Fermented Astragalus Powder, a New Potential Feed Additive for Broilers to Improve the Growth Performance and Health
Abstract
Simple Summary
Abstract
1. Introduction
2. Materials and Methods
2.1. Fermentation Strains and Herbs
2.2. Preparation of Fermented Astragalus Powder
2.3. Animal Treatment and Experimental Design
2.4. Growth Performance
2.5. Sample Collection
2.6. Main Organ Indexes
2.7. Serum Biochemical Parameters and Immunoglobulin Levels
2.8. Histological Analysis
2.9. Antioxidant Capacity
2.10. Microflora of Cecum Analysis
2.11. Statistical Analysis
3. Results
3.1. Growth Performance
3.2. Main Organ Indexes
3.3. Serum Biochemical Parameters and Immunoglobulin Levels
3.4. Histological Observation and Organ Index of Liver and Kidney
3.5. Antioxidant Capacity
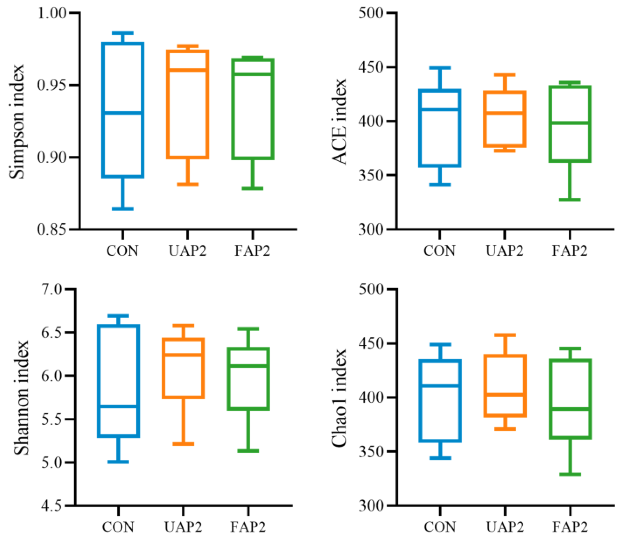
3.6. Microflora in Cecum
4. Discussion
5. Conclusions
Author Contributions
Funding
Institutional Review Board Statement
Informed Consent Statement
Data Availability Statement
Conflicts of Interest
References
- Kalia, V.C.; Shim, W.Y.; Patel, S.K.S.; Gong, C.; Lee, J.-K. Recent Developments in Antimicrobial Growth Promoters in Chicken Health: Opportunities and Challenges. Sci. Total Environ. 2022, 834, 155300. [Google Scholar] [CrossRef] [PubMed]
- Qaid, M.M.; Albatshan, H.A.; Hussein, E.O.S.; Al-Garadi, M.A. Effect of Housing System and Housing Density on Performance, Viability, and Gastrointestinal Tract Growth of Broiler Chicks during the First 2 Wk of Age. Poult. Sci. 2023, 102, 702. [Google Scholar] [CrossRef] [PubMed]
- Guo, Y.; Zhang, J.; Li, X.; Wu, J.; Han, J.; Yang, G.; Zhang, L. Oxidative Stress Mediated Immunosuppression Caused by Ammonia Gas via Antioxidant/Oxidant Imbalance in Broilers. Br. Poult. Sci. 2023, 64, 36–46. [Google Scholar] [CrossRef] [PubMed]
- Mu, C.; Zhu, W. Antibiotic Effects on Gut Microbiota, Metabolism, and beyond. Appl. Microbiol. Biotechnol. 2019, 103, 9277–9285. [Google Scholar] [CrossRef] [PubMed]
- Catrin, E. Changes in Antibiotic Resistance in Animals. Science 2019, 365, 1251–1252. [Google Scholar] [CrossRef] [PubMed]
- Chen, J.; Ying, G.-G.; Deng, W.-J. Antibiotic Residues in Food: Extraction, Analysis, and Human Health Concerns. J. Agric. Food Chem. 2019, 67, 7569–7586. [Google Scholar] [CrossRef] [PubMed]
- Foroutankhah, M.; Toghyani, M.; Landy, N. Evaluation of Calendula officinalis L. (Marigold) Flower as a Natural Growth Promoter in Comparison with an Antibiotic Growth Promoter on Growth Performance, Carcass Traits and Humoral Immune Responses of Broilers. Anim. Nutr. 2019, 5, 314–318. [Google Scholar] [CrossRef] [PubMed]
- Chen, Z.; Liu, L.; Gao, C.; Chen, W.; Vong, C.T.; Yao, P.; Yang, Y.; Li, X.; Tang, X.; Wang, S.; et al. Astragali Radix (Huangqi): A Promising Edible Immunomodulatory Herbal Medicine. J. Ethnopharmacol. 2020, 258, 112895. [Google Scholar] [CrossRef]
- Yang, S.; Qin, Y.; Ma, X.; Luan, W.; Sun, P.; Ju, A.; Duan, A.; Zhang, Y.; Zhao, D. Effects of in Ovo Injection of Astragalus Polysaccharide on the Intestinal Development and Mucosal Immunity in Broiler Chickens. Front. Vet. Sci. 2021, 8, 738816. [Google Scholar] [CrossRef]
- Ye, J.; Huang, Y.; Jiang, X.; Shen, P.; Zhang, C.; Zhang, J. Research on the Interaction of Astragaloside IV and Calycosin in Astragalus membranaceus with HMGB1. Chin. Med. 2023, 18, 81. [Google Scholar] [CrossRef]
- Wang, M.; Guo, Z.; Zhou, H.; Ge, B.; Wang, Z.; Li, H.; Zhang, X. Study on the bi-directional regulation of anti-inflammatory immune response by total flavonoids of Astragalus in macrophages RAW264.7. Chin. J. Prev. Vet. Med. 2020, 42, 822–829. [Google Scholar]
- Wang, Q.; Wang, X.F.; Xing, T.; Li, J.L.; Zhu, X.D.; Zhang, L.; Gao, F. The Combined Impact of Xylo-Oligosaccharides and Gamma-Irradiated Astragalus Polysaccharides on the Immune Response, Antioxidant Capacity, and Intestinal Microbiota Composition of Broilers. Poult. Sci. 2022, 101, 101996. [Google Scholar] [CrossRef] [PubMed]
- Chen, C.-Y.; Zhang, R.; Zhang, L.-J.; Hu, Z.-Y.; Wang, S.-P.; Mei, X.; Mi, W.; Zhang, J.-Y. Biotransformation and Bioaccessibility of Active Ingredients from Radix astragali by Poria cocos during Solid-State Fermentation and In Vitro Digestion and Antioxidant Activity Evaluation. Sci. Rep. 2023, 13, 6888. [Google Scholar] [CrossRef] [PubMed]
- Li, B.; Liu, Q.; Fan, J.; Zhao, X.; Jia, L.; Yang, W. Optimization of Conditions for Increasing the Contents of Astragalus Polysaccharide by Microbial Fermentation. Chin. J. Vet. Drug 2022, 56, 68–74. [Google Scholar]
- Lee, J.Y.; Park, H.M.; Kang, C.-H. Antioxidant Effect via Bioconversion of Isoflavonoid in Astragalus membranaceus Fermented by Lactiplantibacillus plantarum MG5276 In Vitro and In Vivo. Fermentation 2022, 8, 34. [Google Scholar] [CrossRef]
- Zhang, J.; Zhang, H.; Wang, L.; Zhang, K.; Qiu, Z.; Zhang, K.; Yue, C.; Zhang, Y.; Zhao, X.; Li, J. The Safety and Potential Probiotic Properties Analysis of Streptococcus alactolyticus Strain FGM Isolated from the Chicken Cecum. Ann. Microbiol. 2021, 71, 19. [Google Scholar] [CrossRef]
- Wang, H.; Zhang, H.; Zhang, K.; Wang, L.; Zhang, K.; Ma, Y.; Li, J.; Yang, X.; Zhang, J. Preliminary Safety Evaluation of the Fermented Astragalus Liquid by FGM Strain. Chin. J. Vet. Drug 2020, 54, 49–56. [Google Scholar]
- Hao, G.J.; Zhang, K.; Zhang, J.Y.; Wang, X.R.; Qin, Z.; Wang, X.Z.; Wang, L.; Meng, J.R.; Yang, Z.Q.; Li, J.X. RT-qPCR Analysis of dexB and galE Gene Expression of Streptococcus alactolyticus in Astragalus membranaceus Fermentation. Appl. Microbiol. Biotechnol. 2013, 97, 6009–6018. [Google Scholar] [CrossRef] [PubMed]
- Su, G.; Zhang, J.; Zhang, K.; Wang, L.; Zhang, K.; Wang, X.; Yang, Z.; Li, J. Study on Improving Active Ingredients of Astragalus Root, Stem and Leaf by Probiotic Fermentation. China Anim. Husb. Vet. Med. 2017, 44, 1877–1883. [Google Scholar] [CrossRef]
- Sun, X.; Liu, H.; Duan, C.; Yan, G. Effects of Mixed Starters of Plant- and Wine-Derived L. plantarum on Hawthorn Juice Fermentation: Physicochemical Properties, Phenolic and Volatile Profiles. Food Biosci. 2023, 56, 103363. [Google Scholar] [CrossRef]
- Li, L.; Wang, L.; Fan, W.; Jiang, Y.; Zhang, C.; Li, J.; Peng, W.; Wu, C. The Application of Fermentation Technology in Traditional Chinese Medicine: A Review. Am. J. Chin. Med. 2020, 48, 899–921. [Google Scholar] [CrossRef] [PubMed]
- Qiao, H.; Zhang, H.; Zhao, S.; Sun, Y.; Zhang, X.; Kang, N.; Bian, C. Effeets of Fermented Eucommia ulmoides Leaves on Production Performance. Antioxidant Properties and Immune Related Gene Expression in Broilers. China Anim. Husb. Vet. Med. 2023, 50, 1845–1854. [Google Scholar] [CrossRef]
- Li, Y.; Liu, H.; Qi, H.; Tang, W.; Zhang, C.; Liu, Z.; Liu, Y.; Wei, X.; Kong, Z.; Jia, S.; et al. Probiotic Fermentation of Ganoderma lucidum Fruiting Body Extracts Promoted Its Immunostimulatory Activity in Mice with Dexamethasone-Induced Immunosuppression. Biomed. Pharmacother. 2021, 141, 111909. [Google Scholar] [CrossRef]
- Wen, Y.-L.; Yan, L.-P.; Chen, C.-S. Effects of Fermentation Treatment on Antioxidant and Antimicrobial Activities of Four Common Chinese Herbal Medicinal Residues by Aspergillus oryzae. J. Food Drug Anal. 2013, 21, 219–226. [Google Scholar] [CrossRef]
- Tang, S.; Luo, N.; Zeng, Q.; Dong, L.; Zhang, R.; He, S.; Nag, A.; Huang, F.; Su, D. Lychee Pulp Phenolics Fermented by Mixed Lactic Acid Bacteria Strains Promote the Metabolism of Human Gut Microbiota Fermentation In Vitro. Food Funct. 2023, 14, 7672–7681. [Google Scholar] [CrossRef] [PubMed]
- Wang, Q.; Wang, L.; Li, L.; Sun, M.; Li, P.; Yu, Y.; Zhang, Y.; Xu, Z.; Gao, P.; Ma, J.; et al. Effects of Dietary Supplementation of Fermented Artemisia argyi on Growth Performance, Slaughter Performance, and Meat Quality in Broilers. Poult. Sci. 2024, 103, 103545. [Google Scholar] [CrossRef]
- Liu, Z.; Lei, X.; Li, J.; Zhong, Y.; Tan, D.; Zhang, Q.; Kong, Z. Effects of Fermented Andrographis paniculata on Growth Performance, Carcass Traits, Immune Function, and Intestinal Health in Muscovy Ducks. Poult. Sci. 2023, 102, 102461. [Google Scholar] [CrossRef]
- Liu, M.; Zhou, J.; Li, Y.; Ding, Y.; Lian, J.; Dong, Q.; Qu, Q.; Lv, W.; Guo, S. Effects of Dietary Polyherbal Mixtures on Growth Performance, Antioxidant Capacity, Immune Function and Jejunal Health of Yellow-Feathered Broilers. Poult. Sci. 2023, 102, 102714. [Google Scholar] [CrossRef] [PubMed]
- Zhang, L.; Hong, Y.; Liao, Y.; Tian, K.; Sun, H.; Liu, X.; Tang, Y.; Hassanin, A.A.; Abdelnour, S.A.; Suthikrai, W.; et al. Dietary Lasia spinosa Thw. Improves Growth Performance in Broilers. Front. Nutr. 2022, 8, 775223. [Google Scholar] [CrossRef]
- Ding, Y.; Jiang, X.; Yao, X.; Zhang, H.; Song, Z.; He, X.; Cao, R. Effects of Feeding Fermented Mulberry Leaf Powder on Growth Performance, Slaughter Performance, and Meat Quality in Chicken Broilers. Animals 2021, 11, 3294. [Google Scholar] [CrossRef]
- Wu, Z.; Chen, J.; Ahmed Pirzado, S.; Haile, T.H.; Cai, H.; Liu, G. The Effect of Fermented and Raw Rapeseed Meal on the Growth Performance, Immune Status and Intestinal Morphology of Broiler Chickens. J. Anim. Physiol. Anim. Nutr. 2022, 106, 296–307. [Google Scholar] [CrossRef] [PubMed]
- Wu, S. Effect of Dietary Astragalus membranaceus Polysaccharide on the Growth Performance and Immunity of Juvenile Broilers. Poult. Sci. 2018, 97, 3489–3493. [Google Scholar] [CrossRef] [PubMed]
- Muqier; Qi, S.; Wang, T.; Chen, R.; Wang, C.; Ao, C. Effects of Flavonoids from Allium mongolicum Regel on Growth Performance and Growth-Related Hormones in Meat Sheep. Anim. Nutr. 2017, 3, 33–38. [Google Scholar] [CrossRef] [PubMed]
- Deng, J.; Zhang, J.; Chang, Y.; Wang, S.; Shi, M.; Miao, Z. Effects of Chinese yam Polysaccharides on the Immune Function and Serum Biochemical Indexes of Broilers. Front. Vet. Sci. 2022, 9, 1013888. [Google Scholar] [CrossRef] [PubMed]
- Wu, Q.J.; Zheng, X.C.; Wang, T.; Zhang, T.Y. Effects of Dietary Supplementation with Oridonin on the Growth Performance, Relative Organ Weight, Lymphocyte Proliferation, and Cytokine Concentration in Broiler Chickens. BMC Vet. Res. 2018, 14, 34. [Google Scholar] [CrossRef] [PubMed]
- Hao, X.; Wang, P.; Ren, Y.; Liu, G.; Zhang, J.; Leury, B.; Zhang, C. Effects of Astragalus membranaceus Roots Supplementation on Growth Performance, Serum Antioxidant and Immune Response in Finishing Lambs. Asian Australas. J. Anim. Sci. 2019, 33, 965–972. [Google Scholar] [CrossRef] [PubMed]
- Xia, M.; Zhang, H.; Liu, H.; Li, S. Effect of sietary Astragalus polysaccharide on growth performance, apparent digestibility of nutrients serum biochemical indices and immune organs index of weaned rabbit. Feed Res. 2023, 46, 55–60. [Google Scholar] [CrossRef]
- Wang, M.; Zhang, J.; Huang, X.; Liu, Y.; Zeng, J. Effects of Dietary Macleaya cordata Extract on Growth Performance, Biochemical Indices, and Intestinal Microbiota of Yellow-Feathered Broilers Subjected to Chronic Heat Stress. Animals 2022, 12, 2197. [Google Scholar] [CrossRef]
- Liu, Z.; Chen, Q.; Zhong, Y.; Wu, Y.; Li, J.; Kong, Z.; Zhang, Q.; Lei, X. Effects of Earthworm Hydrolysate in Production Performance, Serum Biochemical Parameters, Antioxidant Capacity and Intestinal Function of Muscovy Ducks. Poult. Sci. 2023, 102, 102409. [Google Scholar] [CrossRef]
- Zhang, R.; Ma, H.; Han, P.; Li, Y.; Sun, Y.; Yuan, J.; Wang, Y.; Ni, A.; Zong, Y.; Bian, S.; et al. Effects of Feed Systems on Growth Performance, Carcass Characteristics, Organ Index, and Serum Biochemical Parameters of Pigeon. Poult. Sci. 2022, 101, 102224. [Google Scholar] [CrossRef]
- Wang, C.; Ma, J.; Hu, R.; Cao, G.; Dai, Q.; Wang, X.; Zou, H.; Xue, B.; Peng, Q.; Wang, L.; et al. Effects of Active Dry Yeast on Growth Performance, Nutrient Apparent Digestibilities, Rumen Fermentation Parameters and Serum Biochemical and Antioxidant Indexes of Simmental Crossbred Cattle. Chin. J. Anim. Nutr. 2021, 33, 3925–3933. [Google Scholar]
- Ahmat, M.; Cheng, J.; Abbas, Z.; Cheng, Q.; Fan, Z.; Ahmad, B.; Hou, M.; Osman, G.; Guo, H.; Wang, J.; et al. Effects of Bacillus amyloliquefaciens LFB112 on Growth Performance, Carcass Traits, Immune, and Serum Biochemical Response in Broiler Chickens. Antibiotics 2021, 10, 1427. [Google Scholar] [CrossRef] [PubMed]
- Balmus, I.M.; Ciobica, A.; Trifan, A.; Stanciu, C. The Implications of Oxidative Stress and Antioxidant Therapies in Inflammatory Bowel Disease: Clinical Aspects and Animal Models. Saudi J. Gastroenterol. 2016, 22, 3–17. [Google Scholar] [CrossRef] [PubMed]
- Sun, D.; Jin, X.; Shi, B.; Su, J.; Tong, M.; Yan, S. Dietary Yucca schidigera Extract Improved Growth Performance and Liver Antioxidative Function in Broilers. Ital. J. Anim. Sci. 2017, 16, 677–684. [Google Scholar] [CrossRef]
- Wu, X.; Cao, W.; Jia, G.; Zhao, H.; Chen, X.; Wu, C.; Tang, J.; Wang, J.; Liu, G. New Insights into the Role of Spermine in Enhancing the Antioxidant Capacity of Rat Spleen and Liver under Oxidative Stress. Anim. Nutr. 2017, 3, 85–90. [Google Scholar] [CrossRef] [PubMed]
- Chang, Y.; Zhang, J.; Jin, Y.; Deng, J.; Shi, M.; Miao, Z. Effects of Dietary Supplementation of Chinese Yam Polysaccharide on Carcass Composition, Meat Quality, and Antioxidant Capacity in Broilers. Animals 2023, 13, 503. [Google Scholar] [CrossRef] [PubMed]
- Chen, R.-Z.; Tan, L.; Jin, C.-G.; Lu, J.; Tian, L.; Chang, Q.-Q.; Wang, K. Extraction, Isolation, Characterization and Antioxidant Activity of Polysaccharides from Astragalus membranaceus. Ind. Crops Prod. 2015, 77, 434–443. [Google Scholar] [CrossRef]
- Sheng, Z.; Jiang, Y.; Liu, J.; Yang, B. UHPLC–MS/MS Analysis on Flavonoids Composition in Astragalus membranaceus and Their Antioxidant Activity. Antioxidants 2021, 10, 1852. [Google Scholar] [CrossRef] [PubMed]
- Song, S.; Li, Y.; Liu, X.; Yu, J.; Li, Z.; Liang, K.; Wang, S.; Zhang, J. Study on the Biotransformation and Activities of Astragalosides from Astragali radix In Vitro and In Vivo. J. Agric. Food Chem. 2023, 71, 17924–17946. [Google Scholar] [CrossRef]
- Lv, W.; Ma, Y.; Zhang, Y.; Wang, T.; Huang, J.; He, S.; Du, H.; Guo, S. Effects of Lactobacillus plantarum Fermented Shenling Baizhu San on Gut Microbiota, Antioxidant Capacity, and Intestinal Barrier Function of Yellow-Plumed Broilers. Front. Vet. Sci. 2023, 10, 1103023. [Google Scholar] [CrossRef]
- Zhang, J.; Yu, H.; Zhang, H.; Zhao, Q.; Si, W.; Qin, Y.; Zhang, J. Dietary Epimedium Extract Supplementation Improves Intestinal Functions and Alters Gut Microbiota in Broilers. J. Anim. Sci. Biotechnol. 2023, 14, 14. [Google Scholar] [CrossRef] [PubMed]
- Zheng, J.; Liang, S.; Zhang, Y.; Sun, X.; Li, Y.; Diao, J.; Dong, L.; Ni, H.; Yin, Y.; Ren, J.; et al. Effects of Compound Chinese Herbal Medicine Additive on Growth Performance and Gut Microbiota Diversity of Zi Goose. Animals 2022, 12, 2942. [Google Scholar] [CrossRef] [PubMed]
- Che, Q.; Luo, T.; Shi, J.; He, Y.; Xu, D.-L. Mechanisms by Which Traditional Chinese Medicines Influence the Intestinal Flora and Intestinal Barrier. Front. Cell. Infect. Microbiol. 2022, 12, 863779. [Google Scholar] [CrossRef] [PubMed]
- Liu, X.; Huang, L.; Shi, Y.; Wang, X.; Luo, Y.; Wei, S.; Qin, Y.; Lu, Y.; Zhang, W.; Ju, Y.; et al. Ganoderma Lingzhi Culture Enhance Growth Performance via Improvement of Antioxidant Activity and Gut Probiotic Proliferation in Sanhuang Broilers. Front. Vet. Sci. 2023, 10, 1143649. [Google Scholar] [CrossRef] [PubMed]
- Shu, G.; Kong, F.; Xu, D.; Yin, L.; He, C.; Lin, J.; Fu, H.; Wang, K.; Tian, Y.; Zhao, X. Bamboo Leaf Flavone Changed the Community of Cecum Microbiota and Improved the Immune Function in Broilers. Sci. Rep. 2020, 10, 12324. [Google Scholar] [CrossRef] [PubMed]
- Parker, B.J.; Wearsch, P.A.; Veloo, A.C.M.; Rodriguez-Palacios, A. The Genus Alistipes: Gut Bacteria with Emerging Implications to Inflammation, Cancer, and Mental Health. Front. Immunol. 2020, 11, 906. [Google Scholar] [CrossRef] [PubMed]
- Wang, J.; Zheng, Z.; Yang, H.; Chen, J.; Xiao, Y.; Ji, X.; Zhang, Z.; He, H.; Ding, B.; Tang, B. Effect of β-1,3/1,6-Glucan on Gut Microbiota of Yellow-Feathered Broilers. AMB Express 2022, 12, 115. [Google Scholar] [CrossRef] [PubMed]
- Greiner, T.; Bäckhed, F. Effects of the Gut Microbiota on Obesity and Glucose Homeostasis. Trends Endocrinol. Metab. 2011, 22, 117–123. [Google Scholar] [CrossRef]
- Xiang, H.; Gan, J.; Zeng, D.; Li, J.; Yu, H.; Zhao, H.; Yang, Y.; Tan, S.; Li, G.; Luo, C.; et al. Specific Microbial Taxa and Functional Capacity Contribute to Chicken Abdominal Fat Deposition. Front. Microbiol. 2021, 12, 643025. [Google Scholar] [CrossRef]






| Item | Nutritive Components (%) | Active Components (%) | ||||||
|---|---|---|---|---|---|---|---|---|
| CP | EE | CF | Ca | P | TP | TF | TS | |
| FAP | 9.62 | 0.8 | 21.8 | 0.23 | 0.27 | 5.05 | 0.25 | 0.58 |
| UAP | 8.87 | 0.7 | 26.4 | 0.26 | 0.3 | 3.66 | 0.16 | 0.48 |
| Component | 1–21 Days | 22–42 Days |
|---|---|---|
| Ingredient (%) | ||
| Corn | 55.60 | 55.20 |
| Soybean meal 1 | 29.00 | 24.00 |
| Cottonseed meal | 2.50 | 3.00 |
| Wheat flour | 4.00 | 4.00 |
| Hydrolyzed feather meal | 1.50 | 1.50 |
| Dicalcium phosphate | 0.90 | 0.80 |
| Limestone powder | 1.50 | 1.50 |
| Bentonite | 1.00 | 1.00 |
| Soy oil | 2.00 | 7.00 |
| Premix 2 | 2.00 | 2.00 |
| Total | 100.00 | 100.00 |
| Calculation of nutrients 3 | ||
| Metabolizable energy, kcal/kg | 2894 | 3212 |
| Crude protein, % | 21.50 | 19.51 |
| Calcium, % | 0.96 | 0.84 |
| Total phosphorus, % | 0.66 | 0.55 |
| Lysine, % | 1.45 | 1.40 |
| Methionine, % | 0.54 | 0.50 |
| Threonine, % | 0.91 | 0.80 |
| Items | Treatments | SEM | p-Value | ||||
|---|---|---|---|---|---|---|---|
| CON | UAP2 | FAP4 | FAP2 | FAP1 | |||
| Initial BW (g) | 242.89 | 242.42 | 242.88 | 242.88 | 242.80 | 3.582 | 1.0 |
| Final BW (g) | 1291.58 c | 1324.74 bc | 1337.85 ab | 1374.15 a | 1373.83 a | 13.092 | <0.001 |
| 14 to 42 days of age | |||||||
| ADFI (g) | 87.70 | 87.91 | 87.00 | 87.55 | 87.06 | 1.247 | 0.941 |
| ADG (g) | 37.45 c | 38.65 bc | 39.11 ab | 40.40 a | 40.39 a | 0.507 | <0.001 |
| F/G | 2.34 a | 2.28 ab | 2.23 bc | 2.15 c | 2.16 c | 0.032 | <0.001 |
| 14 to 28 days of age | |||||||
| ADFI (g) | 63.92 | 63.77 | 63.16 | 63.11 | 63.23 | 0.970 | 0.874 |
| ADG (g) | 33.14 c | 34.33 bc | 34.34 bc | 35.25 ab | 36.17 a | 0.446 | 0.001 |
| F/G | 1.93 a | 1.86 ab | 1.84 abc | 1.79 bc | 1.75 c | 0.032 | <0.001 |
| 29 to 42 days of age | |||||||
| ADFI (g) | 111.27 | 112.05 | 110.83 | 111.93 | 110.89 | 2.148 | 0.936 |
| ADG (g) | 41.77 c | 42.98 bc | 43.87 abc | 45.56 a | 44.62 ab | 0.820 | 0.001 |
| F/G | 2.67 a | 2.61 ab | 2.53 abc | 2.46 c | 2.49 bc | 0.048 | 0.001 |
| Survival rate (%) | 93.75 | 96.88 | 96.88 | 98.44 | 98.44 | 3.125 | 0.565 |
| Item | Treatments | SEM | p-Value | ||||
|---|---|---|---|---|---|---|---|
| CON | UAP2 | FAP4 | FAP2 | FAP1 | |||
| Thymus index | 3.21 c | 3.57 b | 3.87 ab | 4.04 a | 3.97 ab | 0.156 | <0.001 |
| Spleen index | 1.51 | 1.54 | 1.54 | 1.60 | 1.58 | 0.710 | 0.724 |
| Bursa index | 1.42 b | 1.69 ab | 1.79 a | 1.74 ab | 1.74 ab | 0.120 | 0.029 |
| Liver index | 21.23 | 20.45 | 21.39 | 21.25 | 20.17 | 0.448 | 0.228 |
| Kidney index | 5.95 | 6.25 | 6.64 | 6.48 | 6.14 | 0.270 | 0.424 |
| Item | Treatments | SEM | p-Value | ||||
|---|---|---|---|---|---|---|---|
| CON | UAP2 | FAP4 | FAP2 | FAP1 | |||
| 28 days of age | |||||||
| TP (g/L) | 31.24 | 31.56 | 31.25 | 34.16 | 31.86 | 1.056 | 0.046 |
| ALB (g/L) | 11.54 b | 12.05 ab | 11.58 b | 12.71 a | 12.11 ab | 0.323 | 0.006 |
| ALT (U/L) | 4.06 | 4.29 | 4.84 | 4.18 | 4.44 | 0.618 | 0.754 |
| AST (U/L) | 186.75 | 182.00 | 184.50 | 185.63 | 193.63 | 10.436 | 0.843 |
| GLU (mmol/L) | 8.60 b | 9.13 ab | 10.43 a | 9.56 ab | 9.58 ab | 0.452 | 0.005 |
| CREA (μmol/L) | 45.68 | 46.36 | 47.38 | 45.91 | 47.16 | 2.36 | 0.936 |
| UREA (mmol/L) | 0.29 | 0.35 | 0.33 | 0.30 | 0.38 | 0.06 | 0.585 |
| IgA (mg/mL) | 0.25 b | 0.26 ab | 0.28 ab | 0.32 a | 0.30 ab | 0.010 | 0.020 |
| IgG (mg/mL) | 2.16 | 2.29 | 2.27 | 2.54 | 2.51 | 0.187 | 0.223 |
| 42 days of age | |||||||
| TP (g/L) | 33.31 | 33.25 | 34.00 | 34.69 | 34.09 | 1.118 | 0.685 |
| ALB (g/L) | 11.76 | 12.10 | 12.89 | 12.91 | 12.49 | 0.543 | 0.174 |
| ALT (U/L) | 4.79 | 4.86 | 4.64 | 4.88 | 4.56 | 0.704 | 0.989 |
| AST (U/L) | 190.00 | 195.38 | 199.13 | 203.75 | 201.25 | 9.782 | 0.662 |
| GLU (mmol/L) | 6.86 | 6.63 | 6.44 | 6.88 | 6.63 | 0.253 | 0.398 |
| CREA (μmol/L) | 44.66 | 43.00 | 45.66 | 46.19 | 45.14 | 2.37 | 0.714 |
| UREA (mmol/L) | 0.28 | 0.31 | 0.38 | 0.30 | 0.31 | 0.06 | 0.428 |
| IgA (mg/mL) | 0.30 b | 0.37 ab | 0.40 ab | 0.45 a | 0.36 ab | 0.474 | 0.036 |
| IgG (mg/mL) | 2.57 b | 2.89 ab | 3.17 ab | 3.44 a | 2.92 ab | 0.283 | 0.051 |
| Items | Treatments | SEM | p-Value | ||||
|---|---|---|---|---|---|---|---|
| CON | UAP2 | FAP4 | FAP2 | FAP1 | |||
| 28 days of age | |||||||
| T-AOC (mM) | 0.52 b | 0.57 ab | 0.63 a | 0.64 a | 0.60 ab | 0.029 | 0.003 |
| GSH (μmol/L) | 37.94 | 39.23 | 40.77 | 41.45 | 40.69 | 2.087 | 0.464 |
| MDA (nmol/mL) | 5.77 a | 5.58 ab | 5.44 ab | 4.95 c | 5.10 bc | 0.167 | <0.001 |
| 42 days of age | |||||||
| T-AOC (mM) | 0.46 | 0.49 | 0.51 | 0.53 | 0.48 | 0.038 | 0.398 |
| GSH (μmol/L) | 35.73 | 36.57 | 40.54 | 41.30 | 38.77 | 2.188 | 0.064 |
| MDA (nmol/mL) | 6.19 a | 5.95 ab | 5.80 ab | 5.55 b | 5.79 ab | 0.161 | 0.007 |
Disclaimer/Publisher’s Note: The statements, opinions and data contained in all publications are solely those of the individual author(s) and contributor(s) and not of MDPI and/or the editor(s). MDPI and/or the editor(s) disclaim responsibility for any injury to people or property resulting from any ideas, methods, instructions or products referred to in the content. |
© 2024 by the authors. Licensee MDPI, Basel, Switzerland. This article is an open access article distributed under the terms and conditions of the Creative Commons Attribution (CC BY) license (https://creativecommons.org/licenses/by/4.0/).
Share and Cite
Han, S.; Xu, G.; Zhang, K.; Ahmad, S.; Wang, L.; Chen, F.; Liu, J.; Gu, X.; Li, J.; Zhang, J. Fermented Astragalus Powder, a New Potential Feed Additive for Broilers to Improve the Growth Performance and Health. Animals 2024, 14, 1628. https://doi.org/10.3390/ani14111628
Han S, Xu G, Zhang K, Ahmad S, Wang L, Chen F, Liu J, Gu X, Li J, Zhang J. Fermented Astragalus Powder, a New Potential Feed Additive for Broilers to Improve the Growth Performance and Health. Animals. 2024; 14(11):1628. https://doi.org/10.3390/ani14111628
Chicago/Turabian StyleHan, Songwei, Guowei Xu, Kang Zhang, Saad Ahmad, Lei Wang, Fubin Chen, Jiahui Liu, Xueyan Gu, Jianxi Li, and Jingyan Zhang. 2024. "Fermented Astragalus Powder, a New Potential Feed Additive for Broilers to Improve the Growth Performance and Health" Animals 14, no. 11: 1628. https://doi.org/10.3390/ani14111628
APA StyleHan, S., Xu, G., Zhang, K., Ahmad, S., Wang, L., Chen, F., Liu, J., Gu, X., Li, J., & Zhang, J. (2024). Fermented Astragalus Powder, a New Potential Feed Additive for Broilers to Improve the Growth Performance and Health. Animals, 14(11), 1628. https://doi.org/10.3390/ani14111628

