Lipid Metabolism Alterations in Hyperlipidemic Dogs with Biliary Tract or Endocrine Diseases
Simple Summary
Abstract
1. Introduction
2. Materials and Methods
2.1. Case Selection
2.2. Inclusion and Exclusion Criteria
2.3. Signalment and Clinical Presentations
2.4. Biochemical Profile Evaluation
2.5. Evaluation of Underlying Diseases
2.6. Methodology and Evaluation of Lipoprotein Electrophoresis (LPE)
- 1.
- H subgroup: hyperlipidemic dogs without biliary tract or endocrine diseases;
- 2.
- H + B subgroup: hyperlipidemic dogs with biliary tract diseases but without endocrine diseases;
- 3.
- H + B + E subgroup: hyperlipidemic dogs with both biliary tract and endocrine diseases.
2.7. Statistical Analysis
3. Results
3.1. Signalment
3.2. Clinical Presentations
3.3. Hematologic and Serum Chemistry Evaluation
3.4. Evaluation of Hepatobilliary Profiles
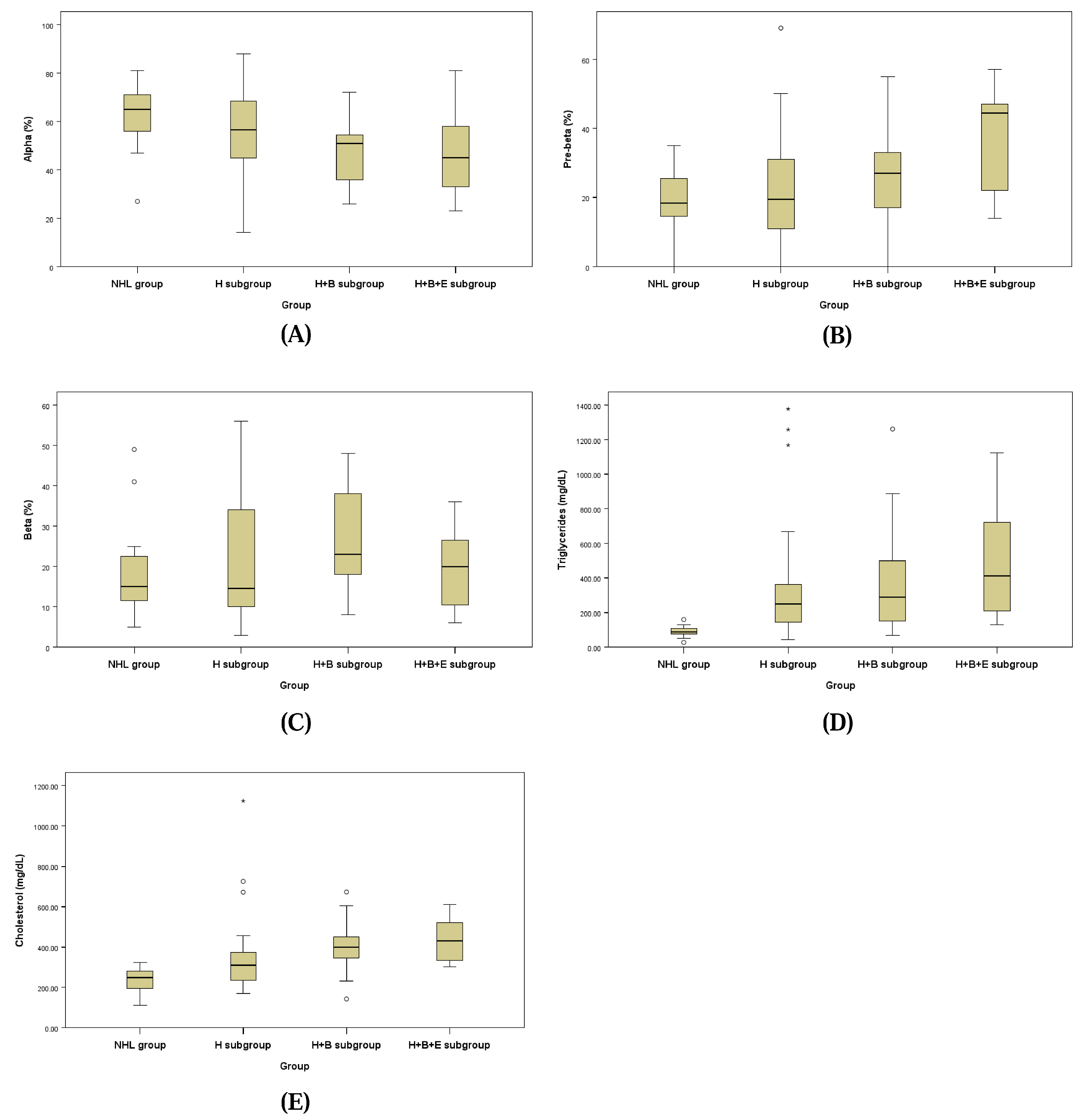
3.5. Comparison of Lipid Profiles Between Groups
3.6. Linear Relationships Between Lipid Profiles and Biochemical Values Related to Lipid and Hepatobiliary Disease
3.7. Lipid Profiles and Underlying Diseases
3.8. Lipid Profiles of Schnauzers
4. Discussion
5. Conclusions
Author Contributions
Funding
Institutional Review Board Statement
Informed Consent Statement
Data Availability Statement
Conflicts of Interest
References
- Richard, B.F.; Chris, L.L. Disorders of lipid metabolism. In Small Animal Clinical Nutrition, 5th ed.; Michael, S.H., Craig, D.T., Rebecca, L.R., Phillip, R., Bruce, J.N., Eds.; Mark Morris Institute: Topeka, KS, USA, 2010; pp. 545–557. [Google Scholar]
- Xenoulis, P.G.; Steriner, J.M. Lipid metabolism and heperlipidemia in dogs. Vet. J. 2010, 183, 12–21. [Google Scholar] [CrossRef] [PubMed]
- Watson, T.D.G. Lipoprotein metabolism in dogs and cats. Comp. Haematol. Int. 1996, 6, 17–23. [Google Scholar] [CrossRef]
- Barrie, J.; Nash, A.S.; Watson, T.D.G. Quantitative analysis of canine plasma lipoproteins. J. Small Anim. Pract. 1993, 34, 226–231. [Google Scholar] [CrossRef]
- Robert, I.L.; Robert, S.L.; Donald, S.F. The nature of pre-beta (Very low density) lipoproteins. J. Clin. Investig. 1966, 45, 63–77. [Google Scholar]
- Lindall, A.W.; Grande, F.; Schultz, A. The effect of dietary fats on the serum lipoproteins of normal dogs. Proc. Soc. Exp. Biol. Med. 1971, 136, 1032–1037. [Google Scholar] [CrossRef] [PubMed]
- Patricia, S. Canine hyperlipidemia: Causes and nutritional management. In Encyclopedia of Canine Clinical Nutrition; Pascake, P., Vincent, B., Denise, E., Eds.; Aniwa SAS/Royal Canin: Paris, France, 2006; pp. 222–250. [Google Scholar]
- Watson, T.D.G.; Barrie, J. Lipoprotein metabolism and hyperlipidaemia in the dog and cat: A review. J. Small Anim. Pract. 1993, 34, 479–487. [Google Scholar] [CrossRef]
- Barrie, J.; Watson, T.D.G.; Steer, M.J. Plasma cholesterol and lipoprotein concentrations in the dog: The effects of age, breed, gender and endocrine disease. J. Small Anim. Pract. 1993, 34, 507–512. [Google Scholar] [CrossRef]
- Aguirre, A. Diseases of the Gallbladder and extrahepatic biliary system. In Textbook of Veterinary Internal Medicine, 7th ed.; Ettinger, S.J., Feldman, E.C., Eds.; WB Saunders: Philadelphia, PA, USA, 2010; pp. 1689–1695. [Google Scholar]
- Yoo, S.S.; Lee, M.H.; Kim, S.K. Studies on changes of concentration of serum protein and lipoprotein in Korean Jindo dogs. J. Vet. Sci. CNU 1998, 6, 13–17. [Google Scholar]
- Webster, C.R.L. History, clinical signs, and physical findings in hepatobiliary disease. In Textbook of Veterinary Internal Medicine, 7th ed.; Ettinger, S.J., Feldman, E.C., Eds.; WB Saunders: Philadelphia, PA, USA, 2010; pp. 1612–1625. [Google Scholar]
- Yang, J.G.; He, X.F.; Huang, B.; Zhang, H.A.; He, Y.K. Rule of changes in serum GGT levels and GGT/ALT and AST/ALT ratios in primary hepatic carcinoma patients with different AFP levels. Cancer Biomark. 2018, 21, 743–746. [Google Scholar] [CrossRef] [PubMed]
- Canbay, A.; Best, J.; Özçürümez, M. Liver Function Tests and Liver Scores: Relevance, Interpretation, Algorithms, and Disease Specifics; FALK Foundation: Freiburg, Germany, 2021; pp. 5–46. [Google Scholar]
- Center, S.A. Interpretation of liver enzymes. Vet. Clin. N. Am. Small Anim. Pract. 2007, 37, 297–333. [Google Scholar] [CrossRef] [PubMed]
- Steiner, J.M. Canine pancreatic disease. In Textbook of Veterinary Internal Medicine, 7th ed.; Ettinger, S.J., Feldman, E.C., Eds.; WB Saunders: Philadelphia, PA, USA, 2010; pp. 1695–1709. [Google Scholar]
- Chikamune, T.; Katamoto, H.; Ohashi, F.; Shimada, Y. Serum lipid and lipoprotein concentrations in obese dogs. J. Vet. Med. Sci. 1995, 57, 595–598. [Google Scholar] [CrossRef] [PubMed]
- Mori, N.; Lee, P.; Kondo, K.; Kido, T.; Saito, T.; Arai, T. Potential use of cholesterol lipoprotein profile to confirm obesity status in dogs. Vet. Res. Commun. 2011, 35, 223–235. [Google Scholar] [CrossRef]
- Hein, P.M.; David, C.T.; Philip, R.; Elizabeta, D.M. Hepatobiliary disease. In Small Animal Clinical Nutrition, 5th ed.; Michael, S.H., Craig, D.T., Rebecca, L.R., Phillip, R., Bruce, J.N., Eds.; Mark Morris Institute: Topeka, KS, USA, 2010; pp. 1155–1192. [Google Scholar]
- Rogers, W.A.; Donovan, E.F.; Kociba, G.J. Lipids and lipoproteins in normal dogs and in dogs with secondary hyperlipoproteinemia. Am. Vet. Med. Assoc. 1975, 166, 1092–1100. [Google Scholar]
- Rogers, W.A.; Donovan, E.F.; Kociba, G.J. Idiopathic hyperlipoproteinemia in dogs. J. Am. Vet. Med. Assoc. 1975, 166, 1087–1091. [Google Scholar] [PubMed]
- Xenoulis, P.G.; Suchodolski, J.S.; Levinski, M.D.; Steiner, J.M. Investigation of Hypertriglyceridemia in Healthy Miniature Schnauzers. J. Vet. Intern. Med. 2007, 21, 1224–1230. [Google Scholar] [CrossRef]
- Xenoulis, P.G.; Cammarata, P.J.; Walzem, R.L.; Macfarlane, R.D.; Suchodolski, J.S.; Steriner, J.M. Novel lipoprotein density profiling in healthy dogs of various breeds, healthy miniature schnauzers, and miniature schnauzers with hyperlipidemia. BMC Vet. Res. 2024, 9, 47–57. [Google Scholar] [CrossRef] [PubMed]
- Furrow, E.; Jaeger, J.Q.; Parker, V.J.; Hinchcliff, K.W.; Johnson, S.E.; Murdoch, S.J.; Boer, I.H.; Sherding, R.G.; Brunzell, J.D. Proteinuria and lipoprotein lipase activity in Miniature Schnauzer dogs with and without hypertriglyceridemia. Vet. J. 2016, 212, 83–89. [Google Scholar] [CrossRef] [PubMed]



| Variable | NHL Group (n = 16) | HL Group (n = 49) | p | ||
|---|---|---|---|---|---|
| n | % | n | % | ||
| Sex | |||||
| IF | 5 | 31.3% | 12 | 24.5% | 0.664 |
| SF | 3 | 18.8% | 15 | 30.6% | |
| IM | 3 | 18.8% | 5 | 10.2% | |
| CM | 5 | 31.3% | 17 | 34.7% | |
| Age | |||||
| ~ 4 Years | 3 | 18.8% | 4 | 8.2% | 0.491 |
| 5~10 Years | 9 | 56.3% | 32 | 65.3% | |
| 11 Years ~ | 4 | 25.0% | 13 | 26.5% | |
| Breed | |||||
| Miniature Schnauzer | 0 | 0.0% | 18 | 36.7% | 0.026 * |
| Yorkshire Terrier | 4 | 25.0% | 6 | 12.2% | |
| Maltese | 5 | 31.3% | 4 | 8.2% | |
| Shih Tzu | 3 | 18.8% | 6 | 12.2% | |
| Chihuahua | 2 | 12.5% | 2 | 4.1% | |
| Mixed | 0 | 0.0% | 4 | 8.2% | |
| Others a | 2 | 12.5% | 4 | 10.0% | |
| Body condition score (BCS) | |||||
| (five-point system) | |||||
| 1/5 | 0 | 0.0% | 1 | 2.0% | 0.146 |
| 2/5 | 1 | 6.2% | 0 | 0.0% | |
| 3/5 | 2 | 12.5% | 13 | 26.5% | |
| 4/5 | 4 | 25.0% | 19 | 38.8% | |
| 5/5 | 9 | 56.2% | 16 | 32.7% | |
| Clinical Sign | NHL Group (n = 16) | HL Group (n = 49) | p | ||
|---|---|---|---|---|---|
| n | % | n | % | ||
| Anorexia | 0 | 0.0% | 4 | 8.2% | 0.238 |
| Vomiting | 2 | 12.5% | 9 | 18.4% | 0.587 |
| Diarrhea | 0 | 0.0% | 1 | 2.0% | 0.565 |
| Abdominal Distension | 0 | 0.0% | 13 | 26.5% | 0.021 * |
| Abdominal Pain | 2 | 12.5% | 11 | 22.4% | 0.388 |
| Neurologic Signs | 3 | 18.8% | 5 | 10.2% | 0.366 |
| Ophthalmologic Signs | 2 | 12.5% | 5 | 10.2% | 0.797 |
| Cutaneous Signs | 1 | 6.3% | 4 | 8.2% | 0.803 |
| Clinical Diagnosis | NHL Group (n = 16) | HL Group (n = 49) | p | ||
|---|---|---|---|---|---|
| n | % | n | % | ||
| Obesity | 13 | 81.2% | 35 | 71.4% | 0.602 |
| Hypothyroidism | 2 | 12.5% | 4 | 8.2% | 0.271 |
| HAC | 1 | 6.2% | 4 | 8.2% | 0.062 |
| PLN | 0 | 0.0% | 1 | 2.0% | 0.332 |
| DM | 1 | 6.2% | 5 | 10.2% | 0.225 |
| Pancreatitis | 1 | 6.2% | 6 | 12.2% | 0.451 |
| Others a | 12 | 75.0% | 42 | 85.7% | 0.985 |
| Variable | NHL Group (n = 16) | HL Group (n = 49) | Reference Range | p | ||
|---|---|---|---|---|---|---|
| M | SD | M | SD | |||
| WBC (×103/μL) | 14.65 | 7.83 | 14.12 | 11.11 | 6 ~ 17 | 0.862 |
| RBC (×103/μL) | 7.19 | 1.00 | 7.06 | 1.02 | 5.5 ~ 8.5 | 0.679 |
| HGB (gm/dL) | 17.13 | 2.58 | 17.09 | 2.83 | 12 ~ 18 | 0.959 |
| PCV (%) | 47.79 | 5.70 | 47.44 | 6.62 | 37 ~ 55 | 0.851 |
| MCV (fL) | 66.75 | 4.02 | 67.21 | 4.76 | 60 ~ 74 | 0.731 |
| MCHC (%) | 23.79 | 2.11 | 24.30 | 3.67 | 31 ~ 36 | 0.599 |
| PLT (×103/μL) | 35.32 | 3.38 | 35.68 | 5.52 | 200 ~ 500 | 0.806 |
| Variable | NHL Group (n = 16) | HL Group (n = 49) | Reference Range | p | ||
|---|---|---|---|---|---|---|
| M | SD | M | SD | |||
| BUN (mg/dL) | 18.32 | 12.52 | 17.60 | 7.85 | 8 ~ 26 | 0.785 |
| CRE (mg/dL) | 0.71 | 0.62 | 0.76 | 0.24 | 0.5 ~ 1.3 | 0.634 |
| ALT (U/L) | 54.50 | 35.36 | 244.80 | 880.08 | 19 ~ 70 | 0.393 |
| AST (U/L) | 30.00 | 9.67 | 73.20 | 169.62 | 15 ~ 43 | 0.315 |
| ALP (U/L) | 396.06 | 553.55 | 704.90 | 1013.21 | 15 ~ 127 | 0.250 |
| GGT (mg/dL) | 9.21 | 3.61 | 19.62 | 38.94 | 0 ~ 6 | 0.292 |
| LDH (U/L) | 87.56 | 114.76 | 133.73 | 192.82 | 0 ~ 130 | 0.369 |
| CK (U/L) | 143.63 | 153.99 | 225.71 | 344.41 | 46 ~ 320 | 0.361 |
| T. Chol (mg/dL) | 231.69 | 62.37 | 389.67 | 172.57 | 135 ~ 345 | 0.001 * |
| TG (mg/dL) | 89.56 | 31.60 | 435.78 | 449.64 | 19 ~ 133 | 0.003 * |
| T. Bil (mg/dL) | 0.25 | 0.15 | 0.37 | 0.65 | 0 ~ 0.344 | 0.511 |
| Lipase (U/L) | 71.67 | 45.80 | 184.61 | 261.38 | 0 ~ 500 | 0.303 |
| Glucose (mg/dL) | 129.75 | 68.25 | 153.55 | 115.91 | 70 ~ 118 | 0.441 |
| TP (g/dL) | 6.39 | 0.91 | 6.77 | 0.73 | 5.4 ~ 7.4 | 0.102 |
| ALB (g/dL) | 3.39 | 0.48 | 3.59 | 0.63 | 2.9 ~ 4.2 | 0.253 |
| Ca (mg/dL) | 10.89 | 1.26 | 10.98 | 1.27 | 8.8 ~ 11 | 0.799 |
| P (mg/dL) | 3.38 | 0.93 | 3.57 | 1.25 | 3 ~ 6.2 | 0.589 |
| NH3 (μmol/L) | 63.91 | 24.12 | 66.77 | 33.54 | 16 ~ 75 | 0.804 |
| K (mmol/L) | 4.15 | 0.55 | 4.17 | 0.68 | 3.5 ~ 5.0 | 0.945 |
| Na (mmol/L) | 147.00 | 2.68 | 145.41 | 6.22 | 141 ~ 152 | 0.326 |
| Cl (mmol/L) | 110.44 | 6.44 | 108.76 | 8.15 | 102 ~ 117 | 0.455 |
| Group | n | ALT (U/L) | AST (U/L) | ALP (U/L) | GGT (U/L) |
|---|---|---|---|---|---|
| NHL group a | 16 | 54.50 ± 35.36 | 30.00 ± 9.67 | 396.06 ± 553.55 | 9.21 ± 3.61 |
| HL group | 244.80 ± 880.08 | 73.20 ± 169.62 | 704.90 ± 1013.21 | 19.62 ± 3.61 | |
| H subgroup b | 24 | 348.00 ± 1250.84 | 103.33 ± 239.23 | 320.80 ± 864.85 | 5.13 ± 3.86 |
| H + B subgroup c | 19 | 118.16 ± 122.22 | 36.47 ± 19.05 | 1031.05 ± 1111.59 | 21.75 ± 26.08 |
| H + B + E subgroup d | 6 | 233.00 ± 269.12 | 69.00 ± 46.13 | 1208.50 ± 741.40 | 70.80 ± 88.70 |
| p-Value | 0.647 | 0.370 | 0.019 * | 0.000 * | |
| Group | n | T. Bil (U/L) | GGT/ALT | GGT/ALP | AST/ALT |
| NHL group a | 16 | 0.26 ± 0.15 | 0.212 ± 0.113 | 0.105 ± 0.105 | 0.655 ± 0.258 |
| HL group | 0.37 ± 0.65 | 0.271 ± 0.559 | 0.057 ± 0.074 | 0.786 ± 1.305 | |
| H subgroup b | 24 | 0.39 ± 0.81 | 0.115 ± 0.105 | 0.061 ± 0.075 | 0.770 ± 0.535 |
| H + B subgroup c | 19 | 0.34 ± 0.51 | 0.334 ± 0.533 | 0.039 ± 0.041 | 0.899 ± 2.030 |
| H + B + E subgroup d | 6 | 0.38 ± 0.21 | 0.696 ± 1.258 | 0.096 ± 0.132 | 0.492 ± 0.230 |
| p-Value | 0.916 | 0.054 | 0.105 | 0.867 |
| Group | n | Lipoprotein Fraction (%) | Triglycerides (mg/dL) | Cholesterol (mg/dL) | ||
|---|---|---|---|---|---|---|
| Alpha | Pre-Beta | Beta | ||||
| NHL group a | 16 | 62.50 ± 14.170 | 19.13 ± 8.563 | 18.50 ± 11.944 | 89.56 ± 31.595 | 231.69 ± 62.365 |
| HL group | ||||||
| H subgroup b | 24 | 56.29 ± 17.568 | 22.63 ± 15.871 | 21.17 ± 15.319 | 449.71 ± 551.762 | 364.92 ± 210.875 |
| H + B subgroup c | 19 | 48.16 ± 14.163 | 25.21 ± 13.265 | 26.84 ± 12.668 | 458.53 ± 369.402 | 408.32 ± 133.399 |
| H + B + E subgroup d | 6 | 47.50 ± 20.285 | 38.17 ± 16.510 | 14.50 ± 6.442 | 312.33 ± 157.660 | 429.67 ± 105.341 |
| p-Value | 0.048 * | 0.040 * | 0.143 | 0.026 * | 0.006 * | |
| Group | n | Lipoprotein Fraction (%) | Triglycerides (mg/dL) | Cholesterol (mg/dL) | ||
|---|---|---|---|---|---|---|
| Alpha | Pre-Beta | Beta | ||||
| NHL group a | 16 | 62.50 ± 14.170 | 19.1 ± 8.563 | 18.50 ± 11.944 | 89.56 ± 31.595 | 231.69 ± 62.365 |
| Obesity b | 32 | 61.63 ± 15.545 | 18.44 ± 11.873 | 20.03 ± 13.020 | 346.41 ± 477.127 | 307.16 ± 135.630 |
| Hypothyroidism c | 4 | 52.75 ± 20.255 | 33.25 ± 16.008 | 14.25 ± 6.946 | 234.25 ± 211.571 | 291.25 ± 145.151 |
| HAC d | 4 | 39.50 ± 7.047 | 39.50 ± 6.608 | 21.00 ± 8.524 | 406.00 ± 485.953 | 414.25 ± 137.967 |
| PLN e | 1 | 60.00 | 16.00 | 23.00 | 80.00 | 370 |
| DM f | 5 | 52.20 ± 19.867 | 26.40 ± 13.297 | 22.00 ± 17.944 | 435.00 ± 336.621 | 415.20 ± 120.759 |
| Pancreatitis g | 6 | 51.00 ± 4.967 | 19.25 ± 9.811 | 30.00 ± 10.231 | 507.50 ± 553.071 | 375.25 ± 133.859 |
| p-Value | 0.102 | 0.008 * | 0.706 | 0.311 | 0.032 * | |
| Dog No. | Group | Diagnosis | Lipoprotein Fraction (%) | Triglycerides (mg/dL) | Cholesterol (mg/dL) | ||
|---|---|---|---|---|---|---|---|
| Alpha | Pre-Beta | Beta | |||||
| 1 | Subgroup 2 | Perinal gland Epithelioma | 26 | 32 | 42 | 500 | 450 |
| 2 | Subgroup 3 | DM | 46 | 46 | 8 | 500 | 450 |
| 3 | Subgroup 2 | MVI, epilepsy | 54 | 18 | 28 | 380 | 345 |
| 4 | Subgroup 2 | Renal calculi | 52 | 40 | 8 | 164 | 418 |
| 5 | Subgroup 1 | Renal calculi | 87 | 0 | 13 | 186 | 274 |
| 6 | Subgroup 1 | Evans syndrome | 59 | 32 | 9 | 241 | 234 |
| 7 | Subgroup 1 | Lipoma | 39 | 8 | 53 | 1258 | 415 |
| 8 | Subgroup 1 | MVI Renal calculi | 26 | 31 | 43 | 2354 | 726 |
| 9 | Subgroup 3 | HAC | 34 | 33 | 33 | 1125 | 312 |
| 10 | Subgroup 1 | Lymphoma | 45 | 17 | 38 | 370 | 292 |
| 11 | Subgroup 1 | cPRA | 66 | 30 | 4 | 42 | 364 |
| 12 | Subgroup 2 | MVI Renal calculi | 38 | 38 | 23 | 348 | 460 |
| 13 | Subgroup 2 | Corneal ulcer KCS | 52 | 0 | 48 | 887 | 430 |
| 14 | Subgroup 1 | Gastric FB | 58 | 22 | 20 | 342 | 250 |
| 15 | Subgroup 1 | cPRA | 44 | 50 | 6 | 1168 | 320 |
| 16 | Subgroup 1 | Xylitol intoxication | 69 | 17 | 14 | 217 | 367 |
| 17 | Subgroup 2 | Lipoma Pancreatitis | 44 | 19 | 38 | 583 | 286 |
| 18 | Subgroup 1 | Nasal cell carcinoma | 47 | 17 | 36 | 258 | 266 |
| Average | 49.2 ± 15.22 | 25.0 ± 14.37 | 25.7 ± 16.05 | 606.8 ± 69.12 | 369.9 ± 15.85 | ||
| NHL group b | 62.5 ± 3.54 | 19.1 ± 2.14 | 18.5 ± 2.99 | 89.5 ± 7.89 | 231.6 ± 15.59 | ||
| p-Value | 0.013 * | 0.164 | 0.148 | 0.001 * | 0.000 * | ||
Disclaimer/Publisher’s Note: The statements, opinions and data contained in all publications are solely those of the individual author(s) and contributor(s) and not of MDPI and/or the editor(s). MDPI and/or the editor(s) disclaim responsibility for any injury to people or property resulting from any ideas, methods, instructions or products referred to in the content. |
© 2025 by the authors. Licensee MDPI, Basel, Switzerland. This article is an open access article distributed under the terms and conditions of the Creative Commons Attribution (CC BY) license (https://creativecommons.org/licenses/by/4.0/).
Share and Cite
Kim, T.-W.; Kang, M.-H.; Park, H.-M. Lipid Metabolism Alterations in Hyperlipidemic Dogs with Biliary Tract or Endocrine Diseases. Animals 2025, 15, 256. https://doi.org/10.3390/ani15020256
Kim T-W, Kang M-H, Park H-M. Lipid Metabolism Alterations in Hyperlipidemic Dogs with Biliary Tract or Endocrine Diseases. Animals. 2025; 15(2):256. https://doi.org/10.3390/ani15020256
Chicago/Turabian StyleKim, Tae-Woo, Min-Hee Kang, and Hee-Myung Park. 2025. "Lipid Metabolism Alterations in Hyperlipidemic Dogs with Biliary Tract or Endocrine Diseases" Animals 15, no. 2: 256. https://doi.org/10.3390/ani15020256
APA StyleKim, T.-W., Kang, M.-H., & Park, H.-M. (2025). Lipid Metabolism Alterations in Hyperlipidemic Dogs with Biliary Tract or Endocrine Diseases. Animals, 15(2), 256. https://doi.org/10.3390/ani15020256
