The Prediction of Clinical Mastitis in Dairy Cows Based on Milk Yield, Rumination Time, and Milk Electrical Conductivity Using Machine Learning Algorithms
Abstract
Simple Summary
Abstract
1. Introduction
2. Materials and Methods
2.1. Animal Housing and Feeding
2.2. Data Collection and Study Design
2.3. Statistical Analyses
2.4. Machine Learning Algorithms
3. Results
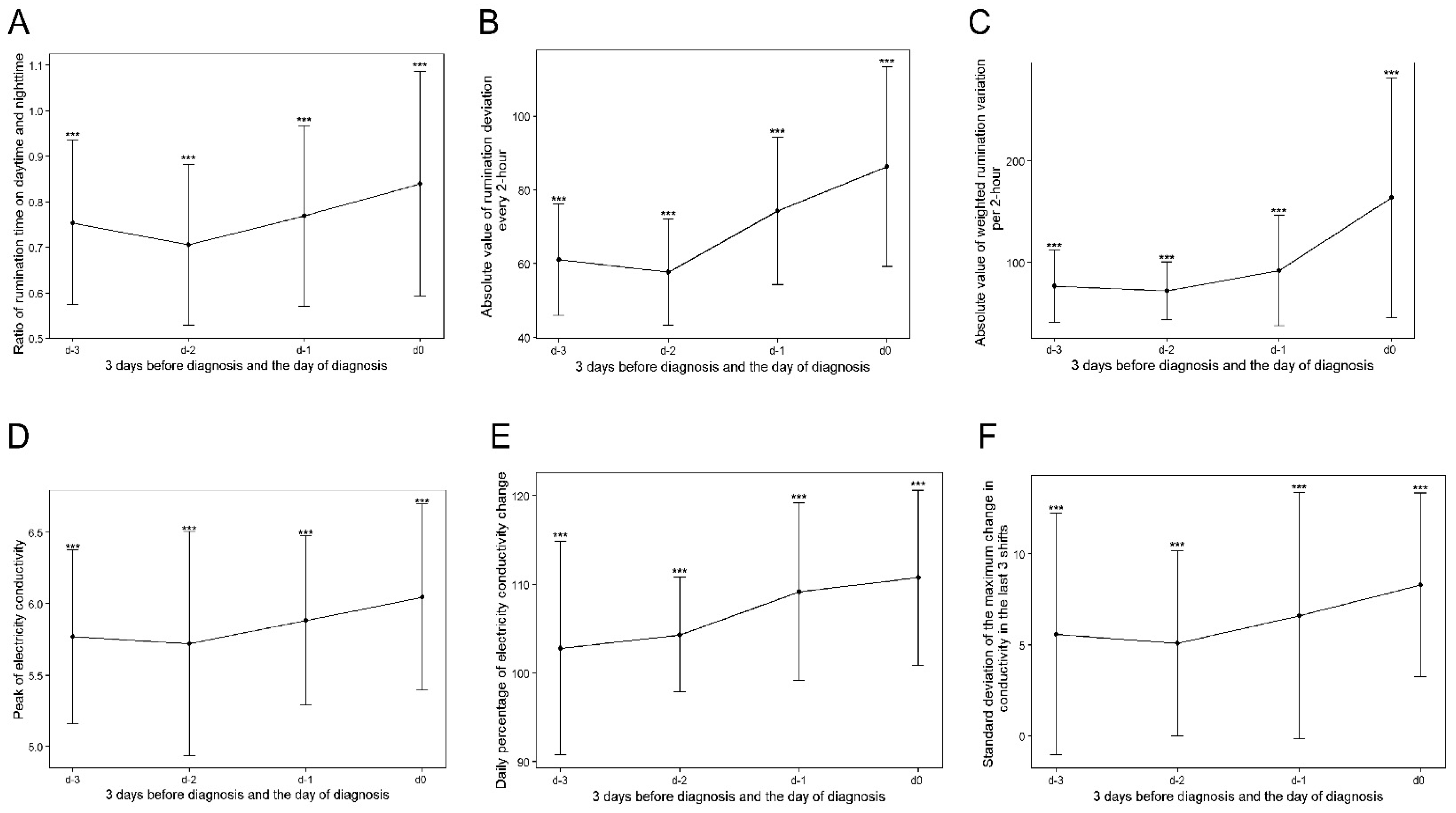
3.1. Variations in Variables of Milk Yield and Rumination Time
3.2. Variations in Milk Electrical Conductivity
3.3. Variations in Peak Milk Yield and Days in Milk
3.4. Performances of Different Machine Learning Algorithms Using Non-Standardized Data
3.5. Performance of Different Machine Learning Algorithms Using Z-Standardized Data
4. Discussion
5. Conclusions
Supplementary Materials
Author Contributions
Funding
Institutional Review Board Statement
Informed Consent Statement
Data Availability Statement
Acknowledgments
Conflicts of Interest
References
- Halasa, T.; Huijps, K.; Østerås, O.; Hogeveen, H. Economic effects of bovine mastitis and mastitis management: A review. Vet. Q. 2007, 29, 18–31. [Google Scholar] [CrossRef] [PubMed]
- Franceschini, S.; Grelet, C.; Leblois, J.; Gengler, N.; Soyeurt, H.; GplusE Consortium. Can unsupervised learning methods applied to milk recording big data provide new insights into dairy cow health? J. Dairy Sci. 2022, 105, 6760–6772. [Google Scholar] [CrossRef] [PubMed]
- Fadul-Pacheco, L.; Delgado, H.; Cabrera, V.E. Exploring machine learning algorithms for early prediction of clinical mastitis. Int. Dairy J. 2021, 119, 105051. [Google Scholar] [CrossRef]
- Lago, A.; Godden, S.M.; Bey, R.; Ruegg, P.L.; Leslie, K. The selective treatment of clinical mastitis based on on-farm culture results: II. Effects on lactation performance, including clinical mastitis recurrence, somatic cell count, milk production, and cow survival. J. Dairy Sci. 2011, 94, 4457–4467. [Google Scholar] [CrossRef] [PubMed]
- Michie, C.; Andonovic, I.; Davison, C.; Hamilton, A.; Tachtatzis, C.; Jonsson, N.; Duthie, C.A.; Bowen, J.; Gilroy, M. The Internet of Things enhancing animal welfare and farm operational efficiency. J. Dairy Res. 2020, 87, 20–27. [Google Scholar] [CrossRef] [PubMed]
- Leslie, K.E.; Petersson-Wolfe, C.S. Assessment and management of pain in dairy cows with clinical mastitis. Vet. Clin. N. Am. Food Anim. Pract. 2012, 28, 289–305. [Google Scholar] [CrossRef] [PubMed]
- Damm, M.; Holm, C.; Blaabjerg, M.; Bro, M.N.; Schwarz, D. Differential somatic cell count-A novel method for routine mastitis screening in the frame of Dairy Herd Improvement testing programs. J. Dairy Sci. 2017, 100, 4926–4940. [Google Scholar] [CrossRef]
- Dufour, S.; Dohoo, I.R. Monitoring herd incidence of intramammary infection in lactating cows using repeated longitudinal somatic cell count measurements. J. Dairy Sci. 2013, 96, 1568–1580. [Google Scholar] [CrossRef]
- Hogeveen, H.; Klaas, I.C.; Dalen, G.; Honig, H.; Zecconi, A.; Kelton, D.F.; Sánchez Mainar, M. Novel ways to use sensor data to improve mastitis management. J. Dairy Sci. 2021, 104, 11317–11332. [Google Scholar] [CrossRef]
- Janzekovic, M.; Brus, M.; Mursec, B.; Vinis, P.; Stajnko, D.; Cus, F. Mastitis detection based on electric conductivity of milk. J. Achiev. Mater. Manuf. Eng. 2009, 34, 39–46. [Google Scholar]
- Khatun, M.; Clark, C.E.F.; Lyons, N.A.; Thomson, P.C.; Kerrisk, K.L.; García, S.C. Early detection of clinical mastitis from electrical conductivity data in an automatic milking system. Anim. Prod. Sci. 2017, 57, 1226–1232. [Google Scholar] [CrossRef]
- Norberg, E.; Hogeveen, H.; Korsgaard, I.R.; Friggens, N.C.; Sloth, K.H.M.N.; Løvendahl, P. Electrical conductivity of milk: Ability to predict mastitis status. J. Dairy Sci. 2004, 87, 1099–1107. [Google Scholar] [CrossRef]
- Norberg, E. Electrical conductivity of milk as a phenotypic and genetic indicator of bovine mastitis: A review. Livest. Prod. Sci. 2005, 96, 129–139. [Google Scholar] [CrossRef]
- Liboreiro, D.N.; Machado, K.S.; Silva, P.R.B.; Maturana, M.M.; Nishimura, T.K.; Brandão, A.P.; Endres, M.I.; Chebel, R.C. Characterization of peripartum rumination and activity of cows diagnosed with metabolic and uterine diseases. J. Dairy Sci. 2015, 98, 6812–6827. [Google Scholar] [CrossRef]
- Stangaferro, M.L.; Wijma, R.; Caixeta, L.S.; Al-Abri, M.A.; Giordano, J.O. Use of rumination and activity monitoring for the identification of dairy cows with health disorders: Part I. Metabolic and digestive disorders. J. Dairy Sci. 2016, 99, 7395–7410. [Google Scholar] [CrossRef]
- Stangaferro, M.L.; Wijma, R.; Caixeta, L.S.; Al-Abri, M.A.; Giordano, J.O. Use of rumination and activity monitoring for the identification of dairy cows with health disorders: Part II. Mastitis. J. Dairy Sci. 2016, 99, 7411–7421. [Google Scholar] [CrossRef]
- Stangaferro, M.L.; Wijma, R.; Caixeta, L.S.; Al-Abri, M.A.; Giordano, J.O. Use of rumination and activity monitoring for the identification of dairy cows with health disorders: Part III. Metritis. J. Dairy Sci. 2016, 99, 7422–7433. [Google Scholar] [CrossRef] [PubMed]
- Steensels, M.; Antler, A.; Bahr, C.; Berckmans, D.; Maltz, E.; Halachmi, I.A. decision-tree model to detect post-calving diseases based on rumination, activity, milk yield, BW and voluntary visits to the milking robot. Animal 2016, 10, 1493–1500. [Google Scholar] [CrossRef] [PubMed]
- Calamari, L.; Soriani, N.; Panella, G.; Petrera, F.; Minuti, A.; Trevisi, E. Rumination time around calving: An early signal to detect cows at greater risk of disease. J. Dairy Sci. 2014, 97, 3635–3647. [Google Scholar] [CrossRef]
- Firk, R.; Stamer, E.; Junge, W.; Krieter, J. Automation of oestrus detection in dairy cows: A review. Livest. Prod. Sci. 2002, 75, 219–232. [Google Scholar] [CrossRef]
- Gusterer, E.; Kanz, P.; Krieger, S.; Schweinzer, V.; Süss, D.; Lidauer, L.; Kickinger, F.; Öhlschuster, M.; Auer, W.; Drillich, M.; et al. Sensor technology to support herd health monitoring: Using rumination duration and activity measures as unspecific variables for the early detection of dairy cows with health deviations. Theriogenology 2020, 157, 61–69. [Google Scholar] [CrossRef]
- Rutten, C.J.; Velthuis, A.G.J.; Steeneveld, W.; Hogeveen, H. Invited review: Sensors to support health management on dairy farms. J. Dairy Sci. 2013, 96, 1928–1952. [Google Scholar] [CrossRef] [PubMed]
- Ebrahimie, E.; Ebrahimi, F.; Ebrahimi, M.; Tomlinson, S.; Petrovski, K.R. A large-scale study of indicators of sub-clinical mastitis in dairy cattle by attribute weighting analysis of milk composition features: Highlighting the predictive power of lactose and electrical conductivity. J. Dairy Res. 2018, 85, 193–200. [Google Scholar] [CrossRef] [PubMed]
- Mammadova, N.; Keskin, I. Application of the support vector machine to predict subclinical mastitis in dairy cattle. Sci. World J. 2013, 2013, 603897. [Google Scholar] [CrossRef] [PubMed]
- Ebrahimi, M.; Mohammadi-Dehcheshmeh, M.; Ebrahimie, E.; Petrovski, K.R. Comprehensive analysis of machine learning models for prediction of sub-clinical mastitis: Deep Learning and Gradient-Boosted Trees outperform other models. Comput. Biol. Med. 2019, 114, 103456. [Google Scholar] [CrossRef] [PubMed]
- Kamphuis, C.; Mollenhorst, H.; Heesterbeek, J.A.P.; Hogeveen, H. Detection of clinical mastitis with sensor data from automatic milking systems is improved by using decision-tree induction. J. Dairy Sci. 2010, 93, 3616–3627. [Google Scholar] [CrossRef] [PubMed]
- Hyde, R.M.; Down, P.M.; Bradley, A.J.; Breen, J.E.; Hudson, C.; Leach, K.A.; Green, M.J. Automated prediction of mastitis infection patterns in dairy herds using machine learning. Sci. Rep. 2020, 10, 4289. [Google Scholar] [CrossRef] [PubMed]
- Bonestroo, J.; van der Voort, M.; Hogeveen, H.; Emanuelson, U.; Klaas, I.C.; Fall, N. Forecasting chronic mastitis using automatic milking system sensor data and gradient-boosting classifiers. Comput. Electron. Agric. 2022, 198, 107002. [Google Scholar] [CrossRef]
- Steeneveld, W.; van der Gaag, L.C.; Ouweltjes, W.; Mollenhorst, H.; Hogeveen, H. Discriminating between true-positive and false-positive clinical mastitis alerts from automatic milking systems. J. Dairy Sci. 2010, 93, 2559–2568. [Google Scholar] [CrossRef]
- Khatun, M.; Thomson, P.C.; Kerrisk, K.L.; Lyons, N.A.; Clark, C.E.F.; Molfino, J.; García, S.C. Development of a new clinical mastitis detection method for automatic milking systems. J. Dairy Sci. 2018, 101, 9385–9395. [Google Scholar] [CrossRef]
- Ankinakatte, S.; Norberg, E.; Løvendahl, P.; Edwards, D.; Højsgaard, S. Predicting mastitis in dairy cows using neural networks and generalized additive models: A comparison. Comput. Electron. Agric. 2013, 99, 1–6. [Google Scholar] [CrossRef]
- Cavero, D.; Tölle, K.H.; Henze, C.; Buxadé, C.; Krieter, J. Mastitis detection in dairy cows by application of neural networks. Livest. Sci. 2008, 114, 280–286. [Google Scholar] [CrossRef]
- Hajaya, M.S.S.; Kulasiri, G.D.; Benavides, M.L. Detection of dairy cattle Mastitis: Modelling of milking features using deep neural networks. In Proceedings of the 23rd International Congress on Modelling and Simulation, Canberra, NSW, Australia, 1–6 December 2019; Available online: http://mssanz.org.au/modsim2019 (accessed on 10 June 2022).
- Mammadova, N.M.; Keskin, I. Application of neural network and adaptive neuro-fuzzy inference system to predict subclinical mastitis in dairy cattle. Indian J. Anim. Res. 2015, 49, 671–679. [Google Scholar] [CrossRef]
- Naqvi, S.A.; King, M.T.M.; Matson, R.D.; DeVries, T.J.; Deardon, R.; Barkema, H.W. Mastitis detection with recurrent neural networks in farms using automated milking systems. Comput. Electron. Agric. 2022, 192, 106618. [Google Scholar] [CrossRef]
- Sun, Z.; Samarasinghe, S.; Jago, J. Detection of mastitis and its stage of progression by automatic milking systems using artificial neural networks. J. Dairy Res. 2010, 77, 168–175. [Google Scholar] [CrossRef] [PubMed]
- Miekley, B.; Traulsen, I.; Krieter, J. Mastitis detection in dairy cows: The application of support vector machines. J. Agric. Sci. 2013, 151, 889–897. [Google Scholar] [CrossRef]
- Jiang, B.; Wu, Q.; Yin, X.; Wu, D.; Song, H.; He, D. FLYOLOv3 deep learning for key parts of dairy cow body detection. Comput. Electron. Agric. 2019, 166, 104982. [Google Scholar] [CrossRef]
- Wu, D.; Wu, Q.; Yin, X.; Jiang, B.; Wang, H.; He, D.; Song, H. Lameness detection of dairy cows based on the YOLOv3 deep learning algorithm and a relative step size characteristic vector. Biosyst. Eng. 2020, 189, 150–163. [Google Scholar] [CrossRef]
- Zhou, X.; Xu, C.; Wang, H.; Xu, W.; Zhao, Z.; Chen, M.; Jia, B.; Huang, B. The early prediction of common disorders in dairy cows monitored by automatic systems with machine learning algorithms. Animals 2022, 12, 1251. [Google Scholar] [CrossRef]
- Hogeveen, H.; Kamphuis, C.; Steeneveld, W.; Mollenhorst, H. Sensors and clinical mastitis-The quest for the perfect alert. Sensors 2010, 10, 7991–8009. [Google Scholar] [CrossRef]
- Milner, P.; Page, K.L.; Hillerton, J.E. The effects of early antibiotic treatment following diagnosis of mastitis detected by a change in the electrical conductivity of milk. J. Dairy Sci. 1997, 80, 859–863. [Google Scholar] [CrossRef] [PubMed]
- Nielen, M.; Deluyker, H.; Schukken, Y.H.; Brand, A. Electrical conductivity of milk: Measurement, modifiers, and meta analysis of mastitis detection performance. J. Dairy Sci. 1992, 75, 606–614. [Google Scholar] [CrossRef] [PubMed]
- Pyörälä, S. Indicators of inflammation in the diagnosis of mastitis. Vet. Res. 1992, 34, 565–578. [Google Scholar] [CrossRef] [PubMed]
- Bruckmaier, R.M.; Ontsouka, C.E.; Blum, J.W. Fractionized milk composition in dairy cows with subclinical mastitis. Vet. Med. 2004, 49, 283–290. [Google Scholar] [CrossRef]
- Bar, D.; Gröhn, Y.T.; Bennett, G.; González, R.N.; Hertl, J.A.; Schulte, H.F.; Tauer, L.W.; Welcome, F.L.; Schukken, Y.H. Effect of repeated episodes of generic clinical mastitis on milk yield in dairy cows. J. Dairy Sci. 2007, 90, 4643–4653. [Google Scholar] [CrossRef] [PubMed]
- Niemi, R.E.; Hovinen, M.; Vilar, M.J.; Simojoki, H.; Rajala-Schultz, P.J. Dry cow therapy and early lactation udder health problems—Associations and risk factors. Prev. Vet. Med. 2021, 188, 105268. [Google Scholar] [CrossRef]
- Peiter, M.; Phillips, H.N.; Endres, M.I. Association between early postpartum rumination time and peak milk yield in dairy cows. J. Dairy Sci. 2021, 104, 5898–5908. [Google Scholar] [CrossRef]
- King, M.T.M.; LeBlanc, S.J.; Pajor, E.A.; Wright, T.C.; DeVries, T.J. Behavior and productivity of cows milked in automated systems before diagnosis of health disorders in early lactation. J. Dairy Sci. 2018, 101, 4343–4356. [Google Scholar] [CrossRef]
- Barkema, H.W.; Schukken, Y.H.; Lam, T.J.; Beiboer, M.L.; Wilmink, H.; Benedictus, G.; Brand, A. Incidence of clinical mastitis in dairy herds grouped in three categories by bulk milk somatic cell counts. J. Dairy Sci. 1998, 81, 411–419. [Google Scholar] [CrossRef]
- Moosavi, M.; Mirzaei, A.; Ghavami, M.; Tamadon, A. Relationship between season, lactation number and incidence of clinical mastitis in different stages of lactation in a Holstein dairy farm. Vet. Res. Forum 2014, 5, 13–19. [Google Scholar]
- Nakov, D.; Hristov, S.; Andonov, S.; Trajchev, M. Udder-related risk factors for clinical mastitis in dairy cows. Vet. Arh. 2014, 84, 111–127. [Google Scholar]
- Oliver, S.P.; Murinda, S.E. Antimicrobial resistance of mastitis pathogens. Vet. Clin. N. Am. Food Anim. Pract. 2012, 28, 165–185. [Google Scholar] [CrossRef] [PubMed]
- Green, M.J.; Bradley, A.J.; Medley, G.F.; Browne, W.J. Cow, farm, and management factors during the dry period that determine the rate of clinical mastitis after calving. J. Dairy Sci. 2007, 90, 3764–3776. [Google Scholar] [CrossRef] [PubMed]




| No. | No. of Cows | No. of Records of Physical Activity | No. of Records of Rumination Time | No. of Records of Electrical Conductivity of Milk | |
|---|---|---|---|---|---|
| Subgroups | |||||
| 0–28 DIM (14.7 ± 7.4) | 74 | 592 | 3552 | 888 | |
| 29–100 DIM (61.8 ± 21.1) | 196 | 1568 | 9408 | 2352 | |
| 101–200 DIM (141 ± 26.7) | 111 | 888 | 5328 | 1332 | |
| 201–305 DIM (254 ± 41.4) | 66 | 528 | 3168 | 792 | |
| Total | 447 | 3576 | 21,456 | 5364 | |
| Metrics Subgroups Models | Sensitivity | Specificity | Accuracy | Precision | Matthews Correlation Coefficient | AUC | ||||||||||||||||||
|---|---|---|---|---|---|---|---|---|---|---|---|---|---|---|---|---|---|---|---|---|---|---|---|---|
| S1 | S2 | S3 | S4 | S1 | S2 | S3 | S4 | S1 | S2 | S3 | S4 | S1 | S2 | S3 | S4 | S1 | S2 | S3 | S4 | S1 | S2 | S3 | S4 | |
| MNET | 0.8378 | 0.8980 | 0.7857 | 0.7879 | 0.9459 | 0.9455 | 0.9302 | 0.8511 | 0.9189 | 0.9330 | 0.8947 | 0.8346 | 0.8378 | 0.8544 | 0.7857 | 0.6500 | 0.7838 | 0.8303 | 0.7159 | 0.6032 | 0.8965 | 0.8971 | 0.8721 | 0.7150 |
| Logistic | 0.7027 | 0.8469 | 0.6429 | 0.5455 | 0.8559 | 0.7964 | 0.8605 | 0.8404 | 0.8176 | 0.8097 | 0.8070 | 0.7638 | 0.6190 | 0.5971 | 0.6000 | 0.5455 | 0.5365 | 0.5856 | 0.4920 | 0.3859 | 0.7428 | 0.6628 | 0.6660 | 0.6055 |
| SVM | 0.6757 | 0.8163 | 0.6964 | 0.6061 | 0.8649 | 0.8909 | 0.8663 | 0.8511 | 0.8176 | 0.8713 | 0.8246 | 0.7874 | 0.6250 | 0.7273 | 0.6290 | 0.5882 | 0.5270 | 0.6826 | 0.5444 | 0.4528 | 0.7200 | 0.8073 | 0.6982 | 0.6529 |
| Rpart | 0.6486 | 0.7959 | 0.7321 | 0.7879 | 0.9279 | 0.9164 | 0.8953 | 0.8936 | 0.8581 | 0.8847 | 0.8553 | 0.8661 | 0.7500 | 0.7723 | 0.6949 | 0.7222 | 0.6065 | 0.7055 | 0.6167 | 0.6632 | 0.6951 | 0.8572 | 0.7714 | 0.7583 |
| RF | 0.6757 | 0.8980 | 0.8036 | 0.8182 | 0.9279 | 0.9091 | 0.9419 | 0.9043 | 0.8649 | 0.9062 | 0.9079 | 0.8819 | 0.7576 | 0.7788 | 0.8182 | 0.7500 | 0.6279 | 0.7730 | 0.7500 | 0.7030 | 0.8334 | 0.7644 | 0.8591 | 0.8325 |
| XGboost | 0.6757 | 0.6735 | 0.8030 | 0.8182 | 0.9189 | 0.9455 | 0.9244 | 0.9302 | 0.8581 | 0.8740 | 0.8908 | 0.8992 | 0.7353 | 0.8148 | 0.8030 | 0.8182 | 0.6121 | 0.6607 | 0.7274 | 0.7484 | 0.7741 | 0.7244 | 0.8914 | 0.8755 |
| Adaboost | 0.6757 | 0.7653 | 0.7321 | 0.7273 | 0.9279 | 0.8945 | 0.9128 | 0.8511 | 0.8649 | 0.8606 | 0.8684 | 0.8189 | 0.7576 | 0.7212 | 0.7321 | 0.6316 | 0.6279 | 0.6476 | 0.6449 | 0.5539 | 0.8031 | 0.7005 | 0.7755 | 0.7011 |
| LDA | 0.6757 | 0.5918 | 0.4643 | 0.6970 | 0.8829 | 0.8000 | 0.8314 | 0.7979 | 0.8311 | 0.7453 | 0.7412 | 0.7717 | 0.6579 | 0.5133 | 0.4727 | 0.5476 | 0.5537 | 0.3753 | 0.2975 | 0.4613 | 0.6160 | 0.5697 | 0.5153 | 0.6079 |
| NB | 0.7027 | 0.7857 | 0.8030 | 0.6364 | 0.8919 | 0.8400 | 0.8721 | 0.8511 | 0.8446 | 0.8257 | 0.8529 | 0.7953 | 0.6842 | 0.6364 | 0.7067 | 0.6000 | 0.5894 | 0.5883 | 0.6506 | 0.4784 | 0.7128 | 0.7064 | 0.7844 | 0.6660 |
| Metrics Subgroups Models | Sensitivity | Specificity | Accuracy | Precision | Matthews Correlation Coefficient | AUC | ||||||||||||||||||
|---|---|---|---|---|---|---|---|---|---|---|---|---|---|---|---|---|---|---|---|---|---|---|---|---|
| S1 | S2 | S3 | S4 | S1 | S2 | S3 | S4 | S1 | S2 | S3 | S4 | S1 | S2 | S3 | S4 | S1 | S2 | S3 | S4 | S1 | S2 | S3 | S4 | |
| MNET | 0.9189 | 0.9184 | 0.8636 | 0.8485 | 0.9369 | 0.9673 | 0.9360 | 0.9063 | 0.9324 | 0.9544 | 0.9160 | 0.8915 | 0.8293 | 0.9091 | 0.8382 | 0.7568 | 0.8281 | 0.8828 | 0.7925 | 0.7281 | 0.9205 | 0.9182 | 0.8969 | 0.8400 |
| Logistic | 0.7027 | 0.8469 | 0.7273 | 0.7879 | 0.8739 | 0.8036 | 0.8663 | 0.8438 | 0.8311 | 0.8150 | 0.8277 | 0.8295 | 0.6500 | 0.6058 | 0.6761 | 0.6341 | 0.5622 | 0.5940 | 0.5808 | 0.5919 | 0.7150 | 0.6725 | 0.7099 | 0.7039 |
| SVM | 0.8649 | 0.8163 | 0.7424 | 0.8182 | 0.9099 | 0.8982 | 0.8721 | 0.8750 | 0.8986 | 0.8767 | 0.8361 | 0.8605 | 0.7619 | 0.7407 | 0.6901 | 0.6923 | 0.7441 | 0.6933 | 0.6013 | 0.6585 | 0.8533 | 0.7852 | 0.7108 | 0.7685 |
| Rpart | 0.8649 | 0.8061 | 0.7879 | 0.8182 | 0.9189 | 0.9200 | 0.9012 | 0.8854 | 0.9054 | 0.8901 | 0.8697 | 0.8682 | 0.7805 | 0.7822 | 0.7536 | 0.7105 | 0.7584 | 0.7192 | 0.6799 | 0.6734 | 0.8820 | 0.8682 | 0.7838 | 0.7887 |
| RF | 0.8919 | 0.8469 | 0.9242 | 0.8788 | 0.9279 | 0.9564 | 0.9535 | 0.9271 | 0.9189 | 0.9276 | 0.9454 | 0.9147 | 0.8049 | 0.8737 | 0.8841 | 0.8056 | 0.7932 | 0.8115 | 0.8660 | 0.7839 | 0.8371 | 0.8912 | 0.9035 | 0.8539 |
| XGboost | 0.8919 | 0.8061 | 0.8182 | 0.8485 | 0.9369 | 0.9236 | 0.9302 | 0.9167 | 0.9257 | 0.8928 | 0.8992 | 0.8992 | 0.8250 | 0.7900 | 0.8182 | 0.7778 | 0.8081 | 0.7251 | 0.7484 | 0.7443 | 0.8663 | 0.8769 | 0.8255 | 0.8633 |
| Adaboost | 0.7027 | 0.8265 | 0.7727 | 0.7273 | 0.9369 | 0.9345 | 0.9186 | 0.8854 | 0.8784 | 0.9062 | 0.8782 | 0.8450 | 0.7879 | 0.8182 | 0.7846 | 0.6857 | 0.6654 | 0.7586 | 0.6946 | 0.6012 | 0.7721 | 0.8509 | 0.8160 | 0.7200 |
| LDA | 0.6757 | 0.6735 | 0.6061 | 0.6970 | 0.9009 | 0.8109 | 0.8314 | 0.8542 | 0.8446 | 0.7748 | 0.7689 | 0.8140 | 0.6944 | 0.5593 | 0.5797 | 0.6216 | 0.5819 | 0.4584 | 0.4316 | 0.5317 | 0.6875 | 0.6208 | 0.6435 | 0.6527 |
| NB | 0.7027 | 0.8061 | 0.6970 | 0.7576 | 0.9189 | 0.9018 | 0.8895 | 0.9167 | 0.8649 | 0.8767 | 0.8361 | 0.8760 | 0.7429 | 0.7453 | 0.7077 | 0.7576 | 0.6335 | 0.6908 | 0.5893 | 0.6742 | 0.7726 | 0.7527 | 0.7148 | 0.7803 |
Disclaimer/Publisher’s Note: The statements, opinions and data contained in all publications are solely those of the individual author(s) and contributor(s) and not of MDPI and/or the editor(s). MDPI and/or the editor(s) disclaim responsibility for any injury to people or property resulting from any ideas, methods, instructions or products referred to in the content. |
© 2024 by the authors. Licensee MDPI, Basel, Switzerland. This article is an open access article distributed under the terms and conditions of the Creative Commons Attribution (CC BY) license (https://creativecommons.org/licenses/by/4.0/).
Share and Cite
Tian, H.; Zhou, X.; Wang, H.; Xu, C.; Zhao, Z.; Xu, W.; Deng, Z. The Prediction of Clinical Mastitis in Dairy Cows Based on Milk Yield, Rumination Time, and Milk Electrical Conductivity Using Machine Learning Algorithms. Animals 2024, 14, 427. https://doi.org/10.3390/ani14030427
Tian H, Zhou X, Wang H, Xu C, Zhao Z, Xu W, Deng Z. The Prediction of Clinical Mastitis in Dairy Cows Based on Milk Yield, Rumination Time, and Milk Electrical Conductivity Using Machine Learning Algorithms. Animals. 2024; 14(3):427. https://doi.org/10.3390/ani14030427
Chicago/Turabian StyleTian, Hong, Xiaojing Zhou, Hao Wang, Chuang Xu, Zixuan Zhao, Wei Xu, and Zhaoju Deng. 2024. "The Prediction of Clinical Mastitis in Dairy Cows Based on Milk Yield, Rumination Time, and Milk Electrical Conductivity Using Machine Learning Algorithms" Animals 14, no. 3: 427. https://doi.org/10.3390/ani14030427
APA StyleTian, H., Zhou, X., Wang, H., Xu, C., Zhao, Z., Xu, W., & Deng, Z. (2024). The Prediction of Clinical Mastitis in Dairy Cows Based on Milk Yield, Rumination Time, and Milk Electrical Conductivity Using Machine Learning Algorithms. Animals, 14(3), 427. https://doi.org/10.3390/ani14030427

