Animal-Assisted Interventions: Factors Affecting Donkey Behaviours and Attitude Toward Humans
Simple Summary
Abstract
1. Introduction
2. Materials and Methods
2.1. Participants
2.1.1. Donkeys
2.1.2. Humans
2.2. Procedure
2.3. Data Analysis
2.3.1. Donkeys
2.3.2. Migrants
2.4. Statistical Analysis
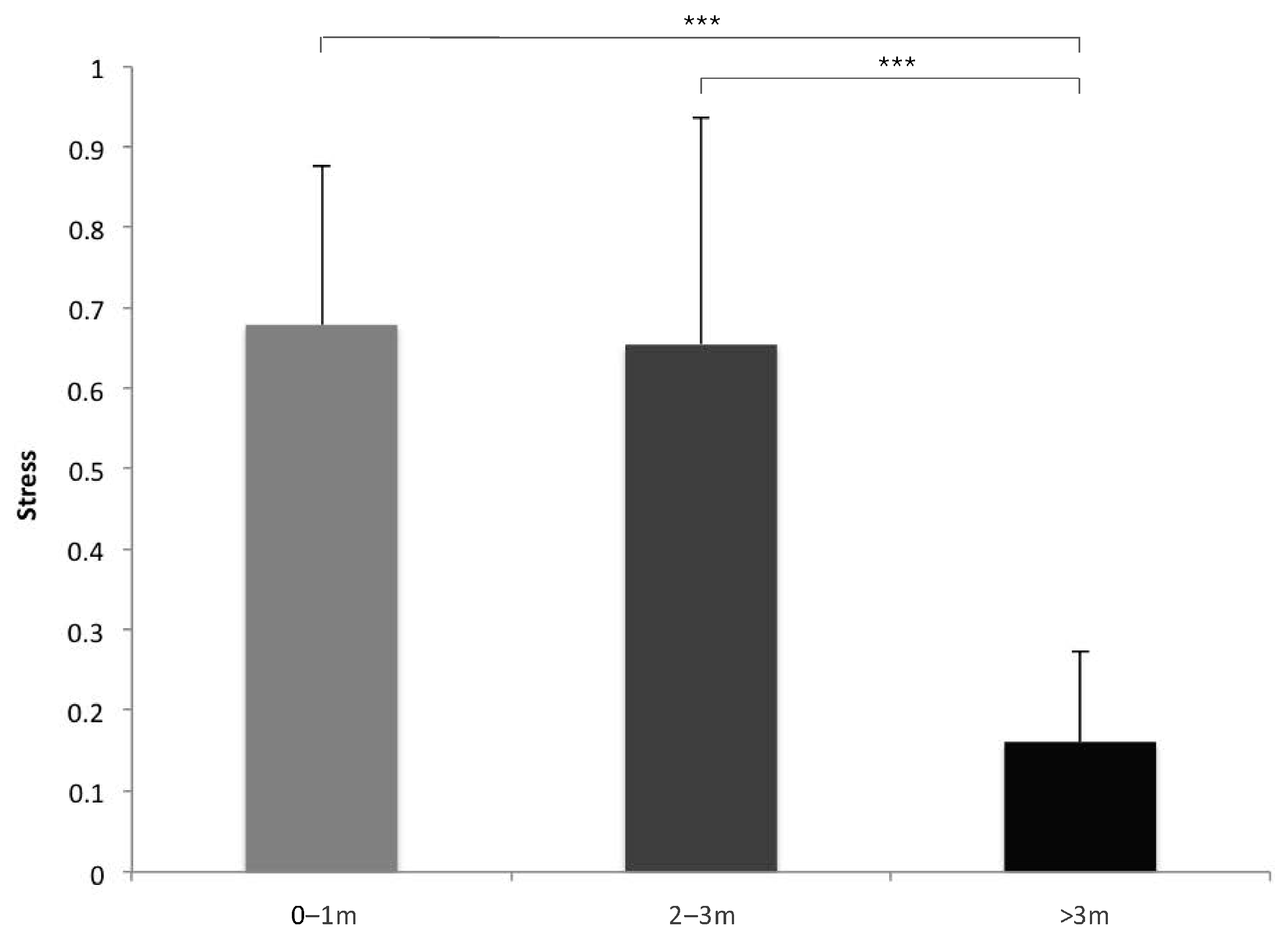
3. Results
3.1. Donkeys
3.2. Migrants
4. Discussion
5. Conclusions
Supplementary Materials
Author Contributions
Funding
Institutional Review Board Statement
Informed Consent Statement
Data Availability Statement
Acknowledgments
Conflicts of Interest
References
- Rossel, S.; Marshall, F.; Peters, J.; Pilgram, T.; Adams, M.D.; O’Connor, D. Domestication of the donkey: Timing, processes, and indicators. Proc. Natl. Acad. Sci. USA 2008, 105, 3715–3720. [Google Scholar] [CrossRef] [PubMed]
- Gonzalez-De Cara, C.A.; Perez-Ecija, A.; Aguilera-Aguilera, R.; Rodero-Serrano, E.; Mendoza, F.J. Temperament test for donkeys to be used in assisted therapy. Appl. Anim. Behav. Sci. 2017, 186, 64–71. [Google Scholar] [CrossRef]
- Mendonça, T.; Bienboire-Frosini, C.; Menuge, F.; Leclercq, J.; Lafont-Lecuelle, C.; Arroub, S.; Pageat, P. The impact of equine-assisted therapy on equine behavioral and physiological responses. Animals 2019, 9, 409. [Google Scholar] [CrossRef] [PubMed]
- Seganfreddo, S.; Fornasiero, D.; De Santis, M.; Mutinelli, F.; Normando, S.; Contalbrigo, L. A Pilot Study on Behavioural and Physiological Indicators of Emotions in Donkeys. Animals 2023, 13, 1466. [Google Scholar] [CrossRef] [PubMed]
- Burden, F.; Thiemann, A. Donkeys are different. J. Equine Vet. Sci. 2015, 35, 376–382. [Google Scholar] [CrossRef]
- Jegatheesan, B.; Beetz, A.; Choi, G.; Dudzik, C.; Fine, A.; Garcia, R.M.; Johnson, R.; Ormerod, E.; Winkle, E.; Yamazaki, K. The IAHAIO Definitions for Animal Assisted Intervention and Guidelines for Wellness of Animals Involved in AAI. In Handbook on Animal-Assisted Therapy, 5th ed.; Fine, A.H., Ed.; Elsevier: Amsterdam, The Netherlands, 2019; pp. 499–504. ISBN 978-0-12-815395-6. [Google Scholar]
- Panzera, M.; Alberghina, D.; Statelli, A. Ethological and physiological parameters assessment in donkeys used in animal assisted interventions. Animals 2020, 10, 1867. [Google Scholar] [CrossRef]
- Artemiou, E.; Hutchison, P.; Machado, M.; Ellis, D.; Bradtke, J.; Pereira, M.M.; Carter, J.; Bergfelt, D. Impact of Human–Animal Interactions on Psychological and Physiological Factors Associated with Veterinary School Students and Donkeys. Front. Vet. Sci. 2021, 8, 701302. [Google Scholar] [CrossRef]
- Borioni, N.; Marinaro, P.; Celestini, S.; Del Sole, F.; Magro, R.; Zoppi, D.; Mattei, F.; Dell’armi, V.; Mazzarella, F.; Cesario, A.; et al. Effect of equestrian therapy and onotherapy in physical and psycho-social performances of adults with intellectual disability: A preliminary study of evaluation tools based on the ICF classification. Disabil. Rehabil. 2012, 34, 279–287. [Google Scholar] [CrossRef]
- Corallo, F.; Bonanno, L.; Cardile, D.; Luvarà, F.; Giliberto, S.; Di Cara, M.; Leonardi, S.; Quartarone, A.; Rao, G.; Pidalà, A. Improvement of self-esteem in children with specific learning disorders after donkey-assisted therapy. Children 2023, 10, 425. [Google Scholar] [CrossRef]
- Galardi, M.; Contalbrigo, L.; Toson, M.; Bortolotti, L.; Lorenzetto, M.; Riccioli, F.; Moruzzo, R. Donkey assisted interventions: A pilot survey on service providers in North-Eastern Italy. Explore 2022, 18, 10–16. [Google Scholar] [CrossRef]
- Lerch, N.; Cirulli, F.; Rochais, C.; Lesimple, C.; Guilbaud, E.; Contalbrigo, L.; Borgi, M.; Grandgeorge, M.; Hausberger, M. Interest in humans: Comparisons between riding school lesson equids and assisted-intervention equids. Animals 2021, 11, 2533. [Google Scholar] [CrossRef]
- AWIN Welfare Assessment Protocol for Donkeys. Animal Welfare Indicators (AWIN). 2015. Available online: https://air.unimi.it/handle/2434/269100#.X4lDFe0RXIU (accessed on 2 September 2024).
- “OIE A new definition for the Terrestrial Animal Health Code: ‘animal welfare’”. Terrestrial Animal Health Code. OIE. Available online: https://www.woah.org/en/what-we-do/standards/codes-and-manuals/terrestrial-code-online-access/?id=169&L=1&htmfile=chapitre_aw_introduction.htm (accessed on 20 September 2024).
- Mendl, M.; Burman, O.H.; Paul, E.S. An integrative and functional framework for the study of animal emotion and mood. Proc. R. Soc. B Biol. Sci. 2010, 277, 2895–2904. [Google Scholar] [CrossRef]
- Paul, E.S.; Harding, E.J.; Mendl, M. Measuring emotional processes in animals: The utility of a cognitive approach. Neurosci. Biobehav. Rev. 2005, 29, 469–491. [Google Scholar] [CrossRef]
- Panksepp, J. Affective consciousness: Core emotional feelings in animals and humans. Conscious. Cogn. 2005, 14, 30–80. [Google Scholar] [CrossRef] [PubMed]
- Siniscalchi, M.; d’Ingeo, S.; Quaranta, A. Lateralized emotional functioning in domestic animals. Appl. Anim. Behav. Sci. 2021, 237, 105282. [Google Scholar] [CrossRef]
- Scopa, C.; Palagi, E.; Sighieri, C.; Baragli, P. Physiological outcomes of calming behaviors support the resilience hypothesis in horses. Sci. Rep. 2018, 8, 17501. [Google Scholar] [CrossRef]
- Hausberger, M.; Roche, H.; Henry, S.; Visser, E.K. A review of the human–horse relationship. Appl. Anim. Behav. Sci. 2008, 109, 1–24. [Google Scholar] [CrossRef]
- Hall, C.; Randle, H.; Pearson, G.; Preshaw, L.; Waran, N. Assessing equine emotional state. Appl. Anim. Behav. Sci. 2018, 205, 183–193. [Google Scholar] [CrossRef]
- Elliot, A.J. Handbook of Approach and Avoidance Motivation, 1st ed.; Psychology Press: London, UK, 2013; pp. 3–17. [Google Scholar]
- Rep. Atti n. 60/CSR del 25 Marzo 2015. Accordo Tra il Governo, le Regioni e le Province Autonome di Trento e di Bolzano sul Documento Recante. “Linee Guida Nazionali per gli Interventi Assistiti con gli Animali (IAA)”, Italia. 2017. Available online: http://www.salute.gov.it/imgs/C_17_opuscoliPoster_276_allegato.pdf (accessed on 2 September 2024).
- Hollifield, M.; Verbillis-Kolp, S.; Farmer, B.; Toolson, E.C.; Woldehaimanot, T.; Yamazaki, J.; St Claire, J.; SooHoo, J. The Refugee Health Screener-15 (RHS-15): Development and validation of an instrument for anxiety, depression, and PTSD in refugees. Gen. Hosp. Psychiatry 2013, 35, 202–209. [Google Scholar] [CrossRef]
- Baumsteiger, R.; Siegel, J.T. Measuring prosociality: The development of a prosocial behavioral intentions scale. J. Pers. Assess. 2019, 101, 305–314. [Google Scholar] [CrossRef]
- Fellmeth, G.; Plugge, E.; Fazel, M.; Charunwattana, P.; Nosten, F.; Fitzpatrick, R.; Simpson, J.A.; McGready, R. Validation of the Refugee Health Screener-15 for the assessment of perinatal depression among Karen and Burmese women on the Thai-Myanmar border. PLoS ONE 2018, 13, e0197403. [Google Scholar] [CrossRef] [PubMed]
- Waring, G.H. Horse Behavior, 2nd ed.; NoyesPublications/William Andrew Publishing: Norwich, NY, USA, 2003; pp. 273–281. [Google Scholar]
- Ali, A.B.; El Sayed, M.A.; Matoock, M.Y.; Fouad, M.A.; Heleski, C.R. A welfare assessment scoring system for working equids—A method for identifying at risk populations and for monitoring progress of welfare enhancement strategies (trialed in Egypt). Appl. Anim. Behav. Sci. 2016, 176, 52–62. [Google Scholar] [CrossRef]
- Arrazola, A.; Merkies, K. Effect of human attachment style on horse behaviour and physiology during equine-assisted activities–A pilot study. Animals 2020, 10, 1156. [Google Scholar] [CrossRef]
- Merkies, K.; Sievers, A.; Zakrajsek, E.; MacGregor, H.; Bergeron, R.; von Borstel, U.K. Preliminary results suggest an influence of psychological and physiological stress in humans on horse heart rate and behavior. J. Vet. Behav. 2014, 9, 242–247. [Google Scholar] [CrossRef]
- Grandin, T. Solving livestock handling problems. Vet. Med. 1994, 89, 989–998. [Google Scholar]
- Narciso, M.H.; da Luz, M.P.; Maia, C.M.; PP Filho, J.N. Dominance and leadership in the equine social structure: A preliminary study about mules and sex influence. J. Equine Vet. Sci. 2021, 99, 103392. [Google Scholar] [CrossRef]
- Harley, J.J.; Stack, J.D.; Braid, H.; McLennan, K.M.; Stanley, C.R. Evaluation of the Feasibility, Reliability, and Repeatability of Welfare Indicators in Free-Roaming Horses: A Pilot Study. Animals 2021, 11, 1981. [Google Scholar] [CrossRef]
- Winkle, M.; Johnson, A.; Mills, D. Dog welfare, well-being and behavior: Considerations for selection, evaluation and suitability for animal-assisted therapy. Animals 2020, 10, 2188. [Google Scholar] [CrossRef]
- Glenk, L.M. Current perspectives on therapy dog welfare in animal-assisted interventions. Animals 2017, 7, 7. [Google Scholar] [CrossRef]
- Beetz, A.; Kotrschal, K.; Turner, D.; Hediger, K.; Uvnäs-Moberg, K.; Julius, H. The effect of a real dog, toy dog and friendly person on insecurely attached children in a stressful task: An exploratory study. Anthrozoös 2011, 24, 349–368. [Google Scholar] [CrossRef]
- Meixner, J.; Kotrschal, K. Animal-assisted interventions with dogs in special education—A systematic review. Front. Psychol. 2022, 13, 876290. [Google Scholar] [CrossRef] [PubMed]
- d’Ingeo, S.; Quaranta, A.; Siniscalchi, M.; Stomp, M.; Coste, C.; Bagnard, C.; Hausberger, M.; Cousillas, H. Horses associate individual human voices with the valence of past interactions: A behavioural and electrophysiological study. Sci. Rep. 2019, 9, 11568. [Google Scholar] [CrossRef] [PubMed]
- Stomp, M.; d’Ingeo, S.; Henry, S.; Cousillas, H.; Hausberger, M. Brain activity reflects (chronic) welfare state: Evidence from individual electroencephalography profiles in an animal model. Appl. Anim. Behav. Sci. 2021, 236, 105271. [Google Scholar] [CrossRef]
- Stanley, D.J.; Meyer, J.P. Two-dimensional affective space: A new approach to orienting the axes. Emotion 2009, 9, 214–237. [Google Scholar] [CrossRef] [PubMed]
- Blackmore, R.; Boyle, J.A.; Fazel, M.; Ranasinha, S.; Gray, K.M.; Fitzgerald, G.; Misso, M.; Gibson-Helm, M. The prevalence of mental illness in refugees and asylum seekers: A systematic review and meta-analysis. PLoS Med. 2020, 17, e1003337. [Google Scholar] [CrossRef]
- Dieterich-Hartwell, R.; Koch, S.C. Creative arts therapies as temporary home for refugees: Insights from literature and practice. Behav. Sci. 2017, 7, 69. [Google Scholar] [CrossRef]
- Giarè, F.; Ricciardi, G.; Borsotto, P. Migrants workers and processes of social inclusion in Italy: The possibilities offered by social farming. Sustainability 2020, 12, 3991. [Google Scholar] [CrossRef]


Disclaimer/Publisher’s Note: The statements, opinions and data contained in all publications are solely those of the individual author(s) and contributor(s) and not of MDPI and/or the editor(s). MDPI and/or the editor(s) disclaim responsibility for any injury to people or property resulting from any ideas, methods, instructions or products referred to in the content. |
© 2024 by the authors. Licensee MDPI, Basel, Switzerland. This article is an open access article distributed under the terms and conditions of the Creative Commons Attribution (CC BY) license (https://creativecommons.org/licenses/by/4.0/).
Share and Cite
d’Ingeo, S.; Straziota, V.; Siniscalchi, M.; Depalma, O.; Petrassi, S.; Romano, M.; Quaranta, A. Animal-Assisted Interventions: Factors Affecting Donkey Behaviours and Attitude Toward Humans. Animals 2024, 14, 3139. https://doi.org/10.3390/ani14213139
d’Ingeo S, Straziota V, Siniscalchi M, Depalma O, Petrassi S, Romano M, Quaranta A. Animal-Assisted Interventions: Factors Affecting Donkey Behaviours and Attitude Toward Humans. Animals. 2024; 14(21):3139. https://doi.org/10.3390/ani14213139
Chicago/Turabian Styled’Ingeo, Serenella, Valeria Straziota, Marcello Siniscalchi, Onofrio Depalma, Sara Petrassi, Michela Romano, and Angelo Quaranta. 2024. "Animal-Assisted Interventions: Factors Affecting Donkey Behaviours and Attitude Toward Humans" Animals 14, no. 21: 3139. https://doi.org/10.3390/ani14213139
APA Styled’Ingeo, S., Straziota, V., Siniscalchi, M., Depalma, O., Petrassi, S., Romano, M., & Quaranta, A. (2024). Animal-Assisted Interventions: Factors Affecting Donkey Behaviours and Attitude Toward Humans. Animals, 14(21), 3139. https://doi.org/10.3390/ani14213139

