Beta-Glucans Improve the Mammary Innate Immune Response to Endotoxin Challenge in Dairy Ewes
Simple Summary
Abstract
1. Introduction
2. Materials and Methods
2.1. Animals and Management
2.2. Experimental Treatments
2.3. Measurements, Sampling, and Analyses
2.3.1. Body Measurements
2.3.2. Udder Health and Milk Composition
2.3.3. Blood Samples
2.4. Statistical Analyses
3. Results
3.1. Pre-Challenge Period
3.1.1. Thermophysiological Responses
3.1.2. Lactation Performances
3.2. Challenge Period
3.2.1. Thermophysiological Response
3.2.2. Lactation Performance
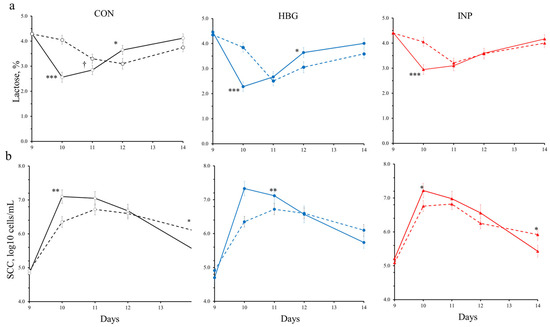
3.2.3. Immunity Responses
4. Discussion
4.1. Pre-Challenge Period
4.2. Challenge Period
5. Conclusions
Author Contributions
Funding
Institutional Review Board Statement
Informed Consent Statement
Data Availability Statement
Acknowledgments
Conflicts of Interest
References
- Volman, J.J.; Ramakers, J.D.; Plat, J. Dietary Modulation of Immune Function by β-Glucans. Physiol. Behav. 2008, 94, 276–284. [Google Scholar] [CrossRef] [PubMed]
- Byrne, K.A.; Loving, C.L.; Mcgill, J.L. Innate Immunomodulation in Food Animals: Evidence for Trained Immunity? Front. Immunol. 2020, 11, 1099. [Google Scholar] [CrossRef] [PubMed]
- Samuelsen, A.B.C.; Schrezenmeir, J.; Knutsen, S.H. Effects of Orally Administered Yeast-Derived Beta-Glucans: A Review. Mol. Nutr. Food Res. 2014, 58, 183–193. [Google Scholar] [CrossRef] [PubMed]
- Jin, Y.; Li, P.; Wang, F. β-Glucans as Potential Immunoadjuvants: A Review on the Adjuvanticity, Structure-Activity Relationship and Receptor Recognition Properties. Vaccine 2018, 36, 5235–5244. [Google Scholar] [CrossRef] [PubMed]
- Rieder, A.; Samuelsen, A.B. Do Cereal Mixed-Linked β-Glucans Possess Immune-Modulating Activities? Mol. Nutr. Food Res. 2012, 56, 536–547. [Google Scholar] [CrossRef]
- De Arcangelis, E.; Djurle, S.; Andersson, A.A.M.; Marconi, E.; Messia, M.C.; Andersson, R. Structure Analysis of β-Glucan in Barley and Effects of Wheat β-Glucanase. J. Cereal Sci. 2019, 85, 175–181. [Google Scholar] [CrossRef]
- Bartłomiej, S.; Justyna, R.K.; Ewa, N. Bioactive Compounds in Cereal Grains—Occurrence, Structure, Technological Significance and Nutritional Benefits—A Review. Food Sci. Technol. Int. 2012, 18, 559–568. [Google Scholar] [CrossRef] [PubMed]
- Suchecka, D.; Gromadzka-Ostrowska, J.; Zyła, E.; Harasym, J.P.; Oczkowski, M. Selected Physiological Activities and Health Promoting Properties of Cereal Beta-Glucans. A Review. J. Anim. Feed Sci. 2017, 26, 183–191. [Google Scholar] [CrossRef]
- Adams, E.L.; Rice, P.J.; Graves, B.; Ensley, H.E.; Yu, H.; Brown, G.D.; Gordon, S.; Monteiro, M.A.; Papp-Szabo, E.; Lowman, D.W.; et al. Differential High-Affinity Interaction of Dectin-1 with Natural or Synthetic Glucans Is Dependent upon Primary Structure and Is Influenced by Polymer Chain Length and Side-Chain Branching. J. Pharmacol. Exp. Ther. 2008, 325, 115–123. [Google Scholar] [CrossRef]
- Brown, G.D.; Gordon, S. Fungal β-Glucans and Mammalian Immunity. Immunity 2003, 19, 311–315. [Google Scholar] [CrossRef]
- Yun, C.-H.; Estrada, A.; Van-Kessel, A.; Park, B.C.; Laarveld, B. β-Glucan, Extracted from Oat, Enhances Disease Resistance against Bacterial and Parasitic Infections. Immunol. Med. Microbiol. 2003, 35, 67–75. [Google Scholar] [CrossRef] [PubMed]
- Akarsu, E.S.; Mamuk, S. Escherichia coli Lipopolysaccharides Produce Serotype-Specific Hypothermic Response in Biotelemetered Rats. Am. J. Physiol. Regul. Integr. Comp. Physiol. 2007, 292, 1846–1850. [Google Scholar] [CrossRef] [PubMed]
- Meneses, G.; Rosetti, M.; Espinosa, A.; Florentino, A.; Bautista, M.; Díaz, G.; Olvera, G.; Bárcena, B.; Fleury, A.; Adalid-Peralta, L.; et al. Recovery from an Acute Systemic and Central LPS-Inflammation Challenge Is Affected by Mouse Sex and Genetic Background. PLoS ONE 2018, 13, e0201375. [Google Scholar] [CrossRef]
- Sly, L.M.; Rauh, M.J.; Kalesnikoff, J.; Song, C.H.; Krystal, G. LPS-Induced Upregulation of SHIP Is Essential for Endotoxin Tolerance. Immunity 2004, 21, 227–239. [Google Scholar] [CrossRef]
- Hadfield, J.; Bowdridge, E.; Holásková, I.; Elsasser, T.; Dailey, R. Breed-Specific Differences in the Immune Response to Lipopolysaccharide in Ewes. J. Anim. Sci. 2018, 96, 4220–4228. [Google Scholar] [CrossRef] [PubMed]
- Castro-Costa, A.; Caja, G.; Salama, A.A.K.; Rovai, M.; Flores, C.; Aguiló, J. Thermographic Variation of the Udder of Dairy Ewes in Early Lactation and Following an Escherichia coli Endotoxin Intramammary Challenge in Late Lactation. J. Dairy Sci. 2014, 97, 1377–1387. [Google Scholar] [CrossRef]
- Campos, C.C.; Hartling, I.; Kaur, M.; Fernandes, A.C.C.; Santos, R.M.; Cerri, R.L.A. Intramammary Infusion of Lipopolysaccharide Promotes Inflammation and Alters Endometrial Gene Expression in Lactating Holstein Cows. J. Dairy Sci. 2018, 101, 10440–10455. [Google Scholar] [CrossRef]
- Grove, A.V.; Kaiser, C.R.; Iversen, N.; Hafla, A.; Robinson, B.L.; Bowman, J.G.P. Digestibility of Barley Beta-Glucan in Beef Cattle. West. Sect. Am. Soc. Anim. Sci. 2006, 57, 367–396. [Google Scholar]
- Torrent, A.N. Lactational, Digestive and Metabolic Effects of Supplementing Dairy Ewes with Barley β-Glucans. Master’s Thesis, CIHEAM Zaragoza, Mediterranean Agronomic Institute of Zaragoza, Zaragoza, Spain, 2015. [Google Scholar]
- Torrent, N.; Mehaba, N.; Love, S.; Salama, A.A.K.; Albanell, E.; Caja, G. Efectos a Corto Plazo de La Suplementación Con B-Glucans de Cebada a Ovejas Lecheras: 1 Resultados Productivos y Metabolicos. In XVII Jornadas Sobre Producción Animal; AIDA: Zaragoza, Spain, 2017; pp. 216–218. [Google Scholar]
- Contreras-Jodar, A.; Torrent, N.; Mehaba, N.; Salama, A.A.K.; Albanell, E.; Caja, G. Efectos a Corto Plazo de La Suplementación Con Beta-Glucanos de Cebada a Ovejas Lecheras: 2. Metaboloma. In XVII Jornadas Sobre Producción Animal; AIDA: Zaragoza, Spain, 2017; pp. 219–221. [Google Scholar]
- Yun, C.-H.; Estrada, A.; Van-Kessel, A.; Gajadhar, A.A.; Redmond, M.J.; Laarverld, B. β-(1-3, 1-4) Oat Glucan Enhances Resistence to Eimeria Vermiformis Infection in Immunosuppressed Mice. Int. J. Parasitol. 1992, 27, 329–397. [Google Scholar] [CrossRef]
- Davis, J.M.; Murphy, E.A.; Brown, A.S.; Carmichael, M.D.; Ghaffar, A.; Mayer, E.P. Effects of Moderate Exercise and Oat β-Glucan on Innate Immune Function and Susceptibility to Respiratory Infection. Am. J. Physiol. Regul. Integr. Comp. Physiol. 2004, 286, 366–372. [Google Scholar] [CrossRef]
- Russel, A.J.F.; Doney, J.M.; Gunn, R.G. Subjective Assessment of Body Fat in Live Sheep. J. Agric. Sci. 1969, 72, 451–454. [Google Scholar] [CrossRef]
- Appenheimer, M.M.; Chen-Qing, R.A.; Girard, R.A.; Wang, W.C.; Evans, S.S. Impact of Fever-Range Thermal Stress on Lymphocyte-Endothelial Adhesion and Lymphocyte Trafficking. Immunol. Investig. 2005, 34, 295–323. [Google Scholar] [CrossRef] [PubMed]
- Brown, G.D.; Williams, D.L. (1, 3)-β-Glucans in Innate Immunity: Mammalian Systems. Chemistry, Biochemistry, and Biology of 1-3 Beta Glucans and Related Polysaccharides; Academic Press: Cambridge, MA, USA, 2009; pp. 579–619. [Google Scholar]
- Soltanian, S.; Stuyven, E.; Cox, E.; Sorgeloos, P.; Bossier, P. Beta-Glucans as Immunostimulant in Vertebrates and Invertebrates. Crit. Rev. Microbiol. 2009, 35, 109–138. [Google Scholar] [CrossRef]
- Ostberg, J.R.; Taylor, S.L.; Baumann, H.; Repasky, E.A. Regulatory Effects of Fever-Range Whole-Body Hyperthermia on the LPS-Induced Acute Inflammatory Response. J. Leukoc. Biol. 2000, 68, 815–820. [Google Scholar] [CrossRef]
- Boltaña, S.; Rey, S.; Roher, N.; Vargas, R.; Huerta, M.; Huntingford, F.A.; Goetz, F.W.; Moore, J.; Garcia-valtanen, P.; Estepa, A.; et al. Behavioural Fever Is a Synergic Signal Amplifying the Innate Immune Response. Proc. R. Soc. B 2013, 280, 20131381. [Google Scholar] [CrossRef] [PubMed]
- Zhao, W.; An, H.; Zhou, J.; Xu, H.; Yu, Y.; Cao, X. Hyperthermia Differentially Regulates TLR4 and TLR2-Mediated Innate Immune Response. Immunol. Lett. 2007, 108, 137–142. [Google Scholar] [CrossRef]
- Kvidera, S.K.; Horst, E.A.; Abuajamieh, M.; Mayorga, E.J.; Fernandez, M.V.S.; Baumgard, L.H. Glucose Requirements of an Activated Immune System in Lactating Holstein Cows. J. Dairy Sci. 2017, 100, 2360–2374. [Google Scholar] [CrossRef]
- Contreras-Jodar, A.; Nayan, N.H.; Hamzaoui, S.; Caja, G.; Salama, A.A.K. Heat stress modifies the lactational performances and the urinary metabolomic profile related to gastrointestinal microbiota of dairy goats. PLoS ONE 2019, 14, e0202457. [Google Scholar] [CrossRef] [PubMed]
- Salama, A.A.K.; Contreras-Jodar, A.; Love, S.; Mehaba, N.; Such, X.; Caja, G. Milk yield, milk composition, and milk metabolomics of dairy goats intramammary-challenged with lipopolysaccharide under heat stress conditions. Sci. Rep. 2020, 10, 5055. [Google Scholar] [CrossRef]
- Lochmiller, R.L.; Deerenberg, C. Trade-Offs in Evolutionary Immunology: Just What Is the Cost of Immunity? Okios 2000, 88, 87–98. [Google Scholar] [CrossRef]
- Elhadi, A.; Salama, A.A.K.; Such, X.; Albanell, E.; Toral, P.G.; Hervás, G.; Frutos, P.; Caja, G. Effects of Shearing 2 Breeds of Dairy Ewes during Lactation under Mild Winter Conditions. J. Dairy Sci. 2019, 102, 1712–1724. [Google Scholar] [CrossRef] [PubMed]
- Alhussien, M.N.; Dang, A.K. Milk Somatic Cells, Factors Influencing Their Release, Future Prospects, and Practical Utility in Dairy Animals: An Overview. Vet. World 2018, 11, 562–577. [Google Scholar] [CrossRef] [PubMed]
- Chen, Q.; He, G.; Zhang, W.; Xu, T.; Qi, H.; Li, J.; Zhang, Y.; Gao, M.Q. Stromal Fibroblasts Derived from Mammary Gland of Bovine with Mastitis Display Inflammation-Specific Changes. Sci. Rep. 2016, 6, 27462. [Google Scholar] [CrossRef] [PubMed]
- Angulo, M.; Reyes-Becerril, M.; Cepeda-Palacios, R.; Angulo, C. Oral Administration of Debaryomyces Hansenii CBS8339-β-Glucan Induces Trained Immunity in Newborn Goats. Dev. Comp. Immunol. 2020, 105, 103597. [Google Scholar] [CrossRef] [PubMed]
- Shangraw, E.M.; Rodrigues, R.O.; Witzke, M.C.; Choudhary, R.K.; Zhao, F.-Q.; Mcfadden, T.B. Intramammary Lipopolysaccharide Infusion Induces Local and Systemic Effects on Milk Components in Lactating Bovine Mammary Glands. J. Dairy Sci. 2019, 103, 7487–7497. [Google Scholar] [CrossRef]
- Mehrzad, J.; Dosogne, H.; Meyer, E.; Burvenich, C. Local and Systemic Effects of Endotoxin Mastitis on the Chemiluminescence of Milk and Blood Neutrophils in Dairy Cows. Vet. Res. 2001, 32, 131–144. [Google Scholar] [CrossRef]
- Silanikove, N.; Rauch-Cohen, A.; Shapiro, F.; Blum, S.; Arieli, A.; Leitner, G. Lipopolysaccharide Challenge of the Mammary Gland in Bovine Induced a Transient Glandular Shift to Anaerobic Metabolism. J. Dairy Sci. 2011, 94, 4468–4475. [Google Scholar] [CrossRef]
- Bouchard, L.; Blais, S.; Desrosiers, C.; Zhao, X.; Lacasse, P. Nitric Oxide Production during Endotoxin-Induced Mastitis in the Cow. J. Dairy Sci. 1999, 82, 2574–2581. [Google Scholar] [CrossRef]
- Bannerman, D.D. Pathogen-Dependent Induction of Cytokines and Other Soluble Inflammatory Mediators during Intramammary Infection of Dairy Cows. J. Anim. Sci. 2009, 87, 10–25. [Google Scholar] [CrossRef]
- Herman, A.P.; Krawczyńska, A.; Bochenek, J.; Dobek, E.; Herman, A.; Tomaszewska-Zaremba, D. LPS-Induced Inflammation Potentiates the IL-1 β-Mediated Reduction of LH Secretion from the Anterior Pituitary Explants. Clin. Dev. Immunol. 2013, 2013, 926937. [Google Scholar] [CrossRef]
- Mavrommatis, A.; Mitsiopoulou, C.; Christodoulou, C.; Karabinas, D.; Nenov, V.; Zervas, G.; Tsiplakou, E. Dietary Supplementation of a Live Yeast Product on Dairy Sheep Milk Performance, Oxidative and Immune Status in Peripartum Period. J. Fungi 2020, 6, 334. [Google Scholar] [CrossRef] [PubMed]
- Bronzo, V.; Lopreiato, V.; Riva, F.; Amadori, M.; Curone, G.; Addis, M.F.; Cremonesi, P.; Moroni, P.; Trevisi, E.; Castiglioni, B. The Role of Innate Immune Response and Microbiome in Resilience of Dairy Cattle to Disease: The Mastitis Model. Animals 2020, 10, 1397. [Google Scholar] [CrossRef] [PubMed]




| Item | Treatments | ||
|---|---|---|---|
| CON | HBG | INP | |
| Ewes, n | 12 | 12 | 12 |
| Administered β-glucans, g/d | |||
| Conventional barley (cv. Meseta) | 13.3 | − | 13.3 |
| High β-glucans barley (cv. Annapurna) | − | 35.0 | − |
| Intraperitoneally (unique dose) | − | − | 2.0 |
| Item | Treatments 1 | Mean | p-Value | |||||||||
|---|---|---|---|---|---|---|---|---|---|---|---|---|
| CON | HBG | INP | ± | |||||||||
| Saline | LPS | Saline | LPS | Saline | LPS | SEM | LPS | BG | Day | BG × LPS 3 | BG × Day 4 | |
| Udder halves | 12 | 12 | 12 | 12 | 12 | 12 | - | - | - | - | - | - |
| Milk yield, kg/d | 0.36 a | 0.33 b | 0.28 a | 0.26 b | 0.28 a | 0.23 b | 0.29 ± 0.04 | 0.019 | 0.29 | 0.001 | 0.69 | 0.001 |
| Composition | ||||||||||||
| Fat, % | 8.26 b | 8.63 a | 8.85 b | 9.46 a | 8.62 b | 8.91 a | 8.79 ± 0.46 | 0.001 | 0.55 | 0.001 | 0.57 | 0.001 |
| Protein, % | 6.89 b | 7.03 a | 6.93 b | 7.40 a | 6.75 b | 6.89 a | 6.95 ± 0.29 | 0.003 | 0.65 | 0.001 | 0.27 | 0.73 |
| Lactose, % | 3.70 | 3.50 | 3.47 | 3.41 | 3.85 | 3.64 | 3.59 ± 0.09 | 0.10 | 0.06 | 0.001 | 0.76 | 0.20 |
| Total solids, % | 19.5 b | 20.1 a | 20.2 b | 21.3 a | 20.2 b | 20.4 a | 20.3 ± 0.8 | 0.001 | 0.73 | 0.001 | 0.20 | 0.44 |
| Urea, mg/dL | 85 | 86 | 87 | 89 | 81 | 81 | 85 ± 3 | 0.22 | 0.30 | 0.001 | 0.82 | 0.23 |
| Log10 SCC 2 | 6.13 | 6.24 | 6.43 | 6.29 | 6.17 | 6.28 | 6.25 ± 0.13 | 0.77 | 0.42 | 0.001 | 0.44 | 0.001 |
Disclaimer/Publisher’s Note: The statements, opinions and data contained in all publications are solely those of the individual author(s) and contributor(s) and not of MDPI and/or the editor(s). MDPI and/or the editor(s) disclaim responsibility for any injury to people or property resulting from any ideas, methods, instructions or products referred to in the content. |
© 2024 by the authors. Licensee MDPI, Basel, Switzerland. This article is an open access article distributed under the terms and conditions of the Creative Commons Attribution (CC BY) license (https://creativecommons.org/licenses/by/4.0/).
Share and Cite
Guamán, S.A.; Elhadi, A.; Salama, A.A.K.; Manuelian, C.L.; Caja, G.; Albanell, E. Beta-Glucans Improve the Mammary Innate Immune Response to Endotoxin Challenge in Dairy Ewes. Animals 2024, 14, 3023. https://doi.org/10.3390/ani14203023
Guamán SA, Elhadi A, Salama AAK, Manuelian CL, Caja G, Albanell E. Beta-Glucans Improve the Mammary Innate Immune Response to Endotoxin Challenge in Dairy Ewes. Animals. 2024; 14(20):3023. https://doi.org/10.3390/ani14203023
Chicago/Turabian StyleGuamán, Santiago A., Abdelaali Elhadi, Ahmed A. K. Salama, Carmen L. Manuelian, Gerardo Caja, and Elena Albanell. 2024. "Beta-Glucans Improve the Mammary Innate Immune Response to Endotoxin Challenge in Dairy Ewes" Animals 14, no. 20: 3023. https://doi.org/10.3390/ani14203023
APA StyleGuamán, S. A., Elhadi, A., Salama, A. A. K., Manuelian, C. L., Caja, G., & Albanell, E. (2024). Beta-Glucans Improve the Mammary Innate Immune Response to Endotoxin Challenge in Dairy Ewes. Animals, 14(20), 3023. https://doi.org/10.3390/ani14203023

