Field Application of an Innovative Approach to Assess Honeybee Health and Nutritional Status
Abstract
Simple Summary
Abstract
1. Introduction
2. Materials and Methods
2.1. Experimental Design and Colony Management
2.2. Monitoring of Colony Performance
2.3. Varroa Detection
2.4. Bee Sampling
2.5. Nosema Detection
2.6. Hemolymph Sampling
2.7. Total Protein Determination
2.8. Protein Separation Using SDS-PAGE
2.9. Trace Element Determination Using Atomic Absorption Spectrometry
2.10. Statistical Analysis
3. Results and Discussion
3.1. Colony Performance
3.2. Nosema and Varroa
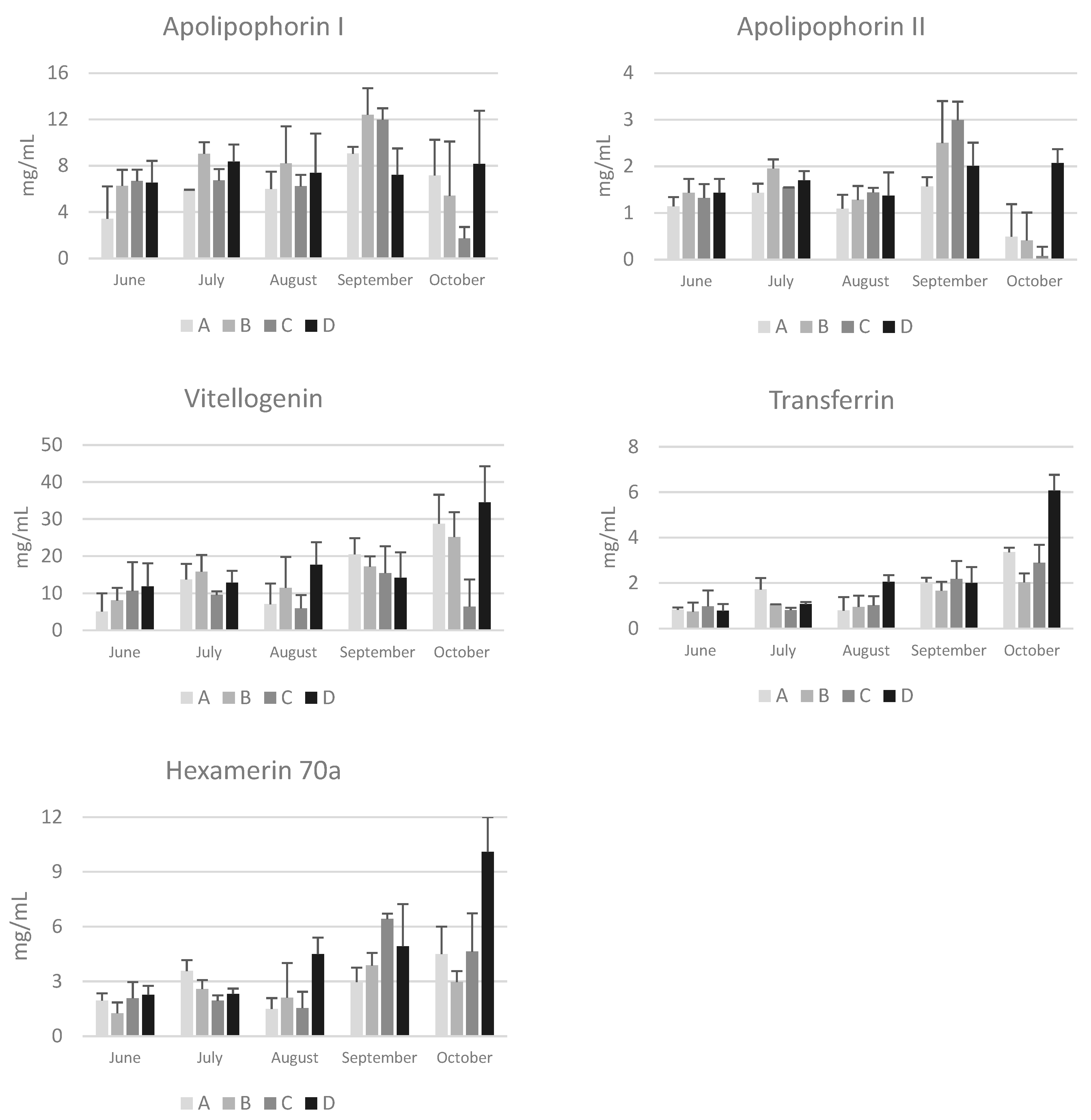
3.3. Hemolymph Proteins
3.4. Essential Trace Elements
3.5. Correlations between Biochemical and Functional Parameters and Parasites
4. Conclusions
Supplementary Materials
Author Contributions
Funding
Institutional Review Board Statement
Informed Consent Statement
Data Availability Statement
Acknowledgments
Conflicts of Interest
References
- Steinhauer, N.; Kulhanek, K.; Antúnez, K.; Human, H.; Chantawannakul, P.; Chauzat, M.-P.; Vanengelsdorp, D. Drivers of colony losses. Curr. Opin. Insect Sci. 2018, 26, 142–148. [Google Scholar] [CrossRef] [PubMed]
- Smart, M.; Pettis, J.; Rice, N.; Browning, Z.; Spivak, M. Linking Measures of Colony and Individual Honey Bee Health to Survival among Apiaries Exposed to Varying Agricultural Land Use. PLoS ONE 2016, 11, e0152685. [Google Scholar] [CrossRef] [PubMed]
- Kunc, M.; Dobeš, P.; Hurychová, J.; Vojtek, L.; Poiani, S.B.; Danihlík, J.; Havlík, J.; Titěra, D.; Hyršl, P. The Year of the Honey Bee (Apis mellifera L.) with Respect to Its Physiology and Immunity: A Search for Biochemical Markers of Longevity. Insects 2019, 10, 244. [Google Scholar] [CrossRef] [PubMed]
- Ptaszyńska, A.A.; Gancarz, M.; Hurd, P.J.; Borsuk, G.; Wiącek, D.; Nawrocka, A.; Strachecka, A.; Załuski, D.; Paleolog, J. Changes in the bioelement content of summer and winter western honeybees (Apis mellifera) induced by Nosema ceranae infection. PLoS ONE 2018, 13, e0200410. [Google Scholar] [CrossRef] [PubMed]
- Brodschneider, R.; Gray, A.; Adjlane, N.; Ballis, A.; Brusbardis, V.; Charrière, J.-D.; Chlebo, R.; Coffey, M.F.; Dahle, B.; de Graaf, D.C.; et al. Multi-country loss rates of honey bee colonies during winter 2016/2017 from the COLOSS survey. J. Apic. Res. 2018, 57, 452–457. [Google Scholar] [CrossRef]
- Antúnez, K.; Martín-Hernández, R.; Prieto, L.; Meana, A.; Zunino, P.; Higes, M. Immune suppression in the honey bee (Apis mellifera) following infection by Nosema ceranae (Microsporidia). Environ. Microbiol. 2009, 11, 2284–2290. [Google Scholar] [CrossRef] [PubMed]
- Costa, C.; Tanner, G.; Lodesani, M.; Maistrello, L.; Neumann, P. Negative correlation between Nosema ceranae spore loads and deformed wing virus infection levels in adult honey bee workers. J. Invertebr. Pathol. 2011, 108, 224–225. [Google Scholar] [CrossRef] [PubMed]
- Zheng, H.-Q.; Gong, H.-R.; Huang, S.-K.; Sohr, A.; Hu, F.-L.; Chen, Y.P. Evidence of the synergistic interaction of honey bee pathogens Nosema ceranae and Deformed wing virus. Vet. Microbiol. 2015, 177, 1–6. [Google Scholar] [CrossRef] [PubMed]
- Higes, M.; Martín-Hernández, R.; Garrido-Bailón, E.; González-Porto, A.V.; García-Palencia, P.; Meana, A.; del Nozal, M.J.; Mayo, R.; Bernal, J.L. Honeybee colony collapse due to Nosema ceranae in professional apiaries. Environ. Microbiol. Rep. 2009, 1, 110–113. [Google Scholar] [CrossRef] [PubMed]
- Botías, C.; Martín-Hernández, R.; Barrios, L.; Meana, A.; Higes, M. Nosema spp. infection and its negative effects on honey bees (Apis mellifera iberiensis) at the colony level. Vet. Res. 2013, 44, 25. [Google Scholar] [CrossRef]
- Higes, M.; Martín-Hernández, R.; Botías, C.; Bailón, E.G.; González-Porto, A.V.; Barrios, L.; del Nozal, M.J.; Bernal, J.L.; Jiménez, J.J.; Palencia, P.G.; et al. How natural infection by Nosema ceranae causes honeybee colony collapse. Environ. Microbiol. 2008, 10, 2659–2669. [Google Scholar] [CrossRef]
- Vanengelsdorp, D.; Evans, J.D.; Saegerman, C.; Mullin, C.; Haubruge, E.; Nguyen, B.K.; Frazier, M.; Frazier, J.; Cox-Foster, D.; Chen, Y.; et al. Colony collapse disorder: A descriptive study. PLoS ONE 2009, 4, e6481. [Google Scholar] [CrossRef]
- Isani, G.; Bellei, E.; Rudelli, C.; Cabbri, R.; Ferlizza, E.; Andreani, G. SDS-PAGE-Based Quantitative Assay of Hemolymph Proteins in Honeybees: Progress and Prospects for Field Application. Int. J. Mol. Sci. 2023, 24, 10216. [Google Scholar] [CrossRef]
- Delaplane, K.S.; van der Steen, J.; Guzman-Novoa, E. Standard methods for estimating strength parameters of Apis mellifera colonies. J. Apic. Res. 2013, 52, 1–12. [Google Scholar] [CrossRef]
- Marchetti, S. Il “Metodo dei Sesti”per la valutazione numerica degli adulti in famiglie di Apis mellifera L. Apicoltura 1985, 1, 41–61. [Google Scholar]
- Accorti, M. Valutazione numerica degli adulti di Apis mellifera L.: Variazioni e modifiche al metodo dei sesti. Apicoltura 1985, 1, 63–73. [Google Scholar]
- Ugolini, L.; Cilia, G.; Pagnotta, E.; Malaguti, L.; Capano, V.; Guerra, I.; Zavatta, L.; Albertazzi, S.; Matteo, R.; Lazzeri, L.; et al. Glucosinolate Bioactivation by Apis mellifera Workers and Its Impact on Nosema ceranae Infection at the Colony Level. Biomolecules 2021, 11, 1657. [Google Scholar] [CrossRef]
- Branco, M.R.; Kidd, N.A.C.; Pickard, R.S. A comparative evaluation of sampling methods for Varroa destructor (Acari: Varroidae) population estimation. Apidologie 2006, 37, 452–461. [Google Scholar] [CrossRef]
- Pirk, C.W.W.; de Miranda, J.R.; Kramer, M.; E Murray, T.; Nazzi, F.; Shutler, D.; van der Steen, J.J.M.; van Dooremalen, C. Statistical guidelines for Apis mellifera research. J. Apic. Res. 2013, 52, 1–24. [Google Scholar] [CrossRef]
- Andreani, G.; Ferlizza, E.; Cabbri, R.; Fabbri, M.; Bellei, E.; Isani, G. Essential (Mg, Fe, Zn and Cu) and Non-Essential (Cd and Pb) Elements in Predatory Insects (Vespa crabro and Vespa velutina): A Molecular Perspective. Int. J. Mol. Sci. 2021, 22, 228. [Google Scholar] [CrossRef] [PubMed]
- Ahad, N.; Sin Yin, T.; Othman, A.R.; Yaacob, C. Sensitivity of Normality Tests to Non-normal Data. Sains Malays. 2011, 40, 637–641. [Google Scholar]
- Fox, J. Applied_Regression_Analysis_and_Generalized Linear Models. 2015, Volume 3. Available online: https://books.google.es/books?id=3wrwCQAAQBAJ&dq=Applied+Regression+Analysis+and+Generalized+Linear+Models,+Third+Edition.+Sage.&lr=&hl=es&source=gbs_navlinks_s (accessed on 25 August 2023).
- Hollander, M.; Wolfe, D.A.; Chicken, E. Nonparametric Statistical Methods; Wiley: Hoboken, NJ, USA, 2013; Available online: https://books.google.it/books?id=Y5s3AgAAQBAJ (accessed on 25 August 2023).
- Quade, D. Using Weighted Rankings in the Analysis of Complete Blocks with Additive Block Effects. J. Am. Stat. Assoc. 1979, 74, 680–683. [Google Scholar] [CrossRef]
- Dunn, O.J. Multiple Comparisons Using Rank Sums. Technometrics 1964, 6, 241–252. [Google Scholar] [CrossRef]
- Lin, L.K. A Concordance Correlation Coefficient to Evaluate Reproducibility. Biometrics 1989, 45, 255–268. [Google Scholar] [CrossRef] [PubMed]
- Emsen, B.; De La Mora, A.; Lacey, B.; Eccles, L.; Kelly, P.G.; Medina-Flores, C.A.; Petukhova, T.; Morfin, N.; Guzman-Novoa, E. Seasonality of Nosema ceranae Infections and Their Relationship with Honey Bee Populations, Food Stores, and Survivorship in a North American Region. Vet. Sci. 2020, 7, 131. [Google Scholar] [CrossRef] [PubMed]
- Gisder, S.; Schüler, V.; Horchler, L.L.; Groth, D.; Genersch, E. Long-Term Temporal Trends of Nosema spp. Infection Prevalence in Northeast Germany: Continuous Spread of Nosema ceranae, an Emerging Pathogen of Honey Bees (Apis mellifera), but No General Replacement of Nosema apis. Front. Cell. Infect. Microbiol. 2017, 7, 301. [Google Scholar] [CrossRef]
- van Dooremalen, C.; Gerritsen, L.; Cornelissen, B.; van der Steen, J.J.M.; van Langevelde, F.; Blacquière, T. Winter Survival of Individual Honey Bees and Honey Bee Colonies Depends on Level of Varroa destructor Infestation. PLoS ONE 2012, 7, e36285. [Google Scholar] [CrossRef] [PubMed]
- Cabbri, R.; Ferlizza, E.; Nanetti, A.; Monari, E.; Andreani, G.; Galuppi, R.; Isani, G. Biomarkers of nutritional status in honeybee haemolymph: Effects of different biotechnical approaches for Varroa destructor treatment and wintering phase. Apidologie 2018, 49, 606–618. [Google Scholar] [CrossRef]
- Dostálková, S.; Dobeš, P.; Kunc, M.; Hurychová, J.; Škrabišová, M.; Petřivalský, M.; Titěra, D.; Havlík, J.; Hyršl, P.; Danihlík, J. Winter honeybee (Apis mellifera) populations show greater potential to induce immune responses than summer populations after immune stimuli. J. Exp. Biol. 2021, 224 Pt 3, 232595. [Google Scholar] [CrossRef] [PubMed]
- Ricigliano, V.A.; Mott, B.M.; Maes, P.W.; Floyd, A.S.; Fitz, W.; Copeland, D.C.; Meikle, W.G.; Anderson, K.E. Honey bee colony performance and health are enhanced by apiary proximity to US Conservation Reserve Program (CRP) lands. Sci. Rep. 2019, 9, 4894. [Google Scholar] [CrossRef]
- Smart, M.D.; Otto, C.R.V.; Lundgren, J.G. Nutritional status of honey bee (Apis mellifera L.) workers across an agricultural land-use gradient. Sci. Rep. 2019, 9, 16252. [Google Scholar] [CrossRef]
- Simone-Finstrom, M.; Li-Byarlay, H.; Huang, M.H.; Strand, M.K.; Rueppell, O.; Tarpy, D.R. Migratory management and environmental conditions affect lifespan and oxidative stress in honey bees. Sci. Rep. 2016, 6, 32023. [Google Scholar] [CrossRef] [PubMed]
- Goretti, E.; Pallottini, M.; Rossi, R.; La Porta, G.; Gardi, T.; Goga, B.C.; Elia, A.; Galletti, M.; Moroni, B.; Petroselli, C.; et al. Heavy metal bioaccumulation in honey bee matrix, an indicator to assess the contamination level in terrestrial environments. Environ. Pollut. 2020, 256, 113388. [Google Scholar] [CrossRef] [PubMed]
- Zarić, N.M.; Brodschneider, R.; Goessler, W. Honey bees as biomonitors—Variability in the elemental composition of individual bees. Environ. Res. 2022, 204 Pt C, 112237. [Google Scholar] [CrossRef] [PubMed]
- Ćirić, J.; Spirić, D.; Baltić, T.; Lazić, I.B.; Trbović, D.; Parunović, N.; Petronijević, R.; Đorđević, V. Honey Bees and Their Products as Indicators of Environmental Element Deposition. Biol. Trace Elem. Res. 2021, 199, 2312–2319. [Google Scholar] [CrossRef] [PubMed]
- Brodschneider, R.; Riessberger-Gallé, U.; Crailsheim, K. Flight performance of artificially reared honeybees (Apis mellifera). Apidologie 2009, 40, 441–449. [Google Scholar] [CrossRef]
- Leipart, V.; Enger, Ø.; Turcu, D.C.; Dobrovolska, O.; Drabløs, F.; Halskau, Ø.; Amdam, G.V. Resolving the zinc binding capacity of honey bee vitellogenin and locating its putative binding sites. Insect Mol. Biol. 2022, 31, 810–820. [Google Scholar] [CrossRef] [PubMed]
- Ilijević, K.; Vujanović, D.; Orčić, S.; Purać, J.; Kojić, D.; Zarić, N.; Gržetić, I.; Blagojević, D.P.; Čelić, T.V. Anthropogenic influence on seasonal and spatial variation in bioelements and non-essential elements in honeybees and their hemolymph. Comp. Biochem. Physiol. C Toxicol. Pharmacol. 2021, 239, 108852. [Google Scholar] [CrossRef] [PubMed]
- Di Pasquale, G.; Salignon, M.; Le Conte, Y.; Belzunces, L.P.; Decourtye, A.; Kretzschmar, A.; Suchail, S.; Brunet, J.-L.; Alaux, C. Influence of Pollen Nutrition on Honey Bee Health: Do Pollen Quality and Diversity Matter? PLoS ONE 2013, 8, e72016. [Google Scholar] [CrossRef] [PubMed]
- Jack, C.J.; Uppala, S.S.; Lucas, H.M.; Sagili, R.R. Effects of pollen dilution on infection of Nosema ceranae in honey bees. J. Insect Physiol. 2016, 87, 12–19. [Google Scholar] [CrossRef]
- Tritschler, M.; Vollmann, J.J.; Yañez, O.; Chejanovsky, N.; Crailsheim, K.; Neumann, P. Protein nutrition governs within-host race of honey bee pathogens. Sci. Rep. 2017, 7, 14988. [Google Scholar] [CrossRef]
- Aronstein, K.A.; Saldivar, E.; Vega, R.; Westmiller, S.; Douglas, A.E. How Varroa Parasitism Affects the Immunological and Nutritional Status of the Honey Bee, Apis mellifera. Insects 2012, 3, 601–615. [Google Scholar] [CrossRef] [PubMed]
- Frizzera, D.; Andreuzza, L.; Boaro, G.; D’Agaro, M.; Del Fabbro, S.; Zanni, V.; Annoscia, D.; Nazzi, F. The Interaction between a Parasite and Sub-Optimal Temperatures Contributes to Honey Bee Decline. bioRxiv 2021. [Google Scholar] [CrossRef]
- Zanni, V.; Değirmenci, L.; Annoscia, D.; Scheiner, R.; Nazzi, F. The reduced brood nursing by mite-infested honey bees depends on their accelerated behavioral maturation. J. Insect Physiol. 2018, 109, 47–54. [Google Scholar] [CrossRef] [PubMed]
- Kunc, M.; Dobeš, P.; Ward, R.; Lee, S.; Čegan, R.; Dostálková, S.; Holušová, K.; Hurychová, J.; Eliáš, S.; Pinďáková, E.; et al. Omics-based analysis of honey bee (Apis mellifera) response to Varroa spp. parasitisation and associated factors reveals changes impairing winter bee generation. Insect Biochem. Mol. Biol. 2023, 152, 103877. [Google Scholar] [CrossRef] [PubMed]
- Ramsey, S.D.; Ochoa, R.; Bauchan, G.; Gulbronson, C.; Mowery, J.D.; Cohen, A.; Lim, D.; Joklik, J.; Cicero, J.M.; Ellis, J.D.; et al. Varroa destructor feeds primarily on honey bee fat body tissue and not hemolymph. Proc. Natl. Acad. Sci. USA 2019, 116, 1792–1801. [Google Scholar] [CrossRef]
- Rodríguez-García, C.; Heerman, M.C.; Cook, S.C.; Evans, J.D.; DeGrandi-Hoffman, G.; Banmeke, O.; Zhang, Y.; Huang, S.; Hamilton, M.; Chen, Y.P. Transferrin-mediated iron sequestration suggests a novel therapeutic strategy for controlling Nosema disease in the honey bee, Apis mellifera. PLoS Pathog. 2021, 17, e1009270. [Google Scholar] [CrossRef]




| Month | Group A | Group B | Group C | Group D |
|---|---|---|---|---|
| June | 7.67 ± 7.63 | 1.00 ± 1.41 | 3.33 ± 4.93 | 8.00 ± 11.12 |
| July | 729 ± 664 | 40.5 ± 57.3 | 831 ± 883 | 972 ± 1629 |
| August | 603 ± 873 | 454 ± 251 | 651 ± 621 | 2098 ± 3165 |
| September | 11.8 ± 5.56 | 46.6 ± 27.8 | 174 ± 198 | 19.1 ± 21.9 |
| October | 11.2 ± 3.18 | 20.7 ± 19.1 | 30.0 ± 25.2 | 3.60 ± 0.00 |
| Short-Living | Long-Living | Reference |
|---|---|---|
| 17.0–40.5 (July) | 47.0–67.3 (October) | This study (min-max) |
| 13.3–44.5 (July) | 49.7–63.1 (November) | Isani et al. [13] (min-max) |
| 12–42 | 49–87 | Kunc et al. [3] |
| Short-Living | Long-Living | Reference |
|---|---|---|
| 9.54–15.8 (July) | 6.40–34.6 (October) | This study (min-max) |
| 5.70–12.5 (July) | 23.4–41.1 (November) | Isani et al. [13] (min-max) |
| 0–10 | 14–26 | Kunc et al. [3] |
| A | B | C | D | |
|---|---|---|---|---|
| Iron | ||||
| August | 79.2 ± 24.2 a,b,§ | 49.2 ± 12.7 | 46.7 ± 9.40 a,§ | 49.2 ± 7.70 b,§ |
| September | 37.1 ± 12.9 | 50.6 ± 11.8 a | 29.6 ± 6.04 a | 36.8 ± 7.8 |
| October | 30.3 ± 7.37 § | 38.5 ± 5.30 a,b | 23.3 ± 1.99 a,§ | 25.6 ± 5.17 b,§ |
| Zinc | ||||
| August | 32.3 ± 10.9 | 32.8 ± 7.60 | 36.1 ± 9.55 | 34.55 ± 7.01 |
| September | 39.5 ± 17.2 | 40.0 ± 10.8 | 36.1 ± 9.55 | 30.5 ± 5.52 |
| October | 39.2 ± 10.4 | 41.5 ± 10.4 | 35.5 ± 6.95 | 28.2 ± 2.95 |
| Copper | ||||
| August | 8.58 ± 3.72 | 8.61 ± 1.70 | 8.41 ± 1.02 | 8.89 ± 1.74 |
| September | 9.12 ± 2.17 | 14.5 ± 2.61 | 8.64 ± 1.01 | 8.30 ± 1.14 |
| October | 8.64 ± 1.56 | 10.6 ± 2.07 a,b | 7.32 ± 1.87 a | 5.70 ± 0.56 b |
Disclaimer/Publisher’s Note: The statements, opinions and data contained in all publications are solely those of the individual author(s) and contributor(s) and not of MDPI and/or the editor(s). MDPI and/or the editor(s) disclaim responsibility for any injury to people or property resulting from any ideas, methods, instructions or products referred to in the content. |
© 2024 by the authors. Licensee MDPI, Basel, Switzerland. This article is an open access article distributed under the terms and conditions of the Creative Commons Attribution (CC BY) license (https://creativecommons.org/licenses/by/4.0/).
Share and Cite
Rudelli, C.; Galuppi, R.; Cabbri, R.; Dalmonte, T.; Fontanesi, L.; Andreani, G.; Isani, G. Field Application of an Innovative Approach to Assess Honeybee Health and Nutritional Status. Animals 2024, 14, 2183. https://doi.org/10.3390/ani14152183
Rudelli C, Galuppi R, Cabbri R, Dalmonte T, Fontanesi L, Andreani G, Isani G. Field Application of an Innovative Approach to Assess Honeybee Health and Nutritional Status. Animals. 2024; 14(15):2183. https://doi.org/10.3390/ani14152183
Chicago/Turabian StyleRudelli, Cecilia, Roberta Galuppi, Riccardo Cabbri, Thomas Dalmonte, Luca Fontanesi, Giulia Andreani, and Gloria Isani. 2024. "Field Application of an Innovative Approach to Assess Honeybee Health and Nutritional Status" Animals 14, no. 15: 2183. https://doi.org/10.3390/ani14152183
APA StyleRudelli, C., Galuppi, R., Cabbri, R., Dalmonte, T., Fontanesi, L., Andreani, G., & Isani, G. (2024). Field Application of an Innovative Approach to Assess Honeybee Health and Nutritional Status. Animals, 14(15), 2183. https://doi.org/10.3390/ani14152183

