Oncorhynchus mykiss). Aquaculture 2020, 519, 734738. [Google Scholar] [CrossRef]
- Mohammadi, G.; Rafiee, G.; El Basuini, M.F.; Abdel-Latif, H.M.R.; Dawood, M.A.O. The growth performance, antioxidant capacity, immunological responses, and the resistance against Aeromonas hydrophila in Nile tilapia (Oreochromis niloticus) fed Pistacia vera hulls derived polysaccharide. Fish Shellfish Immunol. 2020, 106, 36–43. [Google Scholar] [CrossRef] [PubMed]
- Lallès, J.-P. Biology, environmental and nutritional modulation of skin mucus alkaline phosphatase in fish: A review. Fish Shellfish Immunol. 2019, 89, 179–186. [Google Scholar] [CrossRef]
- Yousefi, S.; Shokri, M.M.; Noveirian, H.A.; Hoseinifar, S.H. Effects of dietary yeast cell wall on biochemical indices, serum and skin mucus immune responses, oxidative status and resistance against Aeromonas hydrophila in juvenile Persian sturgeon (Acipenser persicus). Fish Shellfish Immunol. 2020, 106, 464–472. [Google Scholar] [CrossRef] [PubMed]
- Espinosa, C.; Esteban, M.Á. Effect of dietary supplementation with yeast on skin, serum and liver of gilthead seabream (L). J. Fish Biol. 2020, 97, 869–881. [Google Scholar] [CrossRef] [PubMed]
- Leclercq, E.; Pontefract, N.; Rawling, M.; Valdenegro, V.; Aasum, E.; Andujar, L.V.; Migaud, H.; Castex, M.; Merrifield, D. Dietary supplementation with a specific mannan-rich yeast parietal fraction enhances the gut and skin mucosal barriers of Atlantic salmon (Salmo salar) and reduces its susceptibility to sea lice (Lepeophtheirus salmonis). Aquaculture 2020, 529, 735701. [Google Scholar] [CrossRef]
- Woo, P.T.; Bruno, D.W. Fish diseases and disorders. In Viral, Bacterial and Fungal Infections; Cabi: Boston, MA, USA, 2011; Volume 3. [Google Scholar]
- Gomez, D.; Sunyer, J.O.; Salinas, I. The mucosal immune system of fish: The evolution of tolerating commensals while fighting pathogens. Fish Shellfish Immunol. 2013, 35, 1729–1739. [Google Scholar] [CrossRef]
- Abu-Elala, N.M.; Younis, N.A.; AbuBakr, H.O.; Ragaa, N.M.; Borges, L.L.; Bonato, M.A. Influence of dietary fermented Saccharomyces cerevisiae on growth performance, oxidative stress parameters, and immune response of cultured Oreochromis niloticus. Fish Physiol. Biochem. 2020, 46, 533–545. [Google Scholar] [CrossRef]
- Dawood, M.A.O. Nutritional immunity of fish intestines: Important insights for sustainable aquaculture. Rev. Aquac. 2021, 13, 642–663. [Google Scholar] [CrossRef]
- Zou, J.; Secombes, C. The function of fish cytokines. Biology 2016, 5, 23. [Google Scholar] [CrossRef]
- Ran, C.; Hu, J.; Liu, W.; Liu, Z.; He, S.; Dan, B.C.T.; Diem, N.N.; Ooi, E.L.; Zhou, Z. Thymol and carvacrol affect hybrid tilapia through the combination of direct stimulation and an intestinal microbiota-mediated effect: Insights from a germ-free zebrafish model. J. Nutr. 2016, 146, 1132–1140. [Google Scholar] [CrossRef] [PubMed]
- Yuan, X.-Y.; Jiang, G.-Z.; Wang, C.-C.; Abasubong, K.P.; Zou, Q.; Zhou, Y.-Y.; Liu, W.-B. Effects of partial replacement of fish meal by yeast hydrolysate on antioxidant capability, intestinal morphology, and inflammation-related gene expression of juvenile Jian carp (Cyprinus carpio var. Jian). Fish Physiol. Biochem. 2019, 45, 187–197. [Google Scholar] [CrossRef] [PubMed]
- Das, S.; Pradhan, C.; Pillai, D. β-Defensin: An adroit saviour in teleosts. Fish Shellfish Immunol. 2022, 123, 417–430. [Google Scholar] [CrossRef] [PubMed]
- Zhao, Y.; Yan, M.-Y.; Jiang, Q.; Yin, L.; Zhou, X.-Q.; Feng, L.; Liu, Y.; Jiang, W.-D.; Wu, P.; Zhao, J.; et al. Isoleucine improved growth performance, and intestinal immunological and physical barrier function of hybrid catfish Pelteobagrus vachelli × Leiocassis longirostris. Fish Shellfish Immunol. 2021, 109, 20–33. [Google Scholar] [CrossRef]
- Wu, P.; Jiang, W.-D.; Jiang, J.; Zhao, J.; Liu, Y.; Zhang, Y.-A.; Zhou, X.-Q.; Feng, L. Dietary choline deficiency and excess induced intestinal inflammation and alteration of intestinal tight junction protein transcription potentially by modulating NF-κB, STAT and p38 MAPK signaling molecules in juvenile Jian carp. Fish Shellfish Immunol. 2016, 58, 462–473. [Google Scholar] [CrossRef] [PubMed]
- Jiang, J.; Yin, L.; Li, J.-Y.; Li, Q.; Shi, D.; Feng, L.; Liu, Y.; Jiang, W.-D.; Wu, P.; Zhao, Y.; et al. Glutamate attenuates lipopolysaccharide-induced oxidative damage and mRNA expression changes of tight junction and defensin proteins, inflammatory and apoptosis response signaling molecules in the intestine of fish. Fish Shellfish Immunol. 2017, 70, 473–484. [Google Scholar] [CrossRef]
- van der Marel, M.; Adamek, M.; Gonzalez, S.F.; Frost, P.; Rombout, J.H.; Wiegertjes, G.F.; Savelkoul, H.F.; Steinhagen, D. Molecular cloning and expression of two β-defensin and two mucin genes in common carp (Cyprinus carpio L.) and their up-regulation after β-glucan feeding. Fish Shellfish Immunol. 2012, 32, 494–501. [Google Scholar] [CrossRef] [PubMed]
- Hoseini, S.M.; Yousefi, M.; Afzali-Kordmahalleh, A.; Pagheh, E.; Mirghaed, A.T. Effects of dietary lactic acid supplementation on the activity of digestive and antioxidant enzymes, gene expressions, and bacterial communities in the intestine of common carp, Cyprinus carpio. Animals 2023, 13, 1934. [Google Scholar] [CrossRef] [PubMed]
- Roberts, R.J.; Agius, C.; Saliba, C.; Bossier, P.; Sung, Y.Y. Heat shock proteins (chaperones) in fish and shellfish and their potential role in relation to fish health: A review. J. Fish Dis. 2010, 33, 789–801. [Google Scholar] [CrossRef]
- Hoseini, S.M.; Rajabiesterabadi, H.; Abbasi, M.; Khosraviani, K.; Hoseinifar, S.H.; Van Doan, H. Modulation of humoral immunological and antioxidant responses and gut bacterial community and gene expression in rainbow trout, Oncorhynchus mykiss, by dietary lactic acid supplementation. Fish Shellfish Immunol. 2022, 125, 26–34. [Google Scholar] [CrossRef] [PubMed]
- Yousefi, M.; Ghafarifarsani, H.; Raissy, M.; Yilmaz, S.; Vatnikov, Y.A.; Kulikov, E.V. Effects of dietary malic acid supplementation on growth performance, antioxidant and immunological parameters, and intestinal gene expressions in rainbow trout, Oncorhynchus mykiss. Aquaculture 2023, 563, 738864. [Google Scholar] [CrossRef]
- Huang, L.; Ran, C.; He, S.; Ren, P.; Hu, J.; Zhao, X.; Zhou, Z. Effects of dietary Saccharomyces cerevisiae culture or live cells with Bacillus amyloliquefaciens spores on growth performance, gut mucosal morphology, hsp70 gene expression, and disease resistance of juvenile common carp (Cyprinus carpio). Aquaculture 2015, 438, 33–38. [Google Scholar] [CrossRef]


| Ingredients | Amount (g/kg) | |||||
|---|---|---|---|---|---|---|
| CTL | Y | TH250 | TH250+Y | TH500 | TH500+Y | |
| Fish meal 1 | 200 | 200 | 200 | 200 | 200 | 200 |
| Wheat meal | 200 | 200 | 200 | 200 | 200 | 200 |
| Soybean meal 2 | 240 | 240 | 240 | 240 | 240 | 240 |
| Poultry slaughterhouse by-product 3 | 270 | 270 | 270 | 270 | 270 | 270 |
| Sunflower oil | 40 | 40 | 40 | 40 | 40 | 40 |
| Canola oil | 40 | 40 | 40 | 40 | 40 | 40 |
| Mineral premix 4 | 5 | 5 | 5 | 5 | 5 | 5 |
| Vitamin premix 5 | 5 | 5 | 5 | 5 | 5 | 5 |
| Biochemical composition | ||||||
| Moisture (g/kg) | 83.3 | 84.2 | 85.1 | 83.9 | 83.4 | 84.0 |
| Crude protein (g/kg) | 422 | 429 | 420 | 421 | 428 | 423 |
| Crude fat (g/kg) | 147 | 151 | 142 | 146 | 152 | 148 |
| Crude ash (g/kg) | 84.5 | 86.2 | 85.1 | 85.0 | 84.0 | 84.3 |
| Crude fiber (g/kg) | 19.2 | 19.3 | 18.4 | 18.0 | 18.9 | 19.3 |
| Gene | Sequences | Amplicon | Efficiency | Annealing | Accession Number | Reference | |
|---|---|---|---|---|---|---|---|
| tnf-a | F: | CAGGCTTCGTTTAGGGTCAAG | 186 | 96.6 | 57 °C; 30 s | NM_001124357.1 | [17] |
| R: | AACTGCATTGTACCAGCCTTC | ||||||
| hsp-70 | F: | CGAGGATGGGATCTTTGAGGTG | 131 | 96.9 | 57 °C; 30 s | XM_036940954.1 | [17] |
| R: | TCTGGCTGATGTCCTTCTTGTG | ||||||
| il-1b | F: | GAAGTTGAGCAGGTCCTTGTC | 146 | 97.1 | 57 °C; 30 s | AB118099.1 | [17] |
| R: | TCCACGAGCTGAAGAAAGAGA | ||||||
| b-def | F: | GCGTTTCTAACCTGGCATGAT | 145 | 95.2 | 57 °C; 30 s | NM_001195168.1 | [17] |
| R: | AACGGGATCCTCATAGCAGTT | ||||||
| tgf-b | F: | TCTGAATGAGTGGCTGCAAG | 75 | 96.6 | 57 °C; 30 s | X99303 | [18] |
| R: | GGTTTCCCACAATCACAAGG | ||||||
| gadph | F: | GAGGGTCTGATGAGCACAGTTC | 150 | 99.7 | 57 °C; 30 s | XM_021623341.2 | [17] |
| R: | GATGACCTTGCCGACAGCC | ||||||
| IW (g) | FW (g) | WG (%) | SGR (%/d) | FCR | Survival (%) | |
|---|---|---|---|---|---|---|
| CTL | 6.57 ± 0.29 | 26.0 ± 1.93 | 296 ± 14.2 | 2.29 ± 0.06 | 1.04 ± 0.05 | 100 |
| Y | 6.63 ± 0.12 | 27.5 ± 0.70 | 314 ± 12.3 | 2.37 ± 0.05 | 1.03 ± 0.04 | 100 |
| TH250 | 6.70 ± 0.10 | 27.4 ± 0.80 | 310 ± 16.9 | 2.35 ± 0.07 | 1.06 ± 0.06 | 100 |
| TH250+Y | 6.53 ± 0.25 | 28.5 ± 0.64 | 337 ± 7.76 | 2.46 ± 0.03 | 0.95 ± 0.02 | 100 |
| TH500 | 6.70 ± 0.26 | 29.7 ± 0.81 | 344 ± 7.90 | 2.48 ± 0.03 | 0.90 ± 0.02 | 100 |
| TH500+Y | 6.60 ± 0.10 | 29.6 ± 1.10 | 348 ± 22.9 | 2.50 ± 0.09 | 0.89 ± 0.06 | 100 |
| p-value | ||||||
| Thymol | 0.578 | 0.104 | 0.265 | 0.260 | 0.421 | - |
| Yeast | 0.821 | 0.001 | <0.001 | <0.001 | <0.001 | - |
| Interaction | 0.780 | 0.985 | 0.773 | 0.749 | 0.352 | - |
| ALT (U/L) | AST (U/L) | LDH (U/L) | |
|---|---|---|---|
| CTL | 20.3 ± 4.73 | 60.0 ± 7.55 | 203 ± 54.8 |
| Y | 15.3 ± 2.08 | 43.3 ± 6.65 | 149 ± 25.8 |
| TH250 | 17.7 ± 1.53 | 39.3 ± 7.02 | 159 ± 22.6 |
| TH250+Y | 18.0 ± 2.65 | 46.3 ± 5.51 | 147 ± 14.5 |
| TH500 | 15.0 ± 2.65 | 34.3 ± 5.86 | 141 ± 21.1 |
| TH500+Y | 16.0 ± 2.64 | 36.0 ± 7.94 | 138 ± 13.1 |
| p-value | |||
| Thymol | 0.093 | 0.003 | 0.187 |
| Yeast | 0.309 | 0.019 | 0.056 |
| Interaction | 0.832 | 0.445 | 0.356 |
| MDA (nM/g·ww) | GSH (µM/g·ww) | TAC (µM/mg·pr) | SOD (U/mg·pr) | CAT (U/mg·pr) | GPx (U/mg·pr) | |
|---|---|---|---|---|---|---|
| CTL | 169 ± 17.0 | 2.21 ± 0.22 | 0.60 ± 0.06 | 16.1 ± 4.89 | 111 ± 9.54 | 135 ± 23.1 |
| Y | 118 ± 15.2 | 2.62 ± 0.37 | 0.72 ± 0.09 | 24.7 ± 4.04 | 145 ± 17.0 | 355 ± 19.3 |
| TH250 | 113 ± 11.0 | 2.90 ± 0.26 | 0.79 ± 0.09 | 25.4 ± 5.84 | 147 ± 13.3 | 303 ± 12.2 |
| TH250+Y | 126 ± 8.88 | 2.72 ± 0.28 | 0.70 ± 0.06 | 22.0 ± 3.54 | 127 ± 10.7 | 205 ± 27.8 |
| TH500 | 98.3 ± 7.51 | 3.17 ± 0.38 | 0.79 ± 0.05 | 27.3 ± 3.51 | 165 ± 12.7 | 346 ± 63.7 |
| TH500+Y | 98.7 ± 6.11 | 3.20 ± 0.38 | 0.83 ± 0.06 | 27.4 ± 5.14 | 164 ± 14.6 | 295 ± 29.5 |
| p-value | ||||||
| Thymol | <0.001 | 0.015 | 0.005 | 0.015 | 0.001 | <0.001 |
| Yeast | 0.001 | 0.008 | 0.051 | 0.072 | 0.013 | 0.292 |
| Interaction | 0.121 | 0.758 | 0.784 | 0.825 | 0.965 | 0.106 |
| Plasma | Skin Mucus | |||||
|---|---|---|---|---|---|---|
| Lysozyme (U/mL) | ACH50 (%) | Total Ig (g/dL) | Lysozyme (U/mg·pr) | ALP (U/mg·pr) | Total Ig (%) | |
| CTL | 19.0 ± 3.00 | 21.3 ± 4.51 | 0.75 ± 0.09 | 28.7 ± 3.52 | 1.27 ± 0.17 | 35.7 ± 3.33 |
| Y | 23.3 ± 2.51 | 21.0 ± 3.00 | 0.81 ± 0.11 | 27.3 ± 6.02 | 1.58 ± 0.10 | 34.8 ± 7.65 |
| TH250 | 22.3 ± 1.53 | 21.0 ± 2.00 | 0.87 ± 0.18 | 28.0 ± 3.51 | 1.58 ± 0.21 | 36.2 ± 5.22 |
| TH250+Y | 21.3 ± 3.05 | 25.7 ± 2.52 | 1.00 ± 0.12 | 33.7 ± 6.11 | 1.61 ± 0.13 | 37.8 ± 6.66 |
| TH500 | 25.0 ± 2.00 | 31.3 ± 3.51 | 1.19 ± 0.19 | 35.3 ± 6.03 | 1.89 ± 0.15 | 35.0 ± 1.80 |
| TH500+Y | 26.7 ± 2.52 | 28.0 ± 3.61 | 1.23 ± 0.15 | 37.7 ± 7.37 | 1.96 ± 0.16 | 38.3 ± 3.25 |
| p-value | ||||||
| Thymol | 0.019 | 0.395 | 0.126 | 0.854 | 0.006 | 0.821 |
| Yeast | 0.036 | 0.001 | <0.001 | 0.015 | 0.001 | 0.573 |
| Interaction | 0.639 | 0.321 | 0.701 | 0.771 | 0.922 | 0.779 |
Disclaimer/Publisher’s Note: The statements, opinions and data contained in all publications are solely those of the individual author(s) and contributor(s) and not of MDPI and/or the editor(s). MDPI and/or the editor(s) disclaim responsibility for any injury to people or property resulting from any ideas, methods, instructions or products referred to in the content. |
© 2025 by the authors. Licensee MDPI, Basel, Switzerland. This article is an open access article distributed under the terms and conditions of the Creative Commons Attribution (CC BY) license (https://creativecommons.org/licenses/by/4.0/).
Share and Cite
Yousefi, M.; Adineh, H.; Taheri Mirghaed, A.; Hoseini, S.M. Co-Supplementation of Diet with Saccharomyces cerevisiae and Thymol: Effects on Growth Performance, Antioxidant and Immunological Responses of Rainbow Trout, Oncorhynchus mykiss. Animals 2025, 15, 302. https://doi.org/10.3390/ani15030302
Yousefi M, Adineh H, Taheri Mirghaed A, Hoseini SM. Co-Supplementation of Diet with Saccharomyces cerevisiae and Thymol: Effects on Growth Performance, Antioxidant and Immunological Responses of Rainbow Trout, Oncorhynchus mykiss. Animals. 2025; 15(3):302. https://doi.org/10.3390/ani15030302
Chicago/Turabian StyleYousefi, Morteza, Hossein Adineh, Ali Taheri Mirghaed, and Seyyed Morteza Hoseini. 2025. "Co-Supplementation of Diet with Saccharomyces cerevisiae and Thymol: Effects on Growth Performance, Antioxidant and Immunological Responses of Rainbow Trout, Oncorhynchus mykiss" Animals 15, no. 3: 302. https://doi.org/10.3390/ani15030302
APA StyleYousefi, M., Adineh, H., Taheri Mirghaed, A., & Hoseini, S. M. (2025). Co-Supplementation of Diet with Saccharomyces cerevisiae and Thymol: Effects on Growth Performance, Antioxidant and Immunological Responses of Rainbow Trout, Oncorhynchus mykiss. Animals, 15(3), 302. https://doi.org/10.3390/ani15030302

