Changes in the Microbiome Profile in Different Parts of the Intestine in Piglets with Diarrhea
Abstract
Simple Summary
Abstract
1. Introduction
2. Materials and Methods
2.1. Samples
2.2. Isolation of DNA
2.3. Amplification of the 16S rRNA Gene
2.4. Ion Torrent PGM Sequencing
2.5. Statistical Data Analysis
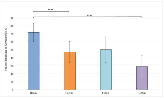
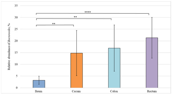
3. Results
4. Discussion
5. Conclusions
Supplementary Materials
Author Contributions
Funding
Institutional Review Board Statement
Informed Consent Statement
Data Availability Statement
Conflicts of Interest
References
- Cho, I.; Blaser, M.J. The Human Microbiome: At the Interface of Health and Disease. Nat. Rev. Genet. 2012, 13, 260–270. [Google Scholar] [CrossRef]
- Lu, D.; Tiezzi, F.; Schillebeeckx, C.; McNulty, N.P.; Schwab, C.; Shull, C.; Maltecca, C. Host Contributes to Longitudinal Diversity of Fecal Microbiota in Swine Selected for Lean Growth. Microbiome 2018, 6, 4. [Google Scholar] [CrossRef]
- Yeoman, C.J.; White, B.A. Gastrointestinal Tract Microbiota and Probiotics in Production Animals. Annu. Rev. Anim. Biosci. 2014, 2, 469–486. [Google Scholar] [CrossRef]
- De Rodas, B.; Youmans, B.P.; Danzeisen, J.L.; Tran, H.; Johnson, T.J. Microbiome Profiling of Commercial Pigs from Farrow to Finish. J. Anim. Sci. 2018, 96, 1798–1994. [Google Scholar] [CrossRef]
- Ivarsson, E.; Roos, S.; Liu, H.Y.; Lindberg, J.E. Fermentable Non-Starch Polysaccharides Increases the Abundance of Bacteroides-Prevotella-Porphyromonas in Ileal Microbial Community of Growing Pigs. Anim. Int. J. Anim. Biosci. 2014, 8, 1777–1787. [Google Scholar] [CrossRef]
- Kraler, M.; Ghanbari, M.; Domig, K.J.; Schedle, K.; Kneifel, W. The Intestinal Microbiota of Piglets Fed with Wheat Bran Variants as Characterised by 16S RRNA Next-Generation Amplicon Sequencing. Arch. Anim. Nutr. 2016, 70, 173–189. [Google Scholar] [CrossRef]
- Mach, N.; Berri, M.; Estellé, J.; Levenez, F.; Lemonnier, G.; Denis, C.; Leplat, J.J.; Chevaleyre, C.; Billon, Y.; Doré, J.; et al. Early-Life Establishment of the Swine Gut Microbiome and Impact on Host Phenotypes. Environ. Microbiol. Rep. 2015, 7, 554–569. [Google Scholar] [CrossRef]
- Slifierz, M.J.; Friendship, R.M.; Weese, J.S. Longitudinal Study of the Early-Life Fecal and Nasal Microbiotas of the Domestic Pig. BMC Microbiol. 2015, 15, 184. [Google Scholar] [CrossRef]
- Ramayo-Caldas, Y.; Mach, N.; Lepage, P.; Levenez, F.; Denis, C.; Lemonnier, G.; Leplat, J.J.; Billon, Y.; Berri, M.; Doré, J.; et al. Phylogenetic Network Analysis Applied to Pig Gut Microbiota Identifies an Ecosystem Structure Linked with Growth Traits. ISME J. 2016, 10, 2973–2977. [Google Scholar] [CrossRef]
- Tsiamis, G.; Ntougias, S.; Sabree, Z.L.; Chen, C.; He, M.; Fang, S.; Huang, X.; Zhao, Y.; Ke, S.; Yang, H.; et al. Evaluating the Contribution of Gut Microbiota to the Variation of Porcine Fatness with the Cecum and Fecal Samples. Front. Microbiol. 2016, 7, 2108. [Google Scholar] [CrossRef]
- Camarinha-Silva, A.; Maushammer, M.; Wellmann, R.; Vital, M.; Preuss, S.; Bennewitz, J. Host Genome Influence on Gut Microbial Composition and Microbial Prediction of Complex Traits in Pigs. Genetics 2017, 206, 1637–1644. [Google Scholar] [CrossRef]
- McCormack, U.M.; Curião, T.; Buzoianu, S.G.; Prieto, M.L.; Ryan, T.; Varley, P.; Crispie, F.; Magowan, E.; Metzler-Zebeli, B.U.; Berry, D.; et al. Exploring a Possible Link between the Intestinal Microbiota and Feed Efficiency in Pigs. Appl. Environ. Microbiol. 2017, 83, 1–42. [Google Scholar] [CrossRef]
- Crespo-Piazuelo, D.; Estellé, J.; Revilla, M.; Criado-Mesas, L.; Ramayo-Caldas, Y.; Óvilo, C.; Fernández, A.I.; Ballester, M.; Folch, J.M. Characterization of Bacterial Microbiota Compositions along the Intestinal Tract in Pigs and Their Interactions and Functions. Sci. Rep. 2018, 8, 12727. [Google Scholar] [CrossRef]
- Kelly, J.; Daly, K.; Moran, A.W.; Ryan, S.; Bravo, D.; Shirazi-Beechey, S.P. Composition and Diversity of Mucosa-Associated Microbiota along the Entire Length of the Pig Gastrointestinal Tract; Dietary Influences. Environ. Microbiol. 2017, 19, 1425–1438. [Google Scholar] [CrossRef]
- Yang, H.; Huang, X.; Fang, S.; Xin, W.; Huang, L.; Chen, C. Uncovering the Composition of Microbial Community Structure and Metagenomics among Three Gut Locations in Pigs with Distinct Fatness. Sci. Rep. 2016, 6, 27427. [Google Scholar] [CrossRef]
- Guevarra, R.B.; Lee, J.H.; Lee, S.H.; Seok, M.J.; Kim, D.W.; Kang, B.N.; Johnson, T.J.; Isaacson, R.E.; Kim, H.B. Piglet Gut Microbial Shifts Early in Life: Causes and Effects. J. Anim. Sci. Biotechnol. 2019, 10, 1. [Google Scholar] [CrossRef]
- Konstantinov, S.R.; Awati, A.A.; Williams, B.A.; Miller, B.G.; Jones, P.; Stokes, C.R.; Akkermans, A.D.L.; Smidt, H.; de Vos, W.M. Post-Natal Development of the Porcine Microbiota Composition and Activities. Environ. Microbiol. 2006, 8, 1191–1199. [Google Scholar] [CrossRef]
- Naito, S.; Hayashidani, H.; Kaneko, K.; Ogawa, M.; Benno, Y. Development of Intestinal Lactobacilli in Normal Piglets. J. Appl. Bacteriol. 1995, 79, 230–236. [Google Scholar] [CrossRef]
- Petri, D.; Hill, J.E.; van Kessel, A.G. Microbial Succession in the Gastrointestinal Tract (GIT) of the Preweaned Pig. Livest. Sci. 2010, 133, 107–109. [Google Scholar] [CrossRef]
- Swords, W.E.; Wu, C.C.; Champlin, F.R.; Buddington, R.K. Postnatal Changes in Selected Bacterial Groups of the Pig Colonic Microflora. Biol. Neonate 1993, 63, 191–200. [Google Scholar] [CrossRef]
- Inoue, R.; Tsukahara, T.; Nakanishi, N.; Ushida, K. Development of the Intestinal Microbiota in the Piglet. J. Gen. Appl. Microbiol. 2005, 51, 257–265. [Google Scholar] [CrossRef]
- Konstantinov, S.R.; Awati, A.; Smidt, H.; Williams, B.A.; Akkermans, A.D.L.; de Vos, W.M. Specific Response of a Novel and Abundant Lactobacillus amylovorus-Like Phylotype to Dietary Prebiotics in the Guts of Weaning Piglets. Appl. Environ. Microbiol. 2004, 70, 3821–3830. [Google Scholar] [CrossRef]
- Li, M.; Gong, J.; Cottrill, M.; Yu, H.; de Lange, C.; Burton, J.; Topp, E. Evaluation of QIAamp DNA Stool Mini Kit for Ecological Studies of Gut Microbiota. J. Microbiol. Methods 2003, 54, 13–20. [Google Scholar] [CrossRef]
- Hill, J.E.; Hemmingsen, S.M.; Goldade, B.G.; Dumonceaux, T.J.; Klassen, J.; Zijlstra, R.T.; Swee, H.G.; van Kessel, A.G. Comparison of Ileum Microflora of Pigs Fed Corn-, Wheat-, or Barley-Based Diets by Chaperonin-60 Sequencing and Quantitative PCR. Appl. Environ. Microbiol. 2005, 71, 867–875. [Google Scholar] [CrossRef]
- Knecht, D.; Cholewińska, P.; Jankowska-Mąkosa, A.; Czyż, K. Development of Swine’s Digestive Tract Microbiota and Its Relation to Production Indices—A Review. Animals 2020, 10, 527. [Google Scholar] [CrossRef]
- Meng, X.J.; Lindsay, D.S. Wild Boars as Sources for Infectious Diseases in Livestock and Humans. Philos. Trans. R. Soc. B Biol. Sci. 2009, 364, 2697–2707. [Google Scholar] [CrossRef]
- Myers, K.P.; Olsen, C.W.; Gray, G.C. Cases of Swine Influenza in Humans: A Review of the Literature. Clin. Infect. Dis. 2007, 44, 1084–1088. [Google Scholar] [CrossRef]
- Yue, S.; Li, Z.; Hu, F.; Picimbon, J.F. Curing Piglets from Diarrhea and Preparation of a Healthy Microbiome with Bacillus Treatment for Industrial Animal Breeding. Sci. Rep. 2020, 10, 19476. [Google Scholar] [CrossRef]
- Amezcua, R.; Friendship, R.M.; Dewey, C.E.; Gyles, C.; Fairbrother, J.M. Presentation of Postweaning Escherichia coli Diarrhea in Southern Ontario, Prevalence of Hemolytic E. coli Serogroups Involved, and Their Antimicrobial Resistance Patterns. Can. J. Vet. Res. 2002, 66, 73–78. [Google Scholar]
- Fairbrother, J.M.; Nadeau, É.; Gyles, C.L. Escherichia coli in Postweaning Diarrhea in Pigs: An Update on Bacterial Types, Pathogenesis, and Prevention Strategies. Anim. Health Res. Rev. 2005, 6, 17–39. [Google Scholar] [CrossRef]
- Delia, E.; Tafaj, M.; Männer, K. Efficiency of Probiotics in Farm Animals. In Probiotic in Animals; IntechOpen: London, UK, 2012. [Google Scholar] [CrossRef][Green Version]
- Bomba, A.; Nemcová, R.; Gancarčíková, S.; Herich, R.; Kaštel, R. Potentiation of the Effectiveness of Lactobacillus casei in the Prevention of E. coli Induced Diarrhea in Conventional and Gnotobiotic Pigs. Adv. Exp. Med. Biol. 2000, 473, 185–190. [Google Scholar] [CrossRef]
- Yang, Y.; Zhao, X.; Le, M.H.A.; Zijlstra, R.T.; Gänzle, M.G. Reutericyclin Producing Lactobacillus reuteri Modulates Development of Fecal Microbiota in Weanling Pigs. Front. Microbiol. 2015, 6, 762. [Google Scholar] [CrossRef]
- Wang, A.; Yu, H.; Gao, X.; Li, X.; Qiao, S. Influence of Lactobacillus fermentum I5007 on the Intestinal and Systemic Immune Responses of Healthy and E. coli Challenged Piglets. Antonie Van Leeuwenhoek Int. J. Gen. Mol. Microbiol. 2009, 96, 89–98. [Google Scholar] [CrossRef]
- Wang, A.N.; Cai, C.J.; Zeng, X.F.; Zhang, F.R.; Zhang, G.L.; Thacker, P.A.; Wang, J.J.; Qiao, S.Y. Dietary Supplementation with Lactobacillus fermentum I5007 Improves the Anti-Oxidative Activity of Weanling Piglets Challenged with Diquat. J. Appl. Microbiol. 2013, 114, 1582–1591. [Google Scholar] [CrossRef]
- Suda, Y.; Villena, J.; Takahashi, Y.; Hosoya, S.; Tomosada, Y.; Tsukida, K.; Shimazu, T.; Aso, H.; Tohno, M.; Ishida, M.; et al. Immunobiotic Lactobacillus jensenii as Immune-Health Promoting Factor to Improve Growth Performance and Productivity in Post-Weaning Pigs. BMC Immunol. 2014, 15, 24. [Google Scholar] [CrossRef]
- Nemcová, R.; Bomba, A.; Gancarčiková, S.; Herich, R.; Guba, P. Study of the Effect of Lactobacillus paracasei and Fructooligosaccharides on the Faecal Microflora in Weanling Piglets. Berl. Munch. Tierarztl. Wochenschr. 1999, 112, 225–228. [Google Scholar] [CrossRef][Green Version]
- Gebru, E.; Lee, J.S.; Son, J.C.; Yang, S.Y.; Shin, S.A.; Kim, B.; Kim, M.K.; Park, S.C. Effect of Probiotic-, Bacteriophage-, or Organic Acid-Supplemented Feeds or Fermented Soybean Meal on the Growth Performance, Acute-Phase Response, and Bacterial Shedding of Grower Pigs Challenged with Salmonella enterica Serotype Typhimurium. J. Anim. Sci. 2010, 88, 3880–3886. [Google Scholar] [CrossRef]
- Liu, H.; Zhang, J.; Zhang, S.; Yang, F.; Thacker, P.A.; Zhang, G.; Qiao, S.; Ma, X. Oral Administration of Lactobacillus fermentum I5007 Favors Intestinal Development and Alters the Intestinal Microbiota in Formula-Fed Piglets. J. Agric. Food Chem. 2014, 62, 860–866. [Google Scholar] [CrossRef]
- Kenworthy, R.; Crabb, W.E. The intestinal flora of young pigs, with reference to early weaning, Escherichia coli and scours. J. Comp. Pathol. 1963, 73, 215–228. [Google Scholar] [CrossRef]
- Donaldson, G.P.; Lee, S.M.; Mazmanian, S.K. Gut Biogeography of the Bacterial Microbiota. Nat. Rev. Microbiol. 2015, 14, 20–32. [Google Scholar]
- Campbell, J.M.; Crenshaw, J.D.; Polo, J. The Biological Stress of Early Weaned Piglets. J. Anim. Sci. Biotechnol. 2013, 4, 19. [Google Scholar] [CrossRef]
- Brandis-Heep, A. Encyclopedia of Food Microbiology; Academic Press: San Diego, CA, USA, 2000; ISBN 9780122270703. [Google Scholar]
- Chen, L.; Xu, Y.; Chen, X.; Fang, C.; Zhao, L.; Chen, F. The Maturing Development of Gut Microbiota in Commercial Piglets during the Weaning Transition. Front. Microbiol. 2017, 8, 1688. [Google Scholar] [CrossRef]
- Zhang, W.; Ma, C.; Xie, P.; Zhu, Q.; Wang, X.; Yin, Y.; Kong, X. Gut Microbiota of Newborn Piglets with Intrauterine Growth Restriction Have Lower Diversity and Different Taxonomic Abundances. J. Appl. Microbiol. 2019, 127, 354–369. [Google Scholar] [CrossRef]
- Devriese, L.A.; Hommez, J.; Pot, B.; Haesebrouck, F. Identification and Composition of the Streptococcal and Enterococcal Flora of Tonsils, Intestines and Faeces of Pigs. J. Appl. Bacteriol. 1994, 77, 31–36. [Google Scholar] [CrossRef]
- Leser, T.D.; Amenuvor, J.Z.; Jensen, T.K.; Lindecrona, R.H.; Boye, M.; Moøller, K. Culture-Independent Analysis of Gut Bacteria: The Pig Gastrointestinal Tract Microbiota Revisited. Appl. Environ. Microbiol. 2002, 68, 673–690. [Google Scholar] [CrossRef] [PubMed]
- Coudert, P. Les Principales Maladies Du Porc. Actual. Pharm. 2018, 57, 50. [Google Scholar] [CrossRef]
- Cheon, D.S.; Chae, C. Outbreak of Diarrhea Associated with Enterococcus durans in Piglets. J. Vet. Diagn. Investig. 1996, 8, 123–124. [Google Scholar] [CrossRef] [PubMed]
- Tzipori, S.; Hayes, J.; Sims, L.; Withers, M. Streptococcus Durans: An Unexpected Enteropathogen of Foals. J. Infect. Dis. 1984, 150, 589–593. [Google Scholar] [CrossRef]
- Collins, J.E.; Bergeland, M.E.; Lindeman, C.J.; Duimstra, J.R. Enterococcus (Streptococcus) durans Adherence in the Small Intestine of a Diarrheic Pup. Vet. Pathol. 1988, 25, 396–398. [Google Scholar] [CrossRef] [PubMed]
- Etheridge, M.E.; Vonderfecht, S.L. Diarrhea Caused by a Slow-Growing Enterococcus-like Agent in Neonatal Rats. Lab. Anim. Sci. 1992, 42, 548–550. [Google Scholar] [PubMed]
- Rogers, D.G.; Zeman, D.H.; Erickson, E.D. Diarrhea Associated with Enterococcus durans in Calves. J. Vet. Diagn. Investig. 1992, 4, 471–472. [Google Scholar] [CrossRef] [PubMed]
- Nicklas, J.L.; Moisan, P.; Stone, M.R.; Gookin, J.L. In Situ Molecular Diagnosis and Histopathological Characterization of Enteroadherent Enterococcus hirae Infection in Pre-Weaning-Age Kittens. J. Clin. Microbiol. 2010, 48, 2814–2820. [Google Scholar] [CrossRef] [PubMed]
- Vela, A.I.; Fernández, A.; Moreno, B.; Casamayor, A.; Chacón, G.; Villa, A.; Comenge, J.; Fernández-Garayzábal, J.F. Isolation of Enterococcus hirae from Suckling Rabbits with Diarrhoea. Vet. Rec. 2010, 167, 345–346. [Google Scholar] [CrossRef] [PubMed]
- Aladame, N. Bergey’s Manual of Systematic Bacteriology. Ann. Inst. Pasteur Microbiol. 1987, 138, 1–46. [Google Scholar] [CrossRef]
- Rowland, M.D.; Del Bene, V.E.; Lewis, J.W. Factors Affecting Antimicrobial Susceptibility of Fusobacterium Species. J. Clin. Microbiol. 1987, 25, 476–479. [Google Scholar] [CrossRef]
- Tan, Z.; Dong, W.; Ding, Y.; Ding, X.; Zhang, Q.; Jiang, L. Changes in Cecal Microbiota Community of Suckling Piglets Infected with Porcine Epidemic Diarrhea Virus. PLoS ONE 2019, 14, e0219868. [Google Scholar] [CrossRef]
- Swidsinski, A.; Dörffel, Y.; Loening-Baucke, V.; Theissig, F.; Rückert, J.C.; Ismail, M.; Rau, W.A.; Gaschler, D.; Weizenegger, M.; Kühn, S.; et al. Acute Appendicitis Is Characterised by Local Invasion with Fusobacterium nucleatum/necrophorum. Gut 2011, 60, 34–40. [Google Scholar] [CrossRef]
- Yoneda, S.; Loeser, B.; Feng, J.; Dmytryk, J.; Qi, F.; Merritt, J. Ubiquitous Sialometabolism Present among Oral Fusobacteria. PLoS ONE 2014, 9, e99263. [Google Scholar] [CrossRef]
- Jia, Y.P.; Wang, K.; Zhang, Z.J.; Tong, Y.N.; Han, D.; Hu, C.Y.; Li, Q.; Xiang, Y.; Mao, X.H.; Tang, B. TLR2/TLR4 Activation Induces Tregs and Suppresses Intestinal Inflammation Caused by Fusobacterium nucleatum in Vivo. PLoS ONE 2017, 12, e0186179. [Google Scholar] [CrossRef]
- Flemer, B.; Warren, R.D.; Barrett, M.P.; Cisek, K.; Das, A.; Jeffery, I.B.; Hurley, E.; O’Riordain, M.; Shanahan, F.; O’Toole, P.W. The Oral Microbiota in Colorectal Cancer Is Distinctive and Predictive. Gut 2018, 67, 1454–1463. [Google Scholar] [CrossRef]
- Huang, A.; Cai, R.; Wang, Q.; Shi, L.; Li, C.; Yan, H. Dynamic Change of Gut Microbiota during Porcine Epidemic Diarrhea Virus Infection in Suckling Piglets. Front. Microbiol. 2019, 10, 322. [Google Scholar] [CrossRef] [PubMed]
- Gupta, S.; Mortensen, M.S.; Schjørring, S.; Trivedi, U.; Vestergaard, G.; Stokholm, J.; Bisgaard, H.; Krogfelt, K.A.; Sørensen, S.J. Amplicon sequencing provides more accurate microbiome information in healthy children compared to culturing. Commun. Biol. 2019, 2, 291. [Google Scholar] [CrossRef] [PubMed]
- Bukin, Y.; Galachyants, Y.; Morozov, I.; Bukin, S.V.; Zakharenko, A.S.; Zemskaya, T.I. The effect of 16S rRNA region choice on bacterial community metabarcoding results. Sci. Data 2019, 6, 190007. [Google Scholar] [CrossRef] [PubMed]
- Sirichoat, A.; Sankuntaw, N.; Engchanil, C.; Buppasiri, P.; Faksri, K.; Namwat, W.; Chantratita, W.; Lulitanond, V. Comparison of different hypervariable regions of 16S rRNA for taxonomic profiling of vaginal microbiota using next-generation sequencing. Arch. Microbiol. 2021, 203, 1159–1166. [Google Scholar] [CrossRef] [PubMed]










| Primer | Sequence |
|---|---|
| 337F | 5′-GACTCCTACGGGAGGCWGCAG-3′ |
| 518R | 5′-GTATTACCGCGGCTGCTGG-3′ |
Publisher’s Note: MDPI stays neutral with regard to jurisdictional claims in published maps and institutional affiliations. |
© 2022 by the authors. Licensee MDPI, Basel, Switzerland. This article is an open access article distributed under the terms and conditions of the Creative Commons Attribution (CC BY) license (https://creativecommons.org/licenses/by/4.0/).
Share and Cite
Gryaznova, M.V.; Dvoretskaya, Y.D.; Syromyatnikov, M.Y.; Shabunin, S.V.; Parshin, P.A.; Mikhaylov, E.V.; Strelnikov, N.A.; Popov, V.N. Changes in the Microbiome Profile in Different Parts of the Intestine in Piglets with Diarrhea. Animals 2022, 12, 320. https://doi.org/10.3390/ani12030320
Gryaznova MV, Dvoretskaya YD, Syromyatnikov MY, Shabunin SV, Parshin PA, Mikhaylov EV, Strelnikov NA, Popov VN. Changes in the Microbiome Profile in Different Parts of the Intestine in Piglets with Diarrhea. Animals. 2022; 12(3):320. https://doi.org/10.3390/ani12030320
Chicago/Turabian StyleGryaznova, Mariya V., Yuliya D. Dvoretskaya, Mikhail Y. Syromyatnikov, Sergey V. Shabunin, Pavel A. Parshin, Evgeniy V. Mikhaylov, Nikolay A. Strelnikov, and Vasily N. Popov. 2022. "Changes in the Microbiome Profile in Different Parts of the Intestine in Piglets with Diarrhea" Animals 12, no. 3: 320. https://doi.org/10.3390/ani12030320
APA StyleGryaznova, M. V., Dvoretskaya, Y. D., Syromyatnikov, M. Y., Shabunin, S. V., Parshin, P. A., Mikhaylov, E. V., Strelnikov, N. A., & Popov, V. N. (2022). Changes in the Microbiome Profile in Different Parts of the Intestine in Piglets with Diarrhea. Animals, 12(3), 320. https://doi.org/10.3390/ani12030320

