Personality Unleashed: Surveying Correlation of Neuter Status and Social Behaviour in Mixed-Breed Male Dogs across Weight Classes
Abstract
Simple Summary
Abstract
1. Introduction
2. Materials and Methods
2.1. Case Studies
2.2. BUDAPEST Questionnaire
2.3. Data Collection
2.4. Data Preparation
2.5. Statistical Analyses
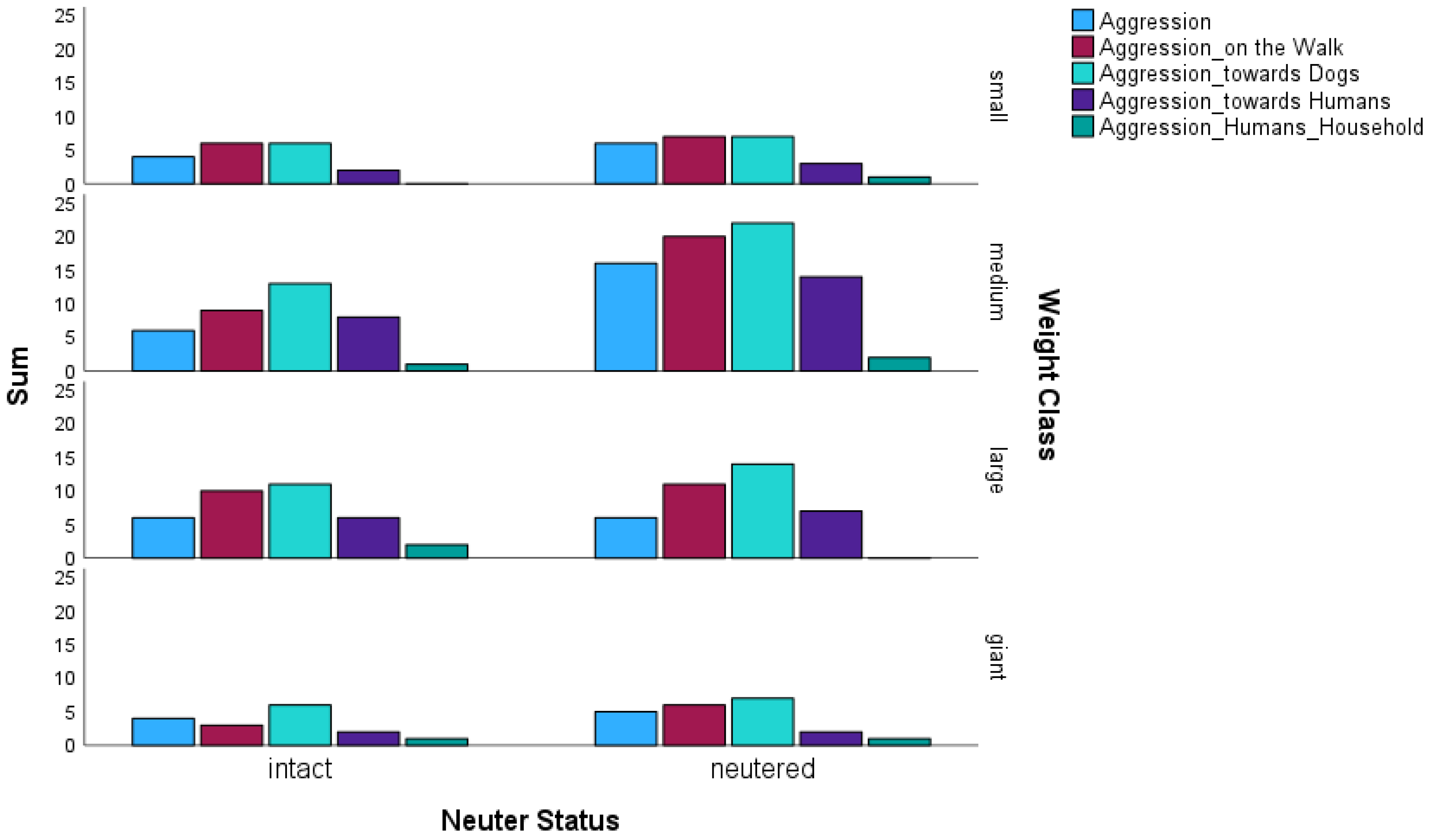
3. Results
4. Discussion
4.1. Stress-Indicating Behaviour
4.2. Nervous/Hyperactive Behaviour
4.3. Aggressive Behaviour
4.4. BUDAPEST Questionnaire
4.5. Limitations
5. Conclusions
Supplementary Materials
Author Contributions
Funding
Institutional Review Board Statement
Informed Consent Statement
Data Availability Statement
Acknowledgments
Conflicts of Interest
References
- Niepel, G. Kastration beim Hund: Chancen und Risiken-eine Entscheidungshilfe; Kosmos: Stuttgart, Germany, 2007. [Google Scholar]
- Kriese, M.; Kuźniewska, E.; Gugołek, A.; Strychalski, J. Reasons for and behavioral consequences of male dog castration: A questionnaire study in Poland. Animals 2022, 12, 1883. [Google Scholar] [CrossRef] [PubMed]
- Warnes, C. An update on the risks and benefits of neutering in dogs. Vet. Nurse 2018, 9, 150–155. [Google Scholar] [CrossRef]
- Hart, L.A.; Hart, B.L. An ancient practice but a new paradigm: Personal choice for the age to spay or neuter a dog. Front. Vet. Sci. 2021, 8, 603257. [Google Scholar] [CrossRef]
- Kaufmann, C.A.; Forndran, S.; Stauber, C.; Woerner, K.; Gansloßer, U. The social behaviour of neutered male dogs compared to intact dogs (Canis lupus familiaris): Video analyses, questionnaires and case studies. Vet. Med. Open J. 2017, 2, 22–37. [Google Scholar] [CrossRef]
- Lorenz, K.P.; Kolkmeyer, C.A.; Gansloßer, U. Comparison of the social behaviour of intact and neutered female domestic dogs (Canis lupus familiaris): Questionnaires and case studies. J. Dairy Vet. Sci. 2019, 12, 1–4. [Google Scholar] [CrossRef]
- Farhoody, P.; Zink, C. Behavioral and Physical Effects of Spaying and Neutering Domestic Dogs (Canis familiaris). Master’s Thesis, Hunter College, New York, NY, USA, 2010. [Google Scholar]
- Henry, J.P.; Stephens, P.M. Stress, Health, and the Social Environment: A Sociobiologic Approach to Medicine, 1st ed.; Springer: New York, NY, USA, 1977. [Google Scholar] [CrossRef]
- Hart, B.; Hart, L.; Thigpen, A.; Willits, N. Assisting decision-making on age of neutering for 35 breeds of dogs: Associated joint disorders, cancers, and urinary incontinence. Front. Vet. Sci. 2020, 7, 388. [Google Scholar] [CrossRef] [PubMed]
- Kolkmeyer, C.; Schmitz, J.; Gansloßer, U. Behavioral correlates of neutering male dogs—A question of breed. J. Vet. Sci. Med. 2021, 9, 6. [Google Scholar]
- Reichler, I. Gesundheitliche Vor- und Nachteile der Kastration von Hündinnen und Rüden. Schweiz. Arch. Für Tierheilkd. 2010, 152, 267–272. [Google Scholar] [CrossRef]
- Zink, M.C.; Farhoody, P.; Elser, S.E.; Ruffini, L.D.; Gibbons, T.A.; Rieger, R.H. Evaluation of the risk and age of onset of cancer and behavioral disorders in gonadectomised Vizslas. J. Am. Vet. Med. Assoc. 2014, 244, 309–319. [Google Scholar] [CrossRef]
- Parker, H.G.; Dreger, D.L.; Rimbault, M.; Davis, B.W.; Mullen, A.B.; Carpintero-Ramirez, G.; Ostrander, E.A. Genomic analyses reveal the influence of geographic origin, migration, and hybridization on modern dog breed development. Cell Rep. 2017, 19, 697–708. [Google Scholar] [CrossRef] [PubMed]
- Hart, B.; Hart, L.; Thigpen, A.; Willits, N. Long-term health effects of neutering dogs: Comparison of Labrador Retrievers with Golden Retrievers. PLoS ONE 2014, 9, e102241. [Google Scholar] [CrossRef]
- Balogh, O.; Borruat, N.; Meier, A.; Hartnack, S.; Reichler, I.M. The influence of spaying and its timing relative to the onset of puberty on urinary and general behaviour in labrador retrievers. Reprod. Domest. Anim. 2018, 53, 1184–1190. [Google Scholar] [CrossRef]
- Kis, A.; Ciobica, A.; Topál, J. The effect of oxytocin on human-directed social behaviour in dogs (Canis familiaris). Horm. Behav. 2017, 94, 40–52. [Google Scholar] [CrossRef]
- Calcagnoli, F.; Meyer, N.; de Boer, S.F.; Althaus, M.; Koolhaas, J.M. Chronic enhancement of brain oxytocin levels causes enduring anti-aggressive and pro-social explorative behavioral effects in male rats. Horm. Behav. 2014, 65, 427–433. [Google Scholar] [CrossRef]
- Takayanagi, Y.; Yoshida, M.; Bielsky, I.F.; Ross, H.E.; Kawamata, M.; Onaka, T.; Yanagisawa, T.; Kimura, T.; Matzuk, M.M.; Young, L.J.; et al. Pervasive social deficits, but normal parturition, in oxytocin receptor-deficient mice. Proc. Natl. Acad. Sci. USA 2005, 102, 16096–16101. [Google Scholar] [CrossRef]
- Flint, H.E.; Coe, J.B.; Serpell, J.A.; Pearl, D.L.; Niel, L. Risk factors associated with stranger-directed aggression in domestic dogs. Appl. Anim. Behav. Sci. 2017, 197, 45–54. [Google Scholar] [CrossRef]
- Guy, N.C.; Luescher, U.A.; Dohoo, S.E.; Spangler, E.; Miller, J.B.; Dohoo, I.R.; Bate, L.A. A case series of biting dogs: Characteristics of the dogs, their behaviour, and their victims. Appl. Anim. Behav. Sci. 2001, 74, 43–57. [Google Scholar] [CrossRef]
- Hopkins, S.G.; Schubert, T.A.; Hart, B.L. Castration of adult male dogs: Effects on roaming, aggression, urine marking, and mounting. J. Am. Vet. Med. Assoc. (JAVMA) 1976, 168, 1108–1110. [Google Scholar] [CrossRef]
- Hsu, Y.; Sun, L. Factors associated with aggressive responses in pet dogs. Appl. Anim. Behav. Sci. 2010, 123, 108–123. [Google Scholar] [CrossRef]
- Jacobs, J.A.; Coe, J.B.; Pearl, F.D.L.; Widowski, T.M.; Niel, L. Factors associated with canine resource guarding behaviour in the presence of dogs: A cross-sectional survey of dog owners. Prev. Vet. Med. 2018, 161, 134–142. [Google Scholar] [CrossRef] [PubMed]
- Ferris, C. Role of vasopressin in aggressive and dominant/subordinate behaviors. Ann. N. Y. Acad. Sci. 1992, 652, 212–226. [Google Scholar] [CrossRef]
- Asa, C.; Valdespino, C. Canid reproductive biology: An integration of proximate mechanisms and ultimate causes. Am. Zool. 1998, 38, 251–259. [Google Scholar] [CrossRef]
- Archer, J. Sex differences in aggression in real-world settings: A meta-analytic review. Rev. Gen. Psychol. 2004, 8, 291–322. [Google Scholar] [CrossRef]
- Blackshaw, J.K. An overview of types of aggressive behaviour in dogs and methods of treatment. Appl. Anim. Behav. Sci. 1991, 30, 351–361. [Google Scholar] [CrossRef]
- Borchelt, P.L. Aggressive behaviour of dogs kept as companion animals: Classification and influence of sex, reproductive status and breed. Appl. Anim. Ethol. 1983, 10, 45–61. [Google Scholar] [CrossRef]
- Galac, S.; Knol, B.W. Fear-motivated aggression in dogs: Patient characteristics. Anim. Welf. 1997, 6, 9–15. [Google Scholar] [CrossRef]
- Knol, B.W.; Egberink-Alink, S.T. Treatment of problem behaviour in dogs and cats by castration and progestagen administration: A review. Vet. Q. 1989, 11, 102–107. [Google Scholar] [CrossRef]
- Quandt, C. Kastration als Lösung von Verhaltensproblemen beim Rüden? Deutscher Retriever Club e. V.: Guxhagen, Germany, 1998; Available online: https://drc.de/gesundheit/kastration (accessed on 14 May 2024).
- Salavati, S.; Mogheiseh, A.; Nazifi, S.; Shojaee Tabrizi, A.; Taheri, P.; Koohi, F. Changes in sexual hormones, serotonin, and cortisol concentrations following oral administration of melatonin in castrated and intact dogs. J. Vet. Behav. 2018, 27, 27–34. [Google Scholar] [CrossRef]
- Bielsky, I.F.; Young, L.J. Oxytocin, vasopressin, and social recognition in mammals. Peptides 2004, 25, 1565–1574. [Google Scholar] [CrossRef]
- MacLean, E.L.; Gesquiere, L.R.; Gruen, M.E.; Sherman, B.L.; Martin, W.L.; Carter, C.S. Endogenous oxytocin, vasopressin, and aggression in domestic dogs. Front. Psychol. 2017, 8, 1613. [Google Scholar] [CrossRef]
- Podberscek, A.L.; Serpell, J.A. Environmental influences on the expression of aggressive behaviour in English Cocker Spaniels. Appl. Anim. Behav. Sci. 1997, 52, 215–227. [Google Scholar] [CrossRef]
- McGreevy, P.D.; Georgevsky, D.; Carrasco, J.; Valenzuela, M.; Duffy, D.L.; Serpell, J.A. Dog behavior co-varies with height, bodyweight and skull shape. PLoS ONE 2013, 8, e80529. [Google Scholar] [CrossRef] [PubMed]
- Ley, J.M.; Bennett, P.C.; Coleman, G.J. A refinement and validation of the Monash Canine Personality Questionnaire (MCPQ). Appl. Anim. Behav. Sci. 2009, 116, 220–227. [Google Scholar] [CrossRef]
- Mikkola, S.; Salonen, M.; Puurunen, J.; Hakanen, E.; Sulkama, S.; Araujo, C.; Lohi, H. Aggressive behaviour is affected by demographic, environmental and behavioural factors in purebred dogs. Sci. Rep. 2021, 11, 9433. [Google Scholar] [CrossRef] [PubMed]
- Arhant, C.; Bubna-Littitz, H.; Bartels, A.; Futschik, A.; Troxler, J. Behaviour of smaller and larger dogs: Effects of training methods, inconsistency of owner behaviour and level of engagement in activities with the dog. Appl. Anim. Behav. Sci. 2010, 123, 131–142. [Google Scholar] [CrossRef]
- Martínez, Á.G.; Santamarina Pernas, G.; Diéguez Casalta, F.J.; Suárez Rey, M.L.; De la Cruz Palomino, L.F. Risk factors associated with behavioral problems in dogs. J. Vet. Behav. 2011, 6, 225–231. [Google Scholar] [CrossRef]
- Bennett, P.C.; Rohlf, V.I. Owner-companion dog interactions: Relationships between demographic variables, potentially problematic behaviours, training engagement and shared activities. Appl. Anim. Behav. Sci. 2007, 102, 65–84. [Google Scholar] [CrossRef]
- Khoshnegah, J.; Azizzadeh, M.; Gharaie, A.M. Risk factors for the development of behavior problems in a population of Iranian domestic dogs: Results of a pilot survey. Appl. Anim. Behav. Sci. 2011, 131, 123–130. [Google Scholar] [CrossRef]
- Horschler, D.J.; Hare, B.; Call, J.; Kaminski, J.; Miklósi, Á.; MacLean, E.L. Absolute brain size predicts dog breed differences in executive function. Anim. Cogn. 2019, 22, 187–198. [Google Scholar] [CrossRef]
- Tiira, K.; Sulkama, S.; Lohi, H. Prevalence, comorbidity, and behavioral variation in canine anxiety. J. Vet. Behav. 2016, 16, 36–44. [Google Scholar] [CrossRef]
- Salonen, M.; Sulkama, S.; Mikkola, S.; Puurunen, J.; Hakanen, E.; Tiira, K.; Araujo, C.; Lohi, H. Prevalence, comorbidity, and breed differences in canine anxiety in 13,700 Finnish pet dogs. Sci. Rep. 2020, 10, 2962. [Google Scholar] [CrossRef]
- Duffy, D.L.; Hsu, Y.; Serpell, J.A. Breed differences in canine aggression. Appl. Anim. Behav. Sci. 2008, 114, 441–460. [Google Scholar] [CrossRef]
- Kolkmeyer, C.; Baum, J.; Warlich-Zach, N.; Gansloßer, U. From “Husky” to “Bulldog”–behavioural correlates between castration and breed groups in the domestic dog (Canis lupus familiaris). BMC Vet. Res. 2024, 20, 238. [Google Scholar] [CrossRef] [PubMed]
- American Veterinary Medical Association (AVMA). US Pet Keepership and Demographics Sourcebook; American Veterinary Medical Association: Schaumburg, IL, USA, 2012. [Google Scholar]
- Verband für das Deutsche Hundewesen (VDH). Geschäftsbericht zum Jahr 2012. 2012. Available online: http://www.vdh.de/tl_files/media/pdf/VDH_Geschaeftsbericht_2012.pdf (accessed on 14 May 2024).
- People’s Dispensary for Sick Animals (PDSA). Animal Wellbeing Report 2013: The State of Our Pet Nation. 2013. Available online: http://www.statista.com/statistics/299516/dog-keepers-in-the-united-kingdom-uk-by-breed/ (accessed on 14 May 2024).
- Animal Health Alliance of Australia. Pet Keepership in Australia 2013; Animal Health Alliance of Australia: Canberra, Australia, 2013; Available online: https://animalmedicinesaustralia.org.au/wp-content/uploads/2019/10/AMA-Pet-Ownership-in-Australia-5-AUGUST-2013.pdf (accessed on 14 May 2024).
- Kubinyi, E.; Turcsán, B.; Miklósi, Á. Dog and keeper demographic characteristics and dog personality trait associations. Behav. Process. 2009, 81, 392–401. [Google Scholar] [CrossRef] [PubMed]
- Turcsán, B.; Miklósi, Á.; Kubinyi, E. Owner perceived differences between mixed-breed and purebred dogs. PLoS ONE 2017, 12, e0172720. [Google Scholar] [CrossRef]
- Houlihan, K.E. A literature review on the welfare implications of gonadectomy of dogs. J. Am. Vet. Med. Assoc. 2017, 250, 1155–1166. [Google Scholar] [CrossRef]
- Waters, D.J.; Kengeri, S.S.; Clever, B.; Booth, J.A.; Maras, A.H.; Schlittler, D.L.; Hayek, M.G. Exploring mechanisms of sex differences in longevity: Lifetime ovary exposure and exceptional longevity in dogs. Aging Cell 2009, 8, 752–755. [Google Scholar] [CrossRef]
- Morrill, K.; Hekman, J.; Li, X.; McClure, J.; Logan, B.; Goodman, L.; Gao, M.; Dong, Y.; Alonso, M.; Carmichael, E.; et al. Ancestry-inclusive dog genomics challenges popular breed stereotypes. Science 2022, 376, eabk0639. [Google Scholar] [CrossRef] [PubMed]
- Stone, H.R.; McGreevy, P.D.; Starling, M.J.; Forkman, B. Associations between domestic-dog morphology and behaviour scores in the Dog Mentality Assessment. PLoS ONE 2016, 11, e0149403. [Google Scholar] [CrossRef] [PubMed]
- Koski, S. Broader horizons for animal personality research. Front. Ecol. Evol. 2014, 2, 70. [Google Scholar] [CrossRef]
- Ley, J.; Bennett, P.C. Personality dimensions that emerge in companion canines. Appl. Anim. Behav. Sci. 2008, 110, 305–317. [Google Scholar] [CrossRef]
- Scandurra, A.; Alterisio, A.; Di Cosmo, A.; D’Ambrosio, A.; D’aniello, B. Ovariectomy impairs socio-cognitive functions in dogs. Animals 2019, 9, 58. [Google Scholar] [CrossRef]
- Turcsán, B.; Kubinyi, E.; Miklósi, Á. Trainability and boldness traits differ between dog breed clusters based on conventional breed categories and genetic relatedness. Appl. Anim. Behav. Sci. 2011, 132, 61–70. [Google Scholar] [CrossRef]
- Hoppe, N.; Bininda-Emonds, O.R.P.; Gansloßer, U. Correlates of attention deficit hyperactivity disorder (ADHD)-like behavior in domestic dogs: First results from a questionnaire-based study. Vet. Med. Open J. 2017, 2, 95–131. [Google Scholar] [CrossRef]
- Taborsky, B.; English, S.; Fawcett, T.W.; Kuijper, B.; Leimar, O.; McNamara, J.M.; Ruuskanen, S.; Sandi, C. Towards an evolutionary theory of stress responses. Trends Ecol. Evol. 2021, 36, 39–48. [Google Scholar] [CrossRef]
- Baranyiová, E.; Holub, A.; Tyrlík, M. Body size and behaviour traits of dogs in Czech households. Acta Vet. Brno 2009, 78, 107–114. [Google Scholar] [CrossRef]
- Mila, H. Neonatal Period in the Dog: Immunological and Nutritional Determinantsfor Survival; Université de Toulouse: Toulouse, France, 2015; 167p, Available online: https://oatao.univ-toulouse.fr/15972/1/Mila.pdf (accessed on 23 May 2023).
- Turcsán, B.; Kubinyi, E. Differential behavioral aging trajectories according to body size, expected lifespan, and head shape in dogs. GeroScience 2023, 46, 1731–1754. [Google Scholar] [CrossRef] [PubMed]
- Funder, D.C.; Ozer, D.J. Evaluating effect size in psychological research: Sense and nonsense. Adv. Methods Pract. Psychol. Sci. 2019, 2, 156–168. [Google Scholar] [CrossRef]
- Kearney, M.W. Cramer’s V. The Sage Encyclopedia of Communication Research Methods; Allen, M.R., Ed.; SAGE: Thousand Oaks, CA, USA, 2017. [Google Scholar] [CrossRef]
- Chen, H.; Cohen, P.; Chen, S. How big is a big odds ratio? Interpreting the magnitudes of odds ratios in epidemiological studies. Commun. Stat.—Simul. Comput. 2010, 39, 860–864. [Google Scholar] [CrossRef]
- Cohen, J. Statistical Power Analysis for the Behavioral Sciences, 2nd ed.; Routledge: New York, NY, USA, 1988. [Google Scholar] [CrossRef]
- Rosner, W. The function of corticosteroid-binding globulin and sex hormone-binding globulin: Recent advances. Endocr. Rev. 1990, 11, 80–91. [Google Scholar] [CrossRef] [PubMed]
- Palestrini, C.; Calcaterra, V.; Cannas, S.; Talamonti, Z.; Papotti, F.; Buttram, D.; Pelizzo, G. Stress level evaluation in a dog during animal-assisted therapy in pediatric surgery. J. Vet. Behav. 2017, 17, 44–49. [Google Scholar] [CrossRef]
- Lavretsky, H.; Newhouse, P.A. Stress, inflammation, and aging. Am. J. Geriatr. Psychiatry 2012, 20, 729–733. [Google Scholar] [CrossRef] [PubMed] [PubMed Central]
- Lupien, S.; Lecours, A.; Lussier, I.; Schwartz, G.; Nair, N.; Meaney, M. Basal cortisol levels and cognitive deficits in human aging. J. Neurosci. 1994, 14, 2893–2903. [Google Scholar] [CrossRef]
- Sandri, M.; Colussi, A.; Perrotta, M.G.; Stefanon, B. Salivary cortisol concentration in healthy dogs is affected by size, sex, and housing context. J. Vet. Behav. 2015, 10, 302–306. [Google Scholar] [CrossRef]
- Dinwoodie, I.R.; Zottola, V.; Dodman, N.H. An investigation into the effectiveness of various professionals and behavior modification programs, with or without medication, for the treatment of canine aggression. J. Vet. Behav. 2021, 43, 46–53. [Google Scholar] [CrossRef]
- Flannigan, G.; Dodman, N.H. Risk factors and behaviors associated with separation anxiety in dogs. J. Am. Vet. Med. Assoc. 2001, 219, 460–466. [Google Scholar] [CrossRef]
- Sargisson, R. Canine separation anxiety: Strategies for treatment and management. Vet. Med. Res. Rep. 2014, 5, 143–151. [Google Scholar] [CrossRef][Green Version]
- Sherman, B.L.; Mills, D.S. Canine anxieties and phobias: An update on separation anxiety and noise aversions. Vet. Clin. North Am. Small Anim. Pract. 2008, 38, 1081–1106. [Google Scholar] [CrossRef] [PubMed]
- Storengen, L.M.; Boge, S.C.K.; Strøm, S.J.; Løberg, G.; Lingaas, F. A descriptive study of 215 dogs diagnosed with separation anxiety. Appl. Anim. Behav. Sci. 2014, 159, 82–89. [Google Scholar] [CrossRef]
- Silbermann, J.; Gansloßer, U. Factors Influencing Isolation Behavior of Dogs: A Holder-Based Questionnaire and Behavioral and Saliva Cortisol Responses during Separation. Animals 2023, 13, 3735. [Google Scholar] [CrossRef]
- Pastore, C.; Pirrone, F.; Balzarotti, F.; Faustini, M.; Pierantoni, L.; Albertini, M. Evaluation of physiological and behavioral stress-dependent parameters in agility dogs. J. Vet. Behav. Clin. Appl. Res. 2011, 6, 188–194. [Google Scholar] [CrossRef]
- Luescher, A.U.; Medlock, R.T. The effects of training and environmental alterations on adoption success of shelter dogs. Appl. Anim. Behav. Sci. 2009, 117, 63–68. [Google Scholar] [CrossRef]
- Salman, M.D.; New, J.C.; Scarlett, J.M.; Kass, P.H.; Hetts, S.; Ruch-Gallie, R. Human and animal factors related to the relinquishment of dogs and cats in 12 selected animal shelters in the USA. J. Appl. Anim. Welf. Sci. 1998, 1, 207–226. [Google Scholar] [CrossRef] [PubMed]
- Norman, C.; Stavisky, J.; Westgarth, C. Importing rescue dogs into the UK: Reasons, methods and welfare considerations. Vet. Rec. 2020, 186, 248. [Google Scholar] [CrossRef]
- Tuber, D.S.; Miller, D.D.; Caris, K.A.; Halter, R.; Linden, F.; Hennessy, M.B. Dogs in animal shelters: Problems, suggestions, and needed expertise. Psychol. Sci. 1999, 10, 379–386. [Google Scholar] [CrossRef]
- De Palma, C.; Viggiano, E.; Barillari, E.; Palme, R.; Dufour, A.B.; Fantini, C. Evaluating the temperament in shelter dogs. Behaviour 2005, 142, 1307–1328. [Google Scholar] [CrossRef]
- Ottenheimer-Carrier, L.; Ricketts, C.J.; Perry, E.A.; Anderson, R.E.; Walsh, C.J. Keeper-reported personality assessments are associated with breed groups, but not with oxytocin receptor gene polymorphisms in domestic dogs (Canis familiaris). J. Vet. Behav. 2017, 18, 62–68. [Google Scholar] [CrossRef]
- Hennessy, M.B.; Davis, H.N.; Williams, M.T.; Mellott, C.; Douglas, C.W. Plasma cortisol levels of dogs at a county animal shelter. Physiol. Behav. 1997, 62, 485–490. [Google Scholar] [CrossRef]
- Wells, D.L.; Hepper, P.G. Prevalence of behaviour problems reported by keepers of dogs purchased from an animal rescue shelter. Appl. Anim. Behav. Sci. 2000, 69, 55–65. [Google Scholar] [CrossRef]
- Sulkama, S.; Puurunen, J.; Salonen, M.; Mikkola, S.; Hakanen, E.; Araujo, C.; Lohi, H. Canine hyperactivity, impulsivity, and inattention share similar demographic risk factors and behavioural comorbidities with human ADHD. Transl. Psychiatry 2021, 11, 501. [Google Scholar] [CrossRef]
- Coren, S. Why Does My Dog Act That Way? A Complete Guide to Your Dog’s Personality; Free Press: New York, NY, USA, 2006. [Google Scholar]
- Pongrácz, P.; Lenkei, R.; Marx, A.; Faragó, T. Should I whine or should I bark? Qualitative and quantitative differences between the vocalizations of dogs with and without separation-related symptoms. Appl. Anim. Behav. Sci. 2017, 196, 61–68. [Google Scholar] [CrossRef]
- Feddersen-Petersen, D.U. Ausdrucksverhalten beim Hund; Kosmos: Stuttgart, Germany, 2008. [Google Scholar]
- Berthoud, D. Communication through Scents: Environmental Factors Affecting the Urine Marking Behavior of the Domestic Dog, Canis familiaris, Kept as a Pet. Ph.D. Thesis, Anglia Ruskin University, Cambridge, UK, 2010. [Google Scholar]
- Tribollet, E.; Audigier, S.; Dubois-Dauphin, M.; Dreifuss, J.J. Gonadal steroids regulate oxytocin receptors but not vasopressin receptors in the brain of male and female rats: An autoradiographical study. Brain Res. 1990, 511, 129–140. [Google Scholar] [CrossRef]
- Reisner, I.R.; Mann, J.J.; Stanley, M.; Huang, Y.Y.; Houpt, K.A. Comparison of cerebrospinal fluid monoamine metabolite levels in dominant-aggressive and non-aggressive dogs. Brain Res. 1996, 714, 57–64. [Google Scholar] [CrossRef] [PubMed]
- Rosado, B.; García-Belenguer, S.; Leon, M.; Chacón, G.; Villegas, A.; Palacio, J. Blood concentrations of serotonin, cortisol and dehydroepiandrosterone in aggressive dogs. Appl. Anim. Behav. Sci. 2010, 123, 124–130. [Google Scholar] [CrossRef]
- Leon, M.; Rosado, B.; Garcia, S. Assessment of serotonin in serum, plasma and platelets of aggressive dogs. J. Vet. Behav. Clin. Appl. Res. 2012, 7, 348–352. [Google Scholar] [CrossRef]
- Amat, M.; Le Brech, S.; Camps, T.; Torrente, C.; Mariotti, V.M.; Ruiz, J.L.; Manteca, X. Differences in serotonin serum concentration between aggressive English cocker spaniels and aggressive dogs of other breeds. J. Vet. Behav. Clin. Appl. Res. 2013, 8, 19–25. [Google Scholar] [CrossRef]
- Bamberger, M.; Houpt, K.A. Signalment factors, comorbidity, and trends in behavior diagnoses in dogs: 1644 cases (1991-2001). J. Am. Vet. Med. Assoc. 2006, 229, 1591–1601. [Google Scholar] [CrossRef] [PubMed]
- Reisner, I.R.; Shofer, F.S.; Nance, M.L. Behavioral assessment of child-directed canine aggression. Inj. Prev. 2007, 13, 348–351. [Google Scholar] [CrossRef] [PubMed]
- Casey, R.A.; Loftus, B.; Bolster, C.; Richards, G.J.; Blackwell, E.J. Human directed aggression in domestic dogs (Canis familiaris): Occurrence in different contexts and risk factors. Appl. Anim. Behav. Sci. 2014, 152, 52–63. [Google Scholar] [CrossRef]
- Matos, R.E.; Jakuba, T.; Mino, I.; Fejsakova, M.; Demeova, A.; Kottferova, J. Characteristics and risk factors of dog aggression in the Slovak Republic. Vet. Med. 2015, 60, 432–445. [Google Scholar] [CrossRef]
- Hecht, E.E.; Zapata, I.; Alvarez, C.E.; Gutman, D.A.; Preuss, T.M.; Kent, M.; Serpell, J.A. Neurodevelopmental scaling is a major driver of brain-behavior differences in temperament across dog breeds. Brain Struct. Funct. 2021, 226, 2725–2739. [Google Scholar] [CrossRef]
- Höglin, A.; Van Poucke, E.; Katajamaa, R.; Jensen, P.; Theodorsson, E.; Roth, L.S.V. Long-term stress in dogs is related to the human–dog relationship and personality traits. Sci. Rep. 2021, 11, 8612. [Google Scholar] [CrossRef]
- Goodwin, D.; Bradshaw, J.W.S.; Wickens, S.M. Paedomorphosis affects agonistic visual signals of domestic dogs. Anim. Behav. 1997, 53, 297–304. [Google Scholar] [CrossRef]
- Lord, K. A Heterochronic Explanation for the Behaviorally Polymorphic Genus Canis: A Study of the Development of Behavioral Differences in Dogs (Canis lupus familiaris) and Wolves (Canis lupus lupus). Ph.D. Thesis, Umass Amherst, Amherst, MA, USA, 2010. Paper AAI3409623. [Google Scholar]
- McGreevy, P.D.; Masters, A.M. Risk factors for separation-related distress and feed-related aggression in dogs: Additional findings from a survey of Australian dog owners. Appl. Anim. Behav. Sci. 2008, 109, 320–328. [Google Scholar] [CrossRef]
- Pérez-Guisado, J.; Muñoz-Serrano, A. Factors linked to dominance aggression in dogs. J. Anim. Vet. Adv. 2009, 8, 336–342. [Google Scholar]
- Luescher, A.U.; Reisner, I.L. Canine aggression toward familiar people: A new look at an old problem. Vet. Clin. North Am. Small Anim. Pract. 2008, 38, 1107–1130. [Google Scholar] [CrossRef] [PubMed]
- Dzik, M.V.; Cavalli, C.M.; Barrera, G.; Bentosela, M. Oxytocin effects on gazing at the human face in retriever dogs. Behav. Process. 2020, 178, 104160. [Google Scholar] [CrossRef]
- Hart, B.; Eckstein, R. The role of gonadal hormones in the occurrence of objectionable behaviors in dogs and cats. Appl. Anim. Behav. Sci. 1997, 52, 331–344. [Google Scholar] [CrossRef]
- Salmeri, K.R.; Bloomberg, M.S.; Scruggs, S.L.; Shille, V. Gonadectomy in immature dogs: Effects on skeletal, physical, and behavioral development. J. Am. Vet. Med. Assoc. 1991, 198, 1193–1203. [Google Scholar] [CrossRef]
- Torres de la Riva, G.; Hart, B.L.; Farver, T.B.; Oberbauer, A.M.; Messam, L.L.M.; Willits, N.; Hart, L.A. Neutering dogs: Effects on joint disorders and cancers in golden retrievers. PLoS ONE 2013, 8, e55937. [Google Scholar] [CrossRef]
- Howe, L.M.; Slater, M.R.; Boothe, H.W.; Hobson, H.P.; Holcom, J.L.; Spann, A.C. Long-term outcome of gonadectomy performed at an early age or traditional age in dogs. J. Am. Vet. Med. Assoc. 2001, 218, 217–221. [Google Scholar] [CrossRef]
- Serpell, J.; Hsu, Y. Effects of breed, sex, and neuter status on trainability in dogs. Anthrozoös Multidiscip. J. Interact. People Anim. 2005, 18, 196–207. [Google Scholar] [CrossRef]
- Austad, S.N. Animal size metabolic rate and survival among and within species. In The Comparative Biology of Aging; Wolf, N.S., Ed.; Springer: Dordrecht, The Netherlands, 2010; pp. 27–41. [Google Scholar] [CrossRef]
- Jimenez, A.G. The physiological conundrum that is the domestic dog. Integr. Comp. Biol. 2021, 61, 140–153. [Google Scholar] [CrossRef] [PubMed]
- Hawthorne, A.J.; Booles, D.; Nugent, P.A.; Gettinby, G.; Wilkinson, J. Body-weight changes during growth in puppies of different breeds. J. Nutr. 2004, 134, 2027S–2030S. [Google Scholar] [CrossRef] [PubMed]
- Kraus, C.; Pavard, S.; Promislow, D.E.L. The size–life span trade-off decomposed: Why large dogs die young. Am. Nat. 2013, 181, 492–505. [Google Scholar] [CrossRef] [PubMed]





| Stress | Nervousness | Aggression | Budapest Questionnaire |
|---|---|---|---|
| uncertainty | licking/scratching | aggression in general | emotional stability |
| noises | seems absent | on the walk | trainability |
| dogs | never getting tired | towards dogs | extraversion |
| humans | restlessness | humans | sociability with dogs |
| panting | unreasonably nervous | humans of the same household | |
| stereotypic behaviour | |||
| other |
| Weight Class | Neutered | Intact | Total |
|---|---|---|---|
| S (<10 kg) | 21 | 22 | 43 |
| M (10–20 kg) | 39 | 38 | 77 |
| L (>20–30 kg) | 42 | 37 | 79 |
| XL (>30 kg) | 13 | 18 | 31 |
| Total | 115 | 115 | 230 |
| p-Value (Both Effects) | p-Value (Neuter Status) | p-Value (Weight Class) | Cramer’s V (Both) | Exp(B) (Neuter Status) | Exp(B) (Weight) | |
|---|---|---|---|---|---|---|
| Stress/Insecurity | 0.001 | <0.001 | n.s. | 0.24 | 0.38 | 1.14 |
| Stress (else) | 0.05 | n.s. | 0.05 | 0.16 | 0.68 | 1.32 |
| Hyperaktivity | 0.07 | n.s. | 0.1 | 0.15 | 0.56 | 1.39 |
| Nervousness | 0.04 | 0.02 | n.s. | 0.17 | 0.53 | 1.16 |
| Trembling | 0.07 | n.s. | 0.06 | 0.15 | 0.69 | 1.35 |
| Panting | 0.08 | n.s. | 0.07 | 0.15 | 0.67 | 0.75 |
| Licking/scratching | n.s. | n.s. | 0.05 | 0.14 | 0.81 | 1.38 |
| Barking/whining | 0.08 | n.s. | n.s. | 0.15 | 1.49 | 1.28 |
| Aggression | n.s. | 0.04 | n.s. | 0.14 | 0.52 | 1.07 |
| Aggression on the walk | 0.06 | 0.02 | n.s. | 0.16 | 0.52 | 1.09 |
| Aggression towards other dogs | n.s. | 0.06 | n.s. | 0.13 | 0.59 | 0.97 |
| p-Value (Both Effects) | p-Value (Neuter Status) | p-Value (Weight Class) | Cramer’s V (Both) | Exp(B) (Neuter Status) | Exp(B) (Weight Class) | |
|---|---|---|---|---|---|---|
| Emotional Stability | 0.027 | n.s. | 0.15 | 0.6 | 0.97 | |
| Trainability | <0.001 | <0.001 | 0.024 | 0.28 | 0.43 | 0.7 |
| Sociability | <0.001 | <0.001 | n.s. | 0.28 | 0.36 | 1.05 |
| Extraversion | 0.083 | 0.039 | n.s. | 0.14 | 0.62 | 1.11 |
Disclaimer/Publisher’s Note: The statements, opinions and data contained in all publications are solely those of the individual author(s) and contributor(s) and not of MDPI and/or the editor(s). MDPI and/or the editor(s) disclaim responsibility for any injury to people or property resulting from any ideas, methods, instructions or products referred to in the content. |
© 2024 by the authors. Licensee MDPI, Basel, Switzerland. This article is an open access article distributed under the terms and conditions of the Creative Commons Attribution (CC BY) license (https://creativecommons.org/licenses/by/4.0/).
Share and Cite
Kolkmeyer, C.A.; Zambrano Cardona, A.M.; Gansloßer, U. Personality Unleashed: Surveying Correlation of Neuter Status and Social Behaviour in Mixed-Breed Male Dogs across Weight Classes. Animals 2024, 14, 2445. https://doi.org/10.3390/ani14162445
Kolkmeyer CA, Zambrano Cardona AM, Gansloßer U. Personality Unleashed: Surveying Correlation of Neuter Status and Social Behaviour in Mixed-Breed Male Dogs across Weight Classes. Animals. 2024; 14(16):2445. https://doi.org/10.3390/ani14162445
Chicago/Turabian StyleKolkmeyer, Carina A., Ana M. Zambrano Cardona, and Udo Gansloßer. 2024. "Personality Unleashed: Surveying Correlation of Neuter Status and Social Behaviour in Mixed-Breed Male Dogs across Weight Classes" Animals 14, no. 16: 2445. https://doi.org/10.3390/ani14162445
APA StyleKolkmeyer, C. A., Zambrano Cardona, A. M., & Gansloßer, U. (2024). Personality Unleashed: Surveying Correlation of Neuter Status and Social Behaviour in Mixed-Breed Male Dogs across Weight Classes. Animals, 14(16), 2445. https://doi.org/10.3390/ani14162445
