Comparative Evaluation of Peripheral Blood Neutrophil to Lymphocyte Ratio, Serum Albumin to Globulin Ratio and Serum C-Reactive Protein to Albumin Ratio in Dogs with Inflammatory Protein-Losing Enteropathy and Healthy Dogs
Abstract
Simple Summary
Abstract
1. Introduction
2. Materials and Methods
Statistical Analysis
3. Results
3.1. Selected Clinicopathological Characteristics
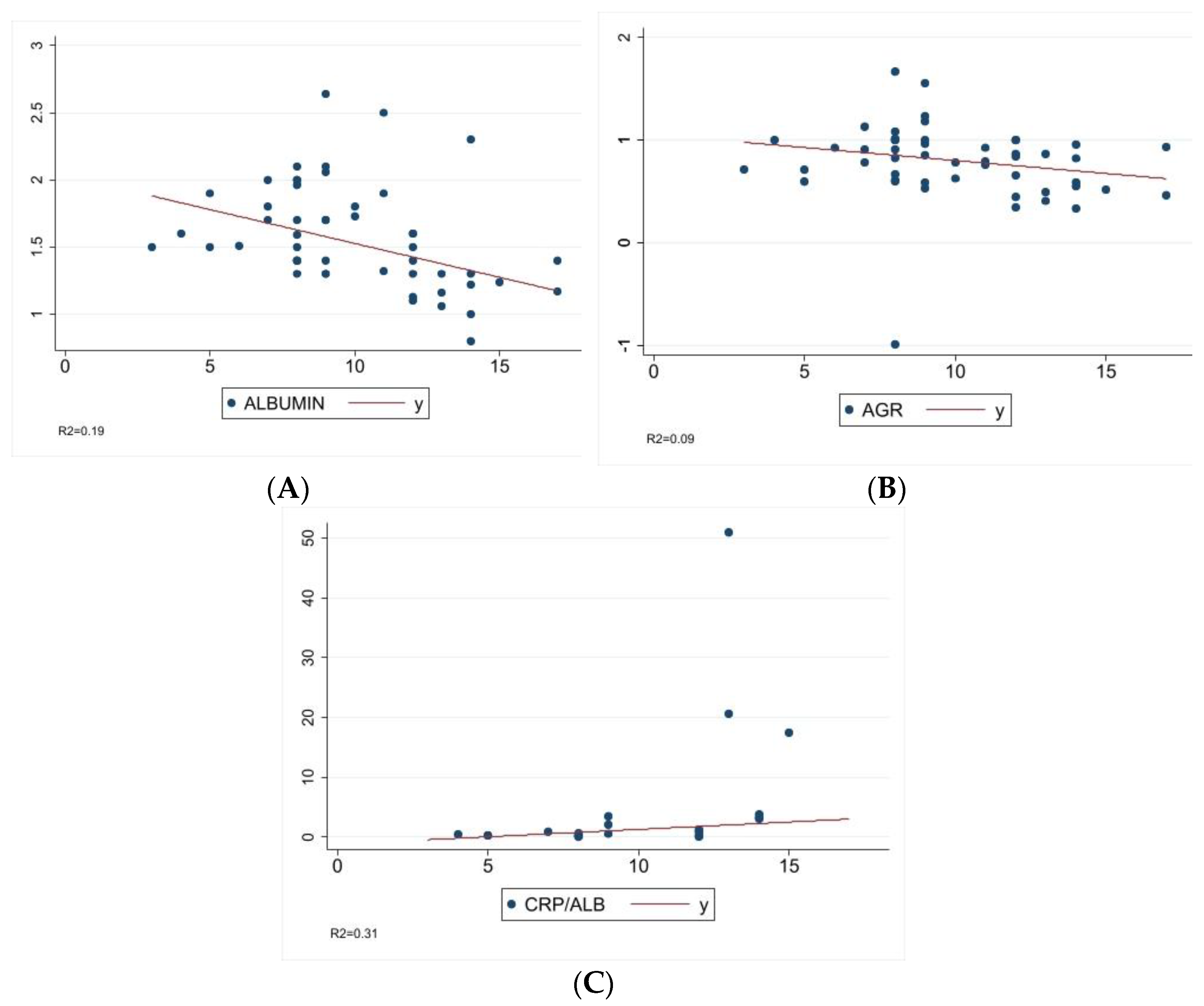
3.2. Association of the CCECAI Score with NLR, Albumin, AGR and CRP/ALB at T0
3.3. Association of the NLR with Albumin, AGR and CRP/ALB at T0
3.4. Comparison of the CCECAI Score, NLR, Albumin, AGR and CRP/ALB before Endoscopic Procedure (T0) and 1 Month after the Initiation of Immunosuppressants (T1)
4. Discussion
5. Conclusions
Author Contributions
Funding
Institutional Review Board Statement
Informed Consent Statement
Data Availability Statement
Conflicts of Interest
References
- Dossin, O.; Lavoué, R. Protein-losing enteropathies in dogs. Vet. Clin. N. Am. Small Anim. Pract. 2011, 41, 399–418. [Google Scholar] [CrossRef]
- Willard, M.D.; Helman, G.; Fradkin, J.M.; Becker, T.; Brown, R.M.; Lewis, B.C.; Weeks, B.R. Intestinal crypt lesions associated with protein-losing enteropathy in the dog. J. Vet. Intern. Med. 2000, 14, 298–307. [Google Scholar] [CrossRef] [PubMed]
- Allenspach, K.; Wieland, B.; Gröne, A.; Gaschen, F. Chronic enteropathies in dogs: Evaluation of risk factors for negative outcome. J. Vet. Intern. Med. 2007, 21, 700–708. [Google Scholar] [CrossRef]
- Washabau, R.J.; Day, M.J.; Willard, M.D.; Hall, E.J.; Jergens, E.J.; Mansell, J.; Minami, T.; Bilzer, T.W.; WSAVA International Gastrointestinal Standardization Group. Endoscopic, biopsy, and histopathologic guidelines for the evaluation of gastrointestinal inflammation in companion animals. J. Vet. Intern. Med. 2010, 24, 10–26. [Google Scholar] [CrossRef] [PubMed]
- Dandrieux, J.R. Inflammatory bowel disease versus chronic enteropathy in dogs: Are they one and the same? J. Small Anim. Pract. 2016, 57, 589–599. [Google Scholar] [CrossRef]
- Erdmann, C.; Heilmann, R.M. Diagnostic and therapeutic approach to chronic inflammatory enteropathies in dogs. Tierarztl Prax. Ausg. K Kleintiere Heimtiere 2017, 45, 317–327. [Google Scholar] [CrossRef]
- Segal, A.W. How neutrophils kill microbes. Annu. Rev. Immunol. 2005, 23, 197–223. [Google Scholar] [CrossRef]
- Selby, W.S.; Janossy, G.; Bofill, M.; Jewell, D.P. Intestinal lymphocyte subpopulations in inflammatory bowel disease: An analysis by immunohistological and cell isolation techniques. Gut 1984, 25, 32–40. [Google Scholar] [CrossRef]
- Murata, H.; Shimada, N.; Yoshioka, M. Current research on acute phase proteins in veterinary diagnosis: An overview. Vet. J. 2004, 168, 28–40. [Google Scholar] [CrossRef] [PubMed]
- Ikenoue, N.; Saitsu, Y.; Shimoda, M.; Kokue, E. Disease-induced alterations in plasma drug-binding proteins and their influence on drug binding percentages in dogs. Vet. Q. 2000, 22, 43–49. [Google Scholar] [CrossRef]
- Gasparyan, A.Y.; Ayvazyan, L.; Mukanova, U.; Yessirkepov, M.; Kitas, G.D. The platelet-to-lymphocyte ratio as an inflammatory marker in rheumatic diseases. Ann. Lab. Med. 2019, 39, 345–357. [Google Scholar] [CrossRef]
- Zahorec, R. Ratio of neutrophil to lymphocyte counts-Rapid and simple parameter of systemic inflammation and stress in critically ill. Bratisl. Lek. Listy 2001, 102, 5–14. [Google Scholar] [PubMed]
- Torun, S.; Tunc, B.D.; Suvak, B.; Yildiz, H.; Tas, A.; Sayilir, A.; Ozderin, Y.O.; Beyazit, Y.; Kayacetin, E. Assessment of neutrophil-lymphocyte ratio in ulcerative colitis: A promising marker in predicting disease severity. Clin. Res. Hepatol. Gastroenterol. 2012, 36, 491–497. [Google Scholar] [CrossRef] [PubMed]
- Acarturk, G.; Acay, A.; Demir, K.; Ulu, M.S.; Ahsen, A.; Yuksel, S. Neutrophil-to-lymphocyte ratio in inflammatory bowel disease as a new predictor of disease severity. Bratisl. Lek. Listy 2015, 116, 213–217. [Google Scholar] [CrossRef] [PubMed]
- Demir, A.K.; Demirtas, A.; Kaya, S.U.; Tastan, I.; Butun, I.; Sagcan, M.; Sahin, S.; Tasliyurt, T.; Yilmaz, A. The relationship between the neutrophil-lymphocyte ratio and disease activity in patients with ulcerative colitis. Kaohsiung J. Med. Sci. 2015, 31, 585–590. [Google Scholar] [CrossRef]
- Feng, J.R.; Qiu, X.; Wang, F.; Chen, P.F.; Gao, Q.; Peng, Y.N.; Lin, X.; Liu, Q.; Liu, J.; Zhao, Q.; et al. Diagnostic value of neutrophil-to lymphocyte ratio and platelet-to-lymphocyte ratio in crohn’s disease. Gastroenterol. Res. Pract. 2017, 2017, 3526460. [Google Scholar] [CrossRef] [PubMed]
- Bertani, L.; Rossari, F.; Barberio, B.; Demarzo, M.G.; Tapete, G.; Albano, E.; Baiano Svizzero, G.; Ceccarelli, L.; Mumolo, M.G.; Brombin, C.; et al. Novel prognostic biomarkers of mucosal healing in ulcerative colitis patients treated with anti-TNF: Neutrophil-to-lymphocyte ratio and platelet-to-lymphocyte ratio. Inflamm. Bowel Dis. 2020, 26, 1579–1587. [Google Scholar] [CrossRef] [PubMed]
- Benvenuti, E.; Pierini, A.; Gori, E.; Lucarelli, C.; Lubas, G.; Marchetti, V. Neutrophil-to-Lymphocyte Ratio (NLR) in Canine Inflammatory Bowel Disease (IBD). Vet. Sci. 2020, 7, 141. [Google Scholar] [CrossRef]
- Becher, A.; Suchodolski, J.S.; Steiner, J.M.; Heilmann, R.M. Blood neutrophil-to-lymphocyte ratio (NLR) as a diagnostic marker in dogs with chronic enteropathy. J. Vet. Diagn. Investig. 2021, 33, 516–527. [Google Scholar] [CrossRef] [PubMed]
- Niedziela, J.T.; Hudzik, B.; Szygula-Jurkiewicz, B.; Nowak, J.U.; Polonski, L.; Gasior, M.; Rozentryt, P. Albumin-to-globulin ratio as an independent predictor of mortality in chronic heart failure. Biomark. Med. 2018, 12, 749–757. [Google Scholar] [CrossRef] [PubMed]
- Zeng, M.; Liu, Y.; Liu, F.; Peng, Y.; Sun, L.; Xiao, L. Association between albumin-to-globulin ratio and long-term mortality in patients with chronic kidney disease: A cohort study. Int. Urol. Nephrol. 2020, 52, 1103–1115. [Google Scholar] [CrossRef] [PubMed]
- Wang, Y.; Li, C.; Wang, W.; Wang, J.; Li, J.; Qian, S.; Cai, C.; Liu, Y. Serum Albumin to Globulin Ratio is Associated with the Presence and Severity of Inflammatory Bowel Disease. J. Inflamm. Res. 2022, 15, 1907–1920. [Google Scholar] [CrossRef] [PubMed]
- Gabay, C.; Kushner, I. Acute-phase proteins and other systemic responses to inflammation. N. Engl. J. Med. 1999, 340, 448–454. [Google Scholar] [CrossRef] [PubMed]
- Levitt, D.G.; Levitt, M.D. Human serum albumin homeostasis: A new look at the roles of synthesis, catabolism, renal and gastrointestinal excretion, and the clinical value of serum albumin measurements. Int. J. Gen. Med. 2016, 9, 229–255. [Google Scholar] [CrossRef]
- Macfarlane, L.; Morris, J.; Pratschke, K.; Mellor, D.; Scase, T.; Macfarlane, M.; Mclauchlan, G. Diagnostic value of neutrophil–lymphocyte and albumin–globulin ratios in canine soft tissue sarcoma. J. Small Anim. Pract. 2016, 57, 135–141. [Google Scholar] [CrossRef] [PubMed]
- Hartmann, K.; Binder, C.; Hirschberger, J.; Cole, D.; Reinacher, M.; Schroo, S.; Frost, J.; Egberink, H.; Lutz, H.; Hermanns, W. Comparison of different tests to diagnose feline infectious peritonitis. J. Vet. Intern. Med. 2003, 17, 781–790. [Google Scholar] [CrossRef]
- Ribeiro, R.R.; Magno da Silva, S.; de Oliveira Fulgêncio, G.; Marques Michalick, M.S.; Frézard, F.J.G. Relationship between clinical and pathological signs and severity of canine leishmaniasis. Rev. Bras. Parasitol. Vet. 2013, 22, 373–378. [Google Scholar] [CrossRef]
- Covin, M.A.; Steiner, J.M. Measurement and clinical applications of C-reactive protein in gastrointestinal diseases of dogs. Vet. Clin. Pathol. 2022, 50 (Suppl. S1), 29–36. [Google Scholar] [CrossRef]
- Behling-Kelly, E.; Haak, C.E.; Carney, P.; Waffle, J.; Eaton, K.; Goggs, R. Acute phase protein response and changes in lipoprotein particle size in dogs with systemic inflammatory response syndrome. J. Vet. Intern. Med. 2022, 36, 993–1004. [Google Scholar] [CrossRef]
- Shimada, K.; Komiya, A.; Yokogawa, N.; Nishino, J.; Sugii, S.; Tohma, S. Impact of the size and number of swollen joints on serum C-reactive protein level and erythrocyte sedimentation rate in rheumatoid arthritis: A cross-sectional study in Japan. Clin. Rheumatol. 2017, 36, 427–431. [Google Scholar] [CrossRef]
- Barber, D.; Pilsworth, S.; Wat, D. Does availability of point of care C-reactive protein measurement affect provision of antibiotics in a community respiratory service? Br. J. Community Nurs. 2022, 27, 218–224. [Google Scholar] [CrossRef] [PubMed]
- Fairclough, E.; Cairns, E.; Hamilton, J.; Kelly, C. Evaluation of a modified early warning system for acute medical admissions and comparison with C-reactive protein/albumin ratio as a predictor of patient outcome. Clin. Med. 2009, 9, 30–33. [Google Scholar] [CrossRef] [PubMed]
- Wu, J.; Tan, W.; Chen, L.; Huang, Z.; Mai, S. Clinicopathologic and prognostic significance of C-reactive protein/albumin ratio in patients with solid tumors: An updated systemic review and meta-analysis. Oncotarget 2018, 9, 13934–13947. [Google Scholar] [CrossRef] [PubMed]
- Seringec Akkececi, N.; Cetin, G.Y.; Gogebakan, H.; Acipayam, C. The C-reactive protein/albumin ratio and complete blood count parameters as indicators of disease activity in patients with Takayasu arteritis. Med. Sci. Monit. 2019, 25, 1401–1409. [Google Scholar] [CrossRef] [PubMed]
- Qin, G.; Tu, J.; Liu, L.; Luo, L.; Wu, J.; Tao, L.; Zhang, C.; Geng, X.; Chen, X.; Ai, X.; et al. Serum albumin and C-reactive protein/albumin ratio are useful biomarkers of Crohn’s disease activity. Med. Sci. Monit. 2016, 22, 4393–4400. [Google Scholar] [CrossRef]
- Tamura, Y.; Ohta, H.; Kagawa, Y.; Osuga, T.; Morishita, K.; Sasaki, N.; Takiguchi, M. Plasma amino acid profiles in dogs with inflammatory bowel disease. J. Vet. Intern. Med. 2019, 33, 1602–1607. [Google Scholar] [CrossRef] [PubMed]
- Equilino, M.; Théodoloz, V.; Gorgas, D.; Doherr, M.G.; Heilmann, R.M.; Suchodolski, J.S.; Steiner, J.M.; Burgener, I.A. Evaluation of serum biochemical marker concentrations and survival time in dogs with protein-losing enteropathy. J. Am. Vet. Med. Assoc. 2015, 246, 91–99. [Google Scholar] [CrossRef] [PubMed]
- Heilmann, R.M.; Berghoff, N.; Mansell, J.; Grützner, N.; Parnell, N.K.; Gurtner, C.; Suchodolski, J.S.; Steiner, J.M. Association of fecal calprotectin concentrations with disease severity, response to treatment, and other biomarkers in dogs with chronic inflammatory enteropathies. J. Vet. Intern. Med. 2018, 32, 679–692. [Google Scholar] [CrossRef] [PubMed]
- Neumann, S. Neutrophil-to-lymphocyte and plate-let-to-lymphocyte ratios in dogs and cats with acute pancreatitis. Vet. Clin. Pathol. 2021, 50, 45–51. [Google Scholar] [CrossRef]
- Craven, M.D.; Washabau, R.J. Comparative pathophysiology and management of protein-losing enteropathy. J. Vet. Intern. Med. 2019, 33, 383–402. [Google Scholar] [CrossRef]
- Moretti, P.; Franchi, R.; Poluzzi, T.M.; Paltrinieri, S. Analytical variability and uncertainty in canine leukocyte ratios obtained with manual counts. Vet. Rec. 2022, 191, e1628. [Google Scholar] [CrossRef]
- Ozler, G.S.; Gunak, G. Neutrophil-lymphocyte ratio: A new predictive and prognostic factor in patients with Bell palsy. J. Craniofac. Surg. 2014, 25, 944–945. [Google Scholar] [CrossRef]
- Allenspach, K.; Iennarella-Servantez, C. Canine Protein Losing Enteropathies and Systemic Complications. Vet. Clin. N. Am. Small Anim. Pract. 2021, 51, 111–122. [Google Scholar] [CrossRef]
- Karbach, U.; Ewe, K.; Bodenstein, H. Alpha 1-antitrypsin, a reliable endogenous marker for intestinal protein loss and its application in patients with Crohn’s disease. Gut 1983, 24, 718–723. [Google Scholar] [CrossRef] [PubMed]
- Fischbach, W.; Becker, W.; Mossner, J.; Koch, W.; Reiners, C. Fecal alpha-1-antitrypsin and excretion of 111indium granulocytes in assessment of disease activity in chronic inflammatory bowel diseases. Gut 1987, 28, 386–393. [Google Scholar] [CrossRef] [PubMed]
- Kim, E.S.; Kwon, Y.; Choe, Y.H.; Kim, M.J. Albumin-to-Globulin Ratio at 1 Year after Anti-Tumor Necrosis Factor α Therapy Can Serve as a Prognostic Biomarker in Pediatric Crohn’s Disease Patients. Gut Liver 2022, 16, 71–80. [Google Scholar] [CrossRef] [PubMed]
- Ingenbleek, Y.; Carpentier, Y.A. A prognostic inflammatory and nutritional index scoring critically ill patients. Int. J. Vitam. Nutr. Res. 1985, 5, 91–101. [Google Scholar]
- Schlossmacher, P.; Hasselmann, M.; Meyer, N.; Kara, F.; Delabranche, X.; Kummerlen, C.; Ingenbleek, Y. The prognostic value of nutritional and inflammatory indices in critically ill patients with acute respiratory failure. Clin. Chem. Lab. Med. 2002, 40, 1339–1343. [Google Scholar] [CrossRef]
- Fuhrman, P.; Charney, P.; Mueller, C.M. Hepatic proteins and nutrition assessment. J. Am. Diet. Assoc. 2004, 104, 1258–1264. [Google Scholar] [CrossRef] [PubMed]
- Martınez-Subiela, S.; Tecles, F.; Eckersall, P.D.; Ceron, J.J. Serum concentrations of acute phase proteins in dogs with leishmaniosis. Vet. Rec. 2002, 150, 241–244. [Google Scholar] [CrossRef] [PubMed]
- Zhou, F.S.; Gao, N.; Sun, X.; Jiang, X.Y.; Chen, J.J.; Mao, Q.Q.; Zhong, L. C-reactive protein/albumin ratio is a useful biomarker for predicting the mucosal healing in the Crohn disease A retrospective study. Medicine 2021, 100, e24925. [Google Scholar] [CrossRef] [PubMed]
- Glapa-Nowak, A.; Szczepanik, M.; Banaszkiewicz, A.; Kwiecień, J.; Szaflarska-Popławska, A.; Grzybowska-Chlebowczyk, U.; Osiecki, M.; Kierkuś, J.; Dziekiewicz, M.; Walkowiak, J. C-Reactive Protein/Albumin Ratio at Diagnosis of Pediatric Inflammatory Bowel Disease: A Retrospective Multi-Center Study. Med. Sci. Monit. 2022, 28, e937842. [Google Scholar] [CrossRef] [PubMed]



| Parameter | N | Value |
|---|---|---|
| Age (months) | 67 | 72 (24–108) |
| Sex (female/male) | 68 | 25/43 |
| Weight (kg) | 57 | 21 (12–32) |
| Neutrophil count (×109 L) | 68 | 5.63 (4.7–6.58) |
| Lymphocyte count (×109L) | 68 | 2.22 (1.7–3.22) |
| NLR | 68 | 2.42 (1.83–3.41) |
| Albumin (g/dL) | 61 | 3.11 (3–3.32) |
| Globulin (g/dL) | 61 | 3.46 (3.1–3.8) |
| AGR | 61 | 0.93 (0.82–1.07) |
| Parameter | N | Value |
|---|---|---|
| Age (months) | 53 | 84 (68–108) |
| Sex (female/male) | 53 | 26/27 |
| Weight (kg) | 51 | 17 (6.8–24.7) |
| CCECAI score | 50 | 9 (8–12) |
| Disease severity groups | ||
| MI (CCECAI 4–5) | 4 (8%) | |
| MO (CCECAI 6–8) | 15 (30%) | |
| S (CCECAI 9–11) | 13 (26%) | |
| V (CCECAI ≥ 12) | 18 (36%) | |
| Neutrophil count (×109 L) | 53 | 9.27 (7.27–12.61) |
| Lymphocyte count (×109 L) | 53 | 1.63 (1.2–2.06) |
| NLR | 53 | 5.74 (4.35–8.24) |
| Albumin (g/dL) | 53 | 1.5 (1.3–1.9) |
| Hypoalbuminemia classes | ||
| MIA (1.5–2.8 g/dL) | 29 (54.7%) | |
| MOA (1.2–1.49 g/dL) | 19 (35.9%) | |
| SA (<1.2 g/dL) | 5 (9.4%) | |
| Globulin (g/dL) | 53 | 2.1 (1.6–2.4) |
| AGR | 53 | 0.824 (0.6–1) |
| CRP (mg/dL) | 24 | 1.39 (0.5–4.5) |
| CRP/ALB | 24 | 0.95 (0.31–3.43) |
| Coefficient | Std. Err. | t | p > t | 96% CI | ||
|---|---|---|---|---|---|---|
| Albumin | −0.0504471 | 0.0151 | −3.34 | 0.002 | −0.0808 | −0.0200935 |
| AGR | −0.0252888 | 0.0118 | −2.14 | 0.037 | −0.04901 | −0.0015685 |
| CRP/ALB | 0.2463005 | 0.08132 | 3.03 | 0.007 | 0.076669 | 0.4159323 |
| Parameter | p Value |
|---|---|
| CCECAI | 0.000 |
| NLR | 0.035 |
| Albumin | 0.0001 |
| AGR | 0.044 |
| CRP/ALB | 0.031 |
Disclaimer/Publisher’s Note: The statements, opinions and data contained in all publications are solely those of the individual author(s) and contributor(s) and not of MDPI and/or the editor(s). MDPI and/or the editor(s) disclaim responsibility for any injury to people or property resulting from any ideas, methods, instructions or products referred to in the content. |
© 2023 by the authors. Licensee MDPI, Basel, Switzerland. This article is an open access article distributed under the terms and conditions of the Creative Commons Attribution (CC BY) license (https://creativecommons.org/licenses/by/4.0/).
Share and Cite
Cagnasso, F.; Borrelli, A.; Bottero, E.; Benvenuti, E.; Ferriani, R.; Marchetti, V.; Ruggiero, P.; Bruno, B.; Maurella, C.; Gianella, P. Comparative Evaluation of Peripheral Blood Neutrophil to Lymphocyte Ratio, Serum Albumin to Globulin Ratio and Serum C-Reactive Protein to Albumin Ratio in Dogs with Inflammatory Protein-Losing Enteropathy and Healthy Dogs. Animals 2023, 13, 484. https://doi.org/10.3390/ani13030484
Cagnasso F, Borrelli A, Bottero E, Benvenuti E, Ferriani R, Marchetti V, Ruggiero P, Bruno B, Maurella C, Gianella P. Comparative Evaluation of Peripheral Blood Neutrophil to Lymphocyte Ratio, Serum Albumin to Globulin Ratio and Serum C-Reactive Protein to Albumin Ratio in Dogs with Inflammatory Protein-Losing Enteropathy and Healthy Dogs. Animals. 2023; 13(3):484. https://doi.org/10.3390/ani13030484
Chicago/Turabian StyleCagnasso, Federica, Antonio Borrelli, Enrico Bottero, Elena Benvenuti, Riccardo Ferriani, Veronica Marchetti, Piero Ruggiero, Barbara Bruno, Cristiana Maurella, and Paola Gianella. 2023. "Comparative Evaluation of Peripheral Blood Neutrophil to Lymphocyte Ratio, Serum Albumin to Globulin Ratio and Serum C-Reactive Protein to Albumin Ratio in Dogs with Inflammatory Protein-Losing Enteropathy and Healthy Dogs" Animals 13, no. 3: 484. https://doi.org/10.3390/ani13030484
APA StyleCagnasso, F., Borrelli, A., Bottero, E., Benvenuti, E., Ferriani, R., Marchetti, V., Ruggiero, P., Bruno, B., Maurella, C., & Gianella, P. (2023). Comparative Evaluation of Peripheral Blood Neutrophil to Lymphocyte Ratio, Serum Albumin to Globulin Ratio and Serum C-Reactive Protein to Albumin Ratio in Dogs with Inflammatory Protein-Losing Enteropathy and Healthy Dogs. Animals, 13(3), 484. https://doi.org/10.3390/ani13030484

