No Effect of a Commercially Used Odor Repellent for Roe Deer (Capreolus capreolus) Protection During Meadow Harvest
Abstract
Simple Summary
Abstract
1. Introduction
2. Material and Methods
2.1. Study Area
2.2. Odor Repellent Used
2.3. Odor Repellent Application Methodology
2.4. Roe Deer Monitoring
2.5. Statistical Analysis
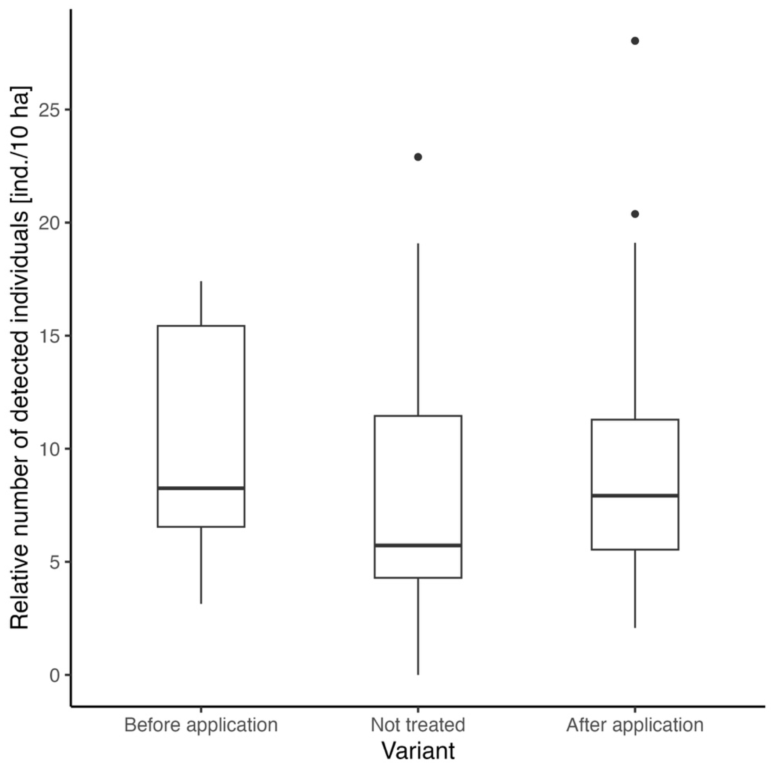
3. Results
4. Discussion
5. Conclusions
Author Contributions
Funding
Institutional Review Board Statement
Informed Consent Statement
Data Availability Statement
Acknowledgments
Conflicts of Interest
References
- Cross, S.L.; Cross, A.T.; Tomlinson, S.; Clark-Ioannou, S.M.; Nevill, P.G.; Bateman, P.W. Mitigation and Management Plans Should Consider All Anthropogenic Disturbances to Fauna. Glob. Ecol. Conserv. 2021, 26, e01500. [Google Scholar] [CrossRef]
- Geri, F.; Amici, V.; Rocchini, D. Human Activity Impact on the Heterogeneity of a Mediterranean Landscape. Appl. Geogr. 2010, 30, 370–379. [Google Scholar] [CrossRef]
- Harden, C.P. The Human-Landscape System: Challenges for Geomorphologists. Phys. Geogr. 2014, 35, 76–89. [Google Scholar] [CrossRef]
- Wu, J.; Feng, Z.; Gao, Y.; Peng, J. Hotspot and Relationship Identification in Multiple Landscape Services: A Case Study on an Area with Intensive Human Activities. Ecol. Indic. 2013, 29, 529–537. [Google Scholar] [CrossRef]
- Talento, K.; Amado, M.; Kullberg, J.C. Landscape-A Review with a European Perspective. Land 2019, 8, 85. [Google Scholar] [CrossRef]
- De Montis, A.; Martín, B.; Ortega, E.; Ledda, A.; Serra, V. Landscape Fragmentation in Mediterranean Europe: A Comparative Approach. Land Use Policy 2017, 64, 83–94. [Google Scholar] [CrossRef]
- Rabbetts, M.; Fahrig, L.; Mitchell, G.W.; Hannah, K.C.; Collins, S.J.; Wilson, S. Direct and Indirect Effects of Agricultural Land Cover on Avian Biodiversity in Eastern Canada. Biodivers. Conserv. 2023, 32, 1403–1421. [Google Scholar] [CrossRef]
- Abdi, A.M.; Carrié, R.; Sidemo-Holm, W.; Cai, Z.; Boke-Olén, N.; Smith, H.G.; Eklundh, L.; Ekroos, J. Biodiversity Decline with Increasing Crop Productivity in Agricultural Fields Revealed by Satellite Remote Sensing. Ecol. Indic. 2021, 130, 108098. [Google Scholar] [CrossRef]
- Ma, S.; Wang, L.J.; Jiang, J.; Zhao, Y.G. Direct and Indirect Effects of Agricultural Expansion and Landscape Fragmentation Processes on Natural Habitats. Agric. Ecosyst. Environ. 2023, 353, 108555. [Google Scholar] [CrossRef]
- Steen, K.A.; Villa-Henriksen, A.; Therkildsen, O.R.; Green, O. Automatic Detection of Animals in Mowing Operations Using Thermal Cameras. Sensors 2012, 12, 7587–7597. [Google Scholar] [CrossRef]
- Schwarz, C.; Fumy, F.; Drung, M.; Fartmann, T. Insect-Friendly Harvest in Hay Meadows—Uncut Refuges Are of Vital Importance for Conservation Management. Glob. Ecol. Conserv. 2023, 48, e02731. [Google Scholar] [CrossRef]
- Conover, R.R.; Dinsmore, S.J.; Burger, L.W. Effects of Conservation Practices on Bird Nest Density and Survival in Intensive Agriculture. Agric. Ecosyst. Environ. 2011, 141, 126–132. [Google Scholar] [CrossRef]
- Massa, B.; La Mantia, T. The Decline of Ground-Nesting Birds in the Agrarian Landscape of Italy. Rev. D’ecologie 2010, 65, 73–90. [Google Scholar] [CrossRef]
- Rivadeneira, P.; Kross, S.; Navarro-Gonzalez, N.; Jay-Russell, M. A Review of Bird Deterrents Used in Agriculture. Proc. Vertebr. Pest Conf. 2018, 28, 218–223. [Google Scholar] [CrossRef]
- Cukor, J.; Bartoška, J.; Rohla, J.; Sova, J.; Machálek, A. Use of Aerial Thermography to Reduce Mortality of Roe Deer Fawns before Harvest. PeerJ 2019, 7, e6923. [Google Scholar] [CrossRef] [PubMed]
- Gruntorad, M.P.; Graham, K.A.; Arcilla, N.; Chizinski, C.J. Is Hay for the Birds? Investigating Landowner Willingness to Time Hay Harvests for Grassland Bird Conservation. Animals 2021, 11, 1030. [Google Scholar] [CrossRef]
- Jarnemo, A. Roe Deer Capreolus capreolus Fawns and Mowing—Mortality Rates and Countermeasures. Wildl. Biol. 2002, 8, 211–218. [Google Scholar] [CrossRef]
- Rehnus, M.; Reimoser, F. Rehkitzmarkierung—Nutzen Für Praxis Und Forschung. FaunaFocus 2014, 9, 1–16. [Google Scholar]
- Kittler, L. Wildverluste Durch Den Einsatz Landwirtschaftlicher Maschinen Nach Einer Erhebung Aus Dem Jagdjahr 1976/77 in Nordrhein-Westfalen. Z. Jagdwiss. 1979, 25, 22–32. [Google Scholar] [CrossRef]
- Nolte, D.L. Behavioral approaches for limiting depredation by wild ungulates. Grazing Behav. Livest. Wildl. 1999, 70, 60–70. [Google Scholar]
- Scheifele, P.M.; Browning, D.G.; Collins-Scheifele, L.M. Analysis and Effectiveness of Deer Whistles for Motor Vehicles: Frequencies, Levels, and Animal Threshold Responses. Acoust. Res. Lett. Online 2003, 4, 71–76. [Google Scholar] [CrossRef]
- Kušta, T.; Keken, Z.; Ježek, M.; Kůta, Z. Effectiveness and Costs of Odor Repellents in Wildlife-Vehicle Collisions: A Case Study in Central Bohemia, Czech Republic. Transp. Res. Part D Transp. Environ. 2015, 38, 1–5. [Google Scholar] [CrossRef]
- Elmeros, M.; Winbladh, J.K.; Andersen, P.N.; Madsen, A.B.; Christensen, J.T. Effectiveness of Odour Repellents on Red Deer (Cervus elaphus) and Roe Deer (Capreolus capreolus): A Field Test. Eur. J. Wildl. Res. 2011, 57, 1223–1226. [Google Scholar] [CrossRef]
- Guerisoli, M.d.l.M.; Pereira, J.A. Deer Damage: A Review of Repellents to Reduce Impacts Worldwide. J. Environ. Manag. 2020, 271, 110977. [Google Scholar] [CrossRef]
- Faltusová, M.; Ježek, M.; Ševčík, R.; Silovský, V.; Cukor, J. Odor Fences Have No Effect on Wild Boar Movement and Home Range Size. Animals 2024, 14, 2556. [Google Scholar] [CrossRef] [PubMed]
- Mpemba, H.; Yang, F.; MacLeod, K.J.; Wen, D.; Liu, Y.; Jiang, G. Influences of Predator Cues on the Incidence of Ungulates, Mesopredators and Top Predators in the Greater Khingan Mountains, Northeastern China. Pak. J. Zool. 2023, 55, 269–280. [Google Scholar] [CrossRef]
- Israel, M. A UAV-based roe deer fawn detection system. Int. Arch. Photogramm. Remote Sens. Spat. Inf. Sci. 2012, XXXVIII-1/C22, 1–5. [Google Scholar] [CrossRef]
- Czech Statistical Office (Český Statistický Úřad). Stav a Lov Vybraných Druhů Zvěře 2013–2024 [Status and Hunting of Selected Game Species 2013–2024]; Czech Statistical Office: Prague, Czech Republic, 2025. Available online: https://www.czso.cz (accessed on 24 June 2025).
- Safety Data Sheet—Odour Repellent STOP for Roe Deer Fawns. 2025. Available online: https://www.sblcore.cz (accessed on 12 May 2025).
- R Core Team. R: A Language and Environment for Statistical Computing 2024; Foundation for Statistical Computing: Vienna, Austria, 2024. [Google Scholar]
- Wickham, M.H. ggplot2: Elegant Graphics for Data Analysis; Springer International Publishing: Cham, Switzerland, 2016; pp. 189–201. [Google Scholar]
- Borkowski, J.; Banul, R.; Jurkiewicz-Azab, J.; Hołdyński, C.; Święczkowska, J.; Nasiadko, M.; Załuski, D. There Is Only One Winner: The Negative Impact of Red Deer Density on Roe Deer Numbers and Distribution in the Słowiński National Park and Its Vicinity. Ecol. Evol. 2021, 11, 6889–6899. [Google Scholar] [CrossRef]
- Marcon, A.; Battocchio, D.; Apollonio, M.; Grignolio, S. Assessing Precision and Requirements of Three Methods to Estimate Roe Deer Density. PLoS ONE 2019, 14, e0222349. [Google Scholar] [CrossRef]
- Baur, S.; Kauffert, J.; Hewison, A.J.M.; Reinermann, S.; König, A.; Menzel, A.; Peters, W. Spatial Scaling in Bed-Site Selection by Roe Deer Fawns: Implications for Mitigating Neonatal Mortality during Mowing. Ecol. Evol. 2023, 13, e10729. [Google Scholar] [CrossRef]
- Christen, N.; Janko, C.; Rehnus, M. The Effect of Environmental Gradients on the Bed Site Selection of Roe Deer (Capreolus capreolus). Mammal Res. 2018, 63, 83–89. [Google Scholar] [CrossRef]
- Morellet, N.; Bonenfant, C.; Börger, L.; Ossi, F.; Cagnacci, F.; Heurich, M.; Kjellander, P.; Linnell, J.D.C.; Nicoloso, S.; Sustr, P.; et al. Seasonality, Weather and Climate Affect Home Range Size in Roe Deer across a Wide Latitudinal Gradient within Europe. J. Anim. Ecol. 2013, 82, 1326–1339. [Google Scholar] [CrossRef]
- Van Moorter, B.; Gaillard, J.M.; McLoughlin, P.D.; Delorme, D.; Klein, F.; Boyce, M.S. Maternal and Individual Effects in Selection of Bed Sites and Their Consequences for Fawn Survival at Different Spatial Scales. Oecologia 2009, 159, 669–678. [Google Scholar] [CrossRef]
- Jarnemo, A.; Liberg, O.; Lockowandt, S.; Olsson, A.; Wahlström, K. Predation by Red Fox on European Roe Deer Fawns in Relation to Age, Sex, and Birth Date. Can. J. Zool. 2004, 82, 416–422. [Google Scholar] [CrossRef]
- Schlageter, A.; Haag-Wackernagel, D. Evaluation of an Odor Repellent for Protecting Crops from Wild Boar Damage. J. Pest Sci. 2012, 85, 209–215. [Google Scholar] [CrossRef]
- Bjørneraas, K.; Herfindal, I.; Solberg, E.J.; Sæther, B.E.; van Moorter, B.; Rolandsen, C.M. Habitat Quality Influences Population Distribution, Individual Space Use and Functional Responses in Habitat Selection by a Large Herbivore. Oecologia 2012, 168, 231–243. [Google Scholar] [CrossRef] [PubMed]
- De Groeve, J.; Van de Weghe, N.; Ranc, N.; Morellet, N.; Bonnot, N.C.; Gehr, B.; Heurich, M.; Hewison, A.J.M.; Kröschel, M.; Linnell, J.D.C.; et al. Back and Forth: Day–Night Alternation between Cover Types Reveals Complementary Use of Habitats in a Large Herbivore. Landsc. Ecol. 2023, 38, 1033–1049. [Google Scholar] [CrossRef]
- Bobrowski, M.; Gillich, B.; Stolter, C. Nothing Else Matters? Food as a Driving Factor of Habitat Use by Red and Roe Deer in Winter? Wildl. Biol. 2020, 2020, 1–9. [Google Scholar] [CrossRef]
- Pellerin, M.; Calenge, C.; Saïd, S.; Gaillard, J.M.; Fritz, H.; Duncan, P.; van Laere, G. Habitat Use by Female Western Roe Deer (Capreolus capreolus): Influence of Resource Availability on Habitat Selection in Two Contrasting Years. Can. J. Zool. 2010, 88, 1052–1062. [Google Scholar] [CrossRef]
- Selås, V.; Bjar, G.; Betten, O.; Tjeldflaat, L.O.; Hjeljord, O. Feeding Ecology of Roe Deer, Capreolus capreolus L., during Summer in Southeastern Norway. Fauna Nor. 1991, 12, 5–11. [Google Scholar] [CrossRef]
- Saïd, S.; Servanty, S. The Influence of Landscape Structure on Female Roe Deer Home-Range Size. Landsc. Ecol. 2005, 20, 1003–1012. [Google Scholar] [CrossRef]
- Linnell, J.D.C.; Nilsen, E.B.; Andersen, R. Selection of Bed-Sites by Roe Deer Capreolus capreolus Fawns in an Agricultural Landscape. Acta Theriol. 2004, 49, 103–111. [Google Scholar] [CrossRef]
- Lovari, S.; Serrao, G.; Mori, E. Woodland features determining home range size of roe deer. Behav. Process. 2017, 140, 115–120. [Google Scholar] [CrossRef] [PubMed]
- Aiello, V.; Lovari, S.; Bocci, A. Ranging behaviour and reproductive rate in the threatened population of roe deer in Gargano, South Italy. Ital. J. Zool. 2013, 80, 614–619. [Google Scholar] [CrossRef]
- Mysterud, A. Large male territories in a low-density population of roe deer Capreolus capreolus with small female home ranges. Wildl. Biol. 1998, 4, 231–235. [Google Scholar] [CrossRef]
- Saïd, S.; Gaillard, J.M.; Widmer, O.; Débias, F.; Bourgoin, G.; Delorme, D.; Roux, C. What shapes intra-specific variation in home range size? A case study of female roe deer. Oikos 2009, 118, 1299–1306. [Google Scholar] [CrossRef]
- Marada, P.; Cukor, J.; Kuběnka, M.; Linda, R.; Vacek, Z.; Vacek, S. New agri-environmental measures have a direct effect on wildlife and economy on conventional agricultural land. PeerJ 2023, 11, e15000. [Google Scholar] [CrossRef]






| Disclaimer/Publisher’s Note: The statements, opinions and data contained in all publications are solely those of the individual author(s) and contributor(s) and not of MDPI and/or the editor(s). MDPI and/or the editor(s) disclaim responsibility for any injury to people or property resulting from any ideas, methods, instructions or products referred to in the content. | 
© 2025 by the authors. Licensee MDPI, Basel, Switzerland. This article is an open access article distributed under the terms and conditions of the Creative Commons Attribution (CC BY) license (https://creativecommons.org/licenses/by/4.0/).
Share and Cite
Cukor, J.; Matějka Košinová, K.; Linda, R.; Skoták, V.; Ševčík, R.; Červená, T.; Brynychová, K.; Vacek, Z. No Effect of a Commercially Used Odor Repellent for Roe Deer (Capreolus capreolus) Protection During Meadow Harvest. Animals 2025, 15, 2932. https://doi.org/10.3390/ani15192932
Cukor J, Matějka Košinová K, Linda R, Skoták V, Ševčík R, Červená T, Brynychová K, Vacek Z. No Effect of a Commercially Used Odor Repellent for Roe Deer (Capreolus capreolus) Protection During Meadow Harvest. Animals. 2025; 15(19):2932. https://doi.org/10.3390/ani15192932
Chicago/Turabian StyleCukor, Jan, Klára Matějka Košinová, Rostislav Linda, Vlastimil Skoták, Richard Ševčík, Tereza Červená, Kateřina Brynychová, and Zdeněk Vacek. 2025. "No Effect of a Commercially Used Odor Repellent for Roe Deer (Capreolus capreolus) Protection During Meadow Harvest" Animals 15, no. 19: 2932. https://doi.org/10.3390/ani15192932
APA StyleCukor, J., Matějka Košinová, K., Linda, R., Skoták, V., Ševčík, R., Červená, T., Brynychová, K., & Vacek, Z. (2025). No Effect of a Commercially Used Odor Repellent for Roe Deer (Capreolus capreolus) Protection During Meadow Harvest. Animals, 15(19), 2932. https://doi.org/10.3390/ani15192932
 
        


