The Impact of COVID-19 Zoo Closures on Behavioural and Physiological Parameters of Welfare in Primates
Abstract
:Simple Summary
Abstract
1. Introduction
2. Materials and Methods
2.1. Subjects and Study Sites
2.2. Behavioural Observations
2.2.1. Twycross Zoo—Behavioural Observations and Enclosure Usage
2.2.2. Knowsley Safari
2.3. Faecal Sampling
2.3.1. Sample Collection
2.3.2. Sample Preparation and Extraction
2.3.3. Enzyme Immunoassay
2.3.4. Analytical Validation
2.4. Ethics Statement
2.5. Data Analysis
2.5.1. Behavioural and Enclosure Use Data
2.5.2. Faecal Glucocorticoid Metabolites
3. Results
3.1. Twycross Zoo
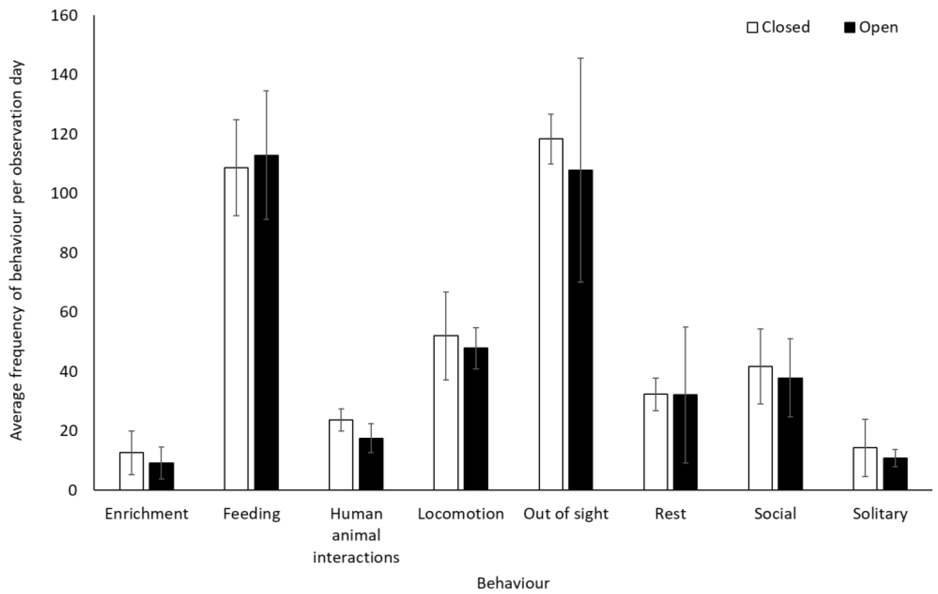
3.1.1. Frequency of Behaviour and Enclosure Usage
3.1.2. Physiological Data
3.2. Knowsley Safari
3.2.1. Frequency of Behaviour
3.2.2. Physiological Data
4. Discussion
4.1. Behavioural Changes
4.2. Enclosure Use: Impacts of Enclosure Design and Visitor Numbers
4.3. Physiological Data
4.4. Study Limitations
4.5. Directions for Future Research
5. Conclusions
Supplementary Materials
Author Contributions
Funding
Institutional Review Board Statement
Informed Consent Statement
Data Availability Statement
Acknowledgments
Conflicts of Interest
References
- Ward, S.J.; Sherwen, S.; Clark, F.E. Advances in Applied Zoo Animal Welfare Science. J. Appl. Anim. Welf. Sci. 2018, 21, 23–33. [Google Scholar] [CrossRef] [PubMed] [Green Version]
- Melfi, V. There Are Big Gaps in Our Knowledge, and Thus Approach, to Zoo Animal Welfare: A Case for Evidence-based Zoo Animal Management. Zoo Biol. 2009, 28, 574–588. [Google Scholar] [CrossRef] [PubMed]
- Maple, T.L.; Bloomsmith, M.A. Introduction: The Science and Practice of Optimal Animal Welfare. Behav. Process. 2018, 156, 1–2. [Google Scholar] [CrossRef] [PubMed]
- Vaglio, S.; Kaburu, S.; Pearce, R.; Bryant, L.; McAuley, A.; Lott, A.; Sheppard, D.; Smith, S.; Tompkins, B.; Elwell, E. Effects of Scent Enrichment on Behavioural and Physiological Indicators of Stress in Zoo Primates. Am. J. Primatol. 2021, 83, e23247. [Google Scholar] [CrossRef]
- Spiezio, C.; Piva, F.; Regaiolli, B.; Vaglio, S. Positive Reinforcement Training: A Tool for Care and Management of Captive Vervet Monkeys (Chlorocebus aethiops). Anim. Welf. 2016, 24, 283–290. [Google Scholar] [CrossRef] [Green Version]
- Spiezio, C.; Vaglio, S.; Scala, C.; Regaiolli, B. Does Positive Reinforcement Training Affect the Behaviour and Welfare of Zoo Animals? The Case of the Ring-Tailed Lemur (Lemur catta). Appl. Anim. Behav. Sci. 2017, 196, 91–99. [Google Scholar] [CrossRef] [Green Version]
- Morgan, K.N.; Tromborg, C.T. Sources of Stress in Captivity. Appl. Anim. Behav. Sci. 2007, 102, 262–302. [Google Scholar] [CrossRef]
- Mellor, D.J.; Beausoleil, N.J.; Littlewood, K.E.; McLean, A.N.; McGreevy, P.D.; Jones, B.; Wilkins, C. The 2020 Five Domains Model: Including Human–Animal Interactions in Assessments of Animal Welfare. Animals 2020, 10, 1870. [Google Scholar] [CrossRef]
- Mooney, A.; Conde, D.A.; Healy, K.; Buckley, Y.M. A System Wide Approach to Managing Zoo Collections for Visitor Attendance and in Situ Conservation. Nat. Commun. 2020, 11, 584. [Google Scholar] [CrossRef]
- Sherwen, S.L.; Hemsworth, P.H. The Visitor Effect on Zoo Animals: Implications and Opportunities for Zoo Animal Welfare. Animals 2019, 9, 366. [Google Scholar] [CrossRef] [Green Version]
- Riley, A.; Terry, M.; Freeman, H.; Alba, A.C.; Soltis, J.; Leeds, A. Evaluating the Effect of Visitor Presence on Nile Crocodile (Crocodylus niloticus) Behavior. J. Zool. Bot. Gard. 2021, 2, 115–129. [Google Scholar] [CrossRef]
- Boyle, S.A.; Berry, N.; Cayton, J.; Ferguson, S.; Gilgan, A.; Khan, A.; Lam, H.; Leavelle, S.; Mulder, I.; Myers, R. Widespread Behavioral Responses by Mammals and Fish to Zoo Visitors Highlight Differences between Individual Animals. Animals 2020, 10, 2108. [Google Scholar] [CrossRef] [PubMed]
- Hashmi, A.; Sullivan, M. The Visitor Effect in Zoo-Housed Apes: The Variable Effect on Behaviour of Visitor Number and Noise. J. Zoo Aquar. Res. 2020, 8, 268–282. [Google Scholar] [CrossRef]
- Stoinski, T.S.; Jaicks, H.F.; Drayton, L.A. Visitor Effects on the Behavior of Captive Western Lowland Gorillas: The Importance of Individual Differences in Examining Welfare. Zoo Biol. 2012, 31, 586–599. [Google Scholar] [CrossRef] [PubMed]
- Carder, G.; Semple, S. Visitor Effects on Anxiety in Two Captive Groups of Western Lowland Gorillas. Appl. Anim. Behav. Sci. 2008, 115, 211–220. [Google Scholar] [CrossRef]
- Spiezio, C.; Vaglio, S.; Vandelle, C.; Sandri, C.; Regaiolli, B. Effects of Hand-Rearing on the Behaviour of Zoo-Housed Chimpanzees. Folia Primatol. 2021, 92, 91–102. [Google Scholar] [CrossRef]
- Choo, Y.; Todd, P.A.; Li, D. Visitor Effects on Zoo Orangutans in Two Novel, Naturalistic Enclosures. Appl. Anim. Behav. Sci. 2011, 133, 78–86. [Google Scholar] [CrossRef]
- Hosey, G.R. Zoo Animals and Their Human Audiences: What Is the Visitor Effect? Anim. Welf. 2000, 9, 343–357. [Google Scholar]
- Mallapur, A.; Sinha, A.; Waran, N. Influence of Visitor Presence on the Behaviour of Captive Lion-Tailed Macaques (Macaca silenus) Housed in Indian Zoos. Appl. Anim. Behav. Sci. 2005, 94, 341–352. [Google Scholar] [CrossRef]
- Lewis, R.N.; Chang, Y.; Ferguson, A.; Lee, T.; Clifforde, L.; Abeyesinghe, S.M. The Effect of Visitors on the Behavior of Zoo-housed Western Lowland Gorillas (Gorilla gorilla gorilla). Zoo Biol. 2020, 39, 283–296. [Google Scholar] [CrossRef]
- Smith, K.N.; Kuhar, C.W. Siamangs (Hylobates syndactylus) and White-Cheeked Gibbons (Hylobates leucogenys) Show Few Behavioral Differences Related to Zoo Attendance. J. Appl. Anim. Welf. Sci. 2010, 13, 154–163. [Google Scholar] [CrossRef] [PubMed]
- Bonnie, K.E.; Ang, M.Y.; Ross, S.R. Effects of Crowd Size on Exhibit Use by and Behavior of Chimpanzees (Pan troglodytes) and Western Lowland Gorillas (Gorilla gorilla) at a Zoo. Appl. Anim. Behav. Sci. 2016, 178, 102–110. [Google Scholar] [CrossRef]
- Williams, E.; Rendle, J. How Captive Animals Are Coping with the Sudden Emptiness of the World’s Zoos and Aquariums. Conversation 2020. Available online: https://theconversation.com/how-captive-animals-are-coping-with-the-sudden-emptiness-of-the-worlds-zoos-and-aquariums-138668 (accessed on 27 April 2022).
- Williams, E.; Carter, A.; Rendle, J.; Ward, S.J. Understanding Impacts of Zoo Visitors: Quantifying Behavioural Changes of Two Popular Zoo Species during COVID-19 Closures. Appl. Anim. Behav. Sci. 2021, 236, 105253. [Google Scholar] [CrossRef]
- Fink, L.B.; Scarlata, C.D.; VanBeek, B.; Bodner, T.E.; Wielebnowski, N.C. Applying Behavioral and Physiological Measures to Assess the Relative Impact of the Prolonged COVID-19 Pandemic Closure on Two Mammal Species at the Oregon Zoo: Cheetah (A. jubatus) and Giraffe (G. c. reticulata and G. c. tippelskirchii). Animals 2021, 11, 3526. [Google Scholar] [CrossRef]
- Jones, M.; Gartland, K.; Fuller, G. Effects of Visitor Presence and Crowd Size on Zoo-Housed Red Kangaroos (Macropus rufus) during and after a COVID-19 Closure. Anim. Behav. Cogn. 2021, 8, 521–537. [Google Scholar] [CrossRef]
- Boultwood, J.; O’Brien, M.; Rose, P. Bold Frogs or Shy Toads? How Did the COVID-19 Closure of Zoological Organisations Affect Amphibian Activity? Animals 2021, 11, 1982. [Google Scholar] [CrossRef]
- Kidd, P.; Ford, S.; Rose, P.E. Exploring the Effect of the COVID-19 Zoo Closure Period on Flamingo Behaviour and Enclosure Use at Two Institutions. Birds 2022, 3, 117–137. [Google Scholar] [CrossRef]
- Streuli, J. Back to Bactria: A Study of the Activity Budgets and Social Behaviours of a Herd of Bactrian Camels (Camelus bactrianus) in a Safari Park. Master’s Thesis, Manchester Metropolitan University, Manchester, UK, 2019. [Google Scholar]
- Martin, P.; Bateson, P. Measuring Behaviour: An Introductory Guide; Cambridge University Press: Cambridge, UK, 1993; ISBN 0-521-44614-7. [Google Scholar]
- Leeds, A.; Elsner, R.; Lukas, K.E. The Effect of Positive Reinforcement Training on an Adult Female Western Lowland Gorilla’s (Gorilla gorilla gorilla) Rate of Abnormal and Aggressive Behavior. Anim. Behav. Cogn. 2016, 3, 78–87. [Google Scholar] [CrossRef]
- Leeds, A.; Good, J.; Schook, M.W.; Dennis, P.M.; Stoinski, T.S.; Willis, M.A.; Lukas, K.E. Evaluating Changes in Salivary Oxytocin and Cortisol Following Positive Reinforcement Training in Two Adult Male Western Lowland Gorillas (Gorilla gorilla gorilla). Zoo Biol. 2020, 39, 51–55. [Google Scholar] [CrossRef]
- Gartner, M.C.; Weiss, A. Studying Primate Personality in Zoos: Implications for the Management, Welfare and Conservation of Great Apes. Int. Zoo Yearb. 2018, 52, 79–91. [Google Scholar] [CrossRef] [Green Version]
- Molesti, S.; Meguerditchian, A.; Bourjade, M. Gestural Communication in Olive Baboons (Papio anubis): Repertoire and Intentionality. Anim. Cogn. 2020, 23, 19–40. [Google Scholar] [CrossRef] [PubMed]
- Maréchal, L.; Semple, S.; Majolo, B.; Qarro, M.; Heistermann, M.; MacLarnon, A. Impacts of Tourism on Anxiety and Physiological Stress Levels in Wild Male Barbary Macaques. Biol. Conserv. 2011, 144, 2188–2193. [Google Scholar] [CrossRef]
- Fontani, S.; Vaglio, S.; Beghelli, V.; Mattioli, M.; Bacci, S.; Accorsi, P.A. Fecal Concentrations of Cortisol, Testosterone, and Progesterone in Cotton-Top Tamarins Housed in Different Zoological Parks: Relationships among Physiological Data, Environmental Conditions, and Behavioral Patterns. J. Appl. Anim. Welf. Sci. 2014, 17, 228–252. [Google Scholar] [CrossRef] [PubMed] [Green Version]
- Ezenwa, V.O.; Stefan Ekernas, L.; Creel, S. Unravelling Complex Associations between Testosterone and Parasite Infection in the Wild. Funct. Ecol. 2012, 26, 123–133. [Google Scholar] [CrossRef] [Green Version]
- Creel, S.; Christianson, D.; Schuette, P. Glucocorticoid Stress Responses of Lions in Relationship to Group Composition, Human Land Use, and Proximity to People. Conserv. Physiol. 2013, 1, cot021. [Google Scholar] [CrossRef] [Green Version]
- Cinque, C.; De Marco, A.; Mairesse, J.; Giuli, C.; Sanna, A.; De Marco, L.; Zuena, A.R.; Casolini, P.; Catalani, A.; Thierry, B. Relocation Stress Induces Short-Term Fecal Cortisol Increase in Tonkean Macaques (Macaca tonkeana). Primates 2017, 58, 315–321. [Google Scholar] [CrossRef]
- Gholib, G.; Wahyuni, S.; Kadar, O.H.; Adam, M.; Lubis, T.M.; Azhar, A.; Akmal, M.; Siregar, T.N.; Armansyah, T.; Nugraha, T.P. Measurement of Serum Testosterone in Kacang Goat by Using Enzyme-Linked Immunosorbent Assay (ELISA) Technique: The Importance of Kit Validation (Pengukuran Testosteron Serum Kambing Kacang Dengan Teknik Enzyme-Linked Immunosorbent Assay (ELISA): Pentingnya Validasi Kit). J. Kedokt. Hewan-Indones. J. Vet. Sci. 2016, 10, 32–36. [Google Scholar]
- R Studio Team. RStudio: Integrated Development for R; R Studio, PBC: Boston, MA, USA, 2020. [Google Scholar]
- Venables, W.N.; Ripley, B.D. Modern Applied Statistics with S, 4th ed.; Springer: New York, NY, USA, 2002. [Google Scholar]
- Polgár, Z.; Wood, L.; Haskell, M.J. Individual Differences in Zoo-housed Squirrel Monkeys’ (Saimiri sciureus) Reactions to Visitors, Research Participation, and Personality Ratings. Am. J. Primatol. 2017, 79, e22639. [Google Scholar] [CrossRef] [Green Version]
- Wells, D.L. A Note on the Influence of Visitors on the Behaviour and Welfare of Zoo-Housed Gorillas. Appl. Anim. Behav. Sci. 2005, 93, 13–17. [Google Scholar] [CrossRef]
- Todd, P.A.; Macdonald, C.; Coleman, D. Visitor-Associated Variation in Captive Diana Monkey (Cercopithecus diana diana) Behaviour. Appl. Anim. Behav. Sci. 2007, 107, 162–165. [Google Scholar] [CrossRef]
- Chamove, A.S.; Hosey, G.R.; Schaetzel, P. Visitors Excite Primates in Zoos. Zoo Biol. 1988, 7, 359–369. [Google Scholar] [CrossRef]
- Clark, F.E.; Fitzpatrick, M.; Hartley, A.; King, A.J.; Lee, T.; Routh, A.; Walker, S.L.; George, K. Relationship between Behavior, Adrenal Activity, and Environment in Zoo-housed Western Lowland Gorillas (Gorilla gorilla gorilla). Zoo Biol. 2012, 31, 306–321. [Google Scholar] [CrossRef] [PubMed]
- Wolfensohn, S.; Shotton, J.; Bowley, H.; Davies, S.; Thompson, S.; Justice, W.S. Assessment of Welfare in Zoo Animals: Towards Optimum Quality of Life. Animals 2018, 8, 110. [Google Scholar] [CrossRef] [PubMed] [Green Version]
- Dancer, A.M.; Burn, C.C. Visitor Effects on Zoo-Housed Sulawesi Crested Macaque (Macaca nigra) Behaviour: Can Signs with ‘Watching Eyes’ Requesting Quietness Help? Appl. Anim. Behav. Sci. 2019, 211, 88–94. [Google Scholar] [CrossRef] [Green Version]
- Roth, A.M.; Cords, M. Zoo Visitors Affect Sleep, Displacement Activities, and Affiliative and Aggressive Behaviors in Captive Ebony Langurs (Trachypithecus auratus). Acta Ethologica 2020, 23, 61–68. [Google Scholar] [CrossRef]
- Fragata, M. Visitor Behaviours and Visitor Effects: A Case Study on the White-Crowned Mangabey (Cercocebus atys lunulatus) of ZSL London Zoo. Ph.D. Thesis, Faculdade de Ciências Sociais e Humanas, Universidade Nova de Lisboa, Lisbon, Portugal, 2010. [Google Scholar]
- Perret, K.; Preuschoft, H.; Preuschoft, S. Influence of Zoo Visitors on the Behaviour of Chimpanzees (Pan troglodytes). Zool. Gart. 1995, 65, 314–322. [Google Scholar]
- DeVries, A.C.; Glasper, E.R.; Detillion, C.E. Social Modulation of Stress Responses. Physiol. Behav. 2003, 79, 399–407. [Google Scholar] [CrossRef]
- Pontzer, H.; Brown, M.H.; Raichlen, D.A.; Dunsworth, H.; Hare, B.; Walker, K.; Luke, A.; Dugas, L.R.; Durazo-Arvizu, R.; Schoeller, D.; et al. Metabolic Acceleration and the Evolution of Human Brain Size and Life History. Nature 2016, 533, 390–392. [Google Scholar] [CrossRef] [Green Version]
- BBC. Coronavirus: Twycross Zoo’s Apes “Missing Human Interaction”. 2022. Available online: https://www.bbc.co.uk/news/uk-england-devon-53052526 (accessed on 28 March 2022).
- Williams, E.; Carter, A.; Rendle, J.; Ward, S.J. Impacts of COVID-19 on Animals in Zoos: A Longitudinal Multi-Species Analysis. J. Zool. Bot. Gard. 2021, 2, 130–145. [Google Scholar] [CrossRef]
- Lutz, C.K.; Nevill, C.H. Behavioral Management of Papio Spp. In Handbook of Primate Behavioral Management; CRC Press: Boca Raton, FL, USA, 2017; pp. 367–383. ISBN 1-315-12065-8. [Google Scholar]
- Vaglio, S.; Ducroix, L.; Villanueva, M.R.; Consiglio, R.; Kim, A.J.; Neilands, P.; Stucky, K.; Lameira, A.R. Female Copulation Calls Vary with Male Ejaculation in Captive Olive Baboons. Behaviour 2020, 157, 807–822. [Google Scholar] [CrossRef]
- Vaglio, S.; Minicozzi, P.; Kessler, S.E.; Walker, D.; Setchell, J.M. Olfactory Signals and Fertility in Olive Baboons. Sci. Rep. 2021, 11, 8506. [Google Scholar] [CrossRef] [PubMed]
- Kuhar, C.W. Group Differences in Captive Gorillas’ Reaction to Large Crowds. Appl. Anim. Behav. Sci. 2008, 110, 377–385. [Google Scholar] [CrossRef]
- Birke, L. Effects of Browse, Human Visitors and Noise on the Behaviour of Captive Orang Utans. Anim. Welf. 2002, 11, 189–202. [Google Scholar]
- Collins, C.; Marples, N. The Effects of Zoo Visitors on a Group of Western Lowland Gorillas (Gorilla gorilla gorilla) before and after the Birth of an Infant at Dublin Zoo. Int. Zoo Yearb. 2016, 50, 183–192. [Google Scholar] [CrossRef]
- Anderson, U.S.; Benne, M.; Bloomsmith, M.A.; Maple, T.L. Retreat Space and Human Visitor Density Moderate Undesirable Behavior in Petting Zoo Animals. J. Appl. Anim. Welf. Sci. 2002, 5, 125–137. [Google Scholar] [CrossRef]
- Carter, K.C.; Keane, I.A.; Clifforde, L.M.; Rowden, L.J.; Fieschi-Méric, L.; Michaels, C.J. The Effect of Visitors on Zoo Reptile Behaviour during the COVID-19 Pandemic. J. Zool. Bot. Gard. 2021, 2, 664–676. [Google Scholar] [CrossRef]
- Ross, S.R.; Wagner, K.E.; Schapiro, S.J.; Hau, J.; Lukas, K.E. Transfer and Acclimatization Effects on the Behavior of Two Species of African Great Ape (Pan troglodytes and Gorilla gorilla gorilla) Moved to a Novel and Naturalistic Zoo Environment. Int. J. Primatol. 2011, 32, 99–117. [Google Scholar] [CrossRef]
- Blaney, E.C.; Wells, D.L. The Influence of a Camouflage Net Barrier on the Behaviour, Welfare and Public Perceptions of Zoo-Housed Gorillas. Anim. Welf. 2004, 13, 111–118. [Google Scholar]
- Sherwen, S.; Harvey, T.; Magrath, M.; Butler, K.L.; Fanson, K.; Hemsworth, P.H. Effects of Visual Contact with Zoo Visitors on Black-Capped Capuchin Welfare. Appl. Anim. Behav. Sci. 2015, 167, 65–73. [Google Scholar] [CrossRef]
- Melfi, V.A.; Ward, S.J. Welfare Implications of Zoo Animal Training. In Zoo Animal Learning and Training; Melfi, D., Ward, S.J., Eds.; Wiley Blackwell: Chichester, UK, 2020; pp. 271–288. [Google Scholar]
- Bloomfield, R.C.; Gillespie, G.R.; Kerswell, K.J.; Butler, K.L.; Hemsworth, P.H. Effect of Partial Covering of the Visitor Viewing Area Window on Positioning and Orientation of Zoo Orangutans: A Preference Test. Zoo Biol. 2015, 34, 223–229. [Google Scholar] [CrossRef] [PubMed]
- Kirkham, J. Liverpool Mum Finds Out Why You Don’t Take Your New Car to a Safari Park; Liverpool: Liverpool, UK, 2017. [Google Scholar]
- Fernandez, E.J.; Tamborski, M.A.; Pickens, S.R.; Timberlake, W. Animal–Visitor Interactions in the Modern Zoo: Conflicts and Interventions. Appl. Anim. Behav. Sci. 2009, 120, 1–8. [Google Scholar] [CrossRef]
- Claxton, A.M. The Potential of the Human–Animal Relationship as an Environmental Enrichment for the Welfare of Zoo-Housed Animals. Appl. Anim. Behav. Sci. 2011, 133, 1–10. [Google Scholar] [CrossRef]
- Burke, H.M.; Davis, M.C.; Otte, C.; Mohr, D.C. Depression and Cortisol Responses to Psychological Stress: A Meta-Analysis. Psychoneuroendocrinology 2005, 30, 846–856. [Google Scholar] [CrossRef]
- Boccia, M.L.; Laudenslager, M.L.; Reite, M.L. Individual Differences in Macaques’ Responses to Stressors Based on Social and Physiological Factors: Implications for Primate Welfare and Research Outcomes. Lab. Anim. 1995, 29, 250–257. [Google Scholar] [CrossRef] [PubMed]
- Hosey, G.R.; Druck, P.L. The Influence of Zoo Visitors on the Behaviour of Captive Primates. Appl. Anim. Behav. Sci. 1987, 18, 19–29. [Google Scholar] [CrossRef]
- Mitchell, G.; Tromborg, C.; Kaufman, J.; Bargabus, S.; Simoni, R.; Geissler, V. More on the ‘Influence’of Zoo Visitors on the Behaviour of Captive Primates. Appl. Anim. Behav. Sci. 1992, 35, 189–198. [Google Scholar] [CrossRef]
- BIAZA. BIAZA Operating Guidelines for Zoos and Aquariums: COVID-19 Management 2021. Available online: https://biaza.org.uk/downloader/1802 (accessed on 14 April 2022).
- IAAPA. Global Attractions Industry Outlines COVID-19 Safety Protocols for Parks and Guests as Attractions Reopen 2020. Available online: https://www.iaapa.org/sites/default/files/2020-05/IAAPA_COVID-19_ReopeningGuidance_rev1_final.pdf (accessed on 30 April 2022).
- Goodenough, A.E.; McDonald, K.; Moody, K.; Wheeler, C. Are “Visitor Effects” Overestimated? Behaviour in Captive Lemurs Is Mainly Driven by Co-Variation with Time and Weather. J. Zoo Aquar. Res. 2019, 7, 59–66. [Google Scholar] [CrossRef]
- Garber, P.A.; McKenney, A.; Bartling-John, E.; Bicca-Marques, J.C.; De la Fuente, M.F.; Abreu, F.; Schiel, N.; Souto, A.; Phillips, K.A. Life in a Harsh Environment: The Effects of Age, Sex, Reproductive Condition, and Season on Hair Cortisol Concentration in a Wild Non-Human Primate. PeerJ 2020, 8, e9365. [Google Scholar] [CrossRef]
- Bales, K.L.; French, J.A.; McWilliams, J.; Lake, R.A.; Dietz, J.M. Effects of Social Status, Age, and Season on Androgen and Cortisol Levels in Wild Male Golden Lion Tamarins (Leontopithecus rosalia). Horm. Behav. 2006, 49, 88–95. [Google Scholar] [CrossRef]
- Watters, J.V.; Powell, D.M. Measuring Animal Personality for Use in Population Management in Zoos: Suggested Methods and Rationale. Zoo Biol. 2012, 31, 1–12. [Google Scholar] [CrossRef] [PubMed]
- Hickman, S. Welfare Led Conservation: A Behavioural Study into the Effects of Visitors on the Day-to-Day Welfare of Captive Great Apes. MSc Thesis, University of Wolverhampton, Wolverhampton, UK, 2021. [Google Scholar]







| Study Site | Species (Number of Individuals) | Period of Data Collection | Approximate Percentage of Enclosure Perimeter Accessible by Visitors via Viewing Windows | Number of Separate Observation Periods | Total Number of Observation Scans (Hours of Observations) | ||
|---|---|---|---|---|---|---|---|
| Closed | Open | Closed | Open | ||||
| Twycross Zoo | Bonobo (4 M, 8 F) | October–November 2020 | 68.4% | 6 | 4 | 288 (23.6 h) | 394 (32.3 h) |
| Chimpanzee (4 M, 7 F) | November–December 2020 | 33.3% | 5 | 5 | 302 (24.8 h) | 306 (25.1 h) | |
| Western lowland gorilla (3 M, 3 F) | November 2020–January 2021 | 45% | 3 | 6 | 202 (16.6 h) | 376 (30.8 h) | |
| Knowsley Safari | Olive baboon (192) | April–September 2020 | N/A (Drive-through enclosure) | 45 | 48 | 1350 (22.5 h) | 1440 (24 h) |
| Behaviour | Description |
|---|---|
| Locomotion | The animal is moving in any direction on any number of limbs without picking up food. |
| Resting | The animal is either sitting, standing, or lying down and is not doing anything else. They may also be sleeping, where their eyes are closed. They will not move from the immediate area. |
| Feeding | Animal moves slowly around picking up small pieces of food. Animal consumes food item in mouth. Chewing may occur where mouth moves whilst item is in mouth before swallowing. Small items may not be chewed but swallowed as soon as item is placed in mouth. |
| Social | Animal is interacting with another animal directly, can be tactile, visual, or auditory contact between two or more animals within the vicinity. |
| Enrichment | Animal is interacting with an item placed in the enclosure by a human specifically for the use of enrichment. This must be direct interaction. |
| Solitary | Animal is performing an “active” activity away from other animals. |
| Human | Animal is interacting or watching a human. |
| Out of Sight | Animal is not visible to the observer. |
| Behaviour | Description |
|---|---|
| Affiliative | Behaviours deemed positive, those strengthening or maintaining ties between conspecifics/relatives; Lip Smack, Touch, Sniff, Embrace, Groom, Mutual Groom, Social Play, Play Facial Expression. |
| Agonistic | Behaviours deemed negative, those showing aggression, often with gains to the aggressor and at the detriment of the receiver; Threat, Head Bob, Bared Teeth, Display, Ground Slapping, Chase, Lunge, Contact Aggression, Fight. |
| Dominance | Behaviours establishing or maintaining a hierarchy within the troop. The initiator is therefore of a higher status than the receiver; Disperse, Stare, Steal, Fight over mate, Infant Aggression. |
| Submission | Behaviours establishing or maintaining a hierarchy within the troop. The initiator is therefore of a lower status than the receiver; Fear Grin, Social Present, Lower Body Position, Avoid, Flee. |
| Sexual | Behaviours functioning for acquiring a mate and/or reproduction. |
| Human interaction | Any interaction with a human including approaching and interacting with a visitor’s or keeper’s vehicle. |
| Other | Any other social behaviour not otherwise described, including easily audible vocalisations. |
| Study Site | Period of Faecal Sample Collection | Species | Number of Faecal Samples | |
|---|---|---|---|---|
| Closed | Open | |||
| Twycross Zoo | October–November 2020 | Bonobo | 11 | 12 |
| Chimpanzee | 11 | 14 | ||
| Gorilla | 12 | 13 | ||
| Knowsley Safari | July–November 2020 | Baboon | 13 | 39 |
| Group Size Category | Number of Individuals |
|---|---|
| 1 | 1–10 |
| 2 | 11–20 |
| 3 | 21–30 |
| 4 | 31–40 |
| 5 | 41–50 |
| 6 | 51+ |
| Species | Behaviours on Which Negative Binomial Regression Models Were Performed | Enclosure Usage |
|---|---|---|
| Bonobo | Locomotion, resting, feeding, engaging with enrichment, solitary, human interactions, and out of sight. | Zone 1: t-test for independent samples Zone 2–4: Mann–Whitney U-test Zone 5: Mann–Whitney U-test using transformed data (ln(x + 1−10)) |
| Chimpanzee | Zone 1–3: t-test for independent samples Zone 4: Mann–Whitney U-test Zone 5: t-test for independent samples using transformed data (ln(x)) | |
| Gorilla | Zone 1, 3–5: t-test for independent samples Zone 2: Mann–Whitney U-test using transformed data (ln(x)) | |
| Olive baboon | Dominance, sexual, human–animal interactions, affiliative, agonistic, submission, and other. |
Publisher’s Note: MDPI stays neutral with regard to jurisdictional claims in published maps and institutional affiliations. |
© 2022 by the authors. Licensee MDPI, Basel, Switzerland. This article is an open access article distributed under the terms and conditions of the Creative Commons Attribution (CC BY) license (https://creativecommons.org/licenses/by/4.0/).
Share and Cite
Williams, E.; Carter, A.; Rendle, J.; Fontani, S.; Walsh, N.D.; Armstrong, S.; Hickman, S.; Vaglio, S.; Ward, S.J. The Impact of COVID-19 Zoo Closures on Behavioural and Physiological Parameters of Welfare in Primates. Animals 2022, 12, 1622. https://doi.org/10.3390/ani12131622
Williams E, Carter A, Rendle J, Fontani S, Walsh ND, Armstrong S, Hickman S, Vaglio S, Ward SJ. The Impact of COVID-19 Zoo Closures on Behavioural and Physiological Parameters of Welfare in Primates. Animals. 2022; 12(13):1622. https://doi.org/10.3390/ani12131622
Chicago/Turabian StyleWilliams, Ellen, Anne Carter, Jessica Rendle, Sara Fontani, Naomi Davies Walsh, Sarah Armstrong, Sarah Hickman, Stefano Vaglio, and Samantha J. Ward. 2022. "The Impact of COVID-19 Zoo Closures on Behavioural and Physiological Parameters of Welfare in Primates" Animals 12, no. 13: 1622. https://doi.org/10.3390/ani12131622
APA StyleWilliams, E., Carter, A., Rendle, J., Fontani, S., Walsh, N. D., Armstrong, S., Hickman, S., Vaglio, S., & Ward, S. J. (2022). The Impact of COVID-19 Zoo Closures on Behavioural and Physiological Parameters of Welfare in Primates. Animals, 12(13), 1622. https://doi.org/10.3390/ani12131622

