Effects of Superground Pfaffia glomerata Leaves on Growth Performance and Immune Function in New Zealand Rabbits
Simple Summary
Abstract
1. Introduction
1.1. Application of Plant Additives in Rabbit Farming
1.2. Overview of the Pfaffia glomerata Research
1.3. The Purpose and Significance of the Study
2. Materials and Methods
2.1. Experimental Material
| Treatment | Main Ingredients | References | 
|---|---|---|
| Triterpene saponins | Ginsenoside Re, Rb1, Rg1, Oleanolic acid saponins | [20] | 
| Steroid compounds | β-Ecdysone | [21] | 
| Phenolic compounds | Tannins | [21] | 
| Flavonoids | Quercetin | [22] | 
| Amino acid | Aspartic acid | [22] | 
| Polysaccharide | Polysaccharide | [23] | 
| Neutral detergent fiber | Neutral detergent fiber | [24] | 
| Lignin | Lignin | [24] | 
2.2. Experimental Equipment
2.3. Experimental Methods
2.3.1. Experimental Design
2.3.2. Feeding Management
2.3.3. Production Performance Index Measurement
2.3.4. Intestinal Development Measurement
2.3.5. Immune Organ Index Measurement
2.3.6. Determination of Blood Indexes
2.3.7. Determination of Immunoglobulin and Immune Factor in Serum
2.3.8. Intestinal Flora 16S rDNA Sequencing
2.3.9. Data Processing and Analysis
3. Results
3.1. Effects of Pfaffia glomerata Leaves on Production Performance
3.2. Effects of Pfaffia glomerata Leaves on Intestinal Function
3.3. Effects of Pfaffia glomerata Leaves on Immune Organ Indexes
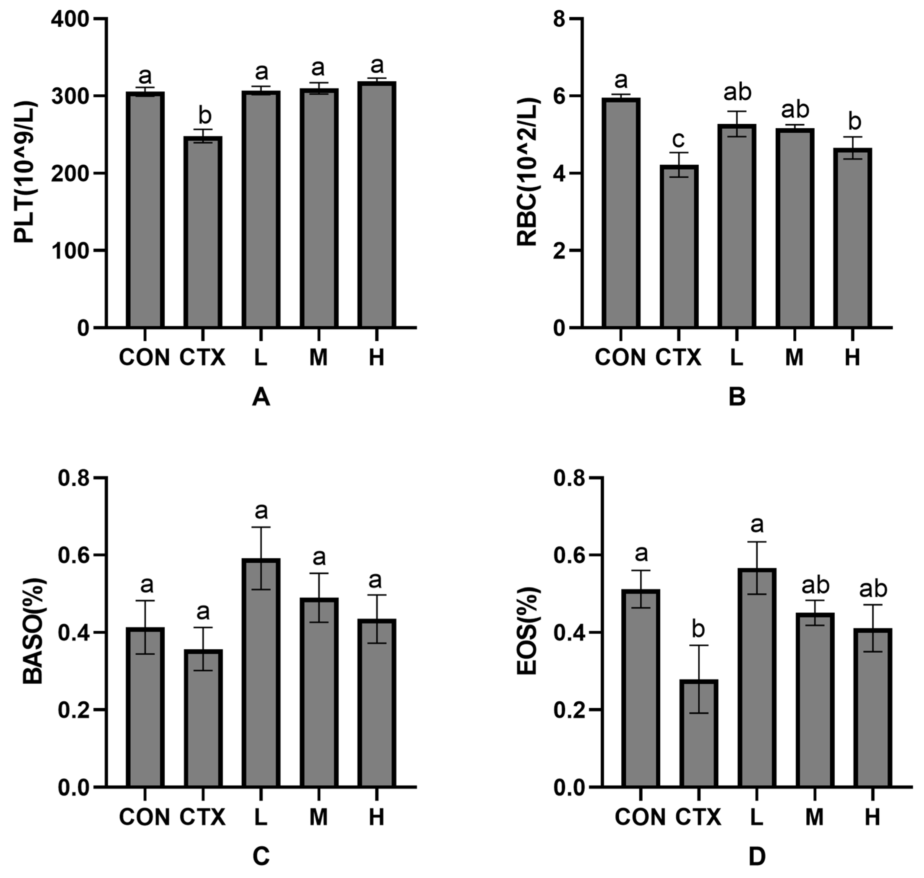
3.4. Effects of Pfaffia glomerata Leaves on Hematological
3.5. Effects of Pfaffia glomerata Leaves on Immunoglobulin Contents
3.6. Effects of Pfaffia glomerata Leaf Addition on Serum Immune Factors
3.7. OTU Analysis of Rabbit Cecum Microorganisms
3.8. Analysis of Microbial Alpha Diversity in the Cecum
3.9. Analysis of Beta Diversity of Cecum Microorganisms
3.10. Abundance Analysis of the Cecum Microbial Community
4. Discussion
4.1. Effects of Pfaffia glomerata Leaves on Production Performance
4.2. Effects of Pfaffia glomerata Leaves on Intestinal Morphology
4.3. Pfaffia glomerata Leaf Can Improve the Immune Organ Index
4.4. Effects of Pfaffia glomerata Leaves on Blood Indexes
4.5. Pfaffia glomerata Leaves Can Increase the Serum Immunoglobulin Level
4.6. Pfaffia glomerata Leaves Can Increase the Content of Serum Immune Factors
4.7. Pfaffia glomerata Leaves Can Increase the Abundance of the Dominant Intestinal Microbiota in the Cecum
5. Conclusions
Author Contributions
Funding
Institutional Review Board Statement
Informed Consent Statement
Data Availability Statement
Conflicts of Interest
References
- Ferreira, A.; Watanabe, P.; Mendonça, I.; Ferreira, J.; Nogueira, B.; Vieira, A.; Pinheiro, R.; Barros, T.; Zampieri, L.; Vieira, E. Effects of passion fruit seed (Passiflora edulis) on performance, carcass traits, antioxidant activity, and meat quality of growing rabbits. Anim. Feed Sci. Technol. 2021, 275, 114888. [Google Scholar] [CrossRef]
- Huang, Q.; Wei, Y.; Lv, Y.; Wang, Y.; Hu, T. Effect of dietary inulin supplements on growth performance and intestinal immunological parameters of broiler chickens. Livest. Sci. 2015, 180, 172–176. [Google Scholar] [CrossRef]
- Jolly, A.; Hour, Y.; Lee, Y.-C. An outlook on the versatility of plant saponins: A review. Fitoterapia 2024, 174, 105858. [Google Scholar] [CrossRef] [PubMed]
- Qin, J.; Qin, L.; Zhang, F.; Fan, X.; Jin, H.; Du, Z.; Guo, Y.; Liu, W.; Liu, Q. Effects of JUNCAO Ganoderma lucidum polysaccharide peptide on slaughter performance and intestinal health of Minxinan black rabbits. Anim. Biotechnol. 2024, 35, 2259436. [Google Scholar] [CrossRef]
- Zhang, X.; Sun, Z.; Cao, Y.; Chen, Y.; Li, S.; Wang, G.; Zhao, X.; Cao, F. Effects of dietary inclusion of Xanthoceras sorbifolia Bunge leaves on growth performance, gastrointestinal development, digestive function and gut microbial flora of rabbits. Anim. Feed Sci. Technol. 2022, 292, 115438. [Google Scholar] [CrossRef]
- Kong, F.; Wu, F.; Liu, Y.; Lai, N.; Wang, G.; Shen, S.; Han, S.; Li, B.; Zhi, Y.; Chen, S. Effects of enzymolytic soybean meal on the growth performance, digestive enzyme activity, some serum indexes, carcase performance and meat quality of Rex rabbits. Ital. J. Anim. Sci. 2022, 21, 1307–1314. [Google Scholar] [CrossRef]
- Amber, K.; Badawy, N.A.; El-Sayd, A.E.-N.A.; Morsy, W.A.; Hassan, A.M.; Dawood, M.A. Ginger root powder enhanced the growth productivity, digestibility, and antioxidative capacity to cope with the impacts of heat stress in rabbits. J. Therm. Biol. 2021, 100, 103075. [Google Scholar] [CrossRef]
- Vizzari, F.; Massányi, M.; Knížatová, N.; Corino, C.; Rossi, R.; Ondruška, Ľ.; Tirpák, F.; Halo, M.; Massányi, P. Effects of dietary plant polyphenols and seaweed extract mixture on male-rabbit semen: Quality traits and antioxidant markers. Saudi J. Biol. Sci. 2021, 28, 1017–1025. [Google Scholar] [CrossRef]
- Thiem, B.; Kikowska, M.; Maliński, M.P.; Kruszka, D.; Napierała, M.; Florek, E. Ecdysteroids: Production in plant in vitro cultures. Phytochem. Rev. 2017, 16, 603–622. [Google Scholar] [CrossRef] [PubMed]
- Festucci-Buselli, R.A.; Contim, L.A.; Barbosa, L.C.A.; Stuart, J.J.; Vieira, R.F.; Otoni, W.C. Level and distribution of 20-hydroxyecdysone during Pfaffia glomerata development. Braz. J. Plant Physiol. 2008, 20, 305–311. [Google Scholar] [CrossRef]
- Vigo, C.; Narita, E.; Marques, L. Validação da metodologia de quantificação espectrofotométrica das saponinas de Pfaffia glomerata (Spreng.) Pedersen-Amaranthaceae. Rev. Bras. Farmacogn. 2003, 13, 46–49. [Google Scholar] [CrossRef]
- Teixeira, C.G.; Piccoli, A.; Costa, P.; Soares, L.; da Silva-Santos, J.E. Involvement of the nitric oxide/soluble guanylate cyclase pathway in the anti-oedematogenic action of Pfaffia glomerata (Spreng) Pedersen in mice. J. Pharm. Pharmacol. 2006, 58, 667–675. [Google Scholar] [CrossRef]
- Dias, F.C.R.; Martins, A.L.P.; de Melo, F.C.S.A.; do Carmo Cupertino, M.; Gomes, M.d.L.M.; De Oliveira, J.M.; Damasceno, E.M.; Silva, J.; Otoni, W.C.; da Matta, S.L.P. Hydroalcoholic extract of Pfaffia glomerata alters the organization of the seminiferous tubules by modulating the oxidative state and the microstructural reorganization of the mice testes. J. Ethnopharmacol. 2019, 233, 179–189. [Google Scholar] [CrossRef]
- Vardanega, R.; Carvalho, P.I.; Santos, D.T.; Meireles, M.A.A. Obtaining prebiotic carbohydrates and beta-ecdysone from Brazilian ginseng by subcritical water extraction. Innov. Food Sci. Emerg. Technol. 2017, 42, 73–82. [Google Scholar] [CrossRef]
- Pinello, K.C.; de SM Fonseca, E.; Akisue, G.; Silva, A.P.; Oloris, S.C.S.; Sakai, M.; Matsuzaki, P.; Nagamine, M.K.; Neto, J.P.; Dagli, M.L.Z. Effects of Pfaffia paniculata (Brazilian ginseng) extract on macrophage activity. Life Sci. 2006, 78, 1287–1292. [Google Scholar] [CrossRef]
- Nakamura, S.; Chen, G.; Nakashima, S.; Matsuda, H.; Pei, Y.; Yoshikawa, M. Brazilian natural medicines. IV. New noroleanane-type triterpene and ecdysterone-type sterol glycosides and melanogenesis inhibitors from the roots of Pfaffia glomerata. Chem. Pharm. Bull. 2010, 58, 690–695. [Google Scholar] [CrossRef]
- Matsuzaki, P.c.; Akisue, G.; Oloris, S.l.C.S.; Górniak, S.L.; Dagli, M.L.Z. Effect of Pfaffia paniculata (Brazilian ginseng) on the Ehrlich tumor in its ascitic form. Life Sci. 2003, 74, 573–579. [Google Scholar] [CrossRef]
- Matsuzaki, P.; Haraguchi, M.; Akisue, G.; Oloris, S.C.S.; Nagamine, M.K.; da Silva, T.C.; Sakai, M.; Fonseca, E.d.S.M.; Palermo-Neto, J.; Górniak, S.L. Antineoplastic effects of butanolic residue of Pfaffia paniculata. Cancer Lett. 2006, 238, 85–89. [Google Scholar] [CrossRef] [PubMed]
- da Silva, T.C.; Cogliati, B.; Latorre, A.O.; Akisue, G.; Nagamine, M.K.; Haraguchi, M.; Hansen, D.; Sanches, D.S.; Dagli, M.L.Z. Pfaffosidic Fraction from Hebanthe paniculata Induces Cell Cycle Arrest and Caspase-3-Induced Apoptosis in HepG2 Cells. Evid.-Based Complement. Altern. Med. 2015, 2015, 835796. [Google Scholar] [CrossRef]
- Terhaag, M.M.; Santos, A.C.M.d.; de Lima, D.G.; Sakai, O.A.; de Oliveira, G.G.d.C.; Moritz, C.M.F.; Junior, B.D.; Silva, J.d.S.; Ruiz, S.P.; Faria, M.G.I. Separation of Bioactive Compounds from Pfaffia glomerata: Drying, Green Extraction, and Physicochemical Properties. Separations 2025, 12, 164. [Google Scholar] [CrossRef]
- Girotto, L.M.; Herrig, S.P.; Nunes, M.G.I.; Sakai, O.A.; Barros, B.C. Extraction of phenolic compounds from Pfaffia glomerata leaves and evaluation of composition, antioxidant and antibacterial properties. An. Acad. Bras. Ciênc. 2025, 97, e20240317. [Google Scholar] [CrossRef]
- Leal, P.F.; Kfouri, M.B.; Alexandre, F.C.; Fagundes, F.H.; Prado, J.M.; Toyama, M.H.; Meireles, M.A.A. Brazilian Ginseng extraction via LPSE and SFE: Global yields, extraction kinetics, chemical composition and antioxidant activity. J. Supercrit. Fluids 2010, 54, 38–45. [Google Scholar] [CrossRef]
- Chen, F.; Huang, G. Antioxidant activity of polysaccharides from different sources of ginseng. Int. J. Biol. Macromol. 2019, 125, 906–908. [Google Scholar] [CrossRef]
- Cabeza, A.; Santos, D.T.; Meireles, M.A.A.; Sobron, F.; Cocero Alonso, M.J.; Garcia-Serna, J. Pretreatment Effect on the Thermal Degradation of a Feedstock with Low Hemicellulose Content: Brazilian Ginseng. Energy Fuels 2017, 31, 7123–7131. [Google Scholar] [CrossRef]
- Serra, L.Z.; Felipe, D.F.; Cortez, D.A. Quantification of β-ecdysone in differents parts of Pfaffia glomerata by HPLC. Rev. Bras. Farmacogn. 2012, 22, 1319–1354. [Google Scholar] [CrossRef]
- Ren, H.; Dong, S.; Li, L.; Zhao, W. Effects of Soluble and Insoluble Fibre on Glycolipid Metabolism and Gut Microbiota in High-Fat-Diet-Induced Obese Mice. Nutrients 2024, 16, 3822. [Google Scholar] [CrossRef]
- Yan, Y.; Yin, S.; Bian, X.; Li, J.; Wei, P.; Guo, X.; Zhou, J.; Yao, X.; Hu, H.; Kong, D. Gas chromatography-mass spectrometry-based metabolomics reveals the potential mechanism of action of saikosaponin D against DSS-induced acute ulcerative colitis. Phytochem. Lett. 2023, 57, 133–139. [Google Scholar] [CrossRef]
- Li, H.; Christman, L.M.; Li, R.; Gu, L. Synergic interactions between polyphenols and gut microbiota in mitigating inflammatory bowel diseases. Food Funct. 2020, 11, 4878–4891. [Google Scholar] [CrossRef]
- El Basuini, M.F.; Khattab, A.A.; Hafsa, S.H.A.; Teiba, I.I.; Elkassas, N.E.; El-Bilawy, E.H.; Dawood, M.A.; Atia, S.E.S. Impacts of algae supplements (Arthrospira & Chlorella) on growth, nutrient variables, intestinal efficacy, and antioxidants in New Zealand white rabbits. Sci. Rep. 2023, 13, 7891. [Google Scholar] [CrossRef] [PubMed]
- Silva, M.J.; Hilario, M.C.; Acosta, I.T.; Delgado, E.V.; Domínguez, R.C. 0829 Inulin and flavomicine as growth promoters in rabbit diets: Effects on animal performance, cecum crypt depth, and serum-bone macrominerals (Ca, P, Mg). J. Anim. Sci. 2016, 94, 399–400. [Google Scholar] [CrossRef]
- Gu, J.; Zhao, L.; Chen, Y.-Z.; Guo, Y.-X.; Sun, Y.; Guo, Q.; Duan, G.-X.; Li, C.; Tang, Z.-B.; Zhang, Z.-X. Preventive effect of sanguinarine on intestinal injury in mice exposed to whole abdominal irradiation. Biomed. Pharmacother. 2022, 146, 112496. [Google Scholar] [CrossRef]
- Hu, J.; Liu, W.; Zou, Y.; Jiao, C.; Zhu, J.; Xu, Q.; Zou, J.; Sun, Y.; Guo, W. Allosterically activating SHP2 by oleanolic acid inhibits STAT3–Th17 axis for ameliorating colitis. Acta Pharm. Sin. B 2024, 14, 2598–2612. [Google Scholar] [CrossRef]
- Matter, K.; Aijaz, S.; Tsapara, A.; Balda, M.S. Mammalian tight junctions in the regulation of epithelial differentiation and proliferation. Curr. Opin. Cell Biol. 2005, 17, 453–458. [Google Scholar] [CrossRef]
- Hay, A.M.; Jash, A. A spleen is required for antibody mediated immune enhancement but not for RBC clearance or antigen-modulation in mice. Transfusion 2025, 65, 453–458. [Google Scholar] [CrossRef]
- Xylouri, E.; Sabatakou, O.; Kaldrymidou, E.; Sotirakoglou, K.; Fragkiadakis, G.; Noikokyris, P. Histochemical and biochemical study of rabbit intestine in healthy and affected by epizootic enteropathy animals. J. Hell. Vet. Med. Soc. 2008, 59, 357–366. [Google Scholar] [CrossRef][Green Version]
- Bassoy, E.Y.; Walch, M.; Martinvalet, D. Reactive oxygen species: Do they play a role in adaptive immunity? Front. Immunol. 2021, 12, 755856. [Google Scholar] [CrossRef] [PubMed]
- Ragland, S.A.; Schaub, R.E.; Hackett, K.T.; Dillard, J.P.; Criss, A.K. Two lytic transglycosylases in Neisseria gonorrhoeae impart resistance to killing by lysozyme and human neutrophils. Cell. Microbiol. 2017, 19, e12662. [Google Scholar] [CrossRef] [PubMed]
- Rathod, S.; Hoshitsuki, K.; Zhu, Y.; Ramsey, M.; Fernandez, C.A. Asparaginase-specific basophil recognition and activation predict Asparaginase hypersensitivity in mice. Front. Immunol. 2024, 15, 1392099. [Google Scholar] [CrossRef]
- Khalaf, S.A.; Jubair, F.; Nolan, N.S.; Jegede, O. 1013. Outpatient parenteral antimicrobial therapy (OPAT)-related peripheral eosinophilia as a predictor of hypersensitivity reactions. Open Forum Infect. Dis. 2022, 9, ofac492. [Google Scholar] [CrossRef]
- Stojkovic, A.; Simovic, A.; Bogdanovic, Z.; Bankovic, D.; Poskurica, M. Optimal time period to achieve the effects on synbiotic-controlled wheezing and respiratory infections in young children. Srp. Arh. Celok. Lek. 2016, 144, 38–45. [Google Scholar] [CrossRef] [PubMed]
- Montague, S.J.; Patel, P.; Martin, E.M.; Slater, A.; Quintanilla, L.G.; Perrella, G.; Kardeby, C.; Nagy, M.; Mezzano, D.; Mendes, P.M. Platelet activation by charged ligands and nanoparticles: Platelet glycoprotein receptors as pattern recognition receptors. Platelets 2021, 32, 1018–1030. [Google Scholar] [CrossRef] [PubMed]
- Finlay, J.R.; Wyatt, K.; North, C. Recovery from cyclophosphamide overdose in a dog. J. Am. Anim. Hosp. Assoc. 2017, 53, 230–235. [Google Scholar] [CrossRef]
- Li, J.; Jadhav, A.; Rumalla, C.; Khan, I. New terpenoids from Pfaffia paniculata Kuntze. Planta Med. 2009, 75, P-37. [Google Scholar] [CrossRef]
- Sun, J.-L.; Hu, Y.-L.; Wang, D.-Y.; Zhang, B.-K.; Liu, J.-G. Immunologic enhancement of compound Chinese herbal medicinal ingredients and their efficacy comparison with compound Chinese herbal medicines. Vaccine 2006, 24, 2343–2348. [Google Scholar] [CrossRef] [PubMed]
- Bi, S.; Qu, Y.; Shao, J.; Zhang, J.; Li, W.; Zhang, L.; Ni, J.; Cao, L. Ginsenoside Rg3 ameliorates stress of broiler chicks induced by Escherichia coli lipopolysaccharide. Front. Vet. Sci. 2022, 9, 878018. [Google Scholar] [CrossRef]
- Song, D.; Zhao, M.; Feng, L.; Wang, P.; Li, Y.; Li, W. Salidroside attenuates acute lung injury via inhibition of inflammatory cytokine production. Biomed. Pharmacother. 2021, 142, 111949. [Google Scholar] [CrossRef]
- Peng, Y.; Yan, Y.; Wan, P.; Dong, W.; Huang, K.; Ran, L.; Mi, J.; Lu, L.; Zeng, X.; Cao, Y. Effects of long-term intake of anthocyanins from Lycium ruthenicum Murray on the organism health and gut microbiota in vivo. Food Res. Int. 2020, 130, 108952. [Google Scholar] [CrossRef]
- Sun, Y.; Zhang, S.; Nie, Q.; He, H.; Tan, H.; Geng, F.; Ji, H.; Hu, J.; Nie, S. Gut firmicutes: Relationship with dietary fiber and role in host homeostasis. Crit. Rev. Food Sci. Nutr. 2023, 63, 12073–12088. [Google Scholar] [CrossRef]
- Zhou, Y.; Huang, Y.; Chen, J.; Lin, Q.; Zhou, X.; Wang, M. Regulatory effects of the Tartary buckwheat starch-flavonoid complex on glycometabolism and intestinal flora in type 2 diabetic mice. Food Biosci. 2025, 63, 105682. [Google Scholar] [CrossRef]
- Xu, L.; Hu, X.; Ma, C.; Wang, W.; Zhang, F.; Zhao, M.; Xu, J.; Lv, X.; Su, Z.; Ma, L. Integration of metagenome and full-length 16S rRNA gene sequencing of the mariculture environmental bacterial community reveal potential pathogenic bacteria in broodstock breeding of the mud crab, Scylla paramamosain. Aquac. Rep. 2025, 43, 102880. [Google Scholar] [CrossRef]
- Opo, F.D.M.; Teklemariam, A.D.; Pervin, R.; Hossain, M.A. Role of the Microbiome in the Function and Diseases of the Digestive System. In Microbiome, Immunity, Digestive Health and Nutrition; Elsevier: Amsterdam, The Netherlands, 2022; pp. 93–105. [Google Scholar]








| Ingredients | Content (%) | 
|---|---|
| Corn | 25 | 
| Wheat | 22 | 
| Soybean meal | 15 | 
| Alfalfa meal | 35 | 
| CaPO4 | 1 | 
| NaCl | 0.5 | 
| Vitamins | 0.5 | 
| Premix | 1 | 
| Total | 100 | 
| Digestible energy (MJ/kg) | 11.37 | 
| Crude protein | 15 | 
| Crude fiber | 25 | 
| Ca | 0.82 | 
| P | 0.46 | 
| Treatment | Groups | |||
|---|---|---|---|---|
| CON | L | M | H | |
| Average daily feed intake (g) | 123.73 ± 6.65 a | 108.02 ± 3.79 c | 127.07 ± 3.98 a | 101.00 ± 6.94 c | 
| Average daily weight gain (g) | 17.64 ± 0.96 c | 24.55 ± 1.12 a | 20.83 ± 1.19 b | 19.59 ± 0.80 b,c | 
| Feed conversion ratio (%) | 7.14 ± 0.63 a | 4.44 ± 0.18 b | 6.27 ± 0.45 a | 5.05 ± 0.24 b | 
| Treatment | Groups | |||
|---|---|---|---|---|
| CON | L | M | H | |
| Duodenum | ||||
| Villus height (µm) | 496.15 ± 14.45 | 507.04 ± 19.40 | 468.2 ± 30.43 | 514.37 ± 24.59 | 
| Crypt depth (µm) | 112.71 ± 4.54 a | 91.00 ± 4.29 b | 90.7 ± 8.69 b | 95.78 ± 4.83 a,b | 
| Villus to crypt ratio | 4.43 ± 0.18 a | 5.62 ± 0.27 b | 5.26 ± 0.35 a | 5.39 ± 0.18 a | 
| Jejunum | ||||
| Villus height (µm) | 424.14 ± 30.85 b | 512.02 ± 20.61 a | 497.25 ± 27.81 a,b | 512.95 ± 20.77 a | 
| Crypt depth (µm) | 109.05 ± 8.63 | 92.62 ± 3.02 | 99.70 ± 5.05 | 92.10 ± 7.16 | 
| Villus to crypt ratio | 4.04 ± 0.64 b | 5.55 ± 0.22 a | 5.04 ± 0.38 a,b | 5.69 ± 0.55 a | 
| Ileum | ||||
| Villus height (µm) | 405.05 ± 4.80 b | 521.57 ± 2.42 a | 434.42 ± 4.76 b | 512.39 ± 3.95 a | 
| Crypt depth (µm) | 103.85 ± 21.73 b | 92.93 ± 14.54 b | 101.94 ± 16.39 b | 120.49 ± 2.08 a | 
| Villus to crypt ratio | 3.93 ± 0.21 b | 5.63 ± 0.22 a | 4.29 ± 0.19 b | 4.28 ± 0.13 b | 
| Treatment | CON | CXT | L | M | H | 
|---|---|---|---|---|---|
| Thymus weight (g) | 1.34 ± 0.21 a | 1.03 ± 0.14 b | 1.47 ± 0.15 a | 1.67 ± 0.28 a | 1.38 ± 0.28 a | 
| Thymus index (%) | 0.64 ± 0.17 a | 0.52 ± 0.10 a | 0.68 ± 0.13 a | 0.82 ± 0.21 b | 0.68 ± 0.10 b | 
| Spleen weight (g) | 1.02 ± 0.10 a | 0.68 ± 0.10 b | 0.63 ± 0.07 b | 0.70 ± 0.05 b | 0.81 ± 0.01 b | 
| Spleen index (%) | 0.49 ± 0.01 a | 0.31 ± 0.05 c | 0.32 ± 0.03 c | 0.31 ± 0.02 c | 0.41 ± 0.01 b | 
| Sacculus rotundus weight (g) | 2.47 ± 0.12 b | 1.77 ± 0.18 a | 2.18 ± 0.21 b | 2.37 ± 0.20 b | 1.99 ± 0.24 b | 
| Sacculus rotundus index (%) | 1.17 ± 0.11 b | 0.90 ± 0.15 a | 1.02 ± 0.05 b | 1.09 ± 0.12 b | 0.98 ± 0.09 a | 
| Treatment | Groups | ||||
|---|---|---|---|---|---|
| CON | CXT | L | M | H | |
| IgM (µg/mL) | 5808 ± 229.10 c | 4453.48 ± 238.16 d | 6049.80 ± 134.22 b | 6625.82 ± 231.18 bc | 7820.91 ± 219.21 a | 
| IgA (µg/mL) | 1425.98 ± 47.86 bc | 1361.05 ± 54.29 a | 1615.45 ± 47.62 ab | 1578.84 ± 102.27 bc | 1773.75 ± 60.44 a | 
| Phylum (%) | Groups | |||
|---|---|---|---|---|
| CON | L | M | H | |
| Firmicutes | 59.18 | 56.65 | 60.08 | 64.94 | 
| Bacteroidota | 30.38 | 32.63 | 26.58 | 25.65 | 
| Synergistota | 3.93 | 3.34 | 4.21 | 3.26 | 
| Verrucomicrobiota | 1.68 | 3.35 | 4.35 | 2.17 | 
| Desulfobacterota | 1.21 | 1.70 | 2.19 | 1.40 | 
| Actinobacteriota | 1.22 | 0.85 | 0.96 | 0.86 | 
| Proteobacteria | 1.10 | 0.48 | 0.71 | 0.88 | 
| unclassified_Bacteria | 0.46 | 0.38 | 0.41 | 0.35 | 
| Patescibacteria | 0.47 | 0.42 | 0.28 | 0.34 | 
| Spirochaetota | 0.12 | 0.12 | 0.13 | 0.05 | 
| Cyanobacteria | 0.13 | 0.06 | 0.06 | 0.07 | 
| Campylobacterota | 0.08 | 0.01 | 0.05 | 0.03 | 
| Fusobacteriota | 0.01 | 0.00 | 0.00 | 0.00 | 
| Genus (%) | Groups | |||
|---|---|---|---|---|
| CON | L | M | H | |
| unclassified_Lachnospiraceae | 8.66 | 9.16 | 7.98 | 12.34 | 
| Bacteroides | 12.96 | 8.10 | 7.09 | 6.13 | 
| unclassified_Muribaculaceae | 8.16 | 11.66 | 6.79 | 5.62 | 
| unclassified_Clostridia_vadinBB60_group | 8.69 | 5.52 | 7.32 | 7.60 | 
| Christensenellaceae_R_7_group | 4.64 | 5.75 | 6.51 | 4.97 | 
| Ruminococcus | 4.57 | 5.81 | 6.24 | 4.88 | 
| NK4A214_group | 3.70 | 4.45 | 5.26 | 5.39 | 
| dgA_11_gut_group | 1.63 | 4.68 | 3.35 | 4.49 | 
| Akkermansia | 1.58 | 3.23 | 4.21 | 2.15 | 
| Synergistes | 2.61 | 3.23 | 2.42 | 2.69 | 
| Others | 42.79 | 38.39 | 42.63 | 43.75 | 
| Disclaimer/Publisher’s Note: The statements, opinions and data contained in all publications are solely those of the individual author(s) and contributor(s) and not of MDPI and/or the editor(s). MDPI and/or the editor(s) disclaim responsibility for any injury to people or property resulting from any ideas, methods, instructions or products referred to in the content. | 
© 2025 by the authors. Licensee MDPI, Basel, Switzerland. This article is an open access article distributed under the terms and conditions of the Creative Commons Attribution (CC BY) license (https://creativecommons.org/licenses/by/4.0/).
Share and Cite
Chen, Y.-J.; Lv, G.-Z.; Muhammad, A.; Zheng, X.-Y.; Xie, J.-H.; Chen, J.-J. Effects of Superground Pfaffia glomerata Leaves on Growth Performance and Immune Function in New Zealand Rabbits. Animals 2025, 15, 2452. https://doi.org/10.3390/ani15162452
Chen Y-J, Lv G-Z, Muhammad A, Zheng X-Y, Xie J-H, Chen J-J. Effects of Superground Pfaffia glomerata Leaves on Growth Performance and Immune Function in New Zealand Rabbits. Animals. 2025; 15(16):2452. https://doi.org/10.3390/ani15162452
Chicago/Turabian StyleChen, Yan-Jun, Guang-Zhou Lv, Asim Muhammad, Xin-Yu Zheng, Jia-Hong Xie, and Jin-Jun Chen. 2025. "Effects of Superground Pfaffia glomerata Leaves on Growth Performance and Immune Function in New Zealand Rabbits" Animals 15, no. 16: 2452. https://doi.org/10.3390/ani15162452
APA StyleChen, Y.-J., Lv, G.-Z., Muhammad, A., Zheng, X.-Y., Xie, J.-H., & Chen, J.-J. (2025). Effects of Superground Pfaffia glomerata Leaves on Growth Performance and Immune Function in New Zealand Rabbits. Animals, 15(16), 2452. https://doi.org/10.3390/ani15162452
 
        
 
                                                
 
                         
       