Glucogenic Precursor Release from Dietary Supply Is a Potential Amplifier of Monosodium-Glutamate Ovary Stimuli in Sheep with Low Involving Key Gene Mediators of the Glutamate Pathway
Simple Summary
Abstract
1. Introduction
2. Materials and Methods
2.1. Ethic Statements and Location Facility
2.2. Animals, Feeding and Housing Management, and Pre-Experimental Conditions
2.3. Experimental Design
2.4. Assessment of Ovarian Function Outcomes
2.4.1. Follicular Dynamics
2.4.2. Intraovarian Blood Perfusion
2.4.3. Corpus Luteum Growth, Luteal Blood Perfusion Area, and Ovulatory Rate
2.5. Physiological Effort During the Period of Dietary Supplementation
2.6. Blood Sampling and Metabolite Assay
2.7. Adipose Tissue Sample Collection
2.8. RNA Isolation and Reverse Transcription Real-Time Quantitative Polymerase Chain Reaction (RT-qPCR) of Glutamate and Energy Genetic Markers
2.9. Data Statistics and Analysis
3. Results
3.1. Feed Intake
| Parameters | Group | p-Value | |||||||
|---|---|---|---|---|---|---|---|---|---|
| Control | MSG | MSGLY | SEM | Group | Time | DR | G vs. T | G vs. DR | |
| Body and carcass markers * | |||||||||
| BMI | 8.6 | 9.0 | 8.7 | 0.205 | 0.186 | - | - | - | - |
| SLFT, mm | 4.1 | 5.1 | 4.2 | 0.366 | 0.350 | - | - | - | - |
| KFT, mm | 2.2 | 2.3 | 2.5 | 0.103 | 0.682 | - | - | - | - |
| LD, mm | 17.4 | 19.4 | 17.9 | 0.884 | 0.122 | - | - | - | - |
| Feed intake | |||||||||
| DMI, g/MW | 68.3 a | 61.2 b | 67.2 a | 0.973 | 0.001 | <0.001 | - | 0.136 | - |
| DMI, % BW | 2.7 a | 2.4 b | 2.7 a | 0.042 | <0.001 | <0.001 | - | 0.192 | - |
| Physiological effort | |||||||||
| Rectal temperature, °C | 38.1 a | 38.3 b | 38.3 b | 0.020 | <0.001 | <0.001 | <0.001 | <0.001 | 0.806 |
| Surface temperature, °C | 34.0 a | 34.0 a | 34.6 b | 0.050 | <0.001 | <0.001 | <0.001 | 0.451 | 0.007 |
| Heart rate, beats/min | 70.3 a | 70.6 a | 72.5 b | 0.426 | 0.024 | 0.039 | <0.001 | 0.002 | 0.016 |
| Respiratory rate, breaths/min | 32.1 a | 37.5 b | 40.1 c | 0.667 | <0.001 | <0.001 | <0.001 | <0.001 | 0.103 |
| Metabolic effort | |||||||||
| Glucose, mg/dL | 62.3 | 60.9 | 60.6 | 0.513 | 0.363 | 0.590 | - | 0.288 | - |
| Total Protein, mg/dL | 6.4 | 6.1 | 6.2 | 0.058 | 0.083 | 0.854 | - | 0.052 | - |
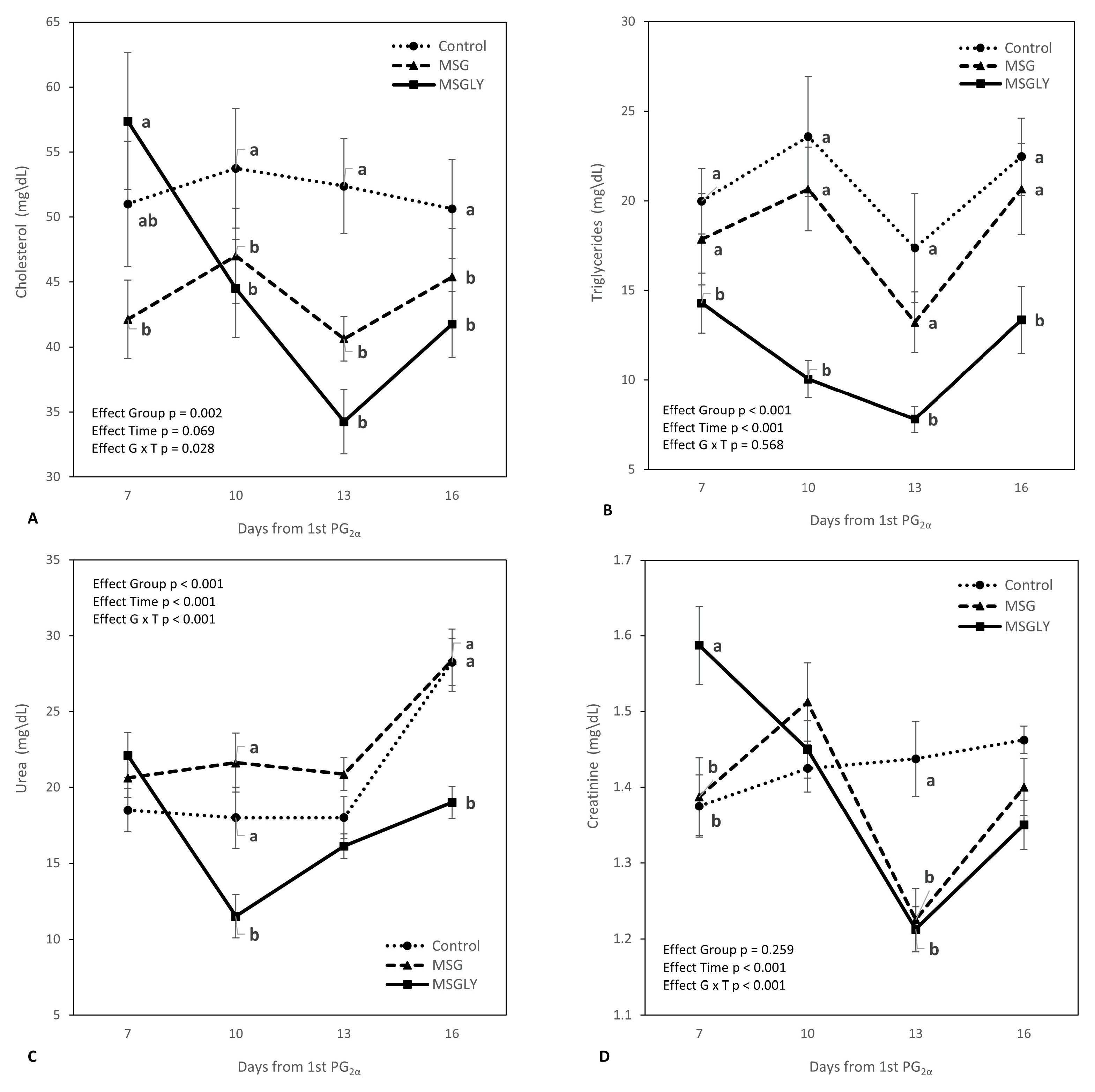
3.2. Physiological and Metabolic Efforts
3.3. Ovarian Function Outcomes
3.3.1. Follicular Turnover Before Ovulation Induction
3.3.2. Follicular Dynamics and Intraovarian Blood Perfusion After Ovulation Induction
3.3.3. Corpus Luteum Growth, Luteal Blood Perfusion Area, and Ovulatory Rate
3.4. Expression of Gene Markers
4. Discussion
5. Conclusions
Author Contributions
Funding
Institutional Review Board Statement
Informed Consent Statement
Data Availability Statement
Acknowledgments
Conflicts of Interest
References
- Wu, G.; Bazer, F.W.; Johnson, G.A.; Satterfield, M.C.; Washburn, S.E. Metabolism and Nutrition of L-Glutamate and L-Glutamine in Ruminants. Animals 2024, 14, 1788. [Google Scholar] [CrossRef] [PubMed]
- Meza-Herrera, C.A.; Vergara-Hernández, H.P.; Paleta-Ochoa, A.; Álvarez-Ruíz, A.R.; Véliz-Deras, F.G.; Arellano-Rodríguez, G.; Rosales-Nieto, C.A.; Macías-Cruz, U.; Rodríguez-Martínez, R.; Carrillo, E. Glutamate supplementation reactivates ovarian function while increasing serum insulin and triiodothyronine concentrations in yearling Criollo x Saanen-Alpine goats during the anestrous season. Animals 2020, 10, 234. [Google Scholar] [CrossRef]
- Conde, A.J.H.; Alves, J.P.M.; Fernandes, C.C.L.; Silva, M.R.L.; Cavalcanti, C.M.; Bezerra, A.F.; Rondina, D. Effect of one or two fixed glutamate doses on follicular development, ovarian-intraovarian blood flow, ovulatory rate, and corpus luteum quality in goats with a low body condition score. Anim. Reprod. 2023, 20, e20220117. [Google Scholar] [CrossRef]
- Luna-Garcia, L.A.; Meza-Herrera, C.A.; Perez-Marin, C.C.; De Santiago-Miramontes, A.; Flores-Salas, J.M.; Corona, R.; Marin-Tinoco, R.I. Targeted glutamate supply boosts insulin concentrations, ovarian activity, and ovulation rate in yearling goats during the anestrous season. Biology 2023, 12, 1041. [Google Scholar] [CrossRef]
- Gilbreath, K.R.; Bazer, F.W.; Satterfield, M.C.; Wu, G. Amino acid nutrition and reproductive performance in ruminants. Adv. Exp. Med. Biol. 2021, 1285, 43–61. [Google Scholar]
- Soares, A.C.S.; Alves, J.P.M.; Fernandes, C.C.L.; Silva, M.R.L.; Conde, A.J.H.; Teixeira, D.Í.A.; Rondina, D. Use of monosodium-glutamate as a novel dietary supplement strategy for ovarian stimulation in goats. Anim. Reprod. 2023, 20, e20230094. [Google Scholar] [CrossRef] [PubMed]
- Hernández-Marín, J.A.; Ángel-Sahagún, C.A.; Rojas-García, A.R.; Cigarroa-Vázquez, F.A.; Maki-Díaz, G.; Cadena-Villegas, S. Response of a metabolic restorative and monosodium glutamate on pregnancy rate in sheep. Agric. Ecosyst. Resour. 2024, 11, e4090. [Google Scholar]
- Tabassum, S.; Ahmad, S.; Madiha, S.; Shahzad, S.; Batool, Z.; Sadir, S.; Haider, S. Free L-glutamate-induced modulation in oxidative and neurochemical profile contributes to enhancement in locomotor and memory performance in male rats. Sci. Rep. 2020, 10, 11206. [Google Scholar] [CrossRef] [PubMed]
- Glanowska, K.M.; Moenter, S.M. Endocannabinoids and prostaglandins both contribute to GnRH neuron-GABAergic afferent local feedback circuits. J. Neurophysiol. 2011, 106, 3073–3081. [Google Scholar] [CrossRef]
- McCoard, S.A.; Pacheco, D. The significance of N-carbamoylglutamate in ruminant production. J. Anim. Sci. Biotechnol. 2023, 14, 48. [Google Scholar] [CrossRef] [PubMed]
- Reyes-Aguirre, L.I.; Ferraro, S.; Quintero, H.; Sánchez-Serrano, S.L.; Gómez-Montalvo, A.; Lamas, M. Glutamate-induced epigenetic and morphological changes allow rat Müller cell dedifferentiation but not further acquisition of a photoreceptor phenotype. Neuroscience 2013, 254, 347–360. [Google Scholar] [CrossRef] [PubMed]
- ANP. Agência Nacional do Petróleo, Gás Natural e Biocombustíveis. 2024. Available online: https://www.gov.br/anp/pt-br (accessed on 20 June 2025).
- Rodrigues, F.V.; Silva, C.M.G.; Lima, I.M.T.; Silva, A.M.; Fernandes, C.C.L.; Rondina, D. Effect of oral drenching of glycerin as a source of pre-mating energetic supplementation on reproductive response in goats. Anim. Reprod. 2018, 12, 890–898. [Google Scholar]
- Sotgiu, F.D.; Porcu, C.; Pasciu, V.; Dattena, M.; Gallus, M.; Argiolas, G.; Berlinguer, F.; Molle, G. Towards a sustainable reproduction management of dairy sheep: Glycerol-based formulations as alternative to ecg in milked ewes mated at the end of anoestrus period. Animals 2021, 11, 922. [Google Scholar] [CrossRef]
- Andrade, M.A.M.M.; Alves, J.P.M.; Galvão, I.T.O.M.; Cavalcanti, C.M.; Silva, M.R.L.; Conde, A.J.H.; Bezerra, A.F.; Fernandes, C.C.L.; Teixeira, D.I.A.; Rondina, D. Glycerin supplementation strategies for three or seven days affects oxidative stress, follicle dynamics and ovulatory response in Morada Nova sheep. Anim. Reprod. 2022, 19, e20200025. [Google Scholar] [CrossRef] [PubMed]
- Luna-García, L.A.; Meza-Herrera, C.A.; Pérez-Marín, C.C.; Corona, R.; Luna-Orozco, J.R.; Véliz-Deras, F.G.; Gutierrez-Guzman, U.N. Goats as valuable animal model to test the targeted glutamate supplementation upon antral follicle number, ovulation rate, and LH-Pulsatility. Biology 2022, 11, 1015. [Google Scholar] [CrossRef] [PubMed]
- Lass, G.; Li, X.F.; Voliotis, M.; Wall, E.; de Burgh, R.A.; Ivanova, D.; McIntyre, C.; Lin, X.H.; Colledge, W.H.; Lightman, S.L.; et al. GnRH pulse generator frequency is modulated by kisspeptin and GABA-glutamate interactions in the posterodorsal medial amygdala in female mice. J. Neuroendocrinol. 2022, 34, e13207. [Google Scholar] [CrossRef]
- Moore, A.M.; Novak, A.G.; Lehman, M.N. KNDy neurons of the hypothalamus and their role in GnRH pulse generation: An update. Endocrinology 2024, 165, bqad194. [Google Scholar] [CrossRef] [PubMed]
- Evans, M.C.; Hill, J.W.; Anderson, G.M. Role of insulin in the neuroendocrine control of reproduction. J. Neuroendocrinol. 2021, 33, e12930. [Google Scholar] [CrossRef] [PubMed]
- de Carvalho Papa, P.; Vargas, A.M.; da Silva, J.L.T.; Nunes, M.T.; Machado, U.F. GLUT4 protein is differently modulated during development of obesity in monosodium glutamate-treated mice. Life Sci. 2002, 71, 1917–1928. [Google Scholar] [CrossRef] [PubMed]
- Sugimoto, M.; Sasaki, S.; Watanabe, T.; Nishimura, S.; Ideta, A.; Yamazaki, M.; Matsuda, K.; Yuzaki, M.; Sakimura, K.; Aoyagi, Y.; et al. Ionotropic glutamate receptor AMPA1 is associated with ovulation rate. PLoS ONE 2010, 5, e13817. [Google Scholar] [CrossRef]
- Wang, W.; Wang, Y.; Liu, Y.; Cao, G.; Di, R.; Wang, J.; Chu, M. Polymorphism and expression of GLUD1 in relation to reproductive performance in Jining Grey goats. Arch. Anim. Breed. 2023, 66, 411–419. [Google Scholar] [CrossRef] [PubMed]
- Wang, W.; Patra, A.K.; Puchala, R.; Ribeiro, L.; Gipson, T.A.; Goetsch, A.L. Effects of dietary inclusion of tannin-rich sericea lespedeza hay on relationships among linear body measurements, body condition score, body mass indexes, and performance of growing alpine doelings and katahdin ewe lambs. Animals 2022, 12, 3183. [Google Scholar] [CrossRef] [PubMed]
- National Research Council. Nutrient Requirements of Small Ruminants: Sheep, Goats, Cervids, and New World Camelids; The National Academies Press: Washington, DC, USA, 2007. [Google Scholar]
- Heinrichs, J.; Kononoff, P. The Penn State Particle Separator. Penn State Extension, University Park, PA. DSE 2013, 186, 1–8. Available online: https://extension.psu.edu/penn-state-particle-separator (accessed on 20 June 2025).
- Fernandes, C.C.L.; Aguiar, L.H.; Calderón, C.E.M.; Silva, A.M.; Alves, J.P.M.; Rossetto, R.; Bertolini, L.R.; Bertolini, M.; Rondina, D. Nutritional impact on gene expression and competence of oocytes used to support embryo development and livebirth by cloning procedures in goats. Anim. Reprod. Sci. 2018, 188, 1–12. [Google Scholar] [CrossRef] [PubMed]
- Viñoles, C.; Paganoni, B.; Glover, K.M.M.; Milton, J.T.B.; Blache, D.; Blackberry, M.A.; Martin, G.B. The use of a ‘first-wave’ model to study the effect of nutrition on ovarian follicular dynamics and ovulation rate. Reproduction 2010, 140, 865. [Google Scholar] [CrossRef] [PubMed]
- Mach, N.; Bach, A.; Devant, M. Effects of crude glycerin supplementation on performance and meat quality of Holstein bulls fed high-concentrate diets. J. Anim. Sci. 2009, 87, 632–638. [Google Scholar] [CrossRef] [PubMed]
- Oliveira, M.E.; Feliciano, M.A.; D’Amato, C.C.; Oliveira, L.G.; Bicudo, S.D.; Fonseca, J.F.; Bartlewski, P.M. Correlations between ovarian follicular blood flow and superovulatory responses in ewes. Anim. Reprod. Sci. 2014, 144, 30–37. [Google Scholar] [CrossRef]
- Balaro, M.F.A.; Santos, A.S.; Moura, L.F.G.M.; Fonseca, J.F.; Brandão, F.Z. Luteal dynamic and functionality assessment in dairy goats by luteal blood flow, luteal biometry, and hormonal assay. Theriogenology 2017, 95, 118–126. [Google Scholar] [CrossRef] [PubMed]
- Livak, K.J.; Schmittgen, T.D. Analysis of relative gene expression data using real-time quantitative PCR and the 2−ΔΔCT method. Methods 2001, 25, 402–408. [Google Scholar] [CrossRef] [PubMed]
- Xu, X.; Wang, R.; Pei, L.; Wang, Q.; Liu, C. Glucose Transport by Follicle-Stimulating Hormone Is Mediated Through the Akt/FOXO1 Pathway in Ovine Granulosa Cells. Vet. Med. Sci. 2025, 11, e70294. [Google Scholar] [CrossRef] [PubMed]
- Adermark, L.; Gutierrez, S.; Lagström, O.; Hammarlund, M.; Licheri, V.; Johansson, M.E. Weight gain and neuroadaptations elicited by high fat diet depend on fatty acid composition. Psychoneuroendocrinology 2021, 126, 105143. [Google Scholar] [CrossRef] [PubMed]
- Hu, Q.X.; Klatt, G.M.; Gudmundsrud, R.; Ottestad-Hansen, S.; Verbruggen, L.; Massie, A.; Zhou, Y. Semi-quantitative distribution of excitatory amino acid (glutamate) transporters 1–3 (EAAT1-3) and the cystine-glutamate exchanger (xCT) in the adult murine spinal cord. Neurochem. Int. 2020, 140, 104811. [Google Scholar] [CrossRef]
- Meira, A.N.; Moreira, G.C.M.; Coutinho, L.L.; Mourão, G.B.; Azevedo, H.C.; Muniz, E.N.; Machado, A.L.; Sousa, L.P.; Pedrosa, V.B.; Pinto, L.F.B. Carcass and commercial cut yield of Santa Ines sheep affected by polymorphisms of the LEP gene. Small Rumin. Res. 2018, 166, 21–128. [Google Scholar] [CrossRef]
- Szczepkowska, A.; Harazin, A.; Barna, L.; Deli, M.A.; Skipor, J. Identification of Reference Genes for Circadian Studies on Brain Microvessels and Choroid Plexus Samples Isolated from Rats. Biomolecules 2021, 11, 1227. [Google Scholar] [CrossRef] [PubMed]
- da Silva, C.P.; Fernandes, C.C.L.; Alves, J.P.M.; de Oliveira, F.B.B.; Silva, A.M.; de Souza, F.C.; Cavalcante, C.M.; Conde, A.J.H.; Coutinho, A.R.; Rondina, D. Effect of Short-Term Glycerin Supplementation on Follicle Dynamics and Pregnancy Rate in Goats. Ruminants 2023, 3, 445–456. [Google Scholar] [CrossRef]
- Lima, A.M.; Cruz, G.R.B.; Costa, R.G.; Ribeiro, N.L.; Beltrão Filho, E.M.; Sousa, S.; Santos, D.G. Physical-chemical and microbiological quality of milk and cheese of goats fed with bidestilated glycerin. Food Sci. Technol. 2021, 41, 25–33. [Google Scholar] [CrossRef]
- Mo, D.; Zeng, Z.H.; Sui, X.; Li, R.; Yang, Y.H. Role of glucose metabolism and signaling pathways at different stages of ovarian folliculogenesis. Reprod. Dev. Med. 2024, 8, 111–120. [Google Scholar] [CrossRef]
- Takahashi, H.; Yokoi, N.; Seino, S. Glutamate as intracellular and extracellular signals in pancreatic islet functions. Proc. Jpn. Acad. Ser. B 2019, 95, 246–260. [Google Scholar] [CrossRef]
- Calderón-Leyva, G.; Meza-Herrera, C.A.; Rodriguez-Martinez, R.; Angel-García, O.; Rivas-Muñoz, R.; Delgado-Bermejo, J.V.; Véliz-Deras, F.G. Effect of glutamate and/or testosterone administration on appetitive and consummatory sexual behaviors in pubertal rams and their influence on the reproductive performance of nulliparous anovulatory ewes. J. Vet. Behav. 2019, 30, 96–102. [Google Scholar] [CrossRef]
- Wu, G.; Bazer, F.W.; Satterfield, M.C.; Gilbreath, K.R.; Posey, E.A.; Sun, Y. Nutrition and Metabolism of L-Arginine in Ruminants. In Recent Advances in Animal Nutrition and Metabolism; Wu, G., Ed.; Advances in experimental medicine and biology; Springer: Berlin/Heidelberg, Germany, 2022; Volume 1354. [Google Scholar]
- Ruiz de Chávez, J.A.; Guzmán, A.; Zamora-Gutiérrez, D.; Mendoza, G.D.; Melgoza, L.M.; Montes, S.; Rosales-Torres, A.M. Supplementation with rumen-protected L-arginine-HCl increased fertility in sheep with synchronized estrus. Trop. Anim. Health Prod. 2015, 47, 1067–1073. [Google Scholar] [CrossRef]
- Bulbarela-Garcia, G.; Pro-Martinez, A.; Becerril-Pérez, C.M.; Diaz-Rivera, P.; Rosendo-Ponce, A.; Gallegos-Sanchez, J. Effect of L-arginine and fish oil on the reproductive performance of hair sheep synchronization with a progestagen. Agrociencia 2009, 43, 371–377. [Google Scholar]
- Hussein, H.A.; Hassaneen, A.S.A.; Ali, M.E.; Sindi, R.A.; Ashour, A.M.; Fahmy, S.M.; Swelum, A.A.; Ahmed, A.E. The impact of rumen-protected l-arginine oral supplementation on libido, semen quality, reproductive organ biometry, and serum biochemical parameters of rams. Front. Vet. Sci. 2022, 9, 899434. [Google Scholar] [CrossRef] [PubMed]
- Kaminski, S.L.; Redmer, D.A.; Bass, C.S.; Keisler, D.H.; Carlson, L.S.; Vonnahme, K.A.; Dorsam, S.T.; Grazul-Bilska, A.T. The effects of diet and arginine treatment on serum metabolites and selected hormones during the estrous cycle in sheep. Theriogenology 2015, 83, 808–816. [Google Scholar] [CrossRef]
- Inagaki, N.; Kuromi, H.; Gonoi, T.; Okamoto, Y.; Ishida, H.; Seino, Y.; Seino, S. Expression and role of ionotropic glutamate receptors in pancreatic islet cells. FASEB J. 1995, 9, 686–691. [Google Scholar] [CrossRef]
- Dupont, J.; Scaramuzzi, R.J. Insulin signalling and glucose transport in the ovary and ovarian function during the ovarian cycle. Biochem. J. 2016, 473, 1483–1501. [Google Scholar] [CrossRef]
- Clasadonte, J.; Sharif, A.; Baroncini, M.; Prevot, V. Gliotransmission by prostaglandin E2: A prerequisite for GnRH neuronal function? Front. Endocrinol. 2011, 2, 91. [Google Scholar] [CrossRef] [PubMed]
- Cavalcanti, C.M.; Silva, M.R.L.; Conde, A.J.H.; Bezerra, A.F.; Alves, J.P.M.; Fernandes, C.C.L.; Teixeira, D.Í.A.; Rêgo, A.C.; Rondina, D. Effect of periconception high fat diets on maternal ovarian function, foetal and placentome growth, and vascular umbilical development in goats. Reprod. Domest. Anim. 2022, 57, 1481–1492. [Google Scholar] [CrossRef] [PubMed]
- Habibizad, J.; Riasi, A.; Kohram, H.; Rahmani, H.R. Effect of long-term or short-term supplementation of high energy or high energy-protein diets on ovarian follicles and blood metabolites and hormones in ewes. Small Rumin. Res. 2015, 132, 37–43. [Google Scholar] [CrossRef]
- Kumawat, B.L.; Kumar, P.; Mahla, A.S.; Kumar, A.; Kumar, A.; Singh, R.; Kumar, A. A novel action of insulin sensitizing drug as a potential promotor of preovulatory follicles, ovulation rate and prolificacy in sheep. Vet. Res. Commun. 2024, 48, 849–863. [Google Scholar] [CrossRef] [PubMed]
- Kayode, O.T.; Rotimi, D.E.; Olaolu, T.D.; Adeyemi, O.S. Ketogenic diet improves and restores redox status and biochemical indices in monosodium glutamate-induced rat testicular toxicity. Biomed. Pharmacother. 2020, 127, 110227. [Google Scholar] [CrossRef] [PubMed]
- Brown, A.J.; Coates, H.W.; Sharpe, L.J. Cholesterol synthesis. In Biochemistry of Lipids, Lipoproteins and Membranes; Elsevier: Amsterdam, The Netherlands, 2021; pp. 317–355. [Google Scholar]
- De Felice, B.; Santillo, M.; Serù, R.; Damiano, S.; Matrone, G.; Wilson, R.R.; Mondola, P. Modulation of 3-hydroxy-3-methylglutaryl-CoA reductase gene expression by CuZn superoxide dismutase in human fibroblasts and HepG2 cells. Gene Expr. 2018, 12, 29. [Google Scholar] [CrossRef] [PubMed]
- Kohan, A.B.; Yang, Q.; Xu, M.; Lee, D.; Tso, P. Monosodium glutamate inhibits the lymphatic transport of lipids in the rat. Am. J. Physiol.-Gastrointest. Liver Physiol. 2016, 311, G648–G654. [Google Scholar] [CrossRef]
- Sukmak, M.; Kyaw, T.S.; Nahok, K.; Sharma, A.; Silsirivanit, A.; Lert-Itthiporn, W.; Cha’on, U. Urinary metabolic profile and its predictive indexes after MSG consumption in rat. PLoS ONE 2024, 19, e0309728. [Google Scholar] [CrossRef] [PubMed]
- Kassab, R.B.; Theyab, A.; Al-Ghamdy, A.O.; Algahtani, M.; Mufti, A.H.; Alsharif, K.F.; Elmasry, H.A.; Abdella, E.M.; Habotta, O.A.; Omran, M.M.; et al. Protocatechuic acid abrogates oxidative insults, inflammation, and apoptosis in liver and kidney associated with monosodium glutamate intoxication in rats. Environ. Sci. Pollut. Res. 2022, 29, 12208–12221. [Google Scholar] [CrossRef] [PubMed]
- Batchu, P.; Terrill, T.H.; Kouakou, B.; Estrada-Reyes, Z.M.; Kannan, G. Plasma metabolomic profiles as affected by diet and stress in Spanish goats. Sci. Rep. 2021, 11, 12607. [Google Scholar] [CrossRef]
- Kupczyński, R.; Szumny, A.; Wujcikowska, K.; Pachura, N. Metabolism, ketosis treatment and milk production after using glycerol in dairy cows: A review. Animals 2020, 10, 1379. [Google Scholar] [CrossRef] [PubMed]
- Michaelis, E.K.; Wang, X.; Pal, R.; Bao, X.; Hascup, K.N.; Wang, Y.; Gerhardt, G.A. Neuronal Glud1 (glutamate dehydrogenase 1) over-expressing mice: Increased glutamate formation and synaptic release, loss of synaptic activity, and adaptive changes in genomic expression. Neurochem. Int. 2011, 59, 473–481. [Google Scholar] [CrossRef][Green Version]
- Liang, D.; Xue, Z.; Xue, J.; Xie, D.; Xiong, K.; Zhou, H.; Chen, Y.H. Sinoatrial node pacemaker cells share dominant biological properties with glutamatergic neurons. Protein Cell 2021, 12, 545–556. [Google Scholar] [CrossRef]
- Olson, A.L. Regulation of GLUT4 and insulin-dependent glucose flux. Int. Sch. Res. Not. 2012, 1, 856987. [Google Scholar] [CrossRef] [PubMed]
- Ripoli, C.; Spinelli, M.; Natale, F.; Fusco, S.; Grassi, C. Glucose overload inhibits glutamatergic synaptic transmission: A novel role for creb-mediated regulation of synaptotagmins 2 and 4. Front. Cell Dev. Biol. 2020, 8, 810. [Google Scholar] [CrossRef]
- Yamamoto, Y.; Sawa, R.; Wake, I.; Morimoto, A.; Okimura, Y. Glucose-mediated inactivation of AMP-activated protein kinase reduces the levels of L-type amino acid transporter 1 mRNA in C2C12 cells. Nutr. Res. 2017, 47, 13–20. [Google Scholar] [CrossRef]
- Hernández-Melchor, D.; Ramírez-Martínez, L.; Cid, L.; Palafox-Gómez, C.; López-Bayghen, E.; Ortega, A. EAAT1-dependent slc1a3 Transcriptional Control depends on the Substrate Translocation Process. ASN Neuro 2022, 14, 17590914221116574. [Google Scholar] [CrossRef]
- O’Neill, L.M.; Phang, Y.X.; Liu, Z.; Lewis, S.A.; Aljohani, A.; McGahee, A.; Ntambi, J.M. Hepatic oleate regulates insulin-like growth factor-binding protein 1 partially through the mTORC1-FGF21 axis during high-carbohydrate feeding. Int. J. Mol. Sci. 2022, 23, 14671. [Google Scholar] [CrossRef] [PubMed]
- Chiang, V.S.C.; Park, J.H. Glutamate in male and female sexual behavior: Receptors, transporters, and steroid independence. Front. Behav. Neurosci. 2020, 14, 589882. [Google Scholar] [CrossRef]
- Barth, C.; Villringer, A.; Sacher, J. Sex hormones affect neurotransmitters and shape the adult female brain during hormonal transition periods. Front. Neurosci. 2015, 9, 37. [Google Scholar] [CrossRef]
- Porter, D.T.; Goodman, R.L.; Hileman, S.M.; Lehman, M.N. Evidence that synaptic plasticity of glutamatergic inputs onto KNDy neurones during the ovine follicular phase is dependent on increasing levels of oestradiol. J. Neuroendocrinol. 2021, 33, 12945. [Google Scholar] [CrossRef]
- Conde, A.J.H.; Fernandes, C.C.L.; Alves, J.P.M.; Cavalcanti, C.M.; Bezerra, A.F.; Silva, M.R.L.; Ferreira, A.C.A.; Figuereido, J.R.; Rondina, D. Efficacy of transient nutritional supplementation with an independent action stimuli pathway to support oocyte quality retrieved via ovum pick-up in the early postpartum period of lactating anovulatory goats. Theriogenology 2025, 245, 117507. [Google Scholar] [CrossRef]
- Olson, A.L. “Regulated of GLUT4 transcription and gene expression,” Current Medicinal Chemistry. Immunol. Endocr. Metab. Agents 2005, 5, 219–225. [Google Scholar] [CrossRef]
- Mizera, J.; Pomierny, B.; Sadakierska-Chudy, A.; Bystrowska, B.; Pomierny-Chamiolo, L. Disruption of glutamate homeostasis in the brain of rat offspring induced by prenatal and early postnatal exposure to maternal high-sugar diet. Nutrients 2022, 14, 2184. [Google Scholar] [CrossRef]
- López-Gatius, F.; Garcia-Ispierto, I. Clinical overview of luteal deficiency in dairy cattle. Animals 2022, 12, 1871. [Google Scholar] [CrossRef] [PubMed]
- Mlyczyńska, E.; Kieżun, M.; Kurowska, P.; Dawid, M.; Pich, K.; Respekta, N.; Rak, A. New aspects of corpus luteum regulation in physiological and pathological conditions: Involvement of adipokines and neuropeptides. Cells 2022, 11, 957. [Google Scholar] [CrossRef] [PubMed]
- Kurowska, P.; Mlyczyńska, E.; Dupont, J.; Rak, A. Novel insights on the corpus luteum function: Role of vaspin on porcine luteal cell angiogenesis, proliferation and apoptosis by activation of GRP78 receptor and MAP3/1 kinase pathways. Int. J. Mol. Sci. 2020, 21, 6823. [Google Scholar] [CrossRef] [PubMed]
- Du Sert, N.P.; Ahluwalia, A.; Alam, S.; Avey, M.T.; Baker, M.; Browne, W.J.; Clark, A.; Cuthill, I.C.; Dirnagl, U.; Emerson, M.; et al. Reporting animal research: Explanation and elaboration for the ARRIVE guidelines 2.0. PLoS Biol. 2020, 18, e3000411. [Google Scholar]



| Gene | Length | Direction | Primer (5′ to 3′) | Gene Bank Accession no. | References |
|---|---|---|---|---|---|
| GLUT4 | 167 | Forward | 5′ATCTTTGGCTTCGTGGCCTT | >XM_027974995.3 (Ovis aries) | [32] |
| Reverse | 3′TCCGCCACATACTGGAAACC | ||||
| GRIA1 | 121 | Forward | 5′CTGAACGAGCAGGGGCTTTT | >XM_042250658.2 (Ovis aries) | [33] |
| Reverse | 3′CCACATTGCTGAGGCTGAGA | ||||
| GLUD1 | 196 | Forward | 5′TTGAATGCTGGGGGAGTGAC | >NM_001278567.1 (Ovis aries) | [22] |
| Reverse | 3′CTTGGAACTCTGCTGTGGGT | ||||
| SLC1A1 | 183 | Forward | 5′AGCAACACTGCCTGTCACTT | >XM_004004350.5 (Ovis aries) | [34] |
| Reverse | 3′ATGATCTGCCCAACGCTCAA | ||||
| SLC1A3 | 107 | Forward | 5′TGTTCTCAGAGCCACCACGA | >XM_042233857.2 (Ovis aries) | [34] |
| Reverse | 3′CAGCTCGCATCCCCATCTTT | ||||
| LEPTIN | 189 | Forward | 5′GTGGACCCCTGTACCGATTC | >XM_027968780.2 (Ovis aries) | [35] |
| Reverse | 3′GCCCAGGGATGAAGTCCAAA | ||||
| RPS18 | 174 | Forward | 5′AGTTCCAGCACATCTTGCGA | >XM_004018745.5 (Ovis aries) | [36] |
| Reverse | 3′GTTCCACCTCGTCCTCAGTG |
| Stages | Temperature (°C) | Time | |
|---|---|---|---|
| Holding phase | 95 °C | 10 min. | |
| Denaturation phase | 95 °C | 15 seg. | 40 cycles |
| Annealing phase | 60 °C | 1 min. | |
| Extension phase | 95 °C | 15 seg. | |
| Melting curve phase | 60 °C | 1 min | |
| 95 °C | 15 seg |
| Parameters | Group | p-Value | |||||
|---|---|---|---|---|---|---|---|
| Control | MSG | MSGLY | SEM | Group | Time | G vs. T | |
| Follicle traits before ovulation induction * | |||||||
| Follicles < 3 mm, n/ovary | 2.7 | 2.8 | 2.6 | 0.076 | 0.400 | 0.184 | 0.340 |
| Follicles ≥ 3 mm, n/ovary | 1.9 a | 1.5 b | 1.9 a | 0.068 | 0.005 | <0.001 | 0.154 |
| Follicle ≥ 6 mm, n/ovary | 0.1 a | 0.1 a | 0.2 b | 0.018 | 0.011 | 0.065 | 0.229 |
| Total follicles, n/ovary | 4.6 | 4.3 | 4.5 | 0.068 | 0.115 | <0.001 | 0.034 |
| Largest follicle size, mm | 4.5 a,b | 4.2 a | 4.7 b | 0.086 | 0.029 | <0.001 | 0.943 |
| Ovarian response after ovulation induction ** | |||||||
| Follicles < 3 mm, n/ovary | 1.8 a,b | 2.0 b | 1.5 a | 0.090 | 0.040 | 0.410 | 0.783 |
| Follicles ≥ 3 mm, n/ovary | 2.2 a | 2.5 a | 3.1 b | 0.092 | <0.001 | 0.686 | 0.770 |
| Follicle ≥ 6 mm, n/ovary | 0.3 | 0.4 | 0.3 | 0.040 | 0.699 | 0.011 | 0.978 |
| Total follicles, n/ovary | 4.0 a | 4.5 b | 4.6 b | 0.084 | 0.010 | 0.842 | 0.756 |
| Largest follicle size, mm | 5.6 | 5.7 | 5.4 | 0.108 | 0.590 | 0.410 | 0.936 |
| Multiple CL rate, % (n/n) *** | 25 (2/8) | 63 (5/8) | 63 (5/8) | - | - | - | - |
| n° of CL, n/ewe | 1.1 a | 1.8 b | 1.8 b | 0.098 | 0.033 | - | - |
| Parameters | Group | p-Value | |||
|---|---|---|---|---|---|
| Control | MSG | MSGLY | SEM | Group | |
| Glutamate markers | |||||
| SCL1A1 | 0.032 a | 0.274 b | 0.060 a | 0.047 | 0.029 |
| SCL1A3 | 0.111 | 0.248 | 0.257 | 0.050 | 0.457 |
| GRIA1 | 0.171 a | 0.387 b | 0.125 a | 0.047 | 0.023 |
| GLUD1 | 0.093 a | 0.409 b | 0.194 a | 0.057 | 0.025 |
| Glucose and energy regulation | |||||
| GLUT4 | 0.166 | 0.355 | 0.108 | 0.060 | 0.237 |
| LEP | 0.143 | 0.313 | 0.242 | 0.064 | 0.555 |
Disclaimer/Publisher’s Note: The statements, opinions and data contained in all publications are solely those of the individual author(s) and contributor(s) and not of MDPI and/or the editor(s). MDPI and/or the editor(s) disclaim responsibility for any injury to people or property resulting from any ideas, methods, instructions or products referred to in the content. |
© 2025 by the authors. Licensee MDPI, Basel, Switzerland. This article is an open access article distributed under the terms and conditions of the Creative Commons Attribution (CC BY) license (https://creativecommons.org/licenses/by/4.0/).
Share and Cite
Miguel, Y.H.; Alves, J.P.M.; da Silva, A.F.B.; Conde, A.J.H.; Cavalcanti, C.M.; Rodrigues Teixeira, L.P.; de Sena, J.N.; Pereira, F.F.d.S.; Fernandes, C.C.L.; Teixeira, D.Í.A.; et al. Glucogenic Precursor Release from Dietary Supply Is a Potential Amplifier of Monosodium-Glutamate Ovary Stimuli in Sheep with Low Involving Key Gene Mediators of the Glutamate Pathway. Animals 2025, 15, 2345. https://doi.org/10.3390/ani15162345
Miguel YH, Alves JPM, da Silva AFB, Conde AJH, Cavalcanti CM, Rodrigues Teixeira LP, de Sena JN, Pereira FFdS, Fernandes CCL, Teixeira DÍA, et al. Glucogenic Precursor Release from Dietary Supply Is a Potential Amplifier of Monosodium-Glutamate Ovary Stimuli in Sheep with Low Involving Key Gene Mediators of the Glutamate Pathway. Animals. 2025; 15(16):2345. https://doi.org/10.3390/ani15162345
Chicago/Turabian StyleMiguel, Yohana Huicho, Juliana Paula Martins Alves, Ana Flávia Bezerra da Silva, Alfredo José Herrera Conde, Camila Muniz Cavalcanti, Louhanna Pinheiro Rodrigues Teixeira, Jhennyfe Nobre de Sena, Fernando Felipe da Silva Pereira, César Carneiro Linhares Fernandes, Dárcio Ítalo Alves Teixeira, and et al. 2025. "Glucogenic Precursor Release from Dietary Supply Is a Potential Amplifier of Monosodium-Glutamate Ovary Stimuli in Sheep with Low Involving Key Gene Mediators of the Glutamate Pathway" Animals 15, no. 16: 2345. https://doi.org/10.3390/ani15162345
APA StyleMiguel, Y. H., Alves, J. P. M., da Silva, A. F. B., Conde, A. J. H., Cavalcanti, C. M., Rodrigues Teixeira, L. P., de Sena, J. N., Pereira, F. F. d. S., Fernandes, C. C. L., Teixeira, D. Í. A., & Rondina, D. (2025). Glucogenic Precursor Release from Dietary Supply Is a Potential Amplifier of Monosodium-Glutamate Ovary Stimuli in Sheep with Low Involving Key Gene Mediators of the Glutamate Pathway. Animals, 15(16), 2345. https://doi.org/10.3390/ani15162345

