The “Real Welfare” Scheme: Changes in UK Finishing Pig Welfare since the Introduction of Formal Welfare Outcome Assessment
Simple Summary
Abstract
1. Introduction
2. Materials and Methods
2.1. Data
2.2. Number of Pigs, Pens and Farms Visited
2.3. Associations between the Different Welfare Outcomes and Prevalence
2.4. Assessment of the Changes over Time, Visits and Seasons of the Different Welfare Outcomes
2.5. Precision of the Estimates and Trend over Time
- The intraclass correlation (ICC) for each welfare outcome was calculated with the R package ICC.
- The design effect (Deff) was calculated based on the ICC and the average number of pens per farm (m) as follows:
- The estimated sample size (n), considering the design effect (Deff) and the actual sample size (n′), was calculated as follows:
2.6. Software
3. Results
3.1. Number of Pigs, Pens and Farms Visited
3.2. Association between the Different Welfare Outcomes and Overall Prevalence
3.3. Assessment of the Changes over the Years, Visits and Seasons of the Different Welfare Outcomes
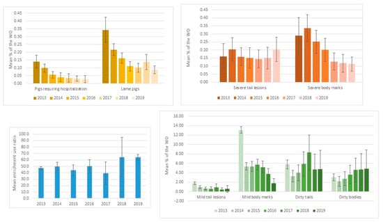
3.3.1. Change over the Years
3.3.2. Change over Calendar Seasons
3.3.3. Changes over the Sequential Assessment Visits
3.4. Precision of the Estimates
4. Discussion
4.1. Study Limitations
4.2. Prevalence of the Welfare Outcomes
4.3. Changes over Time and Season of the Welfare Outcomes
5. Conclusions
Supplementary Materials
Author Contributions
Funding
Institutional Review Board Statement
Informed Consent Statement
Data Availability Statement
Acknowledgments
Conflicts of Interest
References
- Horgan, R.; Gavinelli, A. The expanding role of animal welfare within EU legislation and beyond. Livest. Sci. 2006, 103, 303–307. [Google Scholar] [CrossRef]
- Johansson-Stenman, O. Animal Welfare and Social Decisions: Is It Time to Take Bentham Seriously? Ecol. Econom. 2018, 145, 90–103. [Google Scholar] [CrossRef]
- European Food Safety Authority (EFSA). Statement on the use of animal based measures to assess the welfare of animals. EFSA J. 2012, 10, 2767. [Google Scholar]
- Whay, H.R.; Main, D.C.J.; Green, L.E.; Webster, A.J.F. Animal-based measures for the assessment of welfare state of dairy cattle, pigs and laying hens: Consensus of expert opinion. Anim. Welf. 2005, 12, 205–217. [Google Scholar]
- Blokhuis, H.J.; Veissier, I.; Miele, M.; Jones, B. The Welfare Quality® project and beyond: Safeguarding farm animal well-being. Acta Agric. Scand. A Anim. Sci. 2010, 60, 129–140. [Google Scholar] [CrossRef]
- Heath, C.A.E.; Browne, W.J.; Mullan, S.; Main, D.C.J. Navigating the iceberg: Reducing the number of parameters within the Welfare Quality® assessment protocol for dairy cows. Animals 2014, 8, 978–1986. [Google Scholar] [CrossRef]
- Courboulay, V.; Drouet, A. Evaluation de la prévalence de caudophagie par la notation des carcasses en abattoir. JRP 2018, 50, 333–334. [Google Scholar]
- Van Staaveren, N.; Doyle, B.; Manzanilla, E.G.; Calderón Díaz, J.A.; Hanlon, A.; Boyle, L.A. Validation of carcass lesions as indicators for on-farm health and welfare of pigs. J. Anim. Sci. 2017, 95, 1528–1536. [Google Scholar] [CrossRef]
- Pandolfi, F.; Stoddart, K.; Wainwright, N.; Kyriazakis, I.; Edwards, S.A. The Real Welfare Scheme: Benchmarking welfare outcomes for commercially farmed pigs. Animals 2017, 11, 1816–1824. [Google Scholar] [CrossRef]
- Pandolfi, F.; Stoddart, K.; Wainwright, N.; Kyriazakis, I.; Edwards, S. The “Real Welfare” Scheme: Identification of risk and protective factors for welfare outcomes in commercial pig farms in the UK. Prev. Vet. Med. 2017, 146, 34–43. [Google Scholar] [CrossRef]
- AHDB. Real Welfare Baseline Report 2013–2016. Available online: https://ahdb.org.uk/knowledge-library/real-welfare-baseline-report-2013-2016 (accessed on 27 January 2021).
- Mukaka, M.M. Statistics corner: A guide to appropriate use of correlation coefficient in medical research. Malawi Med. J. 2012, 24, 69–71. [Google Scholar] [PubMed]
- Thomsen, P.T.; Klottrup, A.; Steinmetz, H.; Herskin, M.S. Attitudes of Danish pig farmers towards requirements for hospital pens. Res. Vet. Sci. 2016, 106, 45–47. [Google Scholar] [CrossRef] [PubMed]
- Main, D.C.J.; Clegg, J.; Spatz, A.; Green, L.E. Repeatability of a lameness scoring system for finishing pigs. Vet. Rec. 2000, 147, 574–576. [Google Scholar] [CrossRef] [PubMed]
- Mullan, S.; Edwards, S.A.; Butterworth, A.; Whay, H.R.; Main, D.C. Inter-observer reliability testing of pig welfare outcome measures proposed for inclusion within farm assurance schemes. Vet. J. 2011, 190, e100–e109. [Google Scholar] [CrossRef] [PubMed]
- Pfeifer, M.; Schmitt, A.O.; Hessel, E.F. Animal Welfare Assessment of Fattening Pigs: A Case Study on Sample Validity. Animals 2020, 10, 389. [Google Scholar] [CrossRef]
- Mullan, S.; Browne, W.J.; Edwards, S.A.; Butterworth, A.; Whay, H.R.; Main, D.C.J. The effect of sampling strategy on the estimated prevalence of welfare outcome measures on finishing pig farms. Appl. Anim. Behav. Sci. 2009, 119, 39–48. [Google Scholar] [CrossRef]
- Hampton, J.O.; MacKenzie, D.I.; Forsyth, D.M. How many to sample? Statistical guidelines for monitoring animal welfare outcomes. PLoS ONE 2019, 14, e0211417. [Google Scholar] [CrossRef]
- Hoffman, A.C.; Moore, D.A.; Wenz, J.R.; Vanegas, J. Comparison of modeled sampling strategies for estimation of dairy herd lameness prevalence and cow-level variables associated with lameness. J. Dairy Sci. 2013, 96, 5746–5755. [Google Scholar] [CrossRef]
- Lauer, S.A.; Kleinman, K.P.; Reich, N.G. The effect of cluster size variability on statistical power in cluster-randomized trials. PLoS ONE 2015, 10, e0119074. [Google Scholar] [CrossRef]
- Grümpel, A.; Krieter, J.; Veit, C.; Dippel, S. Factors influencing the risk for tail lesions in weaner pigs (Sus scrofa). Livest. Sci. 2018, 216, 219–226. [Google Scholar] [CrossRef]
- Temple, D.; Courboulay, V.; Velarde, A.; Dalmau, A.; Manteca, X. The welfare of growing pigs in five different production systems in France and Spain: Assessment of health. Anim. Welf. 2012, 21, 257–271. [Google Scholar] [CrossRef]
- Van Staaveren, N.; Vale, A.P.; Manzanilla, E.G.; Teixeira, D.L.; Leonard, F.C.; Hanlon, A.; Boyle, L.A. Relationship between tail lesions and lung health in slaughter pigs. Prev. Vet. Med. 2016, 127, 21–26. [Google Scholar] [CrossRef] [PubMed]
- European Food Safety Authority (EFSA). Scientific report on the risks associated with tail biting in pigs and possible means to reduce the need for tail docking considering the difference housing and husbandry systems. EFSA J. 2007, 611, 1–98. [Google Scholar]
- Valros, A.; Ahlström, S.; Rintala, H.; Häkkinen, T.; Saloniemi, H. The prevalence of tail damage in slaughter pigs in Finland and associations to carcass condemnations. Acta Agric. Scand. A Anim Sci. 2004, 54, 213–219. [Google Scholar] [CrossRef]
- Mullan, S.; Edwards, S.A.; Butterworth, A.; Whay, H.R.; Main, D.C.J. Interdependence of welfare outcome measures and potential confounding factors on finishing pig farms. Appl. Anim. Behav. Sci. 2009, 121, 25–31. [Google Scholar] [CrossRef]
- Munsterhjelm, C.; Heinonen, M.; Valros, A. Application of the Welfare Quality (R) animal welfare assessment system in Finnish pig production, part II: Associations between animal-based and environmental measures of welfare. Anim. Welf. 2015, 24, 161–172. [Google Scholar] [CrossRef]
- Pillman, D.; Nair, N.M.; Schwartz, J.; Pieters, M. Detection of Mycoplasma hyorhinis and Mycoplasma hyosynoviae in oral fluids and correlation with pig lameness scores. Vet. Microbiol. 2019, 239, 108448. [Google Scholar] [CrossRef]
- Bulens, A.; Biesemans, C.; Van Beirendonck, S.; Van Thielen, J.; Driessen, B. The effect of a straw dispenser on behavior and lesions in weanling pigs. J. Vet. Behav. 2016, 12, 49–53. [Google Scholar] [CrossRef]
- Lingling, F.; Bo, Z.; Huizhi, L.; Schinckel, A.P.; Tingting, L.; Qingpo, C.; Yuan, L.; Feilong, X. Teeth clipping, tail docking and toy enrichment affect physiological indicators, behaviour and lesions of weaned pigs after re-location and mixing. Livest. Sci. 2018, 212, 137–142. [Google Scholar]
- AHDB. AHDB Tail Biting WebHAT. Available online: https://webhat.ahdb.org.uk/ (accessed on 27 January 2021).
- Tremetsberger, L.; Leeb, C.; Winckler, C. Animal health and welfare planning improves udder health and cleanliness but not leg health in Austrian dairy herds. J. Dairy Sci. 2015, 98, 6801–6811. [Google Scholar] [CrossRef]
- Scollo, A.; Gottardo, F.; Contiero, B.; Mazzoni, C.; Leneveu, P.; Edwards, S.A. Benchmarking of pluck lesions at slaughter as a health monitoring tool for pigs slaughtered at 170kg (heavy pigs). Prev. Vet. Med. 2017, 144, 20–28. [Google Scholar] [CrossRef] [PubMed]
- Swanenburg, M.; Gonzales, J.L.; Bouwknegt, M.; Boender, G.J.; Oorburg, D.; Heres, L.; Wisselink, H.J. Large-scale serological screening of slaughter pigs for Toxoplasma gondii infections in The Netherlands during five years (2012–2016): Trends in seroprevalence over years, seasons, regions and farming systems. Vet. Parasitol. 2019, 2, 100017. [Google Scholar] [CrossRef] [PubMed]





| Welfare Outcomes | Mean [CI] 2 |
|---|---|
| Pigs requiring hospitalization | 0.04 [0.04–0.04] |
| Lameness | 0.12 [0.12–0.12] |
| Severe tail lesions | 0.15 [0.15–0.16] |
| Severe body marks | 0.18 [0.17–0.18] |
| Mild tail lesions 1 | 1.07 [1.05–1.09] |
| Mild body marks 1 | 8.55 [8.49–8.60] |
| Dirty tail 1 | 5.82 [5.77–5.86] |
| Dirty body 1 | 3.96 [3.92–3.99] |
| Enrichment use ratio | 54.4 [54.1–54.7] |
| Welfare Outcomes | Mean [CI] 3 | SD | Min | P10 | Median | P90 | Max | Min 2 | Median 2 | Max 2 |
|---|---|---|---|---|---|---|---|---|---|---|
| Pigs requiring hospitalization | 0.06 [0.06–0.06] | 0.72 | 0 | 0 | 0 | 0 | 100 | 0 | 0 | 50 |
| Lameness | 0.15 [0.15–0.16] | 1.11 | 0 | 0 | 0 | 0 | 100 | 0 | 0 | 66.7 |
| Severe tail lesions | 0.17 [0.16–0.18] | 1.67 | 0 | 0 | 0 | 0 | 100 | 0 | 0 | 100 |
| Mild tail lesions 1 | 1.25 [1.12–1.29] | 4.80 | 0 | 0 | 0 | 4 | 100 | 0 | 0 | 100 |
| Dirty tail 1 | 5.40 [5.35–5.56] | 16.2 | 0 | 0 | 0 | 16.7 | 100 | 0 | 0 | 100 |
| Severe body marks | 0.20 [0.19–0.21] | 1.62 | 0 | 0 | 0 | 0 | 100 | 0 | 0 | 100 |
| Mild body marks 1 | 9.55 [9.41–9.69] | 14.7 | 0 | 0 | 4 | 27.8 | 100 | 0 | 4 | 100 |
| Dirty body 1 | 3.53 [3.39–3.66] | 13.6 | 0 | 0 | 0 | 5 | 100 | 0 | 0 | 100 |
| Enrichment use ratio | 48.9 [48.2–49.5] | 35.6 | 0 | 0 | 50 | 100 | 100 | 0 | 50 | 100 |
| Welfare Outcomes 2 | Mean [CI] 3 | SD | Min | P10 | Median | P90 | Max |
|---|---|---|---|---|---|---|---|
| Pigs requiring hospitalization | 0.05 [0.05–0.05] | 0.18 | 0 | 0 | 0 | 0 | 5.11 |
| Lameness | 0.15 [0.15–0.16] | 0.47 | 0 | 0 | 0 | 0 | 18.7 |
| Severe tail lesions | 0.15 [0.14–0.16] | 0.60 | 0 | 0 | 0 | 0 | 23.9 |
| Mild tail lesions 1 | 1.12 [1.03–1.22] | 2.25 | 0 | 0 | 0.18 | 4 | 29.2 |
| Dirty tail 1 | 6.98 [6.32–7.64] | 16.2 | 0 | 0 | 0 | 16.7 | 100 |
| Severe body marks | 0.18 [0.17–0.20] | 0.68 | 0 | 0 | 0 | 0 | 14.6 |
| Mild body marks 1 | 9.68 [9.20–10.2] | 11.6 | 0 | 0 | 5.65 | 27.8 | 82.7 |
| Dirty body 1 | 5.06 [4.47–5.64] | 14.0 | 0 | 0 | 0 | 5 | 97.7 |
| Enrichment use ratio | 51.7 [51.2–52.2] | 25.9 | 0 | 0 | 52.5 | 100 | 100 |
| Pigs Requiring Hospitalization | Lame Pigs | Severe Tail Lesions | Severe Body Marks | Enrichment Use Ratio | ||||||
|---|---|---|---|---|---|---|---|---|---|---|
| Year | Mean [CI] | cld | Mean [CI] | cld | Mean [CI] | cld | Mean [CI] | cld | Mean [CI] | cld |
| 2013 | 0.14 [0.13–0.15] | e | 0.34 [0.32–0.37] | e | 0.16 [0.14–0.18] | A | 0.29 [0.26–0.32] | e | 47.1 [46.6–47.6] | a |
| 2014 | 0.10 [0.09–0.11] | d | 0.22 [0.20–0.23] | d | 0.20 [0.18–0.22] | Bcd | 0.34 [0.31–0.36] | e | 49.8 [49.5–50.2] | a |
| 2015 | 0.06 [0.05–0.06] | c | 0.16 [0.15–0.17] | c | 0.16 [0.14–0.17] | bc | 0.25 [0.23–0.27] | d | 43.9 [43.6–44.3] | b |
| 2016 | 0.04 [0.03–0.05] | b | 0.11 [0.10–0.12] | b | 0.15 [0.13–0.17] | ac | 0.20 [0.18–0.22] | c | 50.3 [49.9–50.6] | b |
| 2017 | 0.03 [0.03–0.04] | b | 0.10 [0.09–0.11] | ab | 0.14 [0.13–0.16] | ab | 0.13 [0.12–0.14] | a | 39.4 [39.1–39.7] | ab |
| 2018 | 0.03 [0.03–0.04] | ab | 0.14 [0.12–0.15] | bc | 0.15 [0.13–0.17] | c | 0.12 [0.11–0.13] | ab | 64.1 [63.8–64.4] | c |
| 2019 | 0.03 [0.02–0.03] | a | 0.09 [0.08–0.10] | a | 0.20 [0.19–0.22] | d | 0.11 [0.10–0.12] | b | 64.1 [63.8–64.4] | c |
| Mild Tail Lesions | Dirty Tails | Mild Body Marks | Dirty Bodies | |||||
|---|---|---|---|---|---|---|---|---|
| Year | Mean [CI] | cld | Mean [CI] | cld | Mean [CI] | cld | Mean [CI] | cld |
| 2013 | 1.76 [1.68–1.83] | e | 5.77 [5.55–6.00] | abc | 13.1 [12.9–13.3] | g | 3.06 [2.88–3.23] | abc |
| 2014 | 0.98 [0.89–1.06] | d | 3.27 [2.99–3.55] | a | 5.36 [5.14–5.59] | f | 2.17 [1.93–2.40] | ab |
| 2015 | 0.68 [0.59–0.77] | c | 3.99 [3.61–4.37] | a | 5.35 [5.06–5.63] | e | 2.76 [2.42–3.10] | a |
| 2016 | 0.61 [0.48–0.74] | ab | 5.85 [5.27–6.44] | b | 5.74 [5.40–6.09] | d | 3.61 [3.17–4.06] | b |
| 2017 | 0.87 [0.66–1.09] | bcd | 8.31 [7.48–9.14] | b | 5.19 [4.83–5.55] | c | 4.59 [4.03–5.16] | c |
| 2018 | 0.42 [0.32–0.53] | a | 4.68 [3.94–5.42] | c | 3.74 [3.41–4.06] | b | 4.68 [3.93–5.43] | d |
| 2019 | 0.56 [0.36–0.76] | a | 4.77 [3.88–5.65] | c | 1.74 [1.46–2.03] | a | 4.82 [3.93–5.71] | d |
| Pigs Requiring Hospitalization | Lame Pigs | Severe Tail Lesions | Severe Body Marks | Enrichment Use Ratio | ||||||
|---|---|---|---|---|---|---|---|---|---|---|
| Season | Mean [CI] | cld | Mean [CI] | cld | Mean [CI] | cld | Mean [CI] | cld | Mean [CI] | cld |
| Spring | 0.11 [0.09–0.13] | a | 0.38 [0.34–0.42] | ab | 0.20 [0.16–0.25] | b | 0.23 [0.18–0.27] | a | 41.6 [40.9–42.4] | b |
| Summer | 0.13 [0.11–0.15] | ab | 0.30 [0.28–0.33] | a | 0.15 [0.13–0.17] | a | 0.19 [0.16–0.22] | ab | 47.5 [46.9–48.1] | bc |
| Autumn | 0.12 [0.10–0.13] | b | 0.36 [0.33–0.39] | ab | 0.16 [0.12–0.19] | b | 0.21 [0.19–0.24] | b | 49.3 [48.7–49.9] | c |
| Winter | 0.09 [0.07–0.11] | b | 0.30 [0.25–0.34] | b | 0.16 [0.12–0.20] | a | 0.18 [0.13–0.22] | ab | 54.8 [54.1–55.6] | a |
Publisher’s Note: MDPI stays neutral with regard to jurisdictional claims in published maps and institutional affiliations. |
© 2022 by the authors. Licensee MDPI, Basel, Switzerland. This article is an open access article distributed under the terms and conditions of the Creative Commons Attribution (CC BY) license (https://creativecommons.org/licenses/by/4.0/).
Share and Cite
Pandolfi, F.; Barber, C.; Edwards, S. The “Real Welfare” Scheme: Changes in UK Finishing Pig Welfare since the Introduction of Formal Welfare Outcome Assessment. Animals 2022, 12, 607. https://doi.org/10.3390/ani12050607
Pandolfi F, Barber C, Edwards S. The “Real Welfare” Scheme: Changes in UK Finishing Pig Welfare since the Introduction of Formal Welfare Outcome Assessment. Animals. 2022; 12(5):607. https://doi.org/10.3390/ani12050607
Chicago/Turabian StylePandolfi, Fanny, Claire Barber, and Sandra Edwards. 2022. "The “Real Welfare” Scheme: Changes in UK Finishing Pig Welfare since the Introduction of Formal Welfare Outcome Assessment" Animals 12, no. 5: 607. https://doi.org/10.3390/ani12050607
APA StylePandolfi, F., Barber, C., & Edwards, S. (2022). The “Real Welfare” Scheme: Changes in UK Finishing Pig Welfare since the Introduction of Formal Welfare Outcome Assessment. Animals, 12(5), 607. https://doi.org/10.3390/ani12050607

