Investigation of Gene Networks in Three Components of Immune System Provides Novel Insights into Immune Response Mechanisms against Edwardsiella tarda Infection in Paralichthys olivaceus
Abstract
Simple Summary
Abstract
1. Introduction
2. Materials and Methods
2.1. Sample Acquisition
2.2. RNA-Seq and Screening of Differentially Expressed Genes
2.3. Construction of Gene Co-Expression Network
2.4. Identification of Key Modules and Genes
2.5. qRT-PCR Validation
3. Results
3.1. Screening of DEGs
3.2. WGCNA
3.3. Identification and Functional Analysis of Key Modules
3.4. Construction of PPI Network and WGCNA Key Networks
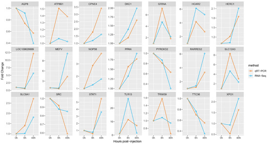
3.5. Validation of Hub Genes Using qRT-PCR
4. Discussion
4.1. Comprehensive Analysis of WGCNA and PPI Network
4.2. Functional Analyses of Key Modules and Genes
4.2.1. Analysis of Magenta Module Associated with Blood Immunity
4.2.2. Analysis of Green Module Associated with Kidney Immunity
4.2.3. Analysis of Blue Module Associated with Gill Immunity
4.2.4. Analysis of Yellow Module Associated with 0 h Infection
4.2.5. Analysis of Lightgreen Module Associated with 8 h Infection
4.2.6. Analysis of Cyan Module Associated with 48 h Infection
4.3. Gene Function Analyses between Modules
5. Conclusions
Supplementary Materials
Author Contributions
Funding
Institutional Review Board Statement
Data Availability Statement
Conflicts of Interest
References
- Lou, B.; Gao, L.; Mao, G.; Shi, H.L.; Luo, J.A. Analysis and evaluation of the nutritional components in the muscle of Paralichthys olivaceus. Acta Nutr. Sinica 2010, 32, 195–197. [Google Scholar]
- Junhao, N.; Hu, P.; Li, B.; Jiang, C. Nutritional comparison in muscle of wild, pond and factory cultured Japanese flounder (Paralichthys olivaceus) adults. Aquac. Res. 2018, 49, 2572–2578. [Google Scholar] [CrossRef]
- Zhang, H.; Fu, Y.; Shi, Z.; Su, Y.; Zhang, J. miR-17 is involved in Japanese Flounder (Paralichthys olivaceus) development by targeting the Cdc42 mRNA. Comp. Biochem. Physiol. Part B Biochem. Mol. Biol. 2016, 191, 163–170. [Google Scholar] [CrossRef]
- Zhao, X.; Guan, C.; Dong, D.; Cui, Y.; Li, J.; Gao, T. Comparison of Appearances and Nutritive Components of Muscles among Cage Farmed, Industrially Culrtured and Wild Paralichthys olivaceus. Period. Ocean. Univ. China 2014, 44, 041–047. [Google Scholar]
- Zhang, F.; Qiu, X.; Liu, Y.; Wang, J.; Li, X.; Wang, X. Expression analysis of three immune genes Interferon-gamma, Mx and Interferon regulatory factor-1 of Japanese flounder (Paralichthys olivaceus). Braz. Arch. Biol. Technol. 2017, 60, e17160243. [Google Scholar] [CrossRef][Green Version]
- Bin Park, S.; Nho, S.W.; Bin Jang, H.; Cha, I.S.; Lee, J.-H.; Aoki, T.; Jung, T.S. Phenotypic and genotypic analysis of Edwardsiella tarda isolated from olive founder (Paralichthys olivaceus) and Japanese eel (Anguilla japonica). Aquaculture 2017, 473, 449–455. [Google Scholar] [CrossRef]
- Yan, W.; Qiao, Y.; He, J.; Wang, Q.; Chen, Z.; Ni, F.; Liu, Y.; Liu, X.; Zhang, Q.; Wang, X. Characterisation, evolution and expression analysis of heat shock protein 20 genes from Japanese flounder (Paralichthys olivaceus) in response to Edwardsiella tarda infection. Aquaculture 2020, 529, 735722. [Google Scholar] [CrossRef]
- Bin Park, S.; Aoki, T.; Jung, T.S. Pathogenesis of and strategies for preventing Edwardsiella tarda infection in fish. Veter Res. 2012, 43, 67–77. [Google Scholar] [CrossRef]
- Xu, T.; Zhang, X.-H. Edwardsiella tarda: An intriguing problem in aquaculture. Aquaculture 2014, 431, 129–135. [Google Scholar] [CrossRef]
- Nikapitiya, C.; Chandrarathna, H.; Dananjaya, S.; De Zoysa, M.; Lee, J. Isolation and characterization of phage (ETP-1) specific to multidrug resistant pathogenic Edwardsiella tarda and its in vivo biocontrol efficacy in zebrafish (Danio rerio). Biologicals 2020, 63, 14–23. [Google Scholar] [CrossRef]
- Yan, W.; Qiao, Y.; Qu, J.; Liu, X.; Zhang, Q.; Wang, X. The hsp40 Gene Family in Japanese Flounder: Identification, Phylogenetic Relationships, Molecular Evolution Analysis, and Expression Patterns. Front. Mar. Sci. 2021, 7, 596534. [Google Scholar] [CrossRef]
- Hossain, M.; Kawai, K.; Oshima, S. Immunogenicity of Pressure Inactivated Edwardsiella tarda Bacterin to Anguilla japonica (Japanese Eel). Pak. J. Biol. Sci. 2011, 14, 755–767. [Google Scholar] [CrossRef][Green Version]
- Wang, L.; Xiao, J.; Cui, S.; Wang, Q.; Wu, H.; Liu, Q.; Zhang, Y. HU-induced polymorphous filamentation in fish pathogen Edwardsiella tarda leading to reduced invasion and virulence in zebrafish. Veter Microbiol. 2014, 171, 165–174. [Google Scholar] [CrossRef] [PubMed]
- Wang, J.-J.; Sun, L. Edwardsiella tarda-regulated proteins in Japanese flounder (Paralichthys olivaceus): Identification and evaluation of antibacterial potentials. J. Proteom. 2015, 124, 1–10. [Google Scholar] [CrossRef] [PubMed]
- Plouffe, D.A.; Hanington, P.C.; Walsh, J.G.; Wilson, E.C.; Belosevic, M. Comparison of select innate immune mechanisms of fish and mammals. Xenotransplantation 2005, 12, 266–277. [Google Scholar] [CrossRef]
- Zhu, L.-Y.; Nie, L.; Zhu, G.; Xiang, L.-X.; Shao, J.-Z. Advances in research of fish immune-relevant genes: A comparative overview of innate and adaptive immunity in teleosts. Dev. Comp. Immunol. 2013, 39, 39–62. [Google Scholar] [CrossRef]
- Xing, J.; Zhang, Z.; Luo, K.; Tang, X.; Sheng, X.; Zhan, W. T and B lymphocytes immune responses in flounder (Paralichthys olivaceus) induced by two forms of outer membrane protein K from Vibrio anguillarum: Subunit vaccine and DNA vaccine. Mol. Immunol. 2019, 118, 40–51. [Google Scholar] [CrossRef]
- Ye, H.; Lin, Q.; Luo, H. Applications of transcriptomics and proteomics in understanding fish immunity. Fish Shellfish Immunol. 2018, 77, 319–327. [Google Scholar] [CrossRef]
- Magrone, T.; Russo, M.A.; Jirillo, E. Dietary Approaches to Attain Fish Health with Special Reference to their Immune System. Curr. Pharm. Des. 2019, 24, 4921–4931. [Google Scholar] [CrossRef]
- Somamoto, T.; Miura, Y.; Nakanishi, T.; Nakao, M. Local and systemic adaptive immune responses toward viral infection via gills in ginbuna crucian carp. Dev. Comp. Immunol. 2015, 52, 81–87. [Google Scholar] [CrossRef]
- Li, Z.; Liu, X.; Cheng, J.; He, Y.; Wang, X.; Wang, Z.; Qi, J.; Yu, H.; Zhang, Q. Transcriptome profiling provides gene resources for understanding gill immune responses in Japanese flounder (Paralichthys olivaceus) challenged with Edwardsiella tarda. Fish Shellfish. Immunol. 2018, 72, 593–603. [Google Scholar] [CrossRef] [PubMed]
- Buchmann, K. Immune response to Ichthyophthirius multifiliis and role of IgT. Parasite Immunol. 2019, 42, e12675. [Google Scholar] [CrossRef] [PubMed]
- Cha, I.-S.; Kwon, J.; Nho, S.-W.; Jang, H.-B.; Park, S.-B.; del Castillo, C.S.; Hikima, J.-I.; Aoki, T.; Jung, T.-S. Kidney proteome responses in the teleost fish Paralichthys olivaceus indicate a putative immune response against Streptococcus parauberis. J. Proteom. 2012, 75, 5166–5175. [Google Scholar] [CrossRef]
- Xu, H.; Xing, J.; Tang, X.; Sheng, X.; Zhan, W. Immune response and protective effect against Vibrio anguillarum induced by DNA vaccine encoding Hsp33 protein. Microb. Pathog. 2019, 137, 103729. [Google Scholar] [CrossRef]
- Liu, X.; Li, Z.; Wu, W.; Liu, Y.; Liu, J.; He, Y.; Wang, X.; Wang, Z.; Qi, J.; Yu, H.; et al. Sequencing-based network analysis provides a core set of gene resource for understanding kidney immune response against Edwardsiella tarda infection in Japanese flounder. Fish Shellfish. Immunol. 2017, 67, 643–654. [Google Scholar] [CrossRef]
- Li, Z.; Liu, X.; Liu, J.; Zhang, K.; Yu, H.; He, Y.; Wang, X.; Qi, J.; Wang, Z.; Zhang, Q. Transcriptome profiling based on protein–protein interaction networks provides a core set of genes for understanding blood immune response mechanisms against Edwardsiella tarda infection in Japanese flounder (Paralichthys olivaceus). Dev. Comp. Immunol. 2017, 78, 100–113. [Google Scholar] [CrossRef]
- Ronald, L.; Alfaro, A.C.; Merien, F.; Burdass, M.; Venter, L.; Young, T. In vitro immune response of chinook salmon (Oncorhynchus tshawytscha) peripheral blood mononuclear cells stimulated by bacterial lipopolysaccharide. Fish Shellfish. Immunol. 2019, 94, 190–198. [Google Scholar] [CrossRef]
- Stosik, M.; Tokarz-Deptuła, B.; Deptuła, J.; Deptuła, W. Immune Functions of Erythrocytes in Osteichthyes. Front. Immunol. 2020, 11, 1914. [Google Scholar] [CrossRef]
- Makesh, M.; Sudheesh, P.S.; Cain, K.D. Systemic and mucosal immune response of rainbow trout to immunization with an attenuated Flavobacterium psychrophilum vaccine strain by different routes. Fish Shellfish Immunol. 2015, 44, 156–163. [Google Scholar] [CrossRef]
- Cui, W.; Ma, A. Transcriptome analysis provides insights into the effects of myo-inositol on the turbot Scophthalmus maximus. Fish Shellfish Immunol. 2020, 106, 691–704. [Google Scholar] [CrossRef]
- Zhang, J.; Sun, L. Transcriptome analysis reveals temperature-regulated antiviral response in turbot Scophthalmus maximus. Fish Shellfish Immunol. 2017, 68, 359–367. [Google Scholar] [CrossRef] [PubMed]
- Cui, W.; Ma, A.; Huang, Z.; Wang, X.; Sun, Z.; Liu, Z.; Zhang, W.; Yang, J.; Zhang, J.; Qu, J. Transcriptomic analysis reveals putative osmoregulation mechanisms in the kidney of euryhaline turbot Scophthalmus maximus responded to hypo-saline seawater. J. Oceanol. Limnol. 2020, 38, 195–211. [Google Scholar] [CrossRef]
- Zhao, L.; Li, Y.; Lou, J.; Yang, Z.; Liao, H.; Fu, Q.; Guo, Z.; Lian, S.; Hu, X.; Bao, Z. Transcriptomic Profiling Provides Insights into Inbreeding Depression in Yesso Scallop Patinopecten yessoensis. Mar. Biotechnol. 2019, 21, 623–633. [Google Scholar] [CrossRef]
- Li, M.; Van Esch, B.C.A.M.; Wagenaar, G.T.M.; Garssen, J.; Folkerts, G.; Henricks, P.A.J. Pro- and anti-inflammatory effects of short chain fatty acids on immune and endothelial cells. Eur. J. Pharmacol. 2018, 831, 52–59. [Google Scholar] [CrossRef]
- Ponomarev, I.; Wang, S.; Zhang, L.; Harris, R.A.; Mayfield, R.D. Gene Coexpression Networks in Human Brain Identify Epigenetic Modifications in Alcohol Dependence. J. Neurosci. 2012, 32, 1884–1897. [Google Scholar] [PubMed]
- Zhang, B.; Horvath, S. A General Framework for Weighted Gene Co-Expression Network Analysis. Stat. Appl. Genet. Mol. Biol. 2005, 4, 17. [Google Scholar] [CrossRef] [PubMed]
- Szklarczyk, D.; Franceschini, A.; Kuhn, M.; Simonovic, M.; Roth, A.; Minguez, P.; Doerks, T.; Stark, M.; Muller, J.; Bork, P.; et al. The STRING database in 2011: Functional interaction networks of proteins, globally integrated and scored. Nucleic Acids Res. 2010, 39, D561–D568. [Google Scholar] [CrossRef]
- Wang, Z.; Wang, Q.; Wu, H.; Huang, Z. Identification and characterization of amphibian SLC26A5 using RNA-Seq. BMC Genom. 2021, 22, 564. [Google Scholar] [CrossRef]
- Zhang, L.; Hou, R.; Su, H.; Hu, X.; Wang, S.; Bao, Z. Network Analysis of Oyster Transcriptome Revealed a Cascade of Cellular Responses during Recovery after Heat Shock. PLoS ONE 2012, 7, e35484. [Google Scholar] [CrossRef]
- Azizian, N.G.; Li, Y. XPO1-dependent nuclear export as a target for cancer therapy. J. Hematol. Oncol. 2020, 13, 61. [Google Scholar] [CrossRef]
- Das, A.; Wei, G.; Parikh, K.; Liu, D. Selective inhibitors of nuclear export (SINE) in hematological malignancies. Exp. Hematol. Oncol. 2015, 4, 7. [Google Scholar] [CrossRef]
- Sun, Q.; Chen, X.; Zhou, Q.; Burstein, E.; Yang, S.; Jia, D. Inhibiting cancer cell hallmark features through nuclear export inhibition. Signal Transduct. Target. Ther. 2016, 1, 16010. [Google Scholar] [CrossRef] [PubMed]
- Croft, M. The role of TNF superfamily members in T-cell function and diseases. Nat. Rev. Immunol. 2009, 9, 271–285. [Google Scholar] [CrossRef] [PubMed]
- Wang, A.Y.; Liu, H. The past, present, and future of CRM1/XPO1 inhibitors. Stem Cell Investig. 2019, 6, 6. [Google Scholar] [CrossRef] [PubMed]
- Schneider, T.; Martinez-Martinez, A.; Cubillos-Rojas, M.; Bartrons, R.; Ventura, F.; Rosa, J.L. The E3 ubiquitin ligase HERC1 controls the ERK signaling pathway targeting C-RAF for degradation. Oncotarget 2018, 9, 31531–31548. [Google Scholar] [CrossRef] [PubMed]
- Pedrazza, L.; Schneider, T.; Bartrons, R.; Ventura, F.; Rosa, J.L. The ubiquitin ligase HERC1 regulates cell migration via RAF-dependent regulation of MKK3/p38 signaling. Sci. Rep. 2020, 10, 824–838. [Google Scholar] [CrossRef]
- Holloway, A.; Simmonds, M.; Azad, A.; Fox, J.L.; Storey, A. Resistance to UV-induced apoptosis by β-HPV5 E6 involves targeting of activated BAK for proteolysis by recruitment of the HERC1 ubiquitin ligase. Int. J. Cancer 2014, 136, 2831–2843. [Google Scholar] [CrossRef]
- Rose, C.R.; Ziemens, D.; Verkhratsky, A. On the special role of NCX in astrocytes: Translating Na+-transients into intracellular Ca2+ signals. Cell Calcium 2019, 86, 102154. [Google Scholar] [CrossRef]
- He, H.; Wu, S.; Ai, K.; Xu, R.; Zhong, Z.; Wang, Y.; Zhang, L.; Zhao, X.; Zhu, X. LncRNA ZNF503-AS1 acts as a tumor suppressor in bladder cancer by up-regulating Ca2+ concentration via transcription factor GATA6. Cell. Oncol. 2020, 44, 219–233. [Google Scholar] [CrossRef]
- Shimizu, C.; Eleftherohorinou, H.; Wright, V.J.; Kim, J.; Alphonse, M.P.; Perry, J.C.; Cimaz, R.; Burgner, D.; Dahdah, N.; Hoang, L.T.; et al. Genetic Variation in the SLC8A1 Calcium Signaling Pathway Is Associated with Susceptibility to Kawasaki Disease and Coronary Artery Abnormalities. Circ. Cardiovasc. Genet. 2016, 9, 559–568. [Google Scholar]
- Wang, J.; Huang, R.; Huang, Y.; Chen, Y.; Chen, F. Overexpression of NOP58 as a Prognostic Marker in Hepatocellular Carcinoma: A TCGA Data-Based Analysis. Adv. Ther. 2021, 38, 3342–3361. [Google Scholar] [CrossRef] [PubMed]
- Yang, J.; Zhang, W.; Sun, J.; Xi, Z.; Qiao, Z.; Zhang, J.; Wang, Y.; Ji, Y.; Feng, W. Screening of potential genes contributing to the macrocycle drug resistance of C. albicans via microarray analysis. Mol. Med. Rep. 2017, 16, 7527–7533. [Google Scholar] [CrossRef] [PubMed]
- Yang, Z.; Wang, J.; Huang, L.; Lilley, D.M.J.; Ye, K. Functional organization of box C/D RNA-guided RNA methyltransferase. Nucleic Acids Res. 2020, 48, 5094–5105. [Google Scholar] [CrossRef]
- Ruan, W.; Hu, J.; Zhou, H.; Li, Y.; Xu, C.; Luo, Y.; Chen, T.; Xu, B.; Yan, F.; Chen, G. Intranasal wnt-3a alleviates neuronal apoptosis in early brain injury post subarachnoid hemorrhage via the regulation of wnt target PPAN mediated by the moonlighting role of aldolase C. Neurochem. Int. 2019, 134, 104656. [Google Scholar] [CrossRef]
- Dannheisig, D.P.; Beck, E.; Calzia, E.; Walther, P.; Behrends, C.; Pfister, A.S. Loss of Peter Pan (PPAN) Affects Mitochondrial Homeostasis and Autophagic Flux. Cells 2019, 8, 894. [Google Scholar] [CrossRef] [PubMed]
- Pfister, A.S.; Keil, M.; Kühl, M. The Wnt Target Protein Peter Pan Defines a Novel p53-independent Nucleolar Stress-Response Pathway. J. Biol. Chem. 2015, 290, 10905–10918. [Google Scholar] [CrossRef] [PubMed]
- Liu, X.; Liu, L.; Wang, J.; Cui, H.; Chu, H.; Bi, H.; Zhao, G.; Wen, J. Genome-Wide Association Study of Muscle Glycogen in Jingxing Yellow Chicken. Genes 2020, 11, 497. [Google Scholar] [CrossRef]
- Goel, M.; Li, T.; Badea, T.C. Differential expression and sub-cellular localization of Copines in mouse retina. J. Comp. Neurol. 2019, 527, 2245–2262. [Google Scholar] [CrossRef]
- Nayagam, J.S.; Williamson, C.; Joshi, D.; Thompson, R.J. Review article: Liver disease in adults with variants in the cholestasis-related genes ABCB11, ABCB4 and ATP8B1. Aliment. Pharmacol. Ther. 2020, 52, 1628–1639. [Google Scholar] [CrossRef]
- Deng, L.; Niu, G.-M.; Ren, J.; Ke, C.-W.; Loura, L. Identification of ATP8B1 as a Tumor Suppressor Gene for Colorectal Cancer and Its Involvement in Phospholipid Homeostasis. BioMed Res. Int. 2020, 2020, 2015648. [Google Scholar] [CrossRef]
- Zarenezhad, M.; Dehghani, S.M.; Ejtehadi, F.; Fattahi, M.R.; Mortazavi, M.; Tabei, S.M.B. In-silico Evaluation of Rare Codons and their Positions in the Structure of ATP8b1 Gene. J. Biomed. Phys. Eng. 2019, 9, 105–120. [Google Scholar] [CrossRef]
- Roskoski, R., Jr. Src protein–tyrosine kinase structure and regulation. Biochem. Biophys. Res. Commun. 2004, 324, 1155–1164. [Google Scholar] [CrossRef] [PubMed]
- Levin, V.A. Basis and importance of SRC as a target in cancer. Cancer Treat. Res. 2004, 119, 89–119. [Google Scholar] [CrossRef] [PubMed]
- Lin, H.-H.; Hsiao, C.-C.; Pabst, C.; Hébert, J.; Schöneberg, T.; Hamann, J. Adhesion GPCRs in regulating immune responses and inflammation. Adv. Immunol. 2017, 136, 163–201. [Google Scholar] [CrossRef]
- Lowell, C.A. Src-family and Syk Kinases in Activating and Inhibitory Pathways in Innate Immune Cells: Signaling Cross Talk. Cold Spring Harb. Perspect. Biol. 2010, 3, 594–601. [Google Scholar] [CrossRef]
- De Kock, L.; Freson, K. The (Patho)Biology of SRC Kinase in Platelets and Megakaryocytes. Medicina 2020, 56, 633. [Google Scholar] [CrossRef]
- Salmond, R.J.; Filby, A.; Qureshi, I.; Caserta, S.; Zamoyska, R. T-cell receptor proximal signaling via the Src-family kinases, Lck and Fyn, influences T-cell activation, differentiation, and tolerance. Immunol. Rev. 2009, 228, 9–22. [Google Scholar] [CrossRef]
- Shi, Y.; Hu, S.; Duan, W.; Ding, T.; Zhao, Z. The distinct evolutionary properties of the tripartite motif-containing protein 39 in the Chinese softshell turtle based on its structural and functional characterization. Dev. Comp. Immunol. 2019, 99, 103407. [Google Scholar] [CrossRef]
- Wang, W.; Huang, Y.; Yu, Y.; Yang, Y.; Xu, M.; Chen, X.; Ni, S.; Qin, Q.; Huang, X. Fish TRIM39 regulates cell cycle progression and exerts its antiviral function against iridovirus and nodavirus. Fish Shellfish Immunol. 2016, 50, 1–10. [Google Scholar] [CrossRef]
- Zhang, Y.; Liu, Z. STAT1 in cancer: Friend or foe? Discov. Med. 2017, 24, 19–29. [Google Scholar]
- Hayden, M.S.; Ghosh, S. Shared Principles in NF-κB Signaling. Cell 2008, 132, 344–362. [Google Scholar] [CrossRef] [PubMed]
- Song, L.; Guo, X.; Zhao, F.; Wang, W.; Zhao, Z.; Jin, L.; Wu, C.; Yao, J.; Ma, Z. TTC36 inactivation induce malignant properties via Wnt-β-catenin pathway in gastric carcinoma. J. Cancer 2021, 12, 2598–2609. [Google Scholar] [CrossRef] [PubMed]
- Fesen, K.; Silveyra, P.; Fuentes, N.; Nicoleau, M.; Rivera, L.; Kitch, D.; Graff, G.R.; Siddaiah, R. The role of microRNAs in chronic pseudomonas lung infection in Cystic fibrosis. Respir. Med. 2019, 151, 133–138. [Google Scholar] [CrossRef] [PubMed]
- Ma, J.; Zhou, C.; Yang, J.; Ding, X.; Zhu, Y.; Chen, X. Expression of AQP6 and AQP8 in epithelial ovarian tumor. Histochem. J. 2016, 47, 129–134. [Google Scholar] [CrossRef]
- Prata, C.; Facchini, C.; Leoncini, E.; Lenzi, M.; Maraldi, T.; Angeloni, C.; Zambonin, L.; Hrelia, S.; Fiorentini, D. Sulforaphane Modulates AQP8-Linked Redox Signalling in Leukemia Cells. Oxidative Med. Cell. Longev. 2018, 2018, 4125297. [Google Scholar] [CrossRef]
- Bertolotti, M.; Farinelli, G.; Galli, M.; Aiuti, A.; Sitia, R. AQP8 transports NOX2-generated H2O2 across the plasma membrane to promote signaling in B cells. J. Leukoc. Biol. 2016, 100, 1071–1079. [Google Scholar] [CrossRef]
- Liu, H.; Jiang, X.; Wang, T.; Yu, F.; Wang, X.; Chen, J.; Xie, X.; Fan, H. Myeloid zinc finger 1 protein is a key transcription stimulating factor of PYROXD2 promoter. Oncol. Rep. 2017, 38, 3245–3253. [Google Scholar] [CrossRef]
- Wang, T.; Xie, X.; Liu, H.; Chen, F.; Du, J.; Wang, X.; Jiang, X.; Yu, F.; Fan, H. Pyridine nucleotide-disulphide oxidoreductase domain 2 (PYROXD2): Role in mitochondrial function. Mitochondrion 2019, 47, 114–124. [Google Scholar] [CrossRef]
- Chen, K.; Yang, L.N.; Lai, C.; Liu, D.; Zhu, L.-Q. Role of Grina/Nmdara1 in the Central Nervous System Diseases. Curr. Neuropharmacol. 2020, 18, 861–867. [Google Scholar] [CrossRef]
- Li, L.; Liu, J.-C.; Lai, F.-N.; Liu, H.-Q.; Zhang, X.-F.; Dyce, P.W.; Shen, W.; Chen, H. Di (2-ethylhexyl) Phthalate Exposure Impairs Growth of Antral Follicle in Mice. PLoS ONE 2016, 11, e0148350. [Google Scholar] [CrossRef]
- Rojas-Rivera, D.; Armisén, R.; Colombo, A.; Martínez, G.; Eguiguren, A.L.; Díaz, A.; Kiviluoto, S.; Rodríguez, D.; Patron, M.; Rizzuto, R.; et al. TMBIM3/GRINA is a novel unfolded protein response (UPR) target gene that controls apoptosis through the modulation of ER calcium homeostasis. Cell Death Differ. 2012, 19, 1013–1026. [Google Scholar] [CrossRef] [PubMed]
- Cui, H.; Shan, H.; Miao, M.Z.; Jiang, Z.; Meng, Y.; Chen, R.; Zhang, L.; Liu, Y. Identification of the key genes and pathways involved in the tumorigenesis and prognosis of kidney renal clear cell carcinoma. Sci. Rep. 2020, 10, 4271. [Google Scholar] [CrossRef]
- Urwin, S.; Willows, J.; Sayer, J.A. The challenges of diagnosis and management of Gitelman syndrome. Clin. Endocrinol. 2019, 92, 3–10. [Google Scholar] [CrossRef] [PubMed]
- Hruba, P.; Krejcik, Z.; Stranecky, V.; Maluskova, J.; Slatinska, J.; Gueler, F.; Gwinner, W.; Bräsen, J.H.; Wohlfahrtova, M.; Parikova, A.; et al. Molecular Patterns Discriminate Accommodation and Subclinical Antibody-mediated Rejection in Kidney Transplantation. Transplantation 2019, 103, 909–917. [Google Scholar] [CrossRef]
- Zhou, H.; Liang, X.; Qing, Y.; Meng, B.; Zhou, J.; Huang, S.; Lu, S.; Huang, Z.; Yang, H.; Ma, Y.; et al. Complicated Gitelman syndrome and autoimmune thyroid disease: A case report with a new homozygous mutation in the SLC12A3 gene and literature review. BMC Endocr. Disord. 2018, 18, 82. [Google Scholar] [CrossRef] [PubMed]
- Takabe, S.; Inokuchi, M.; Yamaguchi, Y.; Hyodo, S. Distribution and dynamics of branchial ionocytes in houndshark reared in full-strength and diluted seawater environments. Comp. Biochem. Physiol. Part A Mol. Integr. Physiol. 2016, 198, 22–32. [Google Scholar] [CrossRef]
- Cavalli, G.; Dinarello, C.A. Suppression of inflammation and acquired immunity by IL-37. Immunol. Rev. 2017, 281, 179–190. [Google Scholar] [CrossRef]
- Mattern, A.; Zellmann, T.; Beck-Sickinger, A.G. Processing, signaling, and physiological function of chemerin. IUBMB Life 2014, 66, 19–26. [Google Scholar] [CrossRef]
- Rennier, K.R.; Shin, W.J.; Krug, E.; Virdi, G.S.; Pachynski, R.K. Chemerin Reactivates PTEN and Suppresses PD-L1 in Tumor Cells via Modulation of a Novel CMKLR1-mediated Signaling Cascade. Clin. Cancer Res. 2020, 26, 5019–5035. [Google Scholar] [CrossRef]
- Buechler, C.; Feder, S.; Haberl, E.M.; Aslanidis, C. Chemerin Isoforms and Activity in Obesity. Int. J. Mol. Sci. 2019, 20, 1128. [Google Scholar] [CrossRef]
- Goralski, K.B.; Jackson, A.E.; McKeown, B.T.; Sinal, C.J. More Than an Adipokine: The Complex Roles of Chemerin Signaling in Cancer. Int. J. Mol. Sci. 2019, 20, 4778. [Google Scholar] [CrossRef] [PubMed]
- Kimura, T.; Jain, A.; Choi, S.W.; Mandell, M.A.; Johansen, T.; Deretic, V. TRIM-directed selective autophagy regulates immune activation. Autophagy 2017, 13, 989–990. [Google Scholar] [CrossRef]
- Alghamdi, M. Familial Mediterranean fever, review of the literature. Clin. Rheumatol. 2017, 36, 1707–1713. [Google Scholar] [CrossRef]
- Georgin-Lavialle, S.; Ducharme-Benard, S.; Sarrabay, G.; Savey, L.; Grateau, G.; Hentgen, V. Systemic autoinflammatory diseases: Clinical state of the art. Best Pr. Res. Clin. Rheumatol. 2020, 34, 101529. [Google Scholar] [CrossRef]
- Gaysinskaya, V.; Stanley, S.E.; Adam, S.; Armanios, M. Synonymous Mutation in DKC1 Causes Telomerase RNA Insufficiency Manifesting as Familial Pulmonary Fibrosis. Chest 2020, 158, 2449–2457. [Google Scholar] [CrossRef]
- Kan, G.; Wang, Z.; Sheng, C.; Yao, C.; Mao, Y.; Chen, S. Inhibition of DKC1 induces telomere-related senescence and apoptosis in lung adenocarcinoma. J. Transl. Med. 2021, 19, 161. [Google Scholar] [CrossRef]
- Miao, F.-A.; Chu, K.; Chen, H.-R.; Zhang, M.; Shi, P.-C.; Bai, J.; You, Y.-P. Increased DKC1 expression in glioma and its significance in tumor cell proliferation, migration and invasion. Investig. New Drugs 2019, 37, 1177–1186. [Google Scholar] [CrossRef]
- Mizoguchi, Y.; Okada, S. Inborn errors of STAT1 immunity. Curr. Opin. Immunol. 2021, 72, 59–64. [Google Scholar] [CrossRef]
- Meissl, K.; Simonović, N.; Amenitsch, L.; Witalisz-Siepracka, A.; Klein, K.; Lassnig, C.; Puga, A.; Vogl, C.; Poelzl, A.; Bosmann, M.; et al. STAT1 Isoforms Differentially Regulate NK Cell Maturation and Anti-tumor Activity. Front. Immunol. 2020, 11, 2189. [Google Scholar] [CrossRef] [PubMed]
- Butturini, E.; Boriero, D.; de Prati, A.C.; Mariotto, S. STAT1 drives M1 microglia activation and neuroinflammation under hypoxia. Arch. Biochem. Biophys. 2019, 669, 22–30. [Google Scholar] [CrossRef] [PubMed]
- Vijay, K. Toll-like receptors in immunity and inflammatory diseases: Past, present, and future. Int. Immunopharmacol. 2018, 59, 391–412. [Google Scholar] [CrossRef] [PubMed]
- Kawai, T.; Akira, S. Antiviral Signaling Through Pattern Recognition Receptors. J. Biochem. 2006, 141, 137–145. [Google Scholar] [CrossRef]
- Shi, Z.; Cai, Z.; Wen, S.; Chen, C.; Gendron, C.; Sanchez, A.; Patterson, K.; Fu, S.; Yang, J.; Wildman, D.; et al. Transcriptional Regulation of the Novel Toll-like Receptor Tlr13. J. Biol. Chem. 2009, 284, 20540–20547. [Google Scholar] [CrossRef]
- Shi, Z.; Cai, Z.; Sanchez, A.; Zhang, T.; Wen, S.; Wang, J.; Yang, J.; Fu, S.; Zhang, D. A Novel Toll-like Receptor That Recognizes Vesicular Stomatitis Virus. J. Biol. Chem. 2011, 286, 4517–4524. [Google Scholar] [CrossRef] [PubMed]
- Sudhagar, A.; El-Matbouli, M.; Kumar, G. Identification and Expression Profiling of Toll-Like Receptors of Brown Trout (Salmo trutta) during Proliferative Kidney Disease. Int. J. Mol. Sci. 2020, 21, 3755. [Google Scholar] [CrossRef] [PubMed]









| Gene Name | Forward Primer (5′-3′) | TM (°C) | Reverse Primer (5′-3′) | TM (°C) | Amplicon Length (bp) |
|---|---|---|---|---|---|
| aqp8 | GTGTGCTTGGAGCTTCTATG | 61 | CAAACACTGCTCTTCCTACC | 60 | 117 |
| atp8b1 | CCGACATCCTGTTGTTATCC | 60 | GGAGGCCCATCTTAAACTTC | 60 | 102 |
| cpne4 | CACACACATCAGCCATCTAC | 60 | GTCCTGCTAATCCCTTCATAAC | 60 | 119 |
| dkc1 | GATGTCTCATCGTGTGTGTAG | 60 | GAGTGTGTTCGCTCTCTATTG | 60 | 117 |
| grina | GCACAGACCCGTTATGATTT | 61 | AGCGATGTCGGAGTAATAGA | 60 | 108 |
| hcar2 | CGTGACTCACACTGGATTT | 60 | GTGTCGGAGGAAGAATGAAG | 60 | 125 |
| herc1 | CCAGTGTCTTGGTGGATTT | 60 | CGCATTGTCCCAGTCTTT | 60 | 104 |
| loc109626689 | TATGGTGGAACAGCACAAAG | 60 | CGAAGCCCAGAGATGATAGA | 61 | 101 |
| mefv | TGGAGGAGGTGGAGTTTAT | 60 | CTCCTGCTCTGTTTGTACTC | 60 | 125 |
| nop58 | CTTTCCCACTCCCTCTGTA | 60 | GAGTGTGGTGAACTGGTATG | 60 | 123 |
| ppan | CCACTCCTTCGTCTTTCATC | 60 | TCCTAACCTTCAGAGACTCG | 60 | 110 |
| pyroxd2 | TGAACCAGACGGAGATAGG | 60 | CATCCAAGAGAGGCTGAATG | 60 | 108 |
| rarres2 | TTCACTCGTTGGCACTTC | 60 | CTTGTCATCCAGCAGATTGT | 60 | 107 |
| slc8a1 | CCCTCGATTGGTTGGTTATC | 60 | CTGCGTGATCGTCATCATAG | 60 | 122 |
| slc12a3 | CGGGTTTCTACTTCCTCAAC | 60 | CTGCACAGACACTGAAAGAT | 60 | 103 |
| src | GAGTAAGCCCAAGGATTCAG | 60 | GGGACGGATGATAAGAGTTG | 60 | 104 |
| stat1 | AGGAGTTGGAGCAGAAGT | 60 | GAGAGTTGGAGAGGAGGTT | 60 | 108 |
| tlr13 | AAGGTGTTGGCGAGTAAAG | 60 | AGCCTTCTCGTCCGTATT | 60 | 106 |
| trim39 | ACCAAGGTCGAACCAAAC | 60 | GAACCCGACTTGGCATTAT | 60 | 107 |
| ttc36 | ACAGAGTCCAGACCTTAACC | 61 | CAGCATGGCAGTACAGTTAG | 60 | 103 |
| xpo1 | GATTCCTCTGGGCTACATATTC | 60 | TCTCTGTCAGGCACTTCA | 60 | 107 |
| Modules | DEG Numbers | Modules | DEG Numbers | Modules | DEG Numbers |
|---|---|---|---|---|---|
| magenta | 111 | lightcyan | 40 | yellow | 585 |
| salmon | 55 | red | 378 | greenyellow | 72 |
| turquoise | 1359 | pink | 239 | purple | 94 |
| cyan | 46 | brown | 660 | blue | 1041 |
| lightyellow | 26 | grey60 | 40 | midnightblue | 46 |
| tan | 66 | lightgreen | 34 | grey | 877 |
| green | 425 | black | 265 |
| Gene Abbreviated Name | Gene Official Full Name | Protein Interaction Numbers | Connectivity |
|---|---|---|---|
| Infected components (blue, green, and magenta modules) | |||
| xpo1 | exportin 1 | 6 | 10.31 |
| dkc1 | dyskeratosis congenita 1, dyskerin | 5 | 54.20 |
| src | proto-oncogene tyrosine-protein kinase Src | 5 | 16.78 |
| Infection times (cyan, lightgreen, and yellow modules) | |||
| stat1 | signal transducer and activator of transcription 1 | 9 | 10.72 |
| tlr13 | toll-like receptor 13 | 8 | 1.31 |
| mefv | MEFV innate immunity regulator, pyrin | 6 | 16.95 |
Disclaimer/Publisher’s Note: The statements, opinions and data contained in all publications are solely those of the individual author(s) and contributor(s) and not of MDPI and/or the editor(s). MDPI and/or the editor(s) disclaim responsibility for any injury to people or property resulting from any ideas, methods, instructions or products referred to in the content. |
© 2023 by the authors. Licensee MDPI, Basel, Switzerland. This article is an open access article distributed under the terms and conditions of the Creative Commons Attribution (CC BY) license (https://creativecommons.org/licenses/by/4.0/).
Share and Cite
Liu, X.; Bao, X.; Li, Z.; Zhang, Q. Investigation of Gene Networks in Three Components of Immune System Provides Novel Insights into Immune Response Mechanisms against Edwardsiella tarda Infection in Paralichthys olivaceus. Animals 2023, 13, 2542. https://doi.org/10.3390/ani13152542
Liu X, Bao X, Li Z, Zhang Q. Investigation of Gene Networks in Three Components of Immune System Provides Novel Insights into Immune Response Mechanisms against Edwardsiella tarda Infection in Paralichthys olivaceus. Animals. 2023; 13(15):2542. https://doi.org/10.3390/ani13152542
Chicago/Turabian StyleLiu, Xiumei, Xiaokai Bao, Zan Li, and Quanqi Zhang. 2023. "Investigation of Gene Networks in Three Components of Immune System Provides Novel Insights into Immune Response Mechanisms against Edwardsiella tarda Infection in Paralichthys olivaceus" Animals 13, no. 15: 2542. https://doi.org/10.3390/ani13152542
APA StyleLiu, X., Bao, X., Li, Z., & Zhang, Q. (2023). Investigation of Gene Networks in Three Components of Immune System Provides Novel Insights into Immune Response Mechanisms against Edwardsiella tarda Infection in Paralichthys olivaceus. Animals, 13(15), 2542. https://doi.org/10.3390/ani13152542
