Phytase Overdoses Enhance Thermoregulatory Processes via Convection and Radiation in Japanese Quails (Coturnix japonica) Raised in Hot Environments
Simple Summary
Abstract
1. Introduction
2. Materials and Methods
2.1. Animals and Experimental Design
2.2. Characterization of the Environment
2.3. Experimental Diets
2.4. Thermal Imaging
2.5. Calculation of Heat Transfer
2.5.1. Calculation of Convective Heat Transfer
2.5.2. Calculation of Radiative Heat Transfer
2.6. Physiological Response
2.7. Statistical Analysis
3. Results
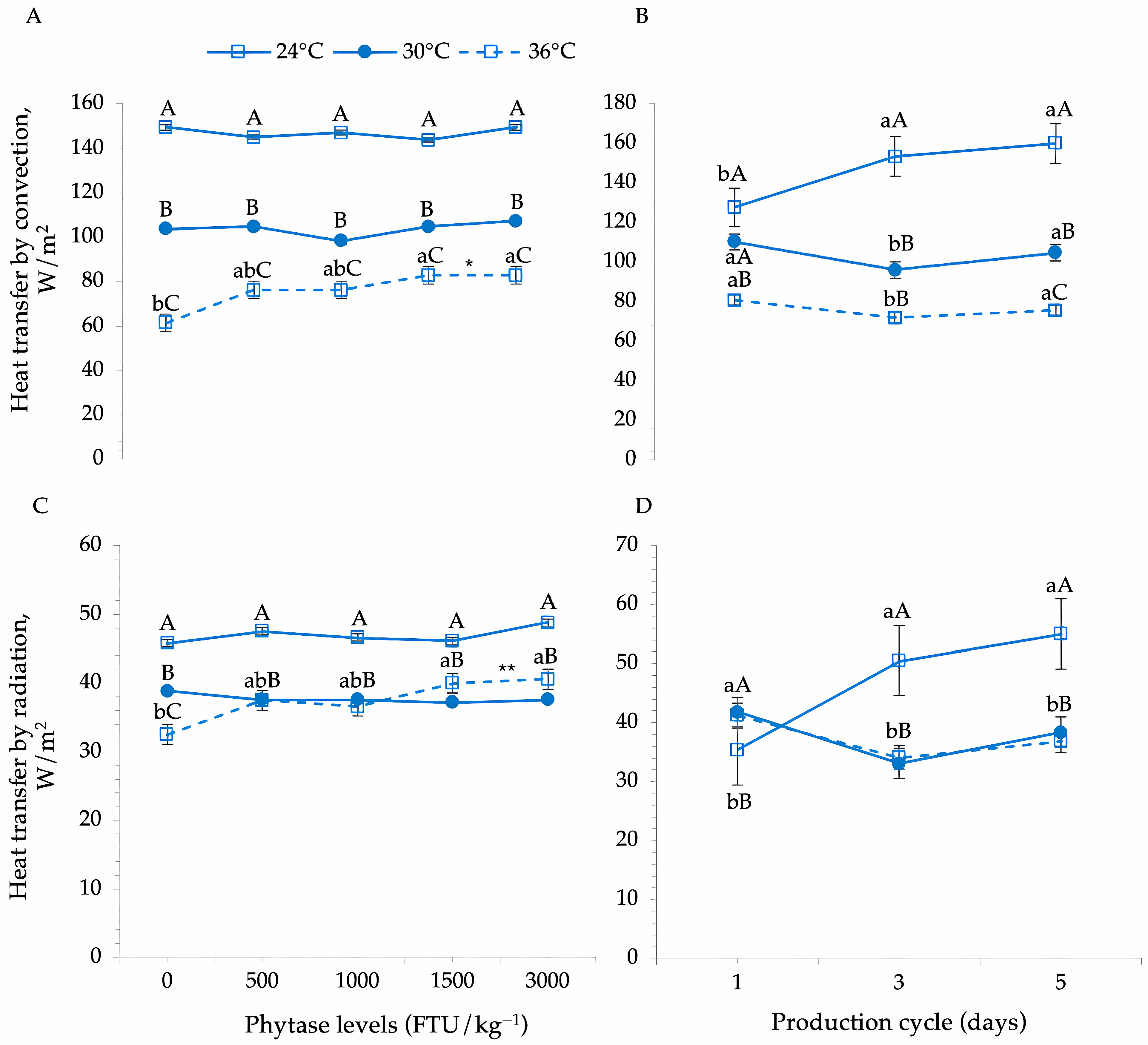
3.1. Thermoregulatory Response
3.2. Physiological Response
4. Discussion
4.1. Thermoregulatory Response
4.2. Physiological Response
5. Conclusions
Author Contributions
Funding
Institutional Review Board Statement
Informed Consent Statement
Data Availability Statement
Acknowledgments
Conflicts of Interest
References
- Wasti, S.; Sah, N.; Mishra, B. Impact of Heat Stress on Poultry Health and Performances, and Potential Mitigation Strategies. Animals 2020, 8, 1266. [Google Scholar] [CrossRef]
- Oke, O.E.; Oliyide, K.M.; Akosile, O.A.; Oni, A.I.; Adekunle, E.O.; Oyebanji, B.O.; Aremu, O.P.; Adeoba, I.M.; Eletu, T.A.; Daramola, J.O. Innovations in Quail Welfare: Integrating Environmental Enrichment, Nutrition and Genetic Advances for Improved Health and Productivity. Vet. Med. Sci. 2025, 4, e70424. [Google Scholar] [CrossRef]
- Hafez, H.M.; Attia, Y.A. Challenges to the Poultry Industry: Current Perspectives and Strategic Future after the COVID-19 Outbreak. Front. Vet. Sci. 2020, 7, 516. [Google Scholar] [CrossRef]
- Tickle, P.G.; Codd, J.R. Thermoregulation in rapid growing broiler chickens is compromised by constraints on radiative and convective cooling performance. J. Therm. Biol. 2019, 79, 8–14. [Google Scholar] [CrossRef]
- Sena, T.L.; Leite, S.C.B.; Farias, M.R.S.; Abreu, C.G.; Freitas, E.R.; Costa, A.C. Phytase Overdosing in the Diet of Lightweight Replacement Pullets: Performance, Organ Biometry and Bone Characteristics. Braz. J. Poult. Sci. 2020, 22, 001–008. [Google Scholar] [CrossRef]
- Shams, S.; Kheiri, F.; Landy, N. The effects of 1a(OH)D3 individually or in combination with phytase, and different levels of cholecalciferol on performance, tibia criteria, and plasma minerals of Japanese quails. Acta Scientiarum. Anim. Sci. 2022, 44, e54218. [Google Scholar] [CrossRef]
- Leitão, A.M.F.; Nascimento Filho, J.W.O.; Sena, T.L.; Bezerra, M.M.R.; Bastos-Leite, S.C.; Vasconcelos, A.M.; Ferias, M.R.S. Phytase overdosing and thermoregulation of lightweight replacement pullets. In Proceedings of the Annals of the 28th Brazilian Congress of Animal Science, Goiânia, Brazil, 27–30 August 2018. [Google Scholar]
- Castro Júnior, S.L.; Balthazar, G.R.; Silva, I.J.O. Diagnóstico preditivo em tempo real do conforto térmico de animais de produção em sistema operacional Android. In Jaqueline de Oliveira Castro e Patrícia Ferreira Ponciano Ferraz. (Org.), 1st ed.; Anais II SIAPAS e VI SIMCRA; 1DEA−UFLA: Lavras, Brazil, 2019; pp. 150–155. [Google Scholar]
- Sousa, M.S. Determination of Thermal Comfort Ranges for Meat Quails of Different Ages. Ph.D. Thesis, Universidade Federal de Viçosa, Viçosa, Brazil, 2013. (In Portuguese). Available online: https://www.locus.ufv.br/handle/123456789/752 (accessed on 18 December 2021).
- Buffington, C.S.; Collazo-Arocho, A.; Canton, G.H.; Pitt, D.; Thatcher, W.W.; Collier, R.J. Black globe humidity index (BGHI) as comfort equation for dairy cows. Am. Soc. Agric. Eng. 1977, 77, 19. [Google Scholar] [CrossRef]
- Castro Júnior, S.L.; Silva, I.J.O.D. The specific enthalpy of air as an indicator of heat stress in livestock animals. Int. J. Biometeorol. 2021, 65, 149–161. [Google Scholar] [CrossRef] [PubMed]
- Morais, M.V.M.; Lima, H.J.D.L.; Silva, F.N.A.; Gomes, M.V.F.C. Indicators of thermal comfort and nitrogen digestibility as a function of digestible arginine: Lysine ratios in the diet of laying Japanese quails raised in hot weather. J. Therm. Biol. 2023, 115, 103597. [Google Scholar] [CrossRef] [PubMed]
- Rodrigues, V.C.; Silva, I.J.O.; Vieira, F.M.C.; Nascimento, S.T. A correct enthalpy relationship as thermal comfort index for livestock. Int. J. Biometeorol. 2011, 55, 455–459. [Google Scholar] [CrossRef] [PubMed]
- Rostagno, H.S.; Albino, L.F.T.; Hannas, M.I.; Donzele, J.L.; Sakomura, N.K.; Perazzo, F.G.; Brito, C.O. Tabelas Brasileiras para Aves e Suínos: Composição de Alimentos e Exigências Nutricionais, 4th ed.; Departamento de Zootecnia: Viçosa, Brazil, 2017; p. 488. [Google Scholar]
- Ribeiro, A.G.; Silva, R.D.S.; Silva, D.A.D.; Nascimento, J.C.d.S.; de Souza, L.F.A.; da Silva, E.G.; Ribeiro, J.E.S.; Campos, D.B.; Alves, C.V.B.d.V.; Saraiva, E.P.; et al. Heat Stress in Japanese Quails (Coturnix japonica): Benefits of Phytase Supplementation. Animals 2024, 14, 3599. [Google Scholar] [CrossRef]
- Yahav, S.; Shinder, D.; Tanny, J.; Cohen, S. Sensible heat loss: The broiler’s paradox. World’s Poult. Sci. J. 2005, 61, 419–434. [Google Scholar] [CrossRef]
- Brugaletta, G.; Teyssier, J.R.; Rochell, S.J.; Dridi, S.; Sirri, F. A review of heat stress in chickens. Part I: Insights into physiology and gut health. Front. Physiol. 2022, 13, 934381. [Google Scholar] [CrossRef]
- McArthur, A.J. Thermal interaction between animal and microclimate: A comprehensive model. J. Theor. Biol. 1987, 126, 203–238. [Google Scholar] [CrossRef] [PubMed]
- Frank, W.; Nelson, G.L. Non-evaporative convective heat transfer from the surface of a cattle. Trans. ASABE 1967, 10, 733–0737. [Google Scholar] [CrossRef]
- Mitchell, H.H. The surface area of single comb white leghorn chickens. J. Nutr. 1930, 2, 443–444. [Google Scholar] [CrossRef]
- Silva, R.G. A heat balance model for cattle in tropical environments. Braz. J. Zootech. 2000, 29, 1244–1252. [Google Scholar]
- Dahlke, F.; Gonzales, E.; Gadelha, A.C.; Maiorka, A.; Borges, S.A.; Rosa, P.S.; Faria Filho, D.E.; Furlan, R.L. Feathering, triiodothyronine and thyroxine hormone levels and body temperature of broiler chickens of different genotypes raised under different temperature conditions. Rural. Sci. 2005, 35, 664–670. [Google Scholar]
- Barros, H.S.S.; Oliveira, R.F.; Minafra, C.S.; Gomide, A.P.C.; Neto, F.R.d.A.; Gonçalves, J.C.R.; Queiroz, F.H.d.S.; Nobre, G.M.; Vilarinho, B.D.R.D.S.; Lima, M.C.; et al. Functional oil in the feeding of heat-stressed Japanese quail. Poult. Sci. 2024, 103, 104041. [Google Scholar] [CrossRef]
- Ferreira, V.M.O.S.; Francisco, N.S.; Belloni, M.; Aguirre, G.M.Z.; Caldara, F.R.; Nääs, I.A.; Garcia, R.G.; Almeida Paz, I.C.L.; Polycarpo, G.V. Infrared thermography applied to the evaluation of metabolic heat loss of chicks fed with different energy densities. Braz. J. Poult. Sci. 2011, 13, 113–118. [Google Scholar] [CrossRef]
- Richards, S.A. Physiology of Thermal Panting in Birds. Ann. Biol. Anim. Bioch. 1970, 10, 151. [Google Scholar] [CrossRef]
- Collier, R.J.; Gebremedhin, K.G. Thermal biology of domestic animals. Annu. J. Anim. Biosci. 2015, 3, 513–532. [Google Scholar] [CrossRef] [PubMed]
- Ribeiro, T.L.A.; Souza, B.D.; Brandão, P.A.; Roberto, J.V.B.; Medeiros, T.T.B.; Silva, J.J.; Carvalho, J.E.M., Jr. Different levels of protein and energy on physiological behavior and performance of European quail in the Brazilian semiarid. J. Anim. Behav. Biometeorol. 2016, 4, 76–83. [Google Scholar] [CrossRef]
- Soares, K.O.; Saraiva, E.P.; Santos, J.D.C.; Amorim, R.G.; Costa, J.L.G.; Veríssimo, T.N.S.; Guerra, R.R.; Santos, S.G.C.G. Effect of ambient temperature on the production parameters and egg quality of Japanese quail (Cortunix japonica). Biol. Rhythm Res. 2019, 52, 1130–1137. [Google Scholar] [CrossRef]
- Matos Júnior, J.J.L.; Furtado, D.A.; Ribeiro, N.L.; Marques, J.; Leite, P.; Nascimento, J.; Rodrigues, V.; Neto, J.L.; Rodrigues, L.; Santos, S.G.; et al. Sensible and latent heat flow of Japanese quails kept in different thermal environments. Braz. Arch. Vet. Med. Anim. Sci. 2024, 76, 357–366. [Google Scholar] [CrossRef]
- Shinder, D.; Rusal, M.; Tanny, J.; Druyan, S.; Yahav, S. Thermoregulatory responses of chicks (Gallus domesticus) to low ambient temperatures at an early age. Poultry Sci. 2007, 86, 2200–2209. [Google Scholar] [CrossRef]
- Lara, L.J.; Rostagno, M.H. Impact of heat stress on poultry production. Animals 2013, 3, 356–369. [Google Scholar] [CrossRef]
- Brown-Brandl, T.M.; Beck, M.M.; Schulte, D.D.; Parkhurst, A.M.; DeShazer, J.A. Physiological responses of tom turkeys to temperature and humidity change with age. J. Thermal. Biol. 1997, 22, 43–52. [Google Scholar] [CrossRef]
- Nääs, I.A.; Romanini, C.E.B.; Neves, D.P.; Nascimento, G.R.; Vercellino, R.A. Distribution of surface temperature of 42-day-old broiler chickens. Sci. Agric. 2010, 67, 497–502. [Google Scholar] [CrossRef]
- Nascimento, S.T.; da Silva, I.J.; Maia, A.S.; de Castro, A.C.; Vieira, F.M. Mean surface temperature prediction models for broiler chickens-a study of sensible heat flow. Int. J. Biometeorol. 2014, 58, 195–201. [Google Scholar] [CrossRef]








| Ingredients (kg) | Phytase Levels (FTU/kg−1) | ||||
|---|---|---|---|---|---|
| 0 | 500 | 1000 | 1500 | 3000 | |
| Corn grain, 7.88% | 59.72 | 59.72 | 59.72 | 59.72 | 59.72 |
| Soybean bran, 45% | 30.51 | 30.51 | 30.51 | 30.51 | 30.51 |
| Soybean oil | 0.667 | 0.667 | 0.667 | 0.667 | 0.667 |
| Calcitic limestone | 7.437 | 7.437 | 7.437 | 7.437 | 7.437 |
| Dicalcium phosphate, 18.5% | 0.400 | 0.400 | 0.400 | 0.400 | 0.400 |
| Common salt | 0.345 | 0.345 | 0.345 | 0.345 | 0.345 |
| DL-methionine | 0.398 | 0.398 | 0.398 | 0.398 | 0.398 |
| L-lysine HCl | 0.265 | 0.265 | 0.265 | 0.265 | 0.265 |
| L-threonine | 0.035 | 0.035 | 0.035 | 0.035 | 0.035 |
| Choline chloride, 60% | 0.070 | 0.070 | 0.070 | 0.070 | 0.070 |
| Mineral premix a | 0.050 | 0.050 | 0.050 | 0.050 | 0.050 |
| Vitamin premix b | 0.025 | 0.025 | 0.025 | 0.025 | 0.025 |
| Coccidiostat (Coxistac) c | 0.010 | 0.010 | 0.010 | 0.010 | 0.010 |
| Phytase d | 0.000 | 0.010 | 0.020 | 0.030 | 0.060 |
| Inert | 0.060 | 0.050 | 0.040 | 0.030 | 0.000 |
| Total | 100 | 100 | 100 | 100 | 100 |
| Chemical Composition | |||||
| Crude protein (%) | 19 | 19 | 19 | 19 | 19 |
| Metabolizable energy (kcal kg−1) | 2800 | 2800 | 2800 | 2800 | 2800 |
| Methionine + digestible cysteine (%) | 0.908 | 0.908 | 0.908 | 0.908 | 0.908 |
| Digestible lysine (%) | 1.107 | 1.107 | 1.107 | 1.107 | 1.107 |
| Digestible threonine (%) | 0.675 | 0.675 | 0.675 | 0.675 | 0.675 |
| Digestible valine (%) | 0.798 | 0.798 | 0.798 | 0.798 | 0.798 |
| Tryptophan (%) | 0.207 | 0.207 | 0.207 | 0.207 | 0.207 |
| Calcium (%) | 2.993 | 2.993 | 2.993 | 2.993 | 2.993 |
| Available phosphorus (%) | 0.177 | 0.177 | 0.177 | 0.177 | 0.177 |
| Sodium (%) | 0.155 | 0.155 | 0.155 | 0.155 | 0.155 |
| Chlorine (%) | 0.319 | 0.319 | 0.319 | 0.319 | 0.319 |
| Potassium (%) | 0.732 | 0.732 | 0.732 | 0.732 | 0.732 |
| Mongin number | 164.6 | 164.6 | 164.6 | 164.6 | 164.6 |
| Phytase Levels, FTU/kg−1 | Heat Transfer by Convection, W/m2 | Heat Transfer by Radiation, W/m2 |
|---|---|---|
| 0 | 104.7 | 39.06 |
| 500 | 108.6 | 40.86 |
| 1000 | 108.0 | 41.63 |
| 1500 | 109.7 | 39.96 |
| 3000 | 113.1 | 42.13 |
| Environments, °C | ||
| 24 | 148.76 | 46.98 |
| 30 | 103.6 | 37.78 |
| 36 | 76.02 | 37.44 |
| Production cycle | ||
| Laying begins (1) | 106.13 | 39.48 |
| Posture peak (3) | 107.06 | 39.26 |
| Posture post-peak (5) | 113.36 | 43.44 |
| Sources of variation | p-value a | |
| Phytase levels (P) | 0.010 * | 0.038 * |
| Environments (E) | <0.001 ** | <0.001 ** |
| Production cycle (C) | <0.001 ** | 0.001 * |
| P × E | 0.001 * | 0.029 * |
| P × C | 0.139 | 0.171 |
| E × C | 0.001 * | <0.001 ** |
| P × E × C | 0.759 | 0.070 |
| Phytase Level, FTU/kg−1 | Cloacal Temperature, °C | Surface Temperature, °C | Core– Surface Thermal Gradient | Surface– Environment Thermal Gradient |
|---|---|---|---|---|
| 0 | 38.65 | 33.06 | 5.59 | 3.24 |
| 500 | 41.37 | 33.30 | 8.07 | 3.29 |
| 1000 | 41.43 | 33.53 | 7.90 | 3.55 |
| 1500 | 41.33 | 33.30 | 8.03 | 3.28 |
| 3000 | 41.36 | 33.50 | 7.86 | 3.50 |
| Environments, °C | ||||
| 24 | 41.18 | 31.93 | 9.41 | 7.93 |
| 30 | 41.34 | 32.70 | 9.06 | 2.70 |
| 36 | 41.76 | 37.40 | 5.78 | 1.40 |
| Production cycle | ||||
| Laying begins (1) | 41.05 | 33.08 | 8.18 | 3.16 |
| Posture peak (3) | 41.26 | 33.00 | 8.05 | 3.01 |
| Posture post-peak (5) | 41.90 | 33.94 | 7.96 | 3.95 |
| Sources of variation | p-value a | |||
| Phytase levels (P) | 0.016 * | 0.048 * | 0.001 * | 0.358 |
| Environments (E) | <0.001 ** | <0.001 ** | <0.001 ** | <0.001 ** |
| Production cycle (C) | <0.001 ** | <0.001 ** | 0.485 | <0.001 ** |
| P × E | 0.010 * | 0.457 | 0.002 * | 0.974 |
| P × C | 0.325 | 0.001 * | 0.001 * | <0.001 ** |
| E × C | 0.001 * | <0.001 ** | <0.001 ** | <0.001 ** |
| P × E × C | 0.413 | 0.079 | 0.192 | 0.351 |
Disclaimer/Publisher’s Note: The statements, opinions and data contained in all publications are solely those of the individual author(s) and contributor(s) and not of MDPI and/or the editor(s). MDPI and/or the editor(s) disclaim responsibility for any injury to people or property resulting from any ideas, methods, instructions or products referred to in the content. |
© 2025 by the authors. Licensee MDPI, Basel, Switzerland. This article is an open access article distributed under the terms and conditions of the Creative Commons Attribution (CC BY) license (https://creativecommons.org/licenses/by/4.0/).
Share and Cite
Lima, L.A.d.A.; Maia, M.I.L.; Afo, D.I.B.; Maia, A.F.; Costa, F.G.P.; Givisiez, P.E.N.; Guerra, R.R.; Braz, C.U.; Saraiva, E.P. Phytase Overdoses Enhance Thermoregulatory Processes via Convection and Radiation in Japanese Quails (Coturnix japonica) Raised in Hot Environments. Animals 2025, 15, 2518. https://doi.org/10.3390/ani15172518
Lima LAdA, Maia MIL, Afo DIB, Maia AF, Costa FGP, Givisiez PEN, Guerra RR, Braz CU, Saraiva EP. Phytase Overdoses Enhance Thermoregulatory Processes via Convection and Radiation in Japanese Quails (Coturnix japonica) Raised in Hot Environments. Animals. 2025; 15(17):2518. https://doi.org/10.3390/ani15172518
Chicago/Turabian StyleLima, Luiz Arthur dos Anjos, Maria Isabelly Leite Maia, Delfino Isac Belarmino Afo, Amana Fernandes Maia, Fernando Guilherme Perazzo Costa, Patrícia Emília Naves Givisiez, Ricardo Romão Guerra, Camila Urbano Braz, and Edilson Paes Saraiva. 2025. "Phytase Overdoses Enhance Thermoregulatory Processes via Convection and Radiation in Japanese Quails (Coturnix japonica) Raised in Hot Environments" Animals 15, no. 17: 2518. https://doi.org/10.3390/ani15172518
APA StyleLima, L. A. d. A., Maia, M. I. L., Afo, D. I. B., Maia, A. F., Costa, F. G. P., Givisiez, P. E. N., Guerra, R. R., Braz, C. U., & Saraiva, E. P. (2025). Phytase Overdoses Enhance Thermoregulatory Processes via Convection and Radiation in Japanese Quails (Coturnix japonica) Raised in Hot Environments. Animals, 15(17), 2518. https://doi.org/10.3390/ani15172518

