Evaluating the Net Energy Requirements for Maintenance Based on Indirect Calorimetry and Heart Rate Monitoring in Gestating Sows
Abstract
Simple Summary
Abstract
1. Introduction
2. Materials and Methods
2.1. Animals and Diets
2.2. Measurement and Sample Collection
2.3. Experimental Device
2.4. Chemical Analysis and Calculations
2.5. Statistical Analysis
3. Results
3.1. Nutrient Digestibility and Nitrogen Balance
3.2. Energy Balance
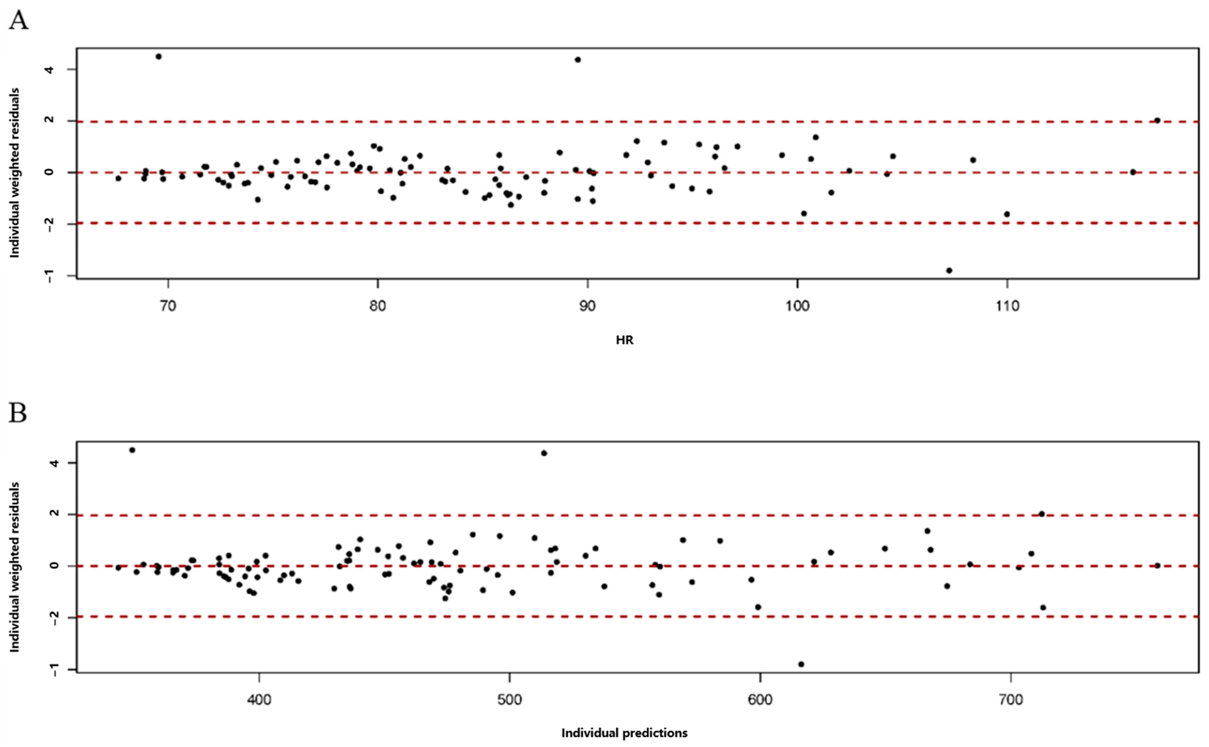
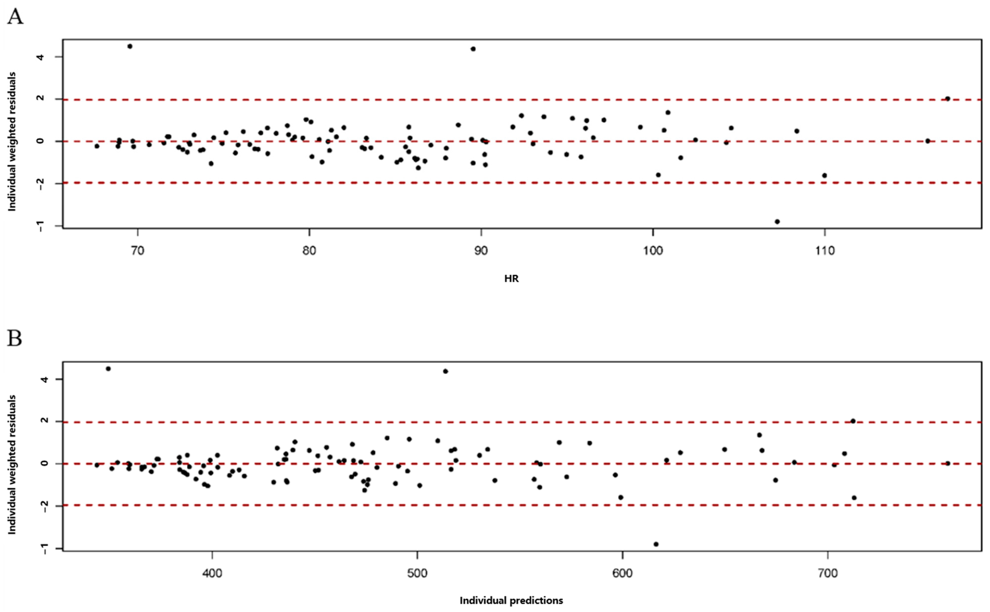
3.3. Heart Rate
4. Discussion
5. Conclusions
Author Contributions
Funding
Institutional Review Board Statement
Informed Consent Statement
Data Availability Statement
Conflicts of Interest
References
- Noblet, J. Net energy evaluation of feeds and determination of net energy requirements for pigs. Rev. Bras. Zootec. 2007, 36, 277–284. [Google Scholar] [CrossRef]
- Velayudhan, D.E.; Kim, I.H.; Nyachoti, C.M. Characterization of dietary energy in Swine feed and feed ingredients: A review of recent research results. Asian Australas. J. Anim. Sci. 2015, 28, 1–13. [Google Scholar] [CrossRef] [PubMed]
- Noblet, J.; Wu, S.-B.; Choct, M. Methodologies for energy evaluation of pig and poultry feeds: A review. Anim. Nutr. 2021, 8, 185–203. [Google Scholar] [CrossRef] [PubMed]
- Li, Z.C.; Liu, H.; Li, Y.K.; Lv, Z.Q.; Liu, L.; Lai, C.H.; Wang, J.J.; Wang, F.L.; Li, D.F.; Zhang, S. Methodologies on estimating the energy requirements for maintenance and determining the net energy contents of feed ingredients in swine: A review of recent work. J. Anim. Sci. Biotechnol. 2018, 9, 13. [Google Scholar] [CrossRef] [PubMed]
- Munoz, C.J.; Funk, T.L.; Stein, H.H. Features of a new calorimetry unit to measure heat production and net energy by group-housed pigs. In Proceedings of the 6th EAAP International Symposium on Energy and Protein Metabolism and Nutrition, Belo Horizonte, Brazil, 9–12 September 2019; Wageningen Academic Publishers: Belo Horizonte, Brazil, 2019; pp. 413–414. [Google Scholar]
- Wang, Z.; Chen, Y.; Ding, J.; Liu, H.; Lyu, Z.; Dong, W.; Wang, Z.; Zhang, S.; Wang, F. Net energy content of five fiber-rich ingredients fed to pregnant sows. Anim. Sci. J. 2019, 90, 939–947. [Google Scholar] [CrossRef] [PubMed]
- Milligan, L.P.; Summers, M. The biological basis of maintenance and its relevance to assessing responses to nutrients. Proc. Nutr. Soc. 1986, 45, 185–193. [Google Scholar] [CrossRef] [PubMed]
- Zhang, G.F.; Liu, D.W.; Wang, F.L.; Li, D.F. Estimation of the net energy requirements for maintenance in growing and finishing pigs. J. Anim. Sci. 2014, 92, 2987–2995. [Google Scholar] [CrossRef]
- Labussiere, E.; van Milgen, J.; de Lange, C.F.; Noblet, J. Maintenance energy requirements of growing pigs and calves are influenced by feeding level. J. Nutr. 2011, 141, 1855–1861. [Google Scholar] [CrossRef]
- Zhong, W.; Mu, L.L.; Han, F.F.; Luo, G.L.; Zhang, X.Y.; Liu, K.Y.; Guo, X.L.; Yang, H.M.; Li, G.Y. Estimation of the net energy and protein requirements for maintenance of male arctic foxes (Alopex lagopus) during the growth period. J. Anim. Sci. 2019, 97, 4579–4587. [Google Scholar] [CrossRef]
- Caton, J.S.; Reed, J.J.; Aitken, R.P.; Milne, J.S.; Borowicz, P.P.; Reynolds, L.P.; Redmer, D.A.; Wallace, J.M. Effects of maternal nutrition and stage of gestation on body weight, visceral organ mass, and indices of jejunal cellularity, proliferation, and vascularity in pregnant ewe lambs1. J. Anim. Sci. 2009, 87, 222–235. [Google Scholar] [CrossRef]
- Kim, S.W.; Weaver, A.C.; Shen, Y.B.; Zhao, Y. Improving efficiency of sow productivity: Nutrition and health. J. Anim. Sci. Biotechnol. 2013, 4, 26. [Google Scholar] [CrossRef]
- Noblet, J.; Dourmad, J.Y.; Etienne, M.; LeDividich, J. Energy metabolism in pregnant sows and newborn pigs. J. Anim. Sci. 1997, 75, 2708–2714. [Google Scholar] [CrossRef] [PubMed]
- Dourmad, J.Y.; Etienne, M. Reconstitution of body reserves in multiparous sows during pregnancy: Effect of energy intake. J. Anim. Sci. 1996, 74, 2211–2219. [Google Scholar] [CrossRef] [PubMed]
- Thomas, L.L.; Goodband, R.D.; Tokach, M.D.; Woodworth, J.C.; DeRouchey, J.M.; Dritz, S.S. Effect of parity and stage of gestation on growth and feed efficiency of gestating sows. J. Anim. Sci. 2018, 96, 4327–4338. [Google Scholar] [CrossRef]
- Green, J.A. The heart rate method for estimating metabolic rate: Review and recommendations. Comp. Biochem. Physiol. Part A Physiol. 2011, 158, 287–304. [Google Scholar] [CrossRef] [PubMed]
- Brosh, A. Heart rate measurements as an index of energy expenditure and energy balance in ruminants: A review. J. Anim. Sci. 2007, 85, 1213–1227. [Google Scholar] [CrossRef] [PubMed]
- Gerth, N.; Ruoß, C.; Dobenecker, B.; Reese, S.; Starck, J.M. Using heart rate to predict energy expenditure in large domestic dogs. J. Anim. Physiol. Anim. Nutr. 2016, 100, 464–470. [Google Scholar] [CrossRef]
- Leonard, W.R. Measuring human energy expenditure: What have we learned from the flex-heart rate method? Am. J. Hum. Biol. 2003, 15, 479–489. [Google Scholar] [CrossRef]
- Jakobsen, K.; Theil, P.K.; Jørgensen, H. Methodological considerations as to quantify nutrient and energy metabolism in lactating sows. J. Anim. Feed Sci. 2005, 14 (Suppl. S1), 31–47. [Google Scholar] [CrossRef][Green Version]
- Li, E.; Zhu, T.; Dong, W.; Huang, C. Effects of brown rice particle size on energy and nutrient digestibility in diets for young pigs and adult sows. Anim. Sci. J. 2019, 90, 108–116. [Google Scholar] [CrossRef]
- Li, E.; Liu, H.; Li, Y.; Liu, L.; Wang, F.; Li, D.; Zhang, S. Determination of net energy content of dietary lipids fed to growing pigs using indirect calorimetry. J. Anim. Sci. 2018, 96, 2184–2194. [Google Scholar] [CrossRef] [PubMed]
- Li, E.; Lv, Z.; Liu, H.; Liu, L.; Li, Y.; Li, Z.; Wang, F.; Li, D.; Zhang, S. Determination of net energy content of soybean oil fed to growing pigs using indirect calorimetry. Anim. Sci. J. 2018, 89, 149–157. [Google Scholar] [CrossRef] [PubMed]
- Van Soest, P.J.; Robertson, J.B.; Lewis, B.A. Methods for Dietary Fiber, Neutral Detergent Fiber, and Nonstarch Polysaccharides in Relation to Animal Nutrition. J. Dairy Sci. 1991, 74, 3583–3597. [Google Scholar] [CrossRef] [PubMed]
- Thiex, N.J.; Anderson, S.; Gildemeister, B. Crude fat, diethyl ether extraction, in feed, cereal grain, and forage (Randall/Soxtec/submersion method): Collaborative study. J. AOAC Int. 2003, 86, 888–898. [Google Scholar] [CrossRef] [PubMed]
- Adeola, O. Digestion and balance techniques in pigs. In Swine Nutrition; CRC Press: Boca Raton, FL, USA, 2000; pp. 923–936. [Google Scholar]
- Brouwer, E. Report of sub-committee on constants and factors. In Energy Metabolism, Proceedings of the 3rd Symposium, Troon, UK, May 1964; Academic Press: London, UK, 1965; pp. 441–443. [Google Scholar]
- Labussiere, E.; Maxin, G.; Dubois, S.; van Milgen, J.; Bertrand, G.; Noblet, J. Effect of feed intake on heat production and protein and fat deposition in milk-fed veal calves. Animal 2009, 3, 557–567. [Google Scholar] [CrossRef]
- Kortelainen, L.; Helske, J.; Finni, T.; Mehtatalo, L.; Tikkanen, O.; Karkkainen, S. A nonlinear mixed model approach to predict energy expenditure from heart rate. Physiol. Meas. 2021, 42, 12. [Google Scholar] [CrossRef]
- Speakman, J.R. Body size, energy metabolism and lifespan. J. Exp. Biol. 2005, 208 Pt 9, 1717–1730. [Google Scholar] [CrossRef]
- de Lange, K.; van Milgen, J.; Noblet, J.; Dubois, S.; Birkett, S. Previous feeding level influences plateau heat production following a 24 h fast in growing pigs. Br. J. Nutr. 2006, 95, 1082–1087. [Google Scholar] [CrossRef]
- McCue, M.D. Starvation physiology: Reviewing the different strategies animals use to survive a common challenge. Comp. Biochem. Physiol. Part A Mol. Integr. Physiol. 2010, 156, 1–18. [Google Scholar] [CrossRef]
- Liu, H.; Chen, Y.F.; Ming, D.X.; Wang, J.; Li, Z.; Ma, X.; Wang, J.J.; van Milgen, J.; Wang, F.L. Integrative analysis of indirect calorimetry and metabolomics profiling reveals alterations in energy metabolism between fed and fasted pigs. J. Anim. Sci. Biotechnol. 2018, 9, 41. [Google Scholar] [CrossRef]
- Ramonet, Y.; Milgen, J.V.; Dourmad, J.Y.; Dubois, S.; Noblet, J. The effect of dietary fibre on energy utilisation and partitioning of heat production over pregnancy in sows. Br. J. Nutr. 2000, 84, 85–94. [Google Scholar] [CrossRef] [PubMed]
- Liu, Y.; Chen, N.; Li, D.; Li, H.; Fang, Z.; Lin, Y.; Xu, S.; Feng, B.; Zhuo, Y.; Wu, D.; et al. Effects of dietary soluble or insoluble fiber intake in late gestation on litter performance, milk composition, immune function, and redox status of sows around parturition. J. Anim. Sci. 2020, 98, skaa303. [Google Scholar] [CrossRef] [PubMed]
- Liu, Z.H.; Zhang, X.M.; Zhou, Y.F.; Wang, C.; Xiong, J.; Guo, L.L.; Wang, L.; Jiang, S.W.; Peng, J. Effect of increasing feed intake during late gestation on piglet performance at parturition in commercial production enterprises. Anim. Reprod. Sci. 2020, 218, 106477. [Google Scholar] [CrossRef] [PubMed]
- Young, M.G.; Tokach, M.D.; Noblet, J.; Aherne, F.X.; Dritz, S.S.; Goodband, R.D.; Nelssen, J.L.; Van, M.J.; Woodworth, J.C. Influence of Carnichrome on the energy balance of gestating sows. J. Anim. Sci. 2004, 82, 2013. [Google Scholar] [CrossRef] [PubMed]
- Mcpherson, R.L.; Ji, F.; Wu, G.; Blanton, J.R.; Kim, S.W. Growth and compositional changes of fetal tissues in pigs. J. Anim. Sci. 2004, 82, 2534. [Google Scholar] [CrossRef] [PubMed]
- Ji, F.; Wu, G.; Blanton, J.R.; Kim, S.W. Changes in weight and composition in various tissues of pregnant gilts and their nutritional implications. J. Anim. Sci. 2005, 83, 366–375. [Google Scholar] [CrossRef]
- Père, M.-C.; Etienne, M. Uterine blood flow in sows: Effects of pregnancy stage and litter size. Reprod. Nutr. Dev. 2000, 40, 369–382. [Google Scholar] [CrossRef]
- Hu, L.; Kristensen, N.B.; Che, L.; Wu, D.; Theil, P.K. Net absorption and liver metabolism of amino acids and heat production of portal-drained viscera and liver in multiparous sows during transition and lactation. J. Anim. Sci. Biotechnol. 2020, 11, 5. [Google Scholar] [CrossRef]
- Spurr, G.B. Physical activity and energy expenditure in undernutrition. Prog. Nutr. 1990, 14, 139–192. [Google Scholar]
- McCrory, M.A.; Mole, P.A.; NommsenRivers, L.A.; Dewey, K.G. Between-day and within-day variability in the relation between heart rate and oxygen consumption: Effect on the estimation of energy expenditure by heart-rate monitoring. Am. J. Clin. Nutr. 1997, 66, 18–25. [Google Scholar] [CrossRef]
- Marchant-Forde, R.M.; Marlin, D.J.; Marchant-Forde, J.N. Validation of a cardiac monitor for measuring heart rate variability in adult female pigs: Accuracy, artefacts and editing. Physiol. Behav. 2004, 80, 449–458. [Google Scholar] [CrossRef] [PubMed]
- Theil, P.K.; Jorgensen, H.; Jakobsen, K. Assessment of heat production in lactating sows by different approaches. In Proceedings of the International Symposium on Energy and Protein Metabolism and Nutrition, Rostock, Germany, 13–18 September 2003; Wageningen Academic Publishers: Rostock, Germany, 2003. [Google Scholar]
- Marchant, J.N.; Broom, D.M. Basal Heart Rate of Group-Housed Sows in Relation to Stage of Gestation; Universities Federation for Animal Welfare (UFAW): Hertfordshire, UK, 1995; pp. 77–78. [Google Scholar]
- van Milgen, J.; Noblet, J.; Dubois, S.; Bernier, J.F. Dynamic aspects of oxygen consumption and carbon dioxide production in swine. Br. J. Nutr. 1997, 78, 397–410. [Google Scholar] [CrossRef] [PubMed]
- Beghin, L.; Michaud, L.; Guimber, D.; Vaksmann, G.; Turck, D.; Gottrand, F. Assessing sleeping energy expenditure in children using heart-rate monitoring calibrated against open-circuit indirect calorimetry: A pilot study. Br. J. Nutr. 2002, 88, 533–543. [Google Scholar] [CrossRef] [PubMed]
- Wang, Z.; Ying, Z.; Bosy-Westphal, A.; Zhang, J.; Schautz, B.; Later, W.; Heymsfield, S.B.; Muller, M.J. Specific metabolic rates of major organs and tissues across adulthood: Evaluation by mechanistic model of resting energy expenditure. Am. J. Clin. Nutr. 2010, 92, 1369–1377. [Google Scholar] [CrossRef]



| Ingredients | Content |
|---|---|
| Corn | 60.90 |
| Soybean meal | 18.00 |
| Wheat bran | 16.00 |
| Soybean oil | 2.00 |
| Dicalcium phosphate | 1.20 |
| Limestone | 1.10 |
| Salt | 0.30 |
| Premix 1 | 0.50 |
| Total | 100.00 |
| Nutrient levels 2 | |
| GE, MJ/kg | 16.50 |
| CP | 15.08 |
| EE | 3.93 |
| Starch | 41.60 |
| NDF | 26.26 |
| ADF | 5.40 |
| Ash | 4.73 |
| Ca | 0.82 |
| P | 0.66 |
| Items 1 | Days of Gestation, d | SEM | p-Value | |||||
|---|---|---|---|---|---|---|---|---|
| 67 | 75 | 83 | 91 | 99 | 107 | |||
| BW, kg | 231.9 c | 237.1 bc | 243.8 abc | 250.5 abc | 256.7 ab | 263.2 a | 5.2 | 0.002 |
| DM intake, kg/d | 3.0 | 3.1 | 3.1 | 3.2 | 3.3 | 3.3 | 0.3 | 0.98 |
| Digestibility coefficients, % | ||||||||
| DM | 84.9 ab | 85.7 ab | 85.9 ab | 85.7 ab | 82.6 b | 88.7 a | 0.9 | 0.014 |
| GE | 85.6 | 86.3 | 86.6 | 86.0 | 85.9 | 90.7 | 1.6 | 0.24 |
| CP | 86.5 ab | 87.2 ab | 87.5 ab | 87.2 ab | 84.3 b | 90.2 a | 0.9 | 0.013 |
| NDF | 77.0 | 79.0 | 79.7 | 81.9 | 73.5 | 80.8 | 2.3 | 0.26 |
| ADF | 63.0 | 66.7 | 66.3 | 70.0 | 56.0 | 69.6 | 3.9 | 0.25 |
| OM | 87.7 ab | 88.3 ab | 88.7 ab | 88.1 ab | 85.4 b | 90.4 a | 0.8 | 0.020 |
| Nitrogen balance, g/d | ||||||||
| N Intake | 75.2 b | 76.2 ab | 77.3 ab | 80.0 ab | 81.0 ab | 82.5 a | 1.5 | 0.011 |
| Fecal excretion | 10.2 ab | 9.7 ab | 9.5 ab | 10.1 ab | 12.1 a | 8.6 b | 0.7 | 0.018 |
| Urine excretion | 34.0 | 37.6 | 23.3 | 28.6 | 23.5 | 25.7 | 6.1 | 0.52 |
| N Retention | 31.0 | 28.9 | 44.5 | 41.3 | 41.2 | 53.1 | 6.0 | 0.17 |
| Items 1 | Energy Allowance Levels | SEM | p-Value | |||||
|---|---|---|---|---|---|---|---|---|
| 1.2 M | 1.4 M | 1.6 M | 1.8 M | 2.0 M | 2.2 M | |||
| BW, kg | 245.6 | 246.6 | 246.4 | 247.3 | 250.5 | 246.8 | 5.6 | 0.99 |
| DM intake, kg/d | 2.2 a | 2.6 b | 3.0 c | 3.4 d | 3.8 e | 4.1 f | 0.6 | <0.01 |
| Digestibility coefficients, % | ||||||||
| DM | 84.7 | 85.0 | 85.5 | 85.7 | 86.9 | 85.6 | 0.9 | 0.95 |
| GE | 87.8 | 85.7 | 86.1 | 86.1 | 89.5 | 86.0 | 1.6 | 0.50 |
| CP | 87.3 | 86.5 | 86.8 | 87.1 | 88.2 | 87.4 | 0.9 | 0.89 |
| NDF | 77.3 | 77.3 | 78.5 | 78.8 | 80.3 | 80.3 | 2.3 | 0.95 |
| ADF | 62.8 | 63.3 | 65.8 | 64.9 | 68.3 | 67.5 | 3.9 | 0.25 |
| OM | 87.5 | 87.7 | 88.3 | 88.1 | 89.2 | 88.0 | 0.8 | 0.97 |
| Nitrogen balance, g/d | ||||||||
| N Intake | 55.1 f | 64.6 e | 74.0 d | 83.6 c | 93.8 b | 101.2 a | 1.5 | <0.01 |
| Fecal excretion | 6.9 c | 8.7 bc | 9.8 ab | 10.7 ab | 10.8 ab | 12.7 a | 0.7 | <0.01 |
| Urine excretion | 25.0 | 33.0 | 21.6 | 30.2 | 38.0 | 27.2 | 6.1 | 0.56 |
| N Retention | 22.6 b | 22.9 b | 42.6 ab | 42.6 ab | 43.3 ab | 61.2 a | 6.0 | <0.01 |
| Items 1 | Days of Gestation, d | SEM | p-Value | |||||
|---|---|---|---|---|---|---|---|---|
| 67 | 75 | 83 | 91 | 99 | 107 | |||
| No. of sows | 6 | 6 | 6 | 6 | 6 | 6 | ||
| Energy balance, kJ/kg BW0.75/d | ||||||||
| ME intake, MEI | 785.2 ab | 790.4 ab | 799.3 ab | 790.7 ab | 735.3 b | 883.1 a | 10.42 | 0.87 |
| Total heat production, THP | 530.1 | 569.7 | 611.1 | 566.0 | 574.9 | 579.7 | 21.08 | 0.17 |
| Fasting heat production, FHP | 386.9 b | 421.6 ab | 482.5 a | 478.3 a | 466.2 ab | 453.9 ab | 21.63 | 0.02 |
| Retained Energy, kJ/kg BW0.75/d | ||||||||
| As protein, REp | 77.6 | 71.3 | 108.5 | 97.1 | 97.4 | 121.3 | 14.08 | 0.28 |
| As fat, REf | 177.5 | 104.4 | 67.3 | 127.6 | 63.0 | 182.1 | 29.41 | 0.14 |
| Retained energy, RE | 255.1 | 175.7 | 175.8 | 224.6 | 133.7 | 252.8 | 34.81 | 0.12 |
| Energy utilization, % | ||||||||
| UE:DE | 4.7 | 5.2 | 3.2 | 4.0 | 4.0 | 1.6 | 0.00 | 0.31 |
| CH4E:DE | 0.5 | 0.6 | 0.8 | 0.9 | 0.8 | 0.6 | 0.11 | 0.18 |
| ME:DE | 94.8 | 94.4 | 96.0 | 95.1 | 95.2 | 97.9 | 0.90 | 0.30 |
| NE:ME | 82.0 | 81.9 | 82.8 | 88.3 | 85.9 | 86.3 | 2.12 | 0.17 |
| Respiratory quotient, RQ | ||||||||
| Fed state | 0.97 | 0.99 | 1.02 | 1.00 | 1.00 | 1.00 | 0.16 | 0.26 |
| Fasted state | 0.77 | 0.81 | 0.83 | 0.69 | 0.70 | 0.71 | 0.10 | 0.87 |
| Items 1 | Energy Allowance Levels | SEM | p-Value | |||||
|---|---|---|---|---|---|---|---|---|
| 1.2 M | 1.4 M | 1.6 M | 1.8 M | 2.0 M | 2.2 M | |||
| No. of sows | 6 | 6 | 6 | 6 | 6 | 6 | 6 | 6 |
| Energy balance, kJ/kg BW0.75/d | ||||||||
| ME intake, MEI | 537.9 f | 650.3 e | 752.1 d | 537.9 f | 650.3 e | 752.1 d | 10.38 | <0.01 |
| Total heat production, THP | 517.9 b | 533.1 ab | 567.2 ab | 517.9 b | 533.1 ab | 567.2 ab | 21.07 | <0.05 |
| Fasting heat production, FHP | 420.6 | 460.9 | 439.0 | 420.6 | 460.9 | 439.0 | 21.61 | 0.56 |
| Retained Energy, kJ/kg BW0.75/d | ||||||||
| As protein, REp | 54.4 b | 55.6 b | 102.2 ab | 54.4 b | 55.6 b | 102.2 ab | 14.12 | <0.01 |
| As fat, REf | −34.5 b | 15.3 b | 52.3 bc | −34.5 b | 15.3 b | 52.3 bc | 29.38 | <0.01 |
| Retained energy, RE | 16.6 c | 70.8 c | 154.5 bc | 16.6 c | 70.8 c | 154.5 bc | 34.82 | <0.01 |
| Energy utilization, % | ||||||||
| UE:DE | 6.4 | 3.7 | 3.1 | 6.4 | 3.7 | 3.1 | 0.02 | <0.05 |
| CH4E:DE | 0.8 | 0.7 | 0.8 | 0.8 | 0.7 | 0.8 | 0.11 | 0.76 |
| ME:DE | 92.9 | 95.7 | 96.2 | 92.9 | 95.7 | 96.2 | 10.38 | <0.01 |
| NE:ME | 82.7 | 70.5 | 69.6 | 82.7 | 70.5 | 69.6 | 21.07 | <0.05 |
| Respiratory quotient, RQ | 21.61 | 0.56 | ||||||
| Fed state | 0.95 b | 0.97 ab | 1.00 ab | 0.95 b | 0.97 ab | 1.00 ab | ||
| Fasted state | 0.68 | 0.82 | 0.82 | 0.68 | 0.82 | 0.82 | 14.12 | <0.01 |
| No. of Sows | Time | Heart Rate, bpm | Energy Expenditure, kJ/BW0.75 d−1 | Correlation Coefficient, r | Regression Coefficient, a * | Intercept, b * | RMSE | R2 | p-Value |
|---|---|---|---|---|---|---|---|---|---|
| 6 | 05:00~21:00 | 86 (57~149) ** | 513.6 | 0.7441 | 7.6996 | −154.27 | 117.6 | 0.5537 | <0.01 |
| 6 | 21:00~05:00 | 81 (62~134) ** | 416.9 | 0.5974 | 3.3535 | 147.03 | 53.2 | 0.3569 | <0.01 |
| 6 | 00:00~24:00 | 84 (57~149) ** | 477.1 | 0.7211 | 7.053 | −117.88 | 105.5 | 0.5200 | <0.01 |
| Coefficients | Estimation | Standard Error | CV, % |
|---|---|---|---|
| 1990 | 936.2 | 47.0 | |
| 136 | 35.8 | 26.4 | |
| 43 | 8.0 | 18.4 |
Disclaimer/Publisher’s Note: The statements, opinions and data contained in all publications are solely those of the individual author(s) and contributor(s) and not of MDPI and/or the editor(s). MDPI and/or the editor(s) disclaim responsibility for any injury to people or property resulting from any ideas, methods, instructions or products referred to in the content. |
© 2024 by the authors. Licensee MDPI, Basel, Switzerland. This article is an open access article distributed under the terms and conditions of the Creative Commons Attribution (CC BY) license (https://creativecommons.org/licenses/by/4.0/).
Share and Cite
Li, Z.; Gao, W.; Shi, H.; Xu, S.; Zeng, Z.; Wang, F.; Lai, C.; Zhang, S. Evaluating the Net Energy Requirements for Maintenance Based on Indirect Calorimetry and Heart Rate Monitoring in Gestating Sows. Animals 2024, 14, 2907. https://doi.org/10.3390/ani14192907
Li Z, Gao W, Shi H, Xu S, Zeng Z, Wang F, Lai C, Zhang S. Evaluating the Net Energy Requirements for Maintenance Based on Indirect Calorimetry and Heart Rate Monitoring in Gestating Sows. Animals. 2024; 14(19):2907. https://doi.org/10.3390/ani14192907
Chicago/Turabian StyleLi, Zhe, Wenjun Gao, Huangwei Shi, Song Xu, Zhengcheng Zeng, Fenglai Wang, Changhua Lai, and Shuai Zhang. 2024. "Evaluating the Net Energy Requirements for Maintenance Based on Indirect Calorimetry and Heart Rate Monitoring in Gestating Sows" Animals 14, no. 19: 2907. https://doi.org/10.3390/ani14192907
APA StyleLi, Z., Gao, W., Shi, H., Xu, S., Zeng, Z., Wang, F., Lai, C., & Zhang, S. (2024). Evaluating the Net Energy Requirements for Maintenance Based on Indirect Calorimetry and Heart Rate Monitoring in Gestating Sows. Animals, 14(19), 2907. https://doi.org/10.3390/ani14192907

