Methylsulfonylmethane (MSM) Supplementation in Adult Horses Supports Improved Skeletal Muscle Inflammatory Gene Expression Following Exercise
Simple Summary
Abstract
1. Introduction
2. Materials and Methods
2.1. Experimental Treatments and Exercise
2.2. Sample Collection
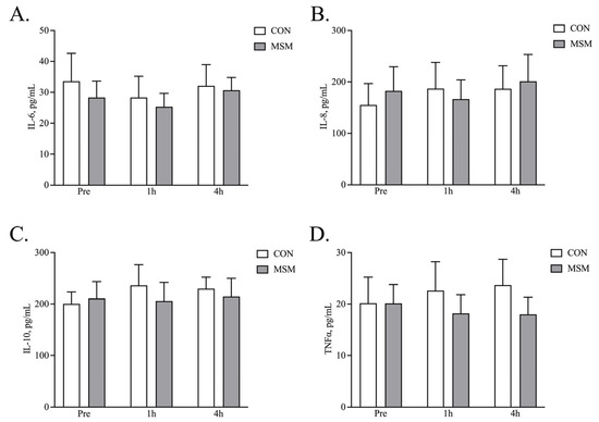
2.3. Cytokine Assays
2.4. Biochemical Assays
2.5. RNA Isolation and Transcriptome Analysis
2.6. Statistical Analysis
3. Results
4. Discussion
5. Conclusions
Author Contributions
Funding
Institutional Review Board Statement
Informed Consent Statement
Data Availability Statement
Acknowledgments
Conflicts of Interest
References
- Chalchat, E.; Gaston, A.-F.; Charlot, K.; Peñailillo, L.; Valdés, O.; Tardo-Dino, P.-E.; Nosaka, K.; Martin, V.; Garcia-Vicencio, S.; Siracusa, J. Appropriateness of Indirect Markers of Muscle Damage Following Lower Limbs Eccentric-Biased Exercises: A Systematic Review with Meta-Analysis. PLoS ONE 2022, 17, e0271233. [Google Scholar] [CrossRef] [PubMed]
- Morgan, D.L.; Allen, D.G. Early Events in Stretch-Induced Muscle Damage. J. Appl. Physiol. 1999, 87, 2007–2015. [Google Scholar] [CrossRef] [PubMed]
- Tidball, J.G.; Villalta, S.A. Regulatory Interactions between Muscle and the Immune System during Muscle Regeneration. Am. J. Physiol. Regul. Integr. Comp. Physiol. 2010, 298, R1173–R1187. [Google Scholar] [CrossRef]
- Chazaud, B. Inflammation and Skeletal Muscle Regeneration: Leave It to the Macrophages! Trends Immunol. 2020, 41, 481–492. [Google Scholar] [CrossRef]
- Minari, A.L.A.; Thomatieli-Santos, R.V. From Skeletal Muscle Damage and Regeneration to the Hypertrophy Induced by Exercise: What Is the Role of Different Macrophage Subsets? Am. J. Physiol. Regul. Integr. Comp. Physiol. 2022, 322, R41–R54. [Google Scholar] [CrossRef]
- Powers, S.K.; Radak, Z.; Ji, L.L.; Jackson, M. Reactive Oxygen Species Promote Endurance Exercise-Induced Adaptations in Skeletal Muscles. J. Sport. Health Sci. 2024, 13, 780–792. [Google Scholar] [CrossRef]
- Reid, M.B. Reactive Oxygen Species as Agents of Fatigue. Med. Sci. Sports Exerc. 2016, 48, 2239–2246. [Google Scholar] [CrossRef]
- Mrugala, D.; Leatherwood, J.L.; Morris, E.F.; Dickson, E.C.; Latham, C.M.; Owen, R.N.; Beverly, M.M.; Kelley, S.F.; White-Springer, S.H. Dietary Conjugated Linoleic Acid Supplementation Alters Skeletal Muscle Mitochondria and Antioxidant Status in Young Horses. J. Anim. Sci. 2021, 99, skab037. [Google Scholar] [CrossRef]
- Latham, C.M.; Dickson, E.C.; Owen, R.N.; Larson, C.K.; White-Springer, S.H. Complexed Trace Mineral Supplementation Alters Antioxidant Activities and Expression in Response to Trailer Stress in Yearling Horses in Training. Sci. Rep. 2021, 11, 7352. [Google Scholar] [CrossRef]
- White, S.H.; Johnson, S.E.; Bobel, J.M.; Warren, L.K. Dietary Selenium and Prolonged Exercise Alter Gene Expression and Activity of Antioxidant Enzymes in Equine Skeletal Muscle. J. Anim. Sci. 2016, 94, 2867–2878. [Google Scholar] [CrossRef]
- Butawan, M.; Benjamin, R.L.; Bloomer, R.J. Methylsulfonylmethane: Applications and Safety of a Novel Dietary Supplement. Nutrients 2017, 9, 290. [Google Scholar] [CrossRef] [PubMed]
- Nakhostin-Roohi, B.; Barmaki, S.; Khoshkhahesh, F.; Bohlooli, S. Effect of Chronic Supplementation with Methylsulfonylmethane on Oxidative Stress Following Acute Exercise in Untrained Healthy Men. J. Pharm. Pharmacol. 2011, 63, 1290–1294. [Google Scholar] [CrossRef] [PubMed]
- van der Merwe, M.; Bloomer, R.J. The Influence of Methylsulfonylmethane on Inflammation-Associated Cytokine Release before and Following Strenuous Exercise. J. Sports Med. 2016, 2016, 7498359. [Google Scholar] [CrossRef] [PubMed]
- Toguchi, A.; Noguchi, N.; Kanno, T.; Yamada, A. Methylsulfonylmethane Improves Knee Quality of Life in Participants with Mild Knee Pain: A Randomized, Double-Blind, Placebo-Controlled Trial. Nutrients 2023, 15, 2995. [Google Scholar] [CrossRef] [PubMed]
- Kalman, D.S.; Feldman, S.; Scheinberg, A.R.; Krieger, D.R.; Bloomer, R.J. Influence of Methylsulfonylmethane on Markers of Exercise Recovery and Performance in Healthy Men: A Pilot Study. J. Int. Soc. Sports Nutr. 2012, 9, 46. [Google Scholar] [CrossRef]
- Withee, E.D.; Tippens, K.M.; Dehen, R.; Tibbitts, D.; Hanes, D.; Zwickey, H. Effects of Methylsulfonylmethane (MSM) on Exercise-Induced Oxidative Stress, Muscle Damage, and Pain Following a Half-Marathon: A Double-Blind, Randomized, Placebo-Controlled Trial. J. Int. Soc. Sports Nutr. 2017, 14, 24. [Google Scholar] [CrossRef]
- Marañón, G.; Muñoz-Escassi, B.; Manley, W.; García, C.; Cayado, P.; de la Muela, M.S.; Olábarri, B.; León, R.; Vara, E. The Effect of Methyl Sulphonyl Methane Supplementation on Biomarkers of Oxidative Stress in Sport Horses Following Jumping Exercise. Acta Vet. Scand. 2008, 50, 45. [Google Scholar] [CrossRef]
- Henneke, D.R.; Potter, G.D.; Kreider, J.L.; Yeates, B.F. Relationship between Condition Score, Physical Measurements and Body Fat Percentage in Mares. Equine Vet. J. 1983, 15, 371–372. [Google Scholar] [CrossRef]
- Gregg, S.R.; Barshick, M.R.; Johnson, S.E. Intravenous Injection of Sodium Hyaluronate Diminishes Basal Inflammatory Gene Expression in Equine Skeletal Muscle. Animals 2023, 13, 3030. [Google Scholar] [CrossRef]
- Busse, N.I.; Gonzalez, M.L.; Krason, M.L.; Johnson, S.E. β-Hydroxy β-Methylbutyrate Supplementation to Adult Thoroughbred Geldings Increases Type IIA Fiber Content in the Gluteus Medius. J. Anim. Sci. 2021, 99, skab264. [Google Scholar] [CrossRef]
- Akhmedov, M.; Martinelli, A.; Geiger, R.; Kwee, I. Omics Playground: A Comprehensive Self-Service Platform for Visualization, Analytics and Exploration of Big Omics Data. NAR Genom. Bioinform. 2020, 2, lqz019. [Google Scholar] [CrossRef] [PubMed]
- Milacic, M.; Beavers, D.; Conley, P.; Gong, C.; Gillespie, M.; Griss, J.; Haw, R.; Jassal, B.; Matthews, L.; May, B.; et al. The Reactome Pathway Knowledgebase 2024. Nucleic Acids Res. 2024, 52, D672–D678. [Google Scholar] [CrossRef] [PubMed]
- Fabregat, A.; Sidiropoulos, K.; Viteri, G.; Forner, O.; Marin-Garcia, P.; Arnau, V.; D’Eustachio, P.; Stein, L.; Hermjakob, H. Reactome Pathway Analysis: A High-Performance in-Memory Approach. BMC Bioinform. 2017, 18, 142. [Google Scholar] [CrossRef] [PubMed]
- Leguillette, R.; Bond, S.L.; Lawlor, K.; de Haan, T.; Weber, L.M. Comparison of Physiological Demands in Warmblood Show Jumping Horses over a Standardized 1.10 m Jumping Course versus a Standardized Exercise Test on a Track. BMC Vet. Res. 2020, 16, 182–189. [Google Scholar] [CrossRef]
- Riley, J.W.; Chance, L.M.; Barshick, M.R.; Johnson, S.E. Administration of Sodium Hyaluronate to Adult Horses Prior to and Immediately after Exercise Does Not Alter the Range of Motion in Either the Tarsus or Metacarpophalangeal Joints. Transl. Anim. Sci. 2024, 8, txae153. [Google Scholar] [CrossRef]
- Powers, S.K.; Goldstein, E.; Schrager, M.; Ji, L.L. Exercise Training and Skeletal Muscle Antioxidant Enzymes: An Update. Antioxidants 2022, 12, 39. [Google Scholar] [CrossRef]
- White, S.H.; Warren, L.K. Submaximal Exercise Training, More than Dietary Selenium Supplementation, Improves Antioxidant Status and Ameliorates Exercise-Induced Oxidative Damage to Skeletal Muscle in Young Equine Athletes. J. Anim. Sci. 2017, 95, 657–670. [Google Scholar] [CrossRef]
- Williams, C.A.; Gordon, M.E.; Betros, C.L.; McKeever, K.H. Apoptosis and Antioxidant Status Are Influenced by Age and Exercise Training in Horses. J. Anim. Sci. 2008, 86, 576–583. [Google Scholar] [CrossRef]
- Ott, E.C.; Cavinder, C.A.; Wang, S.; Smith, T.; Lemley, C.O.; Dinh, T.T.N. Oxidative Stress Biomarkers and Free Amino Acid Concentrations in the Blood Plasma of Moderately Exercised Horses Indicate Adaptive Response to Prolonged Exercise Training. J. Anim. Sci. 2022, 100, skac086. [Google Scholar] [CrossRef]
- Peake, J.M.; Neubauer, O.; Della Gatta, P.A.; Nosaka, K. Muscle Damage and Inflammation during Recovery from Exercise. J. Appl. Physiol. 2017, 122, 559–570. [Google Scholar] [CrossRef]
- Niemelä, M.; Niemelä, O.; Bloigu, R.; Bloigu, A.; Kangastupa, P.; Juvonen, T. Serum Calprotectin, a Marker of Neutrophil Activation, and Other Mediators of Inflammation in Response to Various Types of Extreme Physical Exertion in Healthy Volunteers. J. Inflamm. Res. 2020, 13, 223–231. [Google Scholar] [CrossRef] [PubMed]
- Gökbel, H.; Okudan, N.; Gül, I.; Belviranli, M.; Gergerlioğlu, H.S.; Başaral, M.K. Effects of Repeated Bouts of Supramaximal Exercise on Plasma Adiponectin, Interleukin-6, and Tumor Necrosis Factor-α Levels in Sedentary Men. J. Strength Cond. Res. 2012, 26, 1675–1679. [Google Scholar] [CrossRef] [PubMed]
- Zabriskie, H.A.; Blumkaitis, J.C.; Moon, J.M.; Currier, B.S.; Stefan, R.; Ratliff, K.; Harty, P.S.; Stecker, R.A.; Rudnicka, K.; Jäger, R.; et al. Yeast Beta-Glucan Supplementation Downregulates Markers of Systemic Inflammation after Heated Treadmill Exercise. Nutrients 2020, 12, 1144. [Google Scholar] [CrossRef] [PubMed]
- Suagee-Bedore, J.K.; Shen, Y.; Porr, S.; Girard, I.D.; Bennett-Wimbush, K.; Wagner, A.L. Impacts of DigestaWell NRG Supplementation on Post Exercise Muscle Soreness in Unconditioned Horses, a Pilot Study. J. Equine Vet. Sci. 2021, 101, 103455. [Google Scholar] [CrossRef]
- Filho, H.C.M.; Trindade, K.L.G.; Silva, C.J.F.L.; Cruz, R.K.S.; Vilela, C.F.; Coelho, C.S.; Filho, J.D.R.; Manso, H.E.C.C.C. The Welfare of Horses Competing in Three-Barrel Race Events Is Shown to Be Not Inhibited by Short Intervals between Starts. Animals 2024, 14, 583. [Google Scholar] [CrossRef]
- Valigura, H.C.; Leatherwood, J.L.; Martinez, R.E.; Norton, S.A.; White-Springer, S.H. Dietary Supplementation of a Saccharomyces Cerevisiae Fermentation Product Attenuates Exercise-Induced Stress Markers in Young Horses. J. Anim. Sci. 2021, 99, skab199. [Google Scholar] [CrossRef]
- Hale, J.N.; Hughes, K.J.; Hall, S.; Labens, R. The Effect of Exercise on Cytokine Concentration in Equine Autologous Conditioned Serum. Equine Vet. J. 2023, 55, 551–556. [Google Scholar] [CrossRef]
- Moellerberndt, J.; Hagen, A.; Niebert, S.; Büttner, K.; Burk, J. Cytokines in Equine Platelet Lysate and Related Blood Products. Front. Vet. Sci. 2023, 10, 1117829. [Google Scholar] [CrossRef]
- Colahan, P.T.; Kollias-Bakert, C.; Leutenegger, C.M.; Jones, J.H. Does Training Affect mRNA Transciption for Cytokine Production in Circulating Leucocytes? Equine Vet. J. Suppl. 2002, 34, 154–158. [Google Scholar] [CrossRef]
- Donovan, D.C.; Jackson, C.A.; Colahan, P.T.; Norton, N.; Hurley, D.J. Exercise-Induced Alterations in pro-Inflammatory Cytokines and Prostaglandin F2alpha in Horses. Vet. Immunol. Immunopathol. 2007, 118, 263–269. [Google Scholar] [CrossRef]
- Eivers, S.S.; McGivney, B.A.; Fonseca, R.G.; MacHugh, D.E.; Menson, K.; Park, S.D.; Rivero, J.-L.L.; Taylor, C.T.; Katz, L.M.; Hill, E.W. Alterations in Oxidative Gene Expression in Equine Skeletal Muscle Following Exercise and Training. Physiol. Genom. 2010, 40, 83–93. [Google Scholar] [CrossRef] [PubMed]
- Hill, E.W.; Eivers, S.S.; McGivney, B.A.; Fonseca, R.G.; Gu, J.; Smith, N.A.; Browne, J.A.; MacHugh, D.E.; Katz, L.M. Moderate and High Intensity Sprint Exercise Induce Differential Responses in COX4I2 and PDK4 Gene Expression in Thoroughbred Horse Skeletal Muscle. Equine Vet. J. Suppl. 2010, 42, 576–581. [Google Scholar] [CrossRef] [PubMed]
- Kinnunen, S.; Hyyppä, S.; Lappalainen, J.; Oksala, N.; Venojärvi, M.; Nakao, C.; Hänninen, O.; Sen, C.K.; Atalay, M. Exercise-Induced Oxidative Stress and Muscle Stress Protein Responses in Trotters. Eur. J. Appl. Physiol. 2005, 93, 496–501. [Google Scholar] [CrossRef] [PubMed]
- Ebisuda, Y.; Mukai, K.; Takahashi, Y.; Yoshida, T.; Kawano, A.; Matsuhashi, T.; Miyata, H.; Kuwahara, M.; Ohmura, H. Acute Exercise in a Hot Environment Increases Heat Shock Protein 70 and Peroxisome Proliferator-Activated Receptor γ Coactivator 1α mRNA in Thoroughbred Horse Skeletal Muscle. Front. Vet. Sci. 2023, 10, 1230212. [Google Scholar] [CrossRef] [PubMed]
- Bending, D.; Zikherman, J. Nr4a Nuclear Receptors: Markers and Modulators of Antigen Receptor Signaling. Curr. Opin. Immunol. 2023, 81, 102285. [Google Scholar] [CrossRef]
- De Paoli, F.; Eeckhoute, J.; Copin, C.; Vanhoutte, J.; Duhem, C.; Derudas, B.; Dubois-Chevalier, J.; Colin, S.; Zawadzki, C.; Jude, B.; et al. The Neuron-Derived Orphan Receptor 1 (NOR1) Is Induced upon Human Alternative Macrophage Polarization and Stimulates the Expression of Markers of the M2 Phenotype. Atherosclerosis 2015, 241, 18–26. [Google Scholar] [CrossRef]
- Pillon, N.J.; Gabriel, B.M.; Dollet, L.; Smith, J.A.B.; Sardón Puig, L.; Botella, J.; Bishop, D.J.; Krook, A.; Zierath, J.R. Transcriptomic Profiling of Skeletal Muscle Adaptations to Exercise and Inactivity. Nat. Commun. 2020, 11, 470. [Google Scholar] [CrossRef]
- Pearen, M.A.; Eriksson, N.A.; Fitzsimmons, R.L.; Goode, J.M.; Martel, N.; Andrikopoulos, S.; Muscat, G.E.O. The Nuclear Receptor, Nor-1, Markedly Increases Type II Oxidative Muscle Fibers and Resistance to Fatigue. Mol. Endocrinol. 2012, 26, 372–384. [Google Scholar] [CrossRef]
- Paez, H.G.; Ferrandi, P.J.; Pitzer, C.R.; Mohamed, J.S.; Alway, S.E. Loss of NOR-1 Represses Muscle Metabolism through mTORC1-Mediated Signaling and Mitochondrial Gene Expression in C2C12 Myotubes. FASEB J. 2023, 37, e23050. [Google Scholar] [CrossRef]
- Perkins, R.K.; Lavin, K.M.; Raue, U.; Jemiolo, B.; Trappe, S.W.; Trappe, T.A. Effects of Aging and Lifelong Aerobic Exercise on Expression of Innate Immune Components in Skeletal Muscle of Women. J. Appl. Physiol. 2024, 136, 482–491. [Google Scholar] [CrossRef]
- Perkins, R.K.; Lavin, K.M.; Raue, U.; Jemiolo, B.; Trappe, S.W.; Trappe, T.A. Effects of Aging and Lifelong Aerobic Exercise on Expression of Innate Immune Components in Human Skeletal Muscle. J. Appl. Physiol. 2020, 129, 1483–1492. [Google Scholar] [CrossRef] [PubMed]
- McFarlin, B.K.; Hill, D.W.; Vingren, J.L.; Curtis, J.H.; Tanner, E.A. Dietary Polyphenol and Methylsulfonylmethane Supplementation Improves Immune, DAMP Signaling, and Inflammatory Responses During Recovery From All-Out Running Efforts. Front. Physiol. 2021, 12, 712731. [Google Scholar] [CrossRef] [PubMed]
- Tingstad, R.H.; Norheim, F.; Haugen, F.; Feng, Y.Z.; Tunsjø, H.S.; Thoresen, G.H.; Rustan, A.C.; Charnock, C.; Aas, V. The Effect of Toll-like Receptor Ligands on Energy Metabolism and Myokine Expression and Secretion in Cultured Human Skeletal Muscle Cells. Sci. Rep. 2021, 11, 24219. [Google Scholar] [CrossRef] [PubMed]
- Tonkin, J.; Temmerman, L.; Sampson, R.D.; Gallego-Colon, E.; Barberi, L.; Bilbao, D.; Schneider, M.D.; Musarò, A.; Rosenthal, N. Monocyte/Macrophage-Derived IGF-1 Orchestrates Murine Skeletal Muscle Regeneration and Modulates Autocrine Polarization. Mol. Ther. 2015, 23, 1189–1200. [Google Scholar] [CrossRef] [PubMed]
- Welc, S.S.; Wehling-Henricks, M.; Antoun, J.; Ha, T.T.; Tous, I.; Tidball, J.G. Differential Effects of Myeloid Cell PPARδ and IL-10 in Regulating Macrophage Recruitment, Phenotype, and Regeneration Following Acute Muscle Injury. J. Immunol. 2020, 205, 1664–1677. [Google Scholar] [CrossRef]
- Wang, L.; He, C. Nrf2-Mediated Anti-Inflammatory Polarization of Macrophages as Therapeutic Targets for Osteoarthritis. Front. Immunol. 2022, 13, 967193. [Google Scholar] [CrossRef]
- Ma, W.; Ao, S.; Zhou, J.; Li, J.; Liang, X.; Yang, X.; Zhang, H.; Liu, B.; Tang, W.; Liu, H.; et al. Methylsulfonylmethane Protects against Lethal Dose MRSA-Induced Sepsis through Promoting M2 Macrophage Polarization. Mol. Immunol. 2022, 146, 69–77. [Google Scholar] [CrossRef]
- Roman, W.; Muñoz-Cánoves, P. Muscle Is a Stage, and Cells and Factors Are Merely Players. Trends Cell. Biol. 2022, 32, 835–840. [Google Scholar] [CrossRef]
- Hayashiji, N.; Yuasa, S.; Miyagoe-Suzuki, Y.; Hara, M.; Ito, N.; Hashimoto, H.; Kusumoto, D.; Seki, T.; Tohyama, S.; Kodaira, M.; et al. G-CSF Supports Long-Term Muscle Regeneration in Mouse Models of Muscular Dystrophy. Nat. Commun. 2015, 6, 6745. [Google Scholar] [CrossRef]
- Li, H.; Chen, Q.; Li, C.; Zhong, R.; Zhao, Y.; Zhang, Q.; Tong, W.; Zhu, D.; Zhang, Y. Muscle-Secreted Granulocyte Colony-Stimulating Factor Functions as Metabolic Niche Factor Ameliorating Loss of Muscle Stem Cells in Aged Mice. EMBO J. 2019, 38, e102154. [Google Scholar] [CrossRef]





| Component 1 | Concentrate 2 | Hay 3 |
|---|---|---|
| DM, % | 89.4 | 92.3 |
| CP, % | 13.2 | 9.7 |
| ADF, % | 24.4 | 40.5 |
| NDF, % | 33.5 | 63.5 |
| Starch, % | 10.1 | 0.3 |
| Fat, % | 14.3 | 3.3 |
| Ash, % | 9.8 | 5.8 |
| Calcium, ppm | 14,100 | 4160 |
| Chloride, ppm | 5590 | Bdl 4 |
| Copper, ppm | 92 | 5 |
| Iron, ppm | 1420 | 134 |
| Magnesium, ppm | 4100 | 2540 |
| Manganese, ppm | 323 | 120 |
| Phosphorus, ppm | 5300 | 2730 |
| Potassium, ppm | 14,800 | 20,600 |
| Sodium, ppm | 3100 | 281 |
| Sulfur, ppm | 4000 | n/a |
| Zinc, ppm | 377 | 18 |
| Calculated DE, Mcal/kg DM | 3.27 | 2.13 |
| Gene ID | Gene Name | Log Fold Change |
|---|---|---|
| NR4A3 | nuclear receptor subfamily 4 group A member 3 | 4.886 |
| PDK4 | pyruvate dehydrogenase kinase 4 | 4.734 |
| NR4A2 | nuclear receptor subfamily 4 group A member 2 | 4.403 |
| DMP1 | dentin matrix acidic phosphoprotein 1 | 4.066 |
| HSPA6 | heat shock protein family A (Hsp70) member 6 | 4.021 |
| THBS1 | thrombospondin 1 | 3.399 |
| ATF3 | activating transcription factor 3 | 3.341 |
| CISH | cytokine inducible SH2 containing protein | 3.340 |
| HSPH1 | heat shock protein family H (Hsp110) member 1 | 3.249 |
| SIK1 | salt inducible kinase 1 | 3.234 |
| CHAC1 | ChaC glutathione specific gamma-glutamylcyclotransferase 1 | 3.089 |
| MFSD2A | major facilitator superfamily domain containing 2A | 3.025 |
| GADD45G | growth arrest and DNA damage-inducible gamma | 2.894 |
| FOS | Fos proto-oncogene, AP-1 transcription factor subunit | 2.739 |
| MAFF | MAF bZIP transcription factor F | 2.536 |
| SERPINE1 | serpin family E member 1 | 2.532 |
| APOLD1 | apolipoprotein L domain containing 1 | 2.486 |
| TCIM | transcriptional and immune response regulator | 2.461 |
| CREB5 | cAMP responsive element binding protein 5 | 2.420 |
| CEBPD | CCAAT enhancer binding protein delta | 2.405 |
| APLNR | apelin receptor | −2.377 |
| CNN1 | calponin 1 | 2.373 |
| ANGPTL4 | angiopoietin-like 4 | 2.307 |
| PER1 | period circadian regulator 1 | 2.283 |
| FOSL2 | FOS like 2, AP-1 transcription factor subunit | 2.252 |
| SGK1 | serum/glucocorticoid-regulated kinase 1 | 2.194 |
| CIART | circadian-associated repressor of transcription | 2.171 |
| ITGA5 | integrin subunit alpha 5 | 2.161 |
| IRS2 | insulin receptor substrate 2 | 2.144 |
| ARRDC4 | arrestin domain containing 4 | 2.115 |
| CDKN1A | cyclin-dependent kinase inhibitor 1A | 2.103 |
| CSRNP1 | cysteine- and serine-rich nuclear protein 1 | 2.053 |
| DNAJB1 | DnaJ heat shock protein family (Hsp40) member B1 | 2.047 |
| SDC4 | syndecan 4 | 2.035 |
| OTUD1 | OTU deubiquitinase 1 | 2.031 |
| Pathway | Number of Mapped Genes | Representative Genes | |
|---|---|---|---|
| Adaptive immune system | 30 | ASB18, CALM2, CALR, CAP1, CAPZA2, CTSB, DCTN6, ERAP1, FBXO9, ITGB2, KLRG1, MYD88, ORAI2, PJA1, PPP2R5B PTPN6, RCHY1, RNF182, RNF41, RNF6, S100A9, SEC61A1, SLA, TLR1, TREML2, TRIM11, TUBB4B, TYROBP, UBA3 | |
| Innate immune system | 68 | ABL1, ACTR10, ADGRE5, AGL, ALOX5, ARPC1B, ARPC5, BIN2, BORC2, C4BPA, C5AR1, CALM2, CAP1, CAPZA2, CD55, CDA, CFI, CNN2, COTL1, CTSB, FCAR, FCER1G, FGR, FTL, GLA, GMFG, GRN, ITGAM, ITGB2, MAP2K4, MCEMP1, MME, MYD88, MYH9, MYO9B, NCKAP1L, NFAM1, NLRC4, PLAUR, PLEKHO2, PLIN3, POLR1C, PSEN1, PTPN6, RAB31, RAP2C, RPS6KA1, S100A9, S100P, SERPINB1, SIKE1, SIRPA, SLC11A1, STK10, TBK1, TLR1, TLR5, TLR8, TNFAIP6, TRPM2, TUBB4B, TXK, TYROBP, UBA3, VNN2 | |
| Toll-like receptor cascades | 15 | IRF5, ITGAM, TLR8, CTSB, ITGB2, MAP2K4, TBK1, TLR5, CAP1, BIRC2, MYD88, TLR1, PLIN3, S100A9, RPS6KA1 | |
| Cytokine signaling in the immune system | 38 | ALOX5, ASB18, BCL6, BIRC2, CAP1, CASP3, CNN2, CSF1, CSF2RB, CSF3R, EIF4E3, FLNA, FSCN1, HCK, HNRNPF, IL10RA, IL10RB, IL1RN, IL6R, IRF4, IRF5, ITGAM, ITGB2, MAP2K4, MMP1, MYD88, NUP98, NUPL2, PTPN1, PTPN6, RPS6KA1, SLA, SOCS6, STAT3, TBL1, NFSF12, TUBB4B, UBA3 | |
| Interferon signaling | 11 | FLNA, NUP98, IRF5, EIF4E3, IRF4, PTPN1, NUPL2, TUBB4B, PTPN6, STAT3, ASB18, | |
| Interleukin signaling | 24 | IL6R, IL10RA, MMP1, IL10RB, PTPN6, MAP2K4, TBK1, HNRNPF, CNN2, RPS6KA1, CASP3, IRF4, HCK, CSF3R, FSCN1, CSF1, ITGB2, ITGAM, MYD88, BCL6, ALOX5, CSF2RB, STAT3, IL1RN | |
| Pathway | Number of Mapped Genes | Representative Genes |
|---|---|---|
| Metabolism | 30 | ACSL5, ADA, AZIN1, G3GALT2, BDH2, CSGALNACT1, GDPD3, GGPS1, GNG2, HAL, HAD17B11, LDLR, MED13L, MFSD2B, NAGLU, NUDT4, NUP153, PARP8, PIK3CA, PIP5K1C, PLEKHA2, PPP2R5D, SC5D, SEC24A, SEPHS2, SIRT4, SLC24A13, SLC25A22, TST, UCK2 |
| Signal transduction | 42 | ACTR3, ADRB2, AGO3, BMP2, CCL16, CDK5R1, CXCL1, DGKE, DLL4, DUSP7, F11R, F2R, FAM91A1, FGD5, GNG2, HDAC7, IL6ST, KPNA2, LEMD3, PDE4D, PDGFRB, PENK, PIK3CA, PIP5K1C, PKN3, PLXNB1, PLXND1, POGLUT1, PPP2R5D, PYGO2, RET, RRH, SLK, SMAD9, SNAI2, SOX4, SOX9, TNRC6B, USF1, WDR6 |
Disclaimer/Publisher’s Note: The statements, opinions and data contained in all publications are solely those of the individual author(s) and contributor(s) and not of MDPI and/or the editor(s). MDPI and/or the editor(s) disclaim responsibility for any injury to people or property resulting from any ideas, methods, instructions or products referred to in the content. |
© 2025 by the authors. Licensee MDPI, Basel, Switzerland. This article is an open access article distributed under the terms and conditions of the Creative Commons Attribution (CC BY) license (https://creativecommons.org/licenses/by/4.0/).
Share and Cite
Barshick, M.R.; Ely, K.M.; Mogge, K.C.; Chance, L.M.; Johnson, S.E. Methylsulfonylmethane (MSM) Supplementation in Adult Horses Supports Improved Skeletal Muscle Inflammatory Gene Expression Following Exercise. Animals 2025, 15, 215. https://doi.org/10.3390/ani15020215
Barshick MR, Ely KM, Mogge KC, Chance LM, Johnson SE. Methylsulfonylmethane (MSM) Supplementation in Adult Horses Supports Improved Skeletal Muscle Inflammatory Gene Expression Following Exercise. Animals. 2025; 15(2):215. https://doi.org/10.3390/ani15020215
Chicago/Turabian StyleBarshick, Madison R., Kristine M. Ely, Keely C. Mogge, Lara M. Chance, and Sally E. Johnson. 2025. "Methylsulfonylmethane (MSM) Supplementation in Adult Horses Supports Improved Skeletal Muscle Inflammatory Gene Expression Following Exercise" Animals 15, no. 2: 215. https://doi.org/10.3390/ani15020215
APA StyleBarshick, M. R., Ely, K. M., Mogge, K. C., Chance, L. M., & Johnson, S. E. (2025). Methylsulfonylmethane (MSM) Supplementation in Adult Horses Supports Improved Skeletal Muscle Inflammatory Gene Expression Following Exercise. Animals, 15(2), 215. https://doi.org/10.3390/ani15020215

