Pharmacokinetics of Carboplatin in Combination with Low-Dose Cyclophosphamide in Female Dogs with Mammary Carcinoma
Abstract
Simple Summary
Abstract
1. Introduction
2. Materials and Methods
2.1. Animals
2.2. Clinical Evaluation and Mastectomy
2.3. Chemotherapy Treatment
2.4. Chemotherapy Adverse Reactions
2.5. Analysis of Carboplatin in Dog Plasma
2.6. PK Analysis of Carboplatin in Plasma
2.7. Follow-Up and Survival Rate
3. Results
3.1. Clinical and Pathological Features
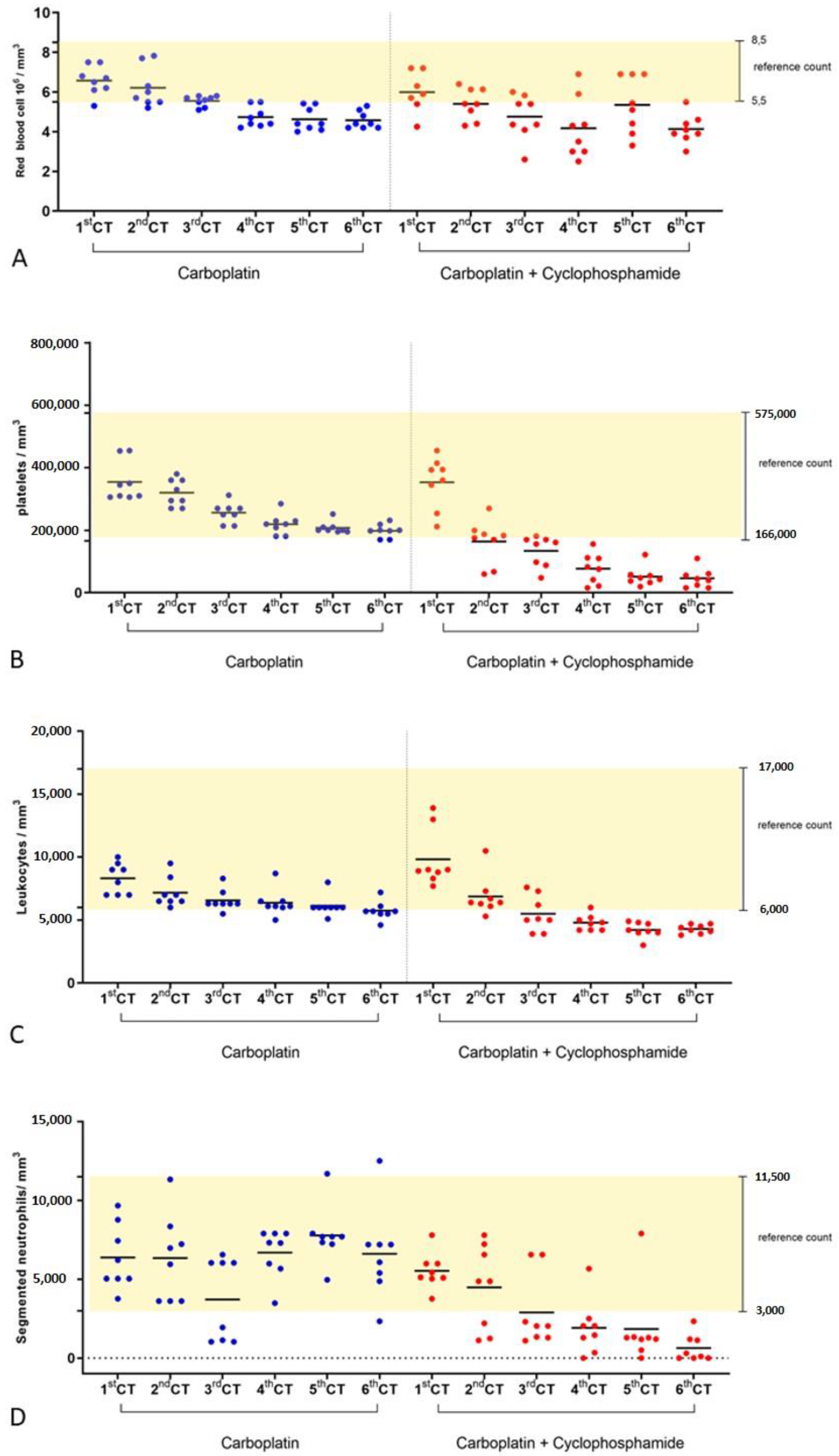
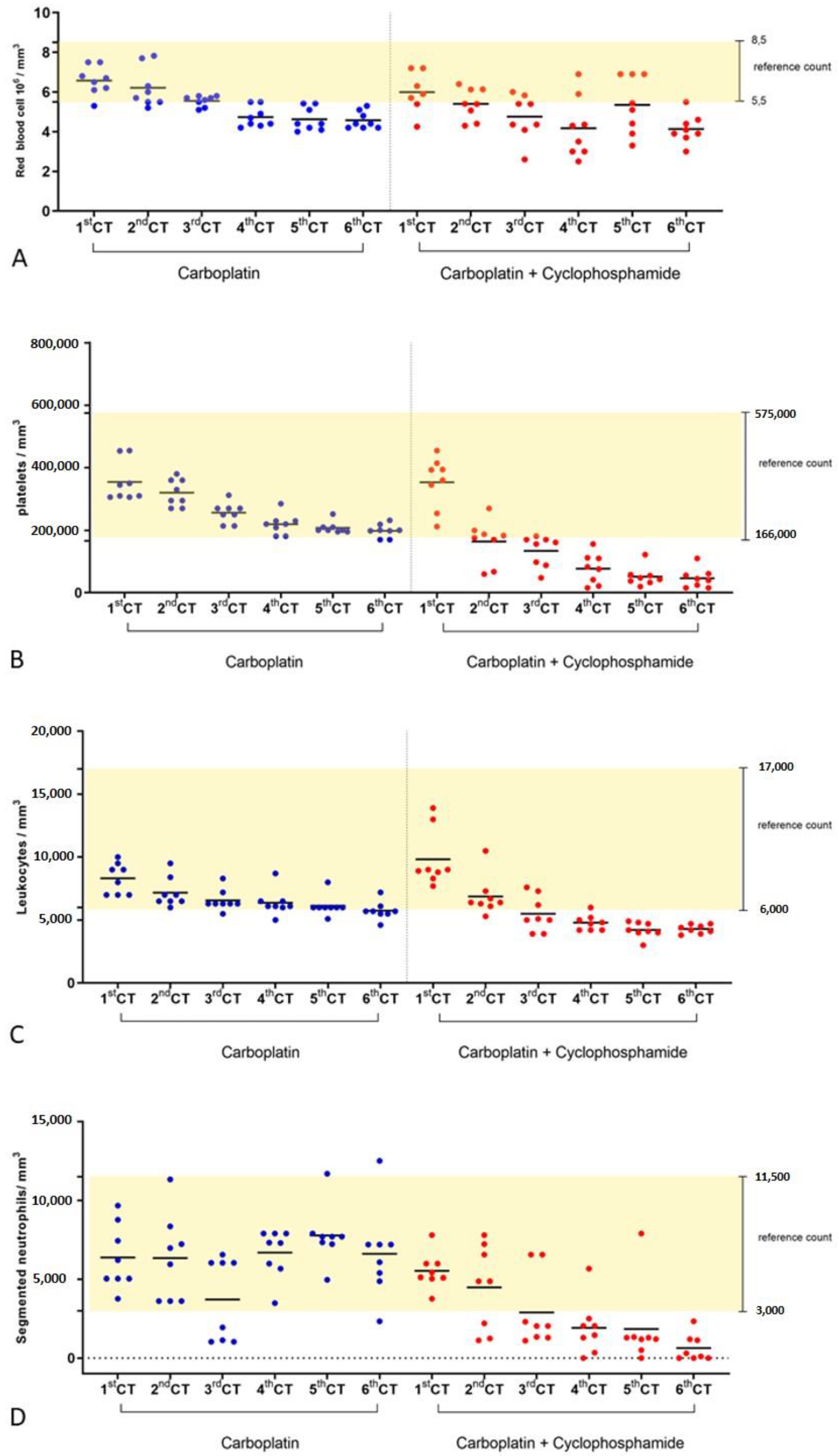
3.2. Adverse Effects
3.3. Pharmacokinetic Analysis of Carboplatin
3.4. Survival Time
4. Discussion
5. Conclusions
Supplementary Materials
Author Contributions
Funding
Institutional Review Board Statement
Informed Consent Statement
Data Availability Statement
Conflicts of Interest
References
- Veterinary Society of Surgical Oncology. Mammary Tumors—Canine. 2019. Available online: https://vsso.org/mammary-tumors-canine/ (accessed on 8 October 2022).
- Biller, B. Metronomic Chemotherapy in Veterinary Patients with Cancer. Vet. Clin. N. Am. Small Anim. Pract. 2014, 44, 817–829. [Google Scholar] [CrossRef] [PubMed]
- Fares, J.E.; El Tomb, P.; Khalil, L.E.; Atwani, R.W.; Moukadem, H.A.; Awada, A.; El Saghir, N.S. Metronomic chemotherapy for patients with metastatic breast cancer: Review of effectiveness and potential use during pandemics. Cancer Treat. Rev. 2020, 89, 102066. [Google Scholar] [CrossRef] [PubMed]
- Cassali, G.D.; Jark, P.C.; Gamba, C.; Damasceno, K.; Estrela-Lima, A.; Nardi, A.; Ferreira, E.; Horta, R.; Firmo, B.; Sueiro, F.; et al. Consensus Regarding the Diagnosis, Prognosis and Treatment of Canine and Feline Mammary Tumors–2019. Braz. J. Vet. Pathol. 2020, 13, 555–574. [Google Scholar] [CrossRef]
- Klahn, S. Chemotherapy Safety in Clinical Veterinary Oncology. Vet. Clin. N. Am. Small Anim. Pract. 2014, 44, 941–963. [Google Scholar] [CrossRef] [PubMed]
- Kareva, I.; Waxman, D.J.; Klement, G.L. Metronomic chemotherapy: An attractive alternative to maximum tolerated dose therapy that can activate anti-tumor immunity and minimize therapeutic resistance. Cancer Lett. 2014, 358, 100–106. [Google Scholar] [CrossRef] [PubMed]
- Lavalle, G.E.; De Campos, C.B.; Bertagnolli, A.C.; Cassali, G.D. Canine malignant mammary gland neoplasms with advanced clinical staging treated with carboplatin and cyclooxygenase inhibitors. In Vivo 2012, 26, 375–379. [Google Scholar] [PubMed]
- Bracha, S.; Walshaw, R.; Danton, T.; Holland, S.; Ruaux, C.; Obradovich, J. Evaluation of toxicities from combined metronomic and maximal-tolerated dose chemotherapy in dogs with osteosarcoma. J. Small Anim. Pract. 2014, 55, 369–374. [Google Scholar] [CrossRef]
- Rossi, F.; Sabattini, S.; Vascellari, M.; Marconato, L. The impact of toceranib, piroxicam and thalidomide with or without hypofractionated radiation therapy on clinical outcome in dogs with inflammatory mammary carcinoma. Vet. Comp. Oncol. 2018, 16, 497–504. [Google Scholar] [CrossRef]
- Alonso-Miguel, D.; Valdivia, G.; José, P.G.S.; Alonso-Diez, A.; Clares, I.; Portero, M.; Peña, L.; Pérez-Alenza, M.D. Clinical outcome of dogs diagnosed with canine inflammatory mammary cancer treated with metronomic cyclophosphamide, a cyclooxygenase-2 inhibitor and toceranib phosphate. Vet. Comp. Oncol. 2022, 20, 179–188. [Google Scholar] [CrossRef]
- Banys-Paluchowski, M.; Schütz, F.; Ruckhäberle, E.; Krawczyk, N.; Fehm, T. Metronomic Chemotherapy for Metastatic Breast Cancer—A Systematic Review of the Literature. Geburtshilfe Frauenheilkd. 2016, 76, 525–534. [Google Scholar] [CrossRef]
- Gaspar, T.B.; Henriques, J.; Marconato, L.; Queiroga, F.L. The use of low-dose metronomic chemotherapy in dogs-insight into a modern cancer field. Vet. Comp. Oncol. 2018, 16, 2–11. [Google Scholar] [CrossRef] [PubMed]
- Matsuyama, A.; Schott, C.R.; Wood, G.A.; Richardson, D.; Woods, J.P.; Mutsaers, A.J. Evaluation of metronomic cyclophosphamide chemotherapy as maintenance treatment for dogs with appendicular osteosarcoma following limb amputation and carboplatin chemotherapy. J. Am. Vet. Med. Assoc. 2018, 252, 1377–1383. [Google Scholar] [CrossRef] [PubMed]
- Machado, M.C.; Da Costa-Neto, J.M.; Portela, R.; D’Assis, M.J.M.H.; Martins-Filho, O.A.; Barrouin-Melo, S.M.; Borges, N.F.; Silva, F.L.; Estrela-Lima, A. The effect of naltrexone as a carboplatin chemotherapy-associated drug on the immune response, quality of life and survival of dogs with mammary carcinoma. PLoS ONE 2018, 13, e0204830. [Google Scholar] [CrossRef] [PubMed]
- Villarino, N.; Cox, S.; Yarbrough, J.; Martiãn-Jimãnez, T. Determination of carboplatin in canine plasma by high-performance liquid chromatography. Biomed. Chromatogr. 2009, 24, 908–913. [Google Scholar] [CrossRef] [PubMed]
- Owen, L.N.; World Health Organization. Veterinary Public Health Unit & WHO Collaborating Center for Comparative Oncology; Owen, L.N., Ed.; TNM Classification of Tumours in Domestic Animals; World Health Organization: Geneva, Switzerland, 1980. Available online: https://apps.who.int/iris/handle/10665/68618 (accessed on 14 July 2022).
- Veterinary Cooperative Oncology Group. Common terminology criteria for adverse events (VCOG-CTCAE) following chemotherapy or biological antineoplastic therapy in dogs and cats v1.1. Vet. Comp. Oncol. 2016, 14, 417–446. [Google Scholar] [CrossRef]
- Clinical Pharmacology; Therapeutics Editorial Team. Statistical Guide for Clinical Pharmacology & Therapeutics. Clin. Pharmacol. Ther. 2010, 88, 150–152. [Google Scholar] [CrossRef]
- R Core Team. R: A Language and Environment for Statistical Computing. 2020. Available online: https://www.r-project.org/ (accessed on 8 October 2022).
- Wickham, H. Ggplot2: Elegant Graphics for Data Analysis; Springer: New York, NY, USA, 2016; Available online: https://ggplot2.tidyverse.org/ (accessed on 8 October 2022).
- Underwood, W.; Anthony, R. AVMA Guidelines for the Euthanasia of Animals: 2020 Edition. Retrieved on 30 March 2001–2020. 2013. Available online: https://www.avma.org/sites/default/files/2020-01/2020-Euthanasia-Final-1-17-20.pdf (accessed on 8 October 2022).
- Page, R.L.; McEntee, M.C.; George, S.L.; Williams, P.L.; Heidner, G.L.; Novotney, C.A.; Riviere, J.E.; Dewhirst, M.W.; Thrall, D.E. Pharmacokinetic and Phase I Evaluation of Carboplatin in Dogs. J. Vet. Intern. Med. 1993, 7, 235–240. [Google Scholar] [CrossRef]
- Coffee, C.; Roush, J.K.; Higginbotham, M.L. Carboplatin-induced myelosuppression as related to body weight in dogs. Vet. Comp. Oncol. 2020, 18, 804–810. [Google Scholar] [CrossRef]
- DE Campos, C.B.; Lavalle, G.E.; Monteiro, L.N.; Pêgas, G.R.A.; Fialho, S.; Balabram, D.; Cassali, G.D. Adjuvant Thalidomide and Metronomic Chemotherapy for the Treatment of Canine Malignant Mammary Gland Neoplasms. In Vivo 2018, 32, 1659–1666. [Google Scholar] [CrossRef]
- Costa-Santos, K.; Damasceno, K.; Portela, R.D.; Santos, F.L.; Araújo, G.C.; Martins-Filho, E.F.; Silva, L.P.; Barral, T.D.; Santos, S.A.; Estrela-Lima, A. Lipid and metabolic profiles in female dogs with mammary carcinoma receiving dietary fish oil supplementation. BMC Vet. Res. 2019, 15, 401. [Google Scholar] [CrossRef]
- Penel, N.; Adenis, A.; Bocci, G. Cyclophosphamide-based metronomic chemotherapy: After 10 years of experience, where do we stand and where are we going? Crit. Rev. Oncol. Hermatol. 2012, 82, 40–50. [Google Scholar] [CrossRef] [PubMed]
- Janssens, T.; Brouwers, E.E.M.; De Vos, J.P.; De Vries, N.; Schellens, J.H.M.; Beijnen, J.H. Inductively coupled plasma mass-spectrometric determination of platinum in excretion products of client-owned pet dogs. Vet. Comp. Oncol. 2015, 13, 124–132. [Google Scholar] [CrossRef] [PubMed]
- Gaver, R.; George, A.; Deeb, G. In vitro stability, plasma protein binding and blood cell partitioning of 14C-carboplatin. Cancer Chemother. Pharmacol. 1987, 20, 271–276. [Google Scholar] [CrossRef] [PubMed]
- Chen, C.; Wang, W.; Zhou, H.; Huang, J.; Liu, P.; Song, T.; Sun, M. Pharmacokinetic Comparison between Systemic and Local Chemotherapy by Carboplatin in Dogs. Reprod. Sci. 2009, 16, 1097–1102. [Google Scholar] [CrossRef] [PubMed]
- Browder, T.; Butterfield, C.E.; Kräling, B.M.; Shi, B.; Marshall, B.; O’Reilly, M.S.; Folkman, J. Antiangiogenic scheduling of chemotherapy improves efficacy against experimental drug-resistant cancer. Cancer Res. 2000, 60, 1878–1886. [Google Scholar] [PubMed]
- Oguri, S.; Sakakibara, T.; Mase, H.; Shimizu, T.; Ishikawa, K.; Kimuram, K.; Smyth, R.D. Clinical pharmacokinetics of carboplatin. J. Clin. Pharmacol. 1988, 28, 208–215. [Google Scholar] [CrossRef]
- O’Dwyer, P.J.; Stevenson, J.P.; Johnson, S.W. Clinical Pharmacokinetics and Administration of Established Platinum Drugs. Drugs 2000, 59, 19–27. [Google Scholar] [CrossRef]
- Samimi, G.; Safaei, R.; Katano, K.; Holzer, A.K.; Rochdi, M.; Tomioka, M.; Goodman, M.; Howell, S.B. Increased Expression of the Copper Efflux Transporter ATP7A Mediates Resistance to Cisplatin, Carboplatin, and Oxaliplatin in Ovarian Cancer Cells. Clin. Cancer Res. 2004, 10, 4661–4669. [Google Scholar] [CrossRef]
- Holzer, A.K.; Manorek, G.H.; Howell, S.B. Contribution of the Major Copper Influx Transporter CTR1 to the Cellular Accumulation of Cisplatin, Carboplatin, and Oxaliplatin. Mol. Pharmacol. 2006, 70, 1390–1394. [Google Scholar] [CrossRef]
- Larson, C.A.; Blair, B.G.; Safaei, R.; Howell, S.B. The role of the mammalian copper transporter 1 in the cellular accumulation of platinum-based drugs. Mol. Pharmacol. 2009, 75, 324–330. [Google Scholar] [CrossRef]
- Dilruba, S.; Kalayda, G.V. Platinum-based drugs: Past, present and future. Cancer Chemother. Pharmacol. 2016, 77, 1103–1124. [Google Scholar] [CrossRef] [PubMed]
- Mutsaers, A.J. Metronomic chemotherapy. Top. Companion Anim. Med. 2009, 24, 137–143. [Google Scholar] [CrossRef] [PubMed]
- Mross, K.; Steinbild, S. Metronomic anti-cancer therapy—An ongoing treatment option for advanced cancer patients. J. Cancer Ther. Res. 2012, 1, 1–32. [Google Scholar] [CrossRef][Green Version]
- Loven, D.; Hasnis, E.; Bertolini, F.; Shaked, Y. Low-dose metronomic chemotherapy: From past experience to new paradigms in the treatment of cancer. Drug Discov. Today 2013, 18, 193–201. [Google Scholar] [CrossRef]
- Bocci, G.; Nicolaou, K.C.; Kerbel, R.S. Protracted low-dose effects on human endothelial cell proliferation and survival in vitro reveal a selective antiangiogenic window for various chemotherapeutic drugs. Cancer Res. 2002, 62, 6938–6943. [Google Scholar]
- Blansfield, J.A.; Caragacianu, D.; Alexander, H.R., III; Tangrea, M.A.; Morita, S.Y.; Lorang, D.; Schafer, P.; Muller, G.; Stirling, D.; Royal, R.E.; et al. Combining agents that target the tumor microenvironment improves the efficacy of anticancer therapy. Clin. Cancer Res. 2008, 14, 270–280. [Google Scholar] [CrossRef]
- Pasquier, E.; Kavallaris, M.; André, N. Metronomic chemotherapy: New rationale for new directions. Nat. Ver. Clin. Oncol. 2010, 7, 455–465. [Google Scholar] [CrossRef]




| Case | Age Years | Body Condition | T | N | M | TNM Stage | Survival | Histological Types and Grade |
|---|---|---|---|---|---|---|---|---|
| Carboplatin | ||||||||
| 1 | 11 | lean | 3–5 cm | N0 | M0 | II | 240 | Solid carcinoma Grade 2 |
| 2 | 8 | normal | 3–5 cm | N0 | M0 | II | 240 | Solid carcinoma Grade 2 |
| 3 | 14 | normal | >5 cm | N0 | M0 | III | 383 | Papillary carcinoma Grade 2 |
| 4 | 12 | normal | >5 cm | N0 | M0 | III | 422 | Mixed tumor carcinoma Grade 2 |
| 5 | 11 | normal | >5 cm | N0 | M0 | III | 374 | Mixed tumor carcinoma Grade 2 |
| 6 | 15 | obese | >5 cm | N1 | M0 | IV | 245 | Solid carcinoma Grade 3 |
| 7 | 10 | normal | 3–5 cm | N1 | M0 | IV | 390 | Mixed tumor carcinoma Grade 2 |
| 8 | 7 | normal | >5 cm | N1 | M0 | IV | 386 | Mixed tumor carcinoma Grade 2 |
| Carboplatin + Cyclophosphamide | ||||||||
| 9 | 12 | obese | >5 cm | N1 | M0 | IV | 485 | Solid carcinoma Grade 3 |
| 10 | 8 | normal | 3–5 cm | N1 | M0 | IV | 600 | Mixed tumor carcinoma Grade 2 |
| 11 | 14 | normal | >5 cm | N0 | M0 | III | 570 | Mixed tumor carcinoma Grade 2 |
| 12 | 13 | lean | >5 cm | N0 | M0 | III | 517 | Papillary carcinoma Grade 2 |
| 13 | 10 | normal | >5 cm | N0 | M0 | III | 360 | Solid carcinoma Grade 2 |
| 14 | 12 | normal | >5 cm | N0 | M0 | III | 368 | Solid carcinoma Grade 2 |
| 15 | 9 | normal | >5 cm | N0 | M0 | III | 557 | Mixed tumor carcinoma Grade 2 |
| 16 | 12 | normal | >5 cm | N1 | M0 | IV | 613 | Mixed tumor carcinoma Grade 2 |
| Carboplatin (G1) | Carboplatin + Cyclophosphamide (G2) | |||||||||||
|---|---|---|---|---|---|---|---|---|---|---|---|---|
| Case Nº | 1st CT | 2nd CT | 3rd CT | 4th CT | 5th CT | 6th CT | 1st CT | 2nd CT | 3rd CT | 4th CT | 5th CT | 6th CT |
| Vomiting | ||||||||||||
| 1 | 0 | 0 | 0 | 0 | 0 | 0 | 0 | 0 | 0 | 0 | 0 | 1 |
| 2 | 0 | 0 | 0 | 0 | 0 | 0 | 0 | 3 | 0 | 0 | 3 | 3 |
| 3 | 0 | 0 | 0 | 3 | 3 | 3 | 0 | 0 | 0 | 0 | 1 | 1 |
| 4 | 0 | 0 | 0 | 0 | 0 | 0 | 0 | 3 | 3 | 11 | 5 | 4 |
| 5 | 0 | 0 | 0 | 0 | 0 | 0 | 0 | 0 | 0 | 0 | 0 | 1 |
| 6 | 0 | 0 | 0 | 0 | 0 | 0 | 0 | 3 | 3 | 11 | 4 | 3 |
| 7 | 0 | 0 | 0 | 0 | 0 | 0 | 0 | 0 | 0 | 0 | 1 | 0 |
| 8 | 0 | 3 | 0 | 11 | 3 | 3 | 0 | 0 | 0 | 0 | 3 | 3 |
| Diarrhea | ||||||||||||
| 1 | 0 | 0 | 0 | 0 | 0 | 0 | 0 | 0 | 0 | 2 | 0 | 0 |
| 2 | 0 | 0 | 0 | 0 | 0 | 0 | 0 | 0 | 0 | 0 | 0 | 0 |
| 3 | 0 | 0 | 0 | 0 | 0 | 0 | 0 | 0 | 0 | 0 | 0 | 0 |
| 4 | 0 | 0 | 0 | 0 | 0 | 0 | 0 | 0 | 0 | 0 | 0 | 0 |
| 5 | 0 | 0 | 0 | 0 | 0 | 0 | 0 | 0 | 0 | 0 | 0 | 0 |
| 6 | 0 | 0 | 0 | 0 | 0 | 0 | 0 | 0 | 0 | 0 | 0 | 0 |
| 7 | 0 | 0 | 0 | 0 | 0 | 0 | 0 | 0 | 0 | 0 | 1 | 0 |
| 8 | 0 | 0 | 0 | 0 | 0 | 0 | 0 | 0 | 0 | 0 | 0 | 0 |
| Parameter | 2nd Cycle | 4th Cycle | ||||||
|---|---|---|---|---|---|---|---|---|
| Carboplatin | Carboplatin + Cyclophosphamide | GMR a | p-Value | Carboplatin | Carboplatin + Cyclophosphamide | GMR a | p-Value | |
| AUC0-t (µg/mL⋅min) | 423.4 (176.7) [159.1–1127.0] | 557.2 (53.5) [398.2–779.7] | 1.32 [0.49–3.56] | 0.61 | 754.0 (125.3) [339.1–1676.7] | 831.1 (61.9) [567.4–1217.3] | 1.10 [0.48–2.54] | 0.83 |
| AUC0-∞ (µg/mL⋅min) | 525.1 (155.3) [211.1–1306.5] | 698.4 (50.6) [507.2–961.5] | 1.33 [0.53–3.36] | 0.58 | 941.7 (99.6) [475.7–1864.2] | 984.2 (56.2) [693.0–1397.7] | 1.05 [0.51–2.15] | 0.91 |
| Cmax (µg/mL) | 12.9 (109.6) [6.2–26.9] | 15.2 (53.3) [10.9–21.3] | 1.18 [0.55–2.51] | 0.70 | 17.7 (108.3) [8.6–36.4] | 27.3 (33.0) [22.0–33.8] | 1.55 [0.74–3.22] | 0.29 |
| CL (L/h/m2) | 34.3 (155.3) [13.8–85.3] | 25.8 (50.6) [18.7–35.5] | - | - | 19.1 (99.6) [9.7–37.8] | 18.3 (56.2) [12.9–26.0] | - | - |
| t1/2 (min) | 39.1 (55.1) [26.8–57.1] | 46.9 (81.4) [29.1–75.6] | - | 49.5 (58.8) [31.6–77.5] | 32.9 (45.8) [24.5–44.0] | - | - | |
| MRT (min) | 52.3 (52.4) [36.4–75.1] | 61.8 (86.3) [37.5–101.9] | - | 70.0 (58.4) [44.9–109.4] | 44.3 (47.9) [32.7–60.1] | - | - | |
| Vdz (L/m2) | 36.7 (78.9) [22–61.1] | 29.4 (49.2) [21.6–40.2] | - | 23.0 (111.9) [11.0–48.4] | 14.5 (43.7) (11–19.2) | - | - | |
| Vdss (L/m2) | 34.0 (81.8) [20.1–57.5] | 26.9 (53.7) [19.2–37.7] | - | 22.6 (108) [11–46.7] | 13.6 (45.4) [10.1–18.1] | - | - | |
Publisher’s Note: MDPI stays neutral with regard to jurisdictional claims in published maps and institutional affiliations. |
© 2022 by the authors. Licensee MDPI, Basel, Switzerland. This article is an open access article distributed under the terms and conditions of the Creative Commons Attribution (CC BY) license (https://creativecommons.org/licenses/by/4.0/).
Share and Cite
Machado, M.C.; Yamamoto, P.A.; Pippa, L.F.; de Moraes, N.V.; Neves, F.M.F.; Portela, R.D.; Barrouin-Melo, S.M.; Hielm-Björkman, A.; Godoy, A.L.P.C.; Estrela-Lima, A. Pharmacokinetics of Carboplatin in Combination with Low-Dose Cyclophosphamide in Female Dogs with Mammary Carcinoma. Animals 2022, 12, 3109. https://doi.org/10.3390/ani12223109
Machado MC, Yamamoto PA, Pippa LF, de Moraes NV, Neves FMF, Portela RD, Barrouin-Melo SM, Hielm-Björkman A, Godoy ALPC, Estrela-Lima A. Pharmacokinetics of Carboplatin in Combination with Low-Dose Cyclophosphamide in Female Dogs with Mammary Carcinoma. Animals. 2022; 12(22):3109. https://doi.org/10.3390/ani12223109
Chicago/Turabian StyleMachado, Marília Carneiro, Priscila Akemi Yamamoto, Leandro Francisco Pippa, Natália Valadares de Moraes, Fabiane Maria Fernandes Neves, Ricardo Dias Portela, Stella Maria Barrouin-Melo, Anna Hielm-Björkman, Ana Leonor Pardo Campos Godoy, and Alessandra Estrela-Lima. 2022. "Pharmacokinetics of Carboplatin in Combination with Low-Dose Cyclophosphamide in Female Dogs with Mammary Carcinoma" Animals 12, no. 22: 3109. https://doi.org/10.3390/ani12223109
APA StyleMachado, M. C., Yamamoto, P. A., Pippa, L. F., de Moraes, N. V., Neves, F. M. F., Portela, R. D., Barrouin-Melo, S. M., Hielm-Björkman, A., Godoy, A. L. P. C., & Estrela-Lima, A. (2022). Pharmacokinetics of Carboplatin in Combination with Low-Dose Cyclophosphamide in Female Dogs with Mammary Carcinoma. Animals, 12(22), 3109. https://doi.org/10.3390/ani12223109

