Management of Digital Dermatitis in Dairy Herds: Optimization and Time Allocation
Abstract
Simple Summary
Abstract
1. Introduction
2. Materials and Methods
2.1. Dairy Health Simulator
2.2. Outcomes and Metrics
2.3. Management Scenarios
2.4. Optimization under Constraints and Econometrics
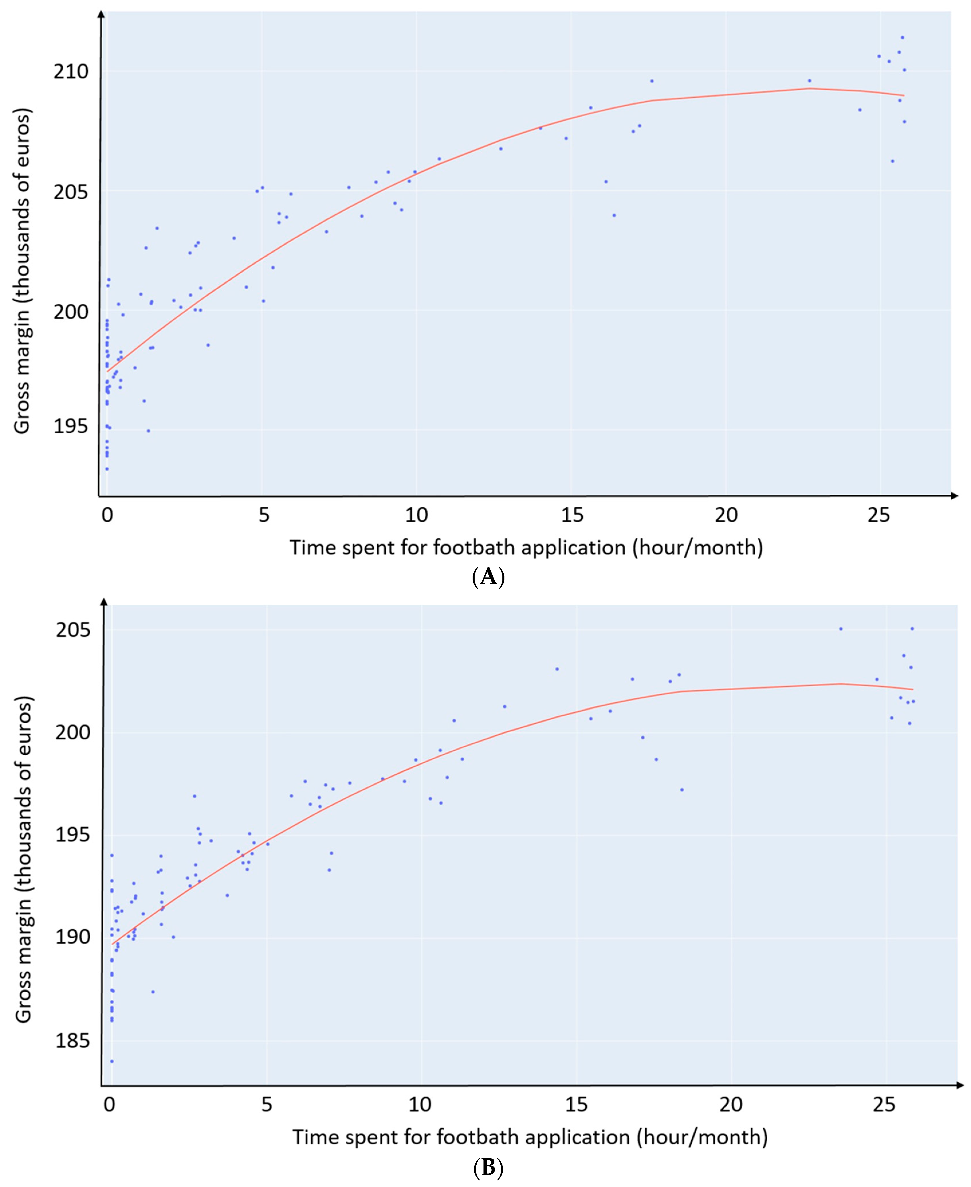
3. Results
4. Discussion
5. Conclusions
Author Contributions
Funding
Institutional Review Board Statement
Informed Consent Statement
Data Availability Statement
Conflicts of Interest
References
- Dobson, H.; Walker, S.L.; Morris, M.J.; Routly, J.E.; Smith, R.F. Why is it getting more difficult to successfully artificially inseminate dairy cows. Animal 2008, 2, 1104–1111. [Google Scholar] [CrossRef] [PubMed]
- Esslemont, R.J.; Kossaibati, M.A. Incidence of production diseases and other health problems in a group of dairy herds in England. Vet. Rec. 1996, 139, 486–490. [Google Scholar] [CrossRef] [PubMed]
- Peake, K.A.; Biggs, A.M.; Argo, C.M.; Smith, R.F.; Christley, R.M.; Routly, J.E.; Dobson, H. Effects of lameness, subclinical mastitis and loss of body condition on the reproductive performance of dairy cows. Vet. Rec. 2011, 168, 301. [Google Scholar] [CrossRef] [PubMed]
- Barker, Z.E.; Vázquez Diosdado, J.A.; Codling, E.A.; Bell, N.J.; Hodges, H.R.; Croft, D.P.; Amory, J.R. Use of novel sensors combining local positioning and acceleration to measure feeding behavior differences associated with lameness in dairy cattle. J. Dairy Sci. 2018, 101, 6310–6321. [Google Scholar] [CrossRef]
- Charfeddine, N.; Pérez-Cabal, M.A. Effect of claw disorders on milk production, fertility, and longevity, and their economic impact in Spanish Holstein cows. J. Dairy Sci. 2017, 100, 653–665. [Google Scholar] [CrossRef]
- Hernandez, J.; Shearer, J.K.; Webb, D.W. Effect of lameness on milk yield in dairy cows. J. Am. Vet. Med. Assoc. 2002, 220, 640–644. [Google Scholar] [CrossRef]
- Manske, T.; Hultgren, J.; Bergsten, C. Prevalence and interrelationships of hoof lesions and lameness in Swedish dairy cows. Prev. Vet. Med. 2002, 54, 247–263. [Google Scholar] [CrossRef]
- Whay, H.R.; Webster, A.J.F.; Waterman-Pearson, A.E. Role of ketoprofen in the modulation of hyperalgesia associated with lameness in dairy cattle. Vet. Rec. 2005, 157, 729–733. [Google Scholar] [CrossRef]
- Laven, R.A.; Lawrence, K.E.; Weston, J.F.; Dowson, K.R.; Stafford, K.J. Assessment of the duration of the pain response associated with lameness in dairy cows, and the influence of treatment. N. Z. Vet. J. 2008, 56, 210–217. [Google Scholar] [CrossRef]
- Whay, H.R.; Shearer, J.K. The Impact of Lameness on Welfare of the Dairy Cow. Vet. Clin. North Am. Food Anim. Pract. 2017, 33, 153–164. [Google Scholar] [CrossRef]
- Dolecheck, K.A.; Overton, M.W.; Mark, T.B.; Bewley, J.M. Use of a stochastic simulation model to estimate the cost per case of digital dermatitis, sole ulcer, and white line disease by parity group and incidence timing. J. Dairy Sci. 2019, 102, 715–730. [Google Scholar] [CrossRef]
- Galligan, D. Economic assessment of animal health performance. Vet. Clin. North Am. Food Anim. Pract. 2006, 22, 207–227. [Google Scholar] [CrossRef] [PubMed]
- Liang, D.; Arnold, L.M.; Stowe, C.J.; Harmon, R.J.; Bewley, J.M. Estimating US dairy clinical disease costs with a stochastic simulation model. J. Dairy Sci. 2017, 100, 1472–1486. [Google Scholar] [CrossRef] [PubMed]
- Cha, E.; Hertl, J.A.; Bar, D.; Gröhn, Y.T. The cost of different types of lameness in dairy cows calculated by dynamic programming. Prev. Vet. Med. 2010, 97, 1–8. [Google Scholar] [CrossRef] [PubMed]
- Häggman, J.; Junni, R.; Simojoki, H.; Juga, J.; Soveri, T. The costs of interdigital phlegmon in four loose-housed Finnish dairy herds. Acta Vet. Scand. 2015, 57, 90. [Google Scholar] [CrossRef]
- Willshire, J.A.; Bell, N.J. An economic review of cattle lameness. Cattle Pract. 2009, 17, 136–141. [Google Scholar]
- Pothmann, H.; Nechanitzky, K.; Sturmlechner, F.; Drillich, M. Consultancy to dairy farmers relating to animal health and herd health management on small- and medium-sized farms. J. Dairy Sci. 2014, 97, 851–860. [Google Scholar] [CrossRef]
- Ranjbar, S.; Rabiee, A.R.; Ingenhoff, L.; House, J.K. Farmers’ perceptions and approaches to detection, treatment and prevention of lameness in pasture-based dairy herds in New South Wales, Australia. Aust. Vet. J. 2020, 98, 264–269. [Google Scholar] [CrossRef]
- Caraviello, D.Z.; Weigel, K.A.; Fricke, P.M.; Wiltbank, M.C.; Florent, M.J.; Cook, N.B.; Nordlund, K.V.; Zwald, N.R.; Rawson, C.L. Survey of management practices on reproductive performance of dairy cattle on large US commercial farms. J. Dairy Sci. 2006, 89, 4723–4735. [Google Scholar] [CrossRef]
- Thomas, H.J.; Miguel-Pacheco, G.G.; Bollard, N.J.; Archer, S.C.; Bell, N.J.; Mason, C.; Maxwell, O.J.R.; Remnant, J.G.; Sleeman, P.; Whay, H.R.; et al. Evaluation of treatments for claw horn lesions in dairy cows in a randomized controlled trial. J. Dairy Sci. 2015, 98, 4477–4486. [Google Scholar] [CrossRef]
- Holzhauer, M.; Döpfer, D.; de Boer, J.; van Schaik, G. Effects of different intervention strategies on the incidence of papillomatous digital dermatitis in dairy cows. Vet. Rec. 2008, 162, 41–46. [Google Scholar] [CrossRef]
- Jacobs, C.; Beninger, C.; Hazlewood, G.S.; Orsel, K.; Barkema, H.W. Effect of footbath protocols for prevention and treatment of digital dermatitis in dairy cattle: A systematic review and network meta-analysis. Prev. Vet. Med. 2019, 164, 56–71. [Google Scholar] [CrossRef] [PubMed]
- Solano, L.; Barkema, H.W.; Pickel, C.; Orsel, K. Effectiveness of a standardized footbath protocol for prevention of digital dermatitis. J. Dairy Sci. 2017, 100, 1295–1307. [Google Scholar] [CrossRef]
- Harris, D.J.; Hibburt, C.D.; Anderson, G.A.; Younis, P.J.; Fitspatrick, D.H.; Dunn, A.C.; Parsons, I.W.; McBeath, N.R. The incidence, cost and factors associated with foot lameness in dairy cattle in south-western Victoria. Aust. Vet. J. 1988, 65, 171–176. [Google Scholar] [CrossRef] [PubMed]
- Phillips, C.J.; Morris, I.D. The locomotion of dairy cows on concrete floors that are dry, wet, or covered with a slurry of excreta. J. Dairy Sci. 2000, 83, 1767–1772. [Google Scholar] [CrossRef]
- Horseman, S.V.; Whay, H.R.; Huxley, J.N.; Bell, N.J.; Mason, C.S. A survey of the on-farm treatment of sole ulcer and white line disease in dairy cattle. Vet. J. 2013, 197, 461–467. [Google Scholar] [CrossRef]
- Sprecher, D.J.; Hostetler, D.E.; Kaneene, J.B. A lameness scoring system that uses posture and gait to predict dairy cattle reproductive performance. Theriogenology 1997, 47, 1179–1187. [Google Scholar] [CrossRef]
- Alawneh, J.I.; Laven, R.A.; Stevenson, M.A. Interval between detection of lameness by locomotion scoring and treatment for lameness: A survival analysis. Vet. J. 2012, 193, 622–625. [Google Scholar] [CrossRef] [PubMed]
- Robcis, R.; Ferchiou, A.; Berrada, M.; Ndiaye, Y.; Herman, N.; Lhermie, G.; Raboisson, D. Cost of lameness in dairy herds: An integrated bioeconomic modeling approach. J. Dairy Sci. 2023, 106, 2519–2534. [Google Scholar] [CrossRef]
- Jensen, K.C.; Oehm, A.W.; Campe, A.; Stock, A.; Woudstra, S.; Feist, M.; Müller, K.E.; Hoedemaker, M.; Merle, R. German Farmers’ Awareness of Lameness in Their Dairy Herds. Front. Vet. Sci. 2022, 9, 866791. [Google Scholar] [CrossRef]
- Sadiq, M.B.; Ramanoon, S.Z.; Mansor, R.; Syed-Hussain, S.S.; Shaik Mossadeq, W.M. Claw Trimming as a Lameness Management Practice and the Association with Welfare and Production in Dairy Cows. Animals 2020, 10, 1515. [Google Scholar] [CrossRef]
- Leach, K.A.; Whay, H.R.; Maggs, C.M.; Barker, Z.E.; Paul, E.S.; Bell, A.K.; Main, D.C.J. Working towards a reduction in cattle lameness: 1. Understanding barriers to lameness control on dairy farms. Res. Vet. Sci. 2010, 89, 311–317. [Google Scholar] [CrossRef]
- Whay, H.R.; Main, D.C.J.; Green, L.E.; Webster, A.J.F. Assessment of the welfare of dairy cattle using animal-based measurements: Direct observations and investigation of farm records. Vet. Rec. 2003, 153, 197–202. [Google Scholar] [CrossRef] [PubMed]
- Alsaaod, M.; Fadul, M.; Steiner, A. Automatic lameness detection in cattle. Vet. J. 2019, 246, 35–44. [Google Scholar] [CrossRef] [PubMed]
- Mota-Rojas, D.; Martinez-Burnes, J.; Casas-Alvarado, A.; Gomez-Prado, J.; Hernandez-Avalos, I.; Dominguez-Oliva, A.; Lezama-Garcia, K.; Jacome-Romero, J.; Rodriguez-Gonzalez, D.; Pereira, A.M.F. Clinical usefulness of infrared thermography to detect sick animals: Frequent and current cases. CABI Rev. 2022. [Google Scholar] [CrossRef]
- Alsaaod, M.; Schaefer, A.L.; Büscher, W.; Steiner, A. The Role of Infrared Thermography as a Non-Invasive Tool for the Detection of Lameness in Cattle. Sensors 2015, 15, 14513–14525. [Google Scholar] [CrossRef]
- Relun, A.; Lehebel, A.; Bareille, N.; Guatteo, R. Effectiveness of different regimens of a collective topical treatment using a solution of copper and zinc chelates in the cure of digital dermatitis in dairy farms under field conditions. J. Dairy Sci. 2012, 95, 3722–3735. [Google Scholar] [CrossRef]
- Pirkkalainen, H.; Riihimäki, A.; Simojoki, H.; Soveri, T.; Rajala-Schultz, P.J.; Hintikka, T.; Pelkonen, S.; Kontturi, M.; Kujala-Wirth, M. Prevalence of digital dermatitis using mirror scoring in Finnish freestall dairy herds. J. Dairy Sci. 2021, 104, 9173–9184. [Google Scholar] [CrossRef]
- Main, D.C.J.; Barker, Z.E.; Leach, K.A.; Bell, N.J.; Whay, H.R.; Browne, W.J. Sampling strategies for monitoring lameness in dairy cattle. J. Dairy Sci. 2010, 93, 1970–1978. [Google Scholar] [CrossRef]
- Ferchiou, A.; Lhermie, G.; Raboisson, D. New standards in stochastic simulations of dairy cow disease modelling: Bio-economic dynamic optimization for rational health management decision-making. Agric. Syst. 2021, 194, 103249. [Google Scholar] [CrossRef]
- Biemans, F.; Bijma, P.; Boots, N.M.; de Jong, M.C.M. Digital Dermatitis in dairy cattle: The contribution of different disease classes to transmission. Epidemics 2018, 23, 76–84. [Google Scholar] [CrossRef]
- Döpfer, D.; Koopmans, A.; Meijer, F.A.; Szakáll, I.; Schukken, Y.H.; Klee, W.; Bosma, R.B.; Cornelisse, J.L.; van Asten, A.J.; ter Huurne, A.A. Histological and bacteriological evaluation of digital dermatitis in cattle, with special reference to spirochaetes and Campylobacter faecalis. Vet. Rec. 1997, 140, 620–623. [Google Scholar] [CrossRef]
- Raboisson, D.; Mounié, M.; Maigné, E. Diseases, reproductive performance, and changes in milk production associated with subclinical ketosis in dairy cows: A meta-analysis and review. J. Dairy Sci. 2014, 97, 7547–7563. [Google Scholar] [CrossRef] [PubMed]
- Garbarino, E.J.; Hernandez, J.A.; Shearer, J.K.; Risco, C.A.; Thatcher, W.W. Effect of lameness on ovarian activity in postpartum holstein cows. J. Dairy Sci. 2004, 87, 4123–4131. [Google Scholar] [CrossRef]
- Kremer, P.V.; Nueske, S.; Scholz, A.M.; Foerster, M. Comparison of claw health and milk yield in dairy cows on elastic or concrete flooring. J. Dairy Sci. 2007, 90, 4603–4611. [Google Scholar] [CrossRef] [PubMed]
- Barker, Z.E.; Amory, J.R.; Wright, J.L.; Mason, S.A.; Blowey, R.W.; Green, L.E. Risk factors for increased rates of sole ulcers, white line disease, and digital dermatitis in dairy cattle from twenty-seven farms in England and Wales. J. Dairy Sci. 2009, 92, 1971–1978. [Google Scholar] [CrossRef] [PubMed]
- Wells, S.J.; Garber, L.P.; Wagner, B.A. Papillomatous digital dermatitis and associated risk factors in US dairy herds. Prev. Vet. Med. 1999, 38, 11–24. [Google Scholar] [CrossRef] [PubMed]
- Oliveira, V.H.S.; Sørensen, J.T.; Thomsen, P.T. Associations between biosecurity practices and bovine digital dermatitis in Danish dairy herds. J. Dairy Sci. 2017, 100, 8398–8408. [Google Scholar] [CrossRef] [PubMed]
- Thomsen, P.T.; Foldager, L.; Raundal, P.; Capion, N. Lower odds of sole ulcers in the following lactation in dairy cows that received hoof trimming around drying off. Vet. J. 2019, 254, 105408. [Google Scholar] [CrossRef]
- Manske, T.; Hultgren, J.; Bergsten, C. The effect of claw trimming on the hoof health of Swedish dairy cattle. Prev. Vet. Med. 2002, 54, 113–129. [Google Scholar] [CrossRef]
- Somers, J.G.C.J.; Frankena, K.; Noordhuizen-Stassen, E.N.; Metz, J.H.M. Risk factors for digital dermatitis in dairy cows kept in cubicle houses in The Netherlands. Prev. Vet. Med. 2005, 71, 11–21. [Google Scholar] [CrossRef]
- Aigner, D.J.; Chu, S.-F. On estimating the industry production function. Am. Econ. Rev. 1968, 58, 826–839. [Google Scholar]
- Krull, A.C.; Shearer, J.K.; Gorden, P.J.; Scott, H.M.; Plummer, P.J. Digital dermatitis: Natural lesion progression and regression in Holstein dairy cattle over 3 years. J. Dairy Sci. 2016, 5, 3718–3731. [Google Scholar] [CrossRef]
- Plummer, P.J.; Krull, A. Clinical Perspectives of Digital Dermatitis in Dairy and Beef Cattle. Vet. Clin. Food Anim. Pract. 2017, 33, 165–181. [Google Scholar] [CrossRef] [PubMed]
- Yang, D.A.; Laven, R.A. Inter-observer agreement between two observers for bovine digital dermatitis identification in New Zealand using digital photographs. N. Z. Vet. J. 2019, 67, 143–147. [Google Scholar] [CrossRef]
- Jacobs, C.; Orsel, K.; Barkema, H. Prevalence of digital dermatitis in young stock in Alberta, Canada, using pen walks. J. Dairy Sci. 2017, 100, 9234–9244. [Google Scholar] [CrossRef] [PubMed]
- Solano, L.; Barkema, H.; Jacobs, C.; Orsel, K. Validation of the M-stage scoring system for digital dermatitis on dairy cows in the milking parlor. J. Dairy Sci. 2017, 100, 1592–1603. [Google Scholar] [CrossRef]
- Maxwell, O.J.R.; Hudson, C.D.; Huxley, J.N. Effect of early lactation foot trimming in lame and non-lame dairy heifers: A randomised controlled trial. Vet. Rec. 2015, 177, 100. [Google Scholar] [CrossRef]
- Van Nuffel, A.; Zwertvaegher, I.; Pluym, L.; van Weyenberg, S.; Thorup, V.M.; Pastell, M.; Sonck, B.; Saeys, W. Lameness Detection in Dairy Cows: Part 1. How to Distinguish between Non-Lame and Lame Cows Based on Differences in Locomotion or Behavior. Animals 2015, 5, 838–860. [Google Scholar] [CrossRef]
- Tsousis, G.; Boscos, C.; Praxitelous, A. The negative impact of lameness on dairy cow reproduction. Reprod. Domest. Anim. 2022, 57, 33–39. [Google Scholar] [CrossRef]
- Maxwell, O.; Miguel-Pacheco, G.; Newsome, R.; Randall, L.; Remnant, J.; Thomas, H.; Huxley, J. Lameness in cattle 1. Recent research to inform clinical practice. Practice 2015, 37, 127–138. [Google Scholar] [CrossRef]
- Daros, R.R.; Eriksson, H.K.; Weary, D.M.; von Keyserlingk, M.A.G. The relationship between transition period diseases and lameness, feeding time, and body condition during the dry period. J. Dairy Sci. 2020, 10, 649–665. [Google Scholar] [CrossRef] [PubMed]
- Muir, K.J.; Keim-Malpass, J. Analyzing the concept of spillover effects for expanded inclusion in health economics research. J. Comp. Eff. Res. 2020, 9, 755–766. [Google Scholar] [CrossRef] [PubMed]
- Shearer, J.K.; van Amstel, S.R. Pathogenesis and Treatment of Sole Ulcers and White Line Disease. Vet. Clin. Food Anim. Pract. 2017, 33, 283–300. [Google Scholar] [CrossRef] [PubMed]
- Hernandez, J.A.; Garbarino, E.J.; Shearer, J.K.; Risco, C.A.; Thatcher, W.W. Evaluation of the efficacy of prophylactic hoof health examination and trimming during midlactation in reducing the incidence of lameness during late lactation in dairy cows. J. Am. Vet. Med. Assoc. 2007, 230, 89–93. [Google Scholar] [CrossRef]








| Risk Factors | |||||
|---|---|---|---|---|---|
| Sole Ulcer | White Line Disease | Digital Dermatitis | Interdigital Dermatitis | ||
| FLOORING | Concrete (“CONCRETE”) | reference | reference | reference | reference |
| Textured (“TEXTURED”) | 2 [45] | 2.5 [46] | 2.7 [47] | 2.7 [47] | |
| HYGIENE Scraping frequency | >8 times a day (“SCRAP>8”) | reference | reference | reference | reference |
| ≤8 times a day (“SCRAP≤8”) | 1 | 1 | 2 [48] | 2 [48] | |
| PREVENTIVE TRIMMING | Yes (“TRIM”) | 0.7 [49] | 0.7 [50] | 1 | 0.8 [51] |
| No (“NOTRIM”) | reference | reference | reference | reference | |
| Detection Rate Scenarios | Multiplier Coefficients | Corresponding Time Spent in Detecting Lame Cows (min/Day) |
|---|---|---|
| LD_1 | 0 | 0 |
| LD_2 | 0.2 | 5 |
| LD_3 | 0.4 | 10 |
| LD_4 | 0.6 | 15 |
| LD_5 | 0.8 | 20 |
| LD_6 (1) | 1 | 30 |
| LD_7 | 1.2 | 35 |
| LD_8 | 1.4 | 40 |
| LD_9 | 1.6 | 45 |
| LD_10 | 1.8 | 50 |
| LD_11 | 2 | 60 |
| Footbath Use Scenarios | DD Prevalence Thresholds (%) |
|---|---|
| FB_0 | 0 |
| FB_1 | 5 |
| FB_2 | 10 |
| FB_3 | 15 |
| FB_4 (1) | 20 |
| FB_5 | 25 |
| FB_6 | 30 |
| FB_7 | 35 |
| FB_8 | 4 |
| FB_9 | 110 |
| Medium Lameness Duration (Weeks) | ||||||||||||||||||||||||||
|---|---|---|---|---|---|---|---|---|---|---|---|---|---|---|---|---|---|---|---|---|---|---|---|---|---|---|
| [4; 8] | [8; 11] | [11; 14] | [14; 17] | [17; 20] | ||||||||||||||||||||||
| FLOOR | TRIMMING | HYGIENE | LD | FB | FLOOR | TRIMMING | HYGIENE | LD | FB | FLOOR | TRIMMING | HYGIENE | LD | FB | FLOOR | TRIMMING | HYGIENE | LD | FB | FLOOR | TRIMMING | HYGIENE | LD | FB | ||
| Time spent for lame management (hour/month) | [0; 7] | CONCRETE | TRIM | SCRAP>8 | 2 | 0 | CONCRETE | TRIM | SCRAP>8 | 2 | 2 | CONCRETE | TRIM | SCRAP>8 | 2 | 5 | CONCRETE | TRIM | SCRAP>8 | 1 | 7 | CONCRETE | TRIM | SCRAP≤8 | 1 | 7 |
| CONCRETE | TRIM | SCRAP>8 | 2 | 1 | CONCRETE | TRIM | SCRAP>8 | 2 | 4 | CONCRETE | TRIM | SCRAP>8 | 2 | 7 | CONCRETE | TRIM | SCRAP>8 | 1 | 1 | CONCRETE | TRIM | SCRAP≤8 | 1 | 3 | ||
| [7; 14] | CONCRETE | TRIM | SCRAP>8 | 4 | 0 | CONCRETE | TRIM | SCRAP>8 | 5 | 4 | CONCRETE | TRIM | SCRAP≤8 | 4 | 7 | TEXTURED | TRIM | SCRAP>8 | 3 | 9 | ||||||
| CONCRETE | TRIM | SCRAP>8 | 5 | 1 | CONCRETE | TRIM | SCRAP>8 | 4 | 5 | CONCRETE | TRIM | SCRAP≤8 | 4 | 8 | TEXTURED | TRIM | SCRAP≤8 | 4 | 9 | |||||||
| [14; 21] | CONCRETE | TRIM | SCRAP>8 | 6 | 1 | CONCRETE | TRIM | SCRAP>8 | 6 | 5 | CONCRETE | TRIM | SCRAP≤8 | 6 | 7 | TEXTURED | TRIM | SCRAP≤8 | 6 | 9 | ||||||
| CONCRETE | TRIM | SCRAP>8 | 6 | 0 | CONCRETE | TRIM | SCRAP>8 | 6 | 7 | CONCRETE | TRIM | SCRAP≤8 | 7 | 9 | TEXTURED | NOTRIM | SCRAP≤8 | 7 | 9 | |||||||
| [21; 28] | CONCRETE | TRIM | SCRAP>8 | 9 | 0 | CONCRETE | TRIM | SCRAP>8 | 10 | 5 | CONCRETE | TRIM | SCRAP≤8 | 8 | 9 | TEXTURED | TRIM | SCRAP>8 | 1 | 7 | ||||||
| CONCRETE | TRIM | SCRAP>8 | 7 | 0 | CONCRETE | TRIM | 1 | 8 | 5 | 1 | 1 | 2 | 8 | 8 | ||||||||||||
| [28; 35] | CONCRETE | CONCRETE | 1 | 11 | 0 | 1 | 1 | 1 | 11 | 7 | 1 | 2 | 2 | 11 | 9 | |||||||||||
| CONCRETE | CONCRETE | 1 | 11 | 1 | 1 | 1 | 1 | 11 | 9 | 1 | 2 | 2 | 10 | 9 | ||||||||||||
More desirable scenario.| Combination of Scenarios | Optimal Time (h/month) |
|---|---|
| CONCRETE_TRIM_SCRAP>8 | 22.2 |
| CONCRETE_TRIM_SCRAP≤8 | 22.3 |
| CONCRETE_NOTRIM_SCRAP>8 | 18.9 |
| CONCRETE_NOTRIM_SCRAP≤8 | 19.0 |
| TEXTURED_TRIM_SCRAP>8 | 18.8 |
| TEXTURED_TRIM_SCRAP≤8 | 18.3 |
| TEXTURED_NOTRIM_SCRAP>8 | 17.9 |
| TEXTURED_NOTRIM_SCRAP≤8 | 17.8 |
| Combination of Scenarios | Break-Even Point (h/month) |
|---|---|
| CONCRETE_TRIM_SCRAP>8 | 19.4 |
| CONCRETE_TRIM_SCRAP≤8 | 19.8 |
| CONCRETE_NOTRIM_SCRAP>8 | 17.4 |
| CONCRETE_NOTRIM_SCRAP≤8 | 17.5 |
| TEXTURED_TRIM_SCRAP>8 | 17.9 |
| TEXTURED_TRIM_SCRAP≤8 | 17.1 |
| TEXTURED_NOTRIM_SCRAP>8 | 16.1 |
| TEXTURED_NOTRIM_SCRAP≤8 | 16.4 |
Disclaimer/Publisher’s Note: The statements, opinions and data contained in all publications are solely those of the individual author(s) and contributor(s) and not of MDPI and/or the editor(s). MDPI and/or the editor(s) disclaim responsibility for any injury to people or property resulting from any ideas, methods, instructions or products referred to in the content. |
© 2023 by the authors. Licensee MDPI, Basel, Switzerland. This article is an open access article distributed under the terms and conditions of the Creative Commons Attribution (CC BY) license (https://creativecommons.org/licenses/by/4.0/).
Share and Cite
Robcis, R.; Ferchiou, A.; Berrada, M.; Raboisson, D. Management of Digital Dermatitis in Dairy Herds: Optimization and Time Allocation. Animals 2023, 13, 1988. https://doi.org/10.3390/ani13121988
Robcis R, Ferchiou A, Berrada M, Raboisson D. Management of Digital Dermatitis in Dairy Herds: Optimization and Time Allocation. Animals. 2023; 13(12):1988. https://doi.org/10.3390/ani13121988
Chicago/Turabian StyleRobcis, Rodolphe, Ahmed Ferchiou, Mehdi Berrada, and Didier Raboisson. 2023. "Management of Digital Dermatitis in Dairy Herds: Optimization and Time Allocation" Animals 13, no. 12: 1988. https://doi.org/10.3390/ani13121988
APA StyleRobcis, R., Ferchiou, A., Berrada, M., & Raboisson, D. (2023). Management of Digital Dermatitis in Dairy Herds: Optimization and Time Allocation. Animals, 13(12), 1988. https://doi.org/10.3390/ani13121988

