Inter- and Intra-Individual Variation in the Behavior of Feed Intake on Nutrient Availability in Early Lactating Dairy Cows
Abstract
:Simple Summary
Abstract
1. Introduction
2. Materials and Methods
2.1. Animal Housing and Diet
2.2. Data and Sample Collection
2.3. Chemical Analysis
2.4. Calculations and Statistical Analysis
3. Results
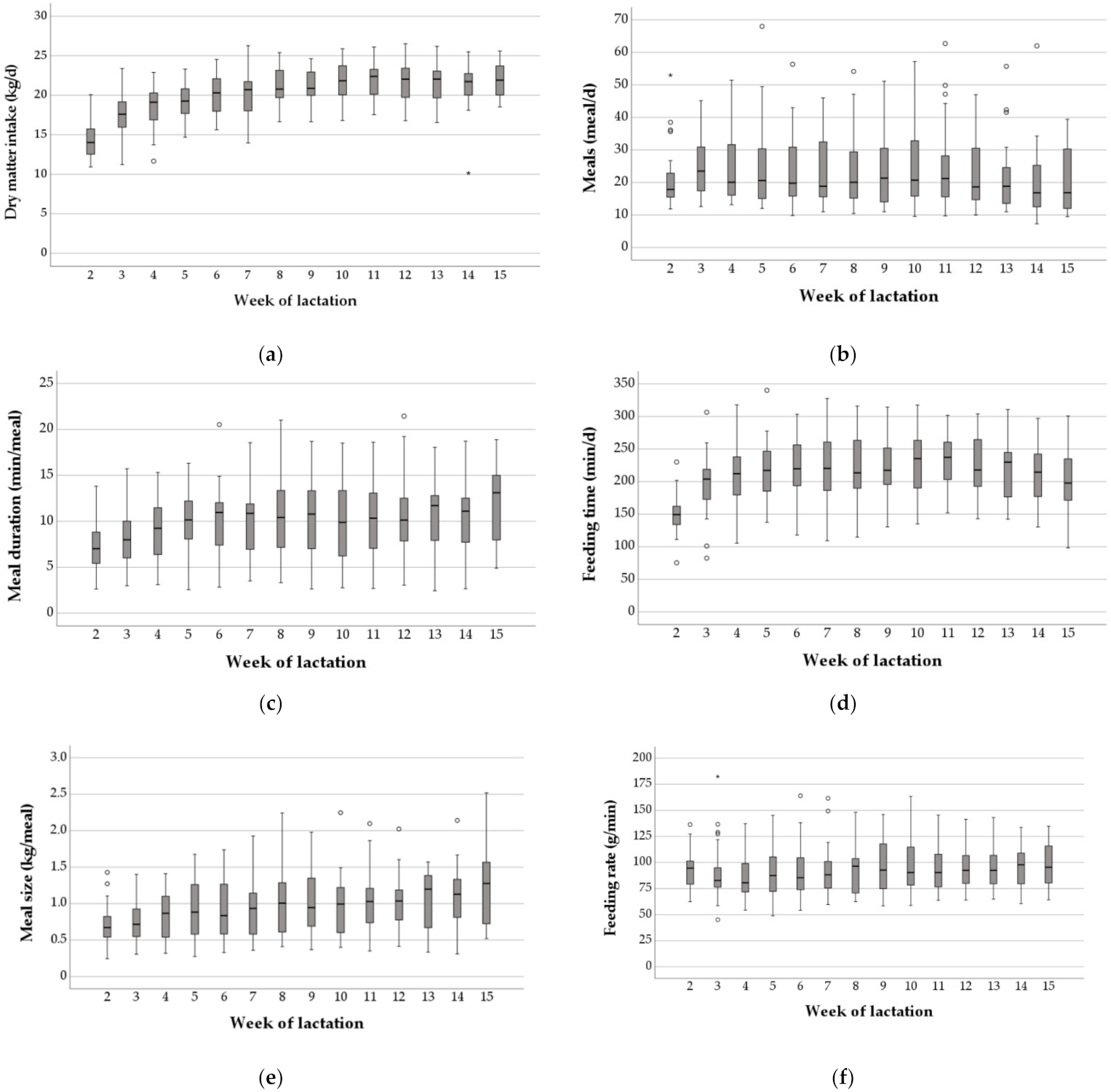
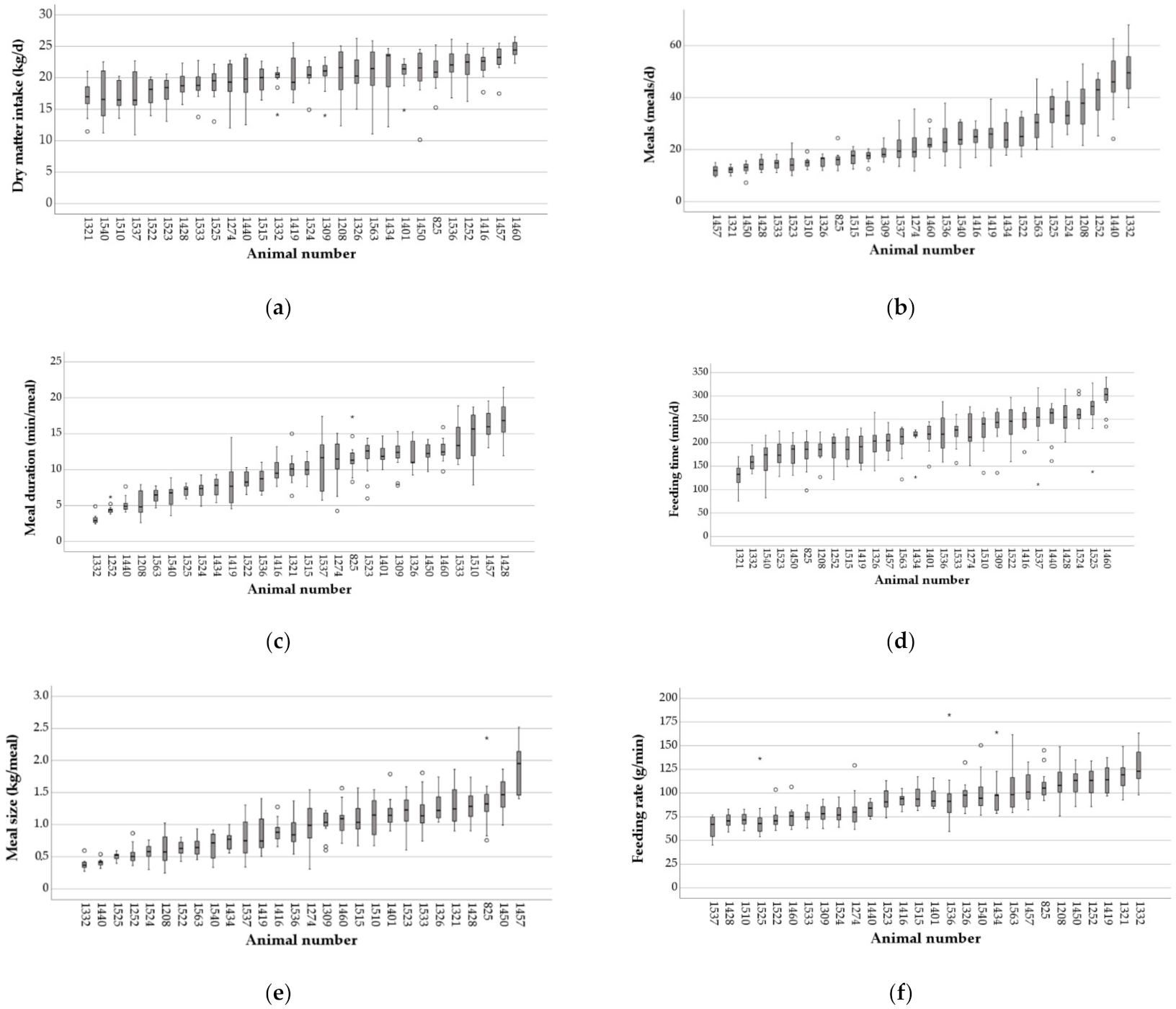
3.1. Interactions between Intake Behaviour and DMI during Early Lactation
3.2. Interactions between Intake Behavior and Nutrient Digestibility during Early Lactation
4. Discussion
4.1. Intake Behavior and DMI
4.2. Intake Behavior and Nutrient Digestibility
5. Conclusions
Author Contributions
Funding
Institutional Review Board Statement
Informed Consent Statement
Data Availability Statement
Acknowledgments
Conflicts of Interest
Abbreviations
| ADF | acid detergent fiber |
| ADFD | digestible acid detergent fiber |
| aNDFom | neutral detergent fiber assayed with heat-stable amylase and expressed exclusive of residual ash |
| ANOVA | analysis of variance |
| CP | crude protein |
| CPD | digestible crude protein |
| CV | coefficient of variation |
| CVAS | Cumberland Valley Analytical Services Inc. |
| DM | dry matter |
| DMI | dry matter intake |
| EE | ether extract |
| ESC | ethanol-soluble carbohydrates |
| GLM | generalized linear models |
| iNDF240 | 240 h in vitro indigestible neutral detergent fiber |
| LMM | linear mixed model |
| NDFD | digestible neutral detergent fiber |
| NEL | net energy for lactation |
| NIRS | near infrared reflectance spectroscopy |
| OM | organic matter |
| OMD | digestible organic matter |
| RIC | roughage Intake Control |
| RSE | relative standard error |
| SD | standard deviation |
| SP | soluble protein |
| TDN | total digestibly nutrient |
| TMR | totally mixed ration |
References
- Sundrum, A. Metabolic Disorders in the Transition Period Indicate that the Dairy Cows’ Ability to Adapt is Overstressed. Animals 2015, 5, 978–1020. [Google Scholar] [CrossRef]
- Tremblay, M.; Kammer, M.; Lange, H.; Plattner, S.; Baumgartner, C.; Stegeman, J.A.; Duda, J.; Mansfeld, R.; Döpfer, D. Identifying poor metabolic adaptation during early lactation in dairy cows using cluster analysis. J. Dairy Sci. 2018, 101, 7311–7321. [Google Scholar] [CrossRef] [PubMed] [Green Version]
- Ingvartsen, K.L. Feeding-and management-related diseases in the transition cow. Anim. Feed Sci. Technol. 2006, 126, 175–213. [Google Scholar] [CrossRef]
- Sordillo, L.M.; Raphael, W. Significance of metabolic stress, lipid mobilization, and inflammation on transition cow disorders. Vet. Clin. N. Am. Food Anim. Pract. 2013, 29, 267–278. [Google Scholar] [CrossRef] [PubMed]
- Habel, J.; Sundrum, A. Mismatch of Glucose Allocation between Different Life Functions in the Transition Period of Dairy Cows. Animals 2020, 10, 1028. [Google Scholar] [CrossRef]
- Collier, R.J.; Xiao, Y.; Bauman, D.E. Chapter 1-Regulation of Factors Affecting Milk Yield. In Nutrients in Dairy and Their Implications for Health and Disease; Academic Press: Cambridge, MA, USA, 2017; pp. 3–17. [Google Scholar]
- Albright, J.L. Feeding Behavior of Dairy Cattle. J. Dairy Sci. 1993, 76, 485–498. [Google Scholar] [CrossRef]
- Fish, J.A.; DeVries, T.J. Short communication: Varying dietary dry matter concentration through water addition: Effect on nutrient intake and sorting of dairy cows in late lactation. J. Dairy Sci. 2012, 95, 850–855. [Google Scholar] [CrossRef] [Green Version]
- Llonch, P.; Mainau, E.; Ipharraguerre, I.R.; Bargo, F.; Tedó, G.; Blanch, M.; Manteca, X. Chicken or the Egg: The Reciprocal Association Between Feeding Behavior and Animal Welfare and Their Impact on Productivity in Dairy Cows. Front. Vet. Sci. 2018, 5, 305. [Google Scholar] [CrossRef] [Green Version]
- Grant, R.J.; Albright, J.L. Feeding behaviour. In Farm Animal Metabolism and Nutrition; D’Mello, J.P.F., Ed.; CABI Publishing: Wallingford, UK, 2000; ISBN 9780851993782. [Google Scholar]
- DeVries, T.J.; Keyserlingk, M.V. Time of Feed Delivery Affects the Feeding and Lying Patterns of Dairy Cows. J. Dairy Sci. 2005, 88, 625–631. [Google Scholar] [CrossRef] [Green Version]
- Nielsen, B.L. On the interpretation of feeding behaviour measures and the use of feeding rate as an indicator of social constraint. Appl. Anim. Behav. Sci. 1999, 63, 79–91. [Google Scholar] [CrossRef]
- Baumont, R.; Malbert, C.H.; Ruckebusch, Y. Mechanical stimulation of rumen fill and alimentary behaviour in sheep. Anim. Sci. 1990, 50, 123–128. [Google Scholar] [CrossRef]
- Golden, J.W.; Kerley, M.S.; Kolath, W.H. The relationship of feeding behavior to residual feed intake in crossbred Angus steers fed traditional and no-roughage diets. J. Anim. Sci. 2008, 86, 180–186. [Google Scholar] [CrossRef]
- Tyrrell, H.F.; Moe, P.W. Effect of Intake on Digestive Efficiency. J. Dairy Sci. 1975, 58, 1151–1163. [Google Scholar] [CrossRef]
- Potts, S.B.; Boerman, J.P.; Lock, A.L.; Allen, M.S.; VandeHaar, M.J. Relationship between residual feed intake and digestibility for lactating Holstein cows fed high and low starch diets. J. Dairy Sci. 2017, 100, 265–278. [Google Scholar] [CrossRef] [Green Version]
- NRC. Nutrient Requirements of Dairy Cattle, 7th ed.; National Academies Press: Washington, DC, USA, 2001. [Google Scholar]
- AOAC International. Official Methods of Analysis of AOAC International; AOAC International: Gaithersburg, MD, USA, 2006. [Google Scholar]
- Krishnamoorthy, U.; Muscato, T.V.; Sniffen, C.J.; van Soest, P.J. Nitrogen Fractions in Selected Feedstuffs. J. Dairy Sci. 1982, 65, 217–225. [Google Scholar] [CrossRef]
- van Soest, P.J.; Robertson, J.B.; Lewis, B.A. Methods for Dietary Fiber, Neutral Detergent Fiber, and Nonstarch Polysaccharides in Relation to Animal Nutrition. J. Dairy Sci. 1991, 74, 3583–3597. [Google Scholar] [CrossRef]
- Hall, B.M. Neutral Detergent-Soluble Carbohydrates: Nutritional Relevance and Analysis, a Laboratory Manual; University of Florida: Gainesville, FL, USA, 2000. [Google Scholar]
- Hall, M.B. Determination of starch, including maltooligosaccharides, in animal feeds: Comparison of methods and a method recommended for AOAC collaborative study. J. AOAC Int. 2009, 92, 42–49. [Google Scholar] [CrossRef] [Green Version]
- Raffrenato, E. Physical, Chemical and Kinetic Factors Associated with Fiber Digestibility in Ruminants and Models Describing These Relationships. Ph.D. Thesis, Cornell University, Ithaca, NY, USA, 2011. [Google Scholar]
- Althaus, B.; Papke, G.; Sundrum, A. Technical note: Use of near infrared reflectance spectroscopy to assess nitrogen and carbon fractions in dairy cow feces. Anim. Feed Sci. Technol. 2013, 185, 53–59. [Google Scholar] [CrossRef]
- Faul, F.; Erdfelder, E.; Lang, A.G.; Buchner, A. G*Power 3: A flexible statistical power analysis program for the social, behavioral, and biomedical sciences. Behav. Res. Methods 2007, 39, 175–191. [Google Scholar] [CrossRef]
- Schalla, A.; Meyer, L.; Meyer, Z.; Onetti, S.; Schultz, A.; Goeser, J. Hot topic: Apparent total-tract nutrient digestibilities measured commercially using 120-hour in vitro indigestible neutral detergent fiber as a marker are related to commercial dairy cattle performance. J. Dairy Sci. 2012, 95, 5109–5114. [Google Scholar] [CrossRef]
- Girden, E.R. ANOVA: Repeated Measures; Sage Publications: Newbury Park, CA, USA, 2003; ISBN 9780803942578. [Google Scholar]
- Dattalo, P. Analysis of Multiple Dependent Variables; Oxford University Press: New York, NY, USA, 2013; ISBN 978-0199773596. [Google Scholar]
- Meir, Y.A.B.; Nikbachat, M.; Fortnik, Y.; Jacoby, S.; Levit, H.; Adin, G.; Zinder, M.C.; Shabtay, A.; Gershon, E.; Zachut, M.; et al. Eating behavior, milk production, rumination, and digestibility characteristics of high- and low-efficiency lactating cows fed a low-roughage diet. J. Dairy Sci. 2018, 101, 10973–10984. [Google Scholar] [CrossRef]
- Dado, R.G.; Allen, M.S. Variation in and Relationships among Feeding, Chewing, and Drinking Variables for Lactating Dairy Cows. J. Dairy Sci. 1994, 77, 132–144. [Google Scholar] [CrossRef]
- Azizi, O.; Kaufmann, O.; Hasselmann, L. Relationship between feeding behaviour and feed intake of dairy cows depending on their parity and milk yield. Livest. Sci. 2009, 122, 156–161. [Google Scholar] [CrossRef]
- Park, A.F.; Shirley, J.E.; Titgemeyer, E.C.; DeFrain, J.M.; Cochran, R.C.; Wickersham, E.E.; Nagaraja, T.G.; Johnson, D.E. Characterization of ruminal dynamics in Holstein dairy cows during the periparturient period. J. Anim. Physiol. Anim. Nutr. 2011, 95, 571–582. [Google Scholar] [CrossRef]
- DeVries, T.J.; Keyserlingk, M.V.; Weary, D.M.; Beauchemin, K.A. Measuring the Feeding Behavior of Lactating Dairy Cows in Early to Peak Lactation. J. Dairy Sci. 2003, 86, 3354–3361. [Google Scholar] [CrossRef]
- Friggens, N.C.; Nielsen, B.L.; Kyriazakis, I.; Tolkamp, B.J.; Emmans, G.C. Effects of Feed Composition and Stage of Lactation on the Short-term Feeding Behavior of Dairy Cows. J. Dairy Sci. 1998, 81, 3268–3277. [Google Scholar] [CrossRef]
- Miron, J.; Yosef, E.; Nikbachat, M.; Zenou, A.; Maltz, E.; Halachmi, I.; Ben-Ghedalia, D. Feeding Behavior and Performance of Dairy Cows Fed Pelleted Nonroughage Fiber Byproducts. J. Dairy Sci. 2004, 87, 1372–1379. [Google Scholar] [CrossRef] [Green Version]
- Tolkamp, B.J.; Allcroft, D.J.; Austin, E.J.; Nielsen, B.L.; Kyriazakis, I. Satiety splits feeding behaviour into bouts. J. Theor. Biol. 1998, 194, 235–250. [Google Scholar] [CrossRef]
- Hart, K.D.; McBride, B.W.; Duffield, T.F.; DeVries, T.J. Effect of frequency of feed delivery on the behavior and productivity of lactating dairy cows. J. Dairy Sci. 2014, 97, 1713–1724. [Google Scholar] [CrossRef]
- Beauchemin, K.A.; Maekawa, M.; Christensen, D.A. Effect of diet and parity on meal patterns of lactating dairy cows. Can. J. Anim. Sci. 2002, 82, 215–223. [Google Scholar] [CrossRef]
- Mertens, D.R. Predicting intake and digestibility using mathematical models of ruminal function. J. Anim. Sci. 1987, 64, 1548–1558. [Google Scholar] [CrossRef] [PubMed] [Green Version]
- Erdman, R.A.; Moreland, T.W.; Stricklin, W.R. Effect of Time of Feed Access on Intake and Production in Lactating Dairy Cows. J. Dairy Sci. 1989, 72, 1210–1216. [Google Scholar] [CrossRef]
- DeVries, T.J.; Keyserlingk, M.A.G.V. Short communication: Feeding method affects the feeding behavior of growing dairy heifers. J. Dairy Sci. 2009, 92, 1161–1168. [Google Scholar] [CrossRef] [PubMed] [Green Version]
- Huzzey, J.M.; DeVries, T.J.; Valois, P.; Keyserlingk, M.V. Stocking Density and Feed Barrier Design Affect the Feeding and Social Behavior of Dairy Cattle. J. Dairy Sci. 2006, 89, 126–133. [Google Scholar] [CrossRef] [Green Version]
- Jorritsma, R.; Wensing, T.; Kruip, T.A.M.; Vos, P.L.A.M.; Noordhuizen, J.P.T.M. Metabolic changes in early lactation and impaired reproductive performance in dairy cows. Vet. Res. 2003, 34, 11–26. [Google Scholar] [CrossRef] [Green Version]
- Guinguina, A.; Yan, T.; Lund, P.; Bayat, A.R.; Hellwing, A.L.F.; Huhtanen, P. Between-cow variation in the components of feed efficiency. J. Dairy Sci. 2020, 103, 7968–7982. [Google Scholar] [CrossRef]
- Cabezas-Garcia, E.H.; Krizsan, S.J.; Shingfield, K.J.; Huhtanen, P. Between-cow variation in digestion and rumen fermentation variables associated with methane production. J. Dairy Sci. 2017, 100, 4409–4424. [Google Scholar] [CrossRef]
- Robinson, D.L.; Oddy, V.H. Genetic parameters for feed efficiency, fatness, muscle area and feeding behaviour of feedlot finished beef cattle. Livest. Prod. Sci. 2004, 90, 255–270. [Google Scholar] [CrossRef]
- Green, T.C.; Jago, J.G.; Macdonald, K.A.; Waghorn, G.C. Relationships between residual feed intake, average daily gain, and feeding behavior in growing dairy heifers. J. Dairy Sci. 2013, 96, 3098–3107. [Google Scholar] [CrossRef]
- Colucci, P.E.; Chase, L.E.; van Soest, P.J. Feed Intake, Apparent Diet Digestibility, and Rate of Particulate Passage in Dairy Cattle. J. Dairy Sci. 1982, 65, 1445–1456. [Google Scholar] [CrossRef]
- Blaxter, K.L.; Wainman, F.W.; Wilson, R.S. The regulation of food intake by sheep. Anim. Sci. 1961, 3, 51–61. [Google Scholar] [CrossRef]
- Huhtanen, P.; Rinne, M.; Nousiainen, J. A meta-analysis of feed digestion in dairy cows. 2. The effects of feeding level and diet composition on digestibility. J. Dairy Sci. 2009, 92, 5031–5042. [Google Scholar] [CrossRef] [Green Version]
- Colucci, P.E.; MacLeod, G.K.; Grovum, W.L.; Cahill, L.W.; McMillan, I. Comparative Digestion in Sheep and Cattle Fed Different Forage to Concentrate Ratios at High and Low Intakes. J. Dairy Sci. 1989, 72, 1774–1785. [Google Scholar] [CrossRef]
- Colucci, P.E.; MacLeod, G.K.; Grovum, W.L.; McMillan, I.; Barney, D.J. Digesta Kinetics in Sheep and Cattle Fed Diets with Different Forage to Concentrate Ratios at High and Low Intakes. J. Dairy Sci. 1990, 73, 2143–2156. [Google Scholar] [CrossRef]
- Stafford, K.J. Ruminoreticular motility in ewes during pregnancy and lactation. J. Vet. Med. 1991, 38, 798–800. [Google Scholar] [CrossRef]
- Beauchemin, K.A.; Eriksen, L.; Nørgaard, P.; Rode, L.M. Short communication: Salivary secretion during meals in lactating dairy cattle. J. Dairy Sci. 2008, 91, 2077–2081. [Google Scholar] [CrossRef] [Green Version]
- Aikman, P.C.; Reynolds, C.K.; Beever, D.E. Diet digestibility, rate of passage, and eating and rumination behavior of Jersey and Holstein cows. J. Dairy Sci. 2008, 91, 1103–1114. [Google Scholar] [CrossRef]



| Animal | Parity | Mean Daily Milk Yield (kg/d) |
|---|---|---|
| 825 | 8 | 50.3 |
| 1208 | 5 | 40.5 |
| 1252 | 4 | 49.0 |
| 1274 | 4 | 47.0 |
| 1309 | 4 | 48.2 |
| 1321 | 4 | 44.9 |
| 1326 | 4 | 51.4 |
| 1332 | 4 | 42.2 |
| 1401 | 3 | 49.4 |
| 1416 | 3 | 46.6 |
| 1419 | 3 | 46.5 |
| 1428 | 3 | 45.4 |
| 1434 | 3 | 34.4 |
| 1440 | 3 | 51.6 |
| 1450 | 2 | 43.5 |
| 1457 | 2 | 55.5 |
| 1460 | 2 | 51.4 |
| 1510 | 2 | 41.3 |
| 1515 | 2 | 47.4 |
| 1522 | 2 | 43.5 |
| 1523 | 2 | 38.5 |
| 1524 | 2 | 44.0 |
| 1525 | 2 | 52.1 |
| 1533 | 2 | 41.7 |
| 1536 | 2 | 44.6 |
| 1537 | 2 | 40.4 |
| 1540 | 2 | 35.7 |
| 1563 | 2 | 50.0 |
| Diet Composition (g/kg DM) 1 | Mean | SD |
|---|---|---|
| Beet pressed pulp silage | 188.3 | |
| Grass silage | 97.0 | |
| Grass hay | 74.7 | |
| Maize silage | 259.6 | |
| Concentrate | 380.4 | |
| Chemical Composition (g/kg DM) 1 | ||
| Dry matter | 402.0 | 13.8 |
| OM | 931.4 | 3.8 |
| CP | 157.4 | 8.1 |
| SP | 63.2 | 7.3 |
| EE | 43.0 | 2.4 |
| aNDFom | 355.1 | 8.8 |
| ADF | 219.3 | 4.9 |
| Lignin | 28.3 | 1.2 |
| iNDF240 | 86.4 | 4.5 |
| Starch | 182.3 | 14.8 |
| ESC | 63.1 | 3.4 |
| TDN 2 | 732.0 | 5.0 |
| Energy (MJ/kg DM) | ||
| NEL 3 | 7.0 | 0.0 |
| Daily DMI 1 (kg/Day) | |||
|---|---|---|---|
| Parameter | b 2 | SE | p-Value |
| Intercept | −7.60 | 1.02 | <0.01 |
| Milk yield (kg/d) | 0.12 | 0.02 | <0.01 |
| Meal frequency (meals/d) | 0.11 | 0.02 | <0.01 |
| Meal size (kg DM/meal) | 4.89 | 0.41 | <0.01 |
| Feeding time (min/d) | 0.05 | 0.00 | <0.01 |
| Feeding rate (g/min) | 0.05 | 0.00 | <0.01 |
| AIC 3 | 1322.59 | ||
| Parity | ||||
|---|---|---|---|---|
| 2 | ≥3 | p-Value | ||
| DMI 1 (kg/d) | mean | 19.9 | 20.3 | 0.043 |
| SD | 3.4 | 3.0 | 0.375 | |
| CV | 0.2 | 0.1 | 0.301 | |
| Meal frequency (meals/d) | mean | 21.6 | 25.7 | 0.112 |
| SD | 9.0 | 13.3 | 0.021 | |
| CV | 0.4 | 0.5 | 0.427 | |
| Meal duration (min/meal) | mean | 10.6 | 9.4 | 0.581 |
| SD | 3.7 | 4.3 | 0.493 | |
| CV | 0.3 | 0.5 | 0.934 | |
| Feeding time (min/d) | mean | 222.5 | 204.3 | 0.776 |
| SD | 50.4 | 46.4 | 0.056 | |
| CV | 0.2 | 0.2 | 0.251 | |
| Meal size (g/meal) | mean | 1.0 | 0.9 | 0.753 |
| SD | 0.5 | 0.4 | 0.984 | |
| CV | 0.5 | 0.4 | 0.412 | |
| Feeding rate (g/min) | mean | 86.9 | 99.9 | 0.668 |
| SD | 21.5 | 22.1 | 0.476 | |
| CV | 0.2 | 0.2 | 0.324 | |
| Lower Quartile (<25%) | Intermediate Quartile | Upper Quartile (>75%) | p-Value | |
|---|---|---|---|---|
| Mean DMI 1 | 17.61 | 20.14 | 22.30 | >0.05 |
| CV DMI 1 | 0.15 | 0.14 | 0.10 | >0.05 |
| Mean meal frequency | 18.24 | 27.62 | 21.83 | >0.05 |
| CV meal frequency | 0.19 | 0.21 | 0.19 | >0.05 |
| Mean meal duration | 11.35 | 8.67 | 10.85 | >0.05 |
| CV meal duration | 0.22 | 0.20 | 0.15 | >0.05 |
| Mean feeding time | 206.61 | 215.51 | 216.24 | >0.05 |
| CV feeding time | 0.18 | 0.14 | 0.14 | >0.05 |
| Mean meal size | 1.00 | 0.82 | 1.16 | >0.05 |
| CV meal size | 0.26 | 0.23 | 0.22 | >0.05 |
| Mean feeding rate | 0.08 | 0.10 | 0.10 | >0.05 |
| CV feeding rate | 0.14 | 0.16 | 0.16 | >0.05 |
| OMD | CPD | NDFD | ADFD | |||||||||
|---|---|---|---|---|---|---|---|---|---|---|---|---|
| Variable | Estimate | SE | p-Value | Estimate | SE | p-Value | Estimate | SE | p-Value | Estimate | SE | p-Value |
| Intercept | 754.57 | 11.56 | <0.01 | 714.56 | 28.79 | <0.01 | 637.31 | 25.25 | <0.01 | 600.28 | 19.10 | <0.01 |
| Week of lactation | 0.29 | 0.31 | 0.365 | 3.00 | 0.78 | <0.01 | 0.39 | 0.68 | 0.561 | −1.75 | 0.51 | <0.01 |
| Daily DMI 1 (kg/day) | −1.83 | 0.68 | 0.008 | −5.15 | 1.70 | 0.003 | −1.95 | 1.49 | 0.194 | −1.34 | 1.15 | 0.244 |
| Meal frequency (meals/day) | −0.06 | 0.22 | 0.787 | 0.11 | 0.53 | 0.831 | 0.09 | 0.47 | 0.836 | −0.17 | 0.36 | 0.650 |
| Meal size (kg/meal) | 2.92 | 6.16 | 0.636 | −1.29 | 15.37 | 0.933 | 0.63 | 13.56 | 0.963 | 2.24 | 10.44 | 0.830 |
| Feeding time (min/d) | 0.04 | 0.05 | 0.368 | 0.05 | 0.11 | 0.659 | 0.01 | 0.10 | 0.898 | 0.10 | 0.08 | 0.213 |
| Feeding rate (kg/min) | −0.03 | 0.083 | 0.756 | −0.24 | −0.21 | 0.248 | −0.02 | 0.18 | 0.183 | −0.09 | 0.13 | 0.520 |
| AIC 2 | 1508.2 | 2150.9 | 2055.5 | 1849.8 | ||||||||
| Lower Quartile (<25%) (DMI < 18.99 kg DMI/d, n = 7) | Intermediate Quartile (DMI between 19.00 and 20.93 kg DMI/d, n = 14) | Upper Quartile (>75%) (DMI > 20.94 kg DMI/d, n = 7) | p-Value | ||||
|---|---|---|---|---|---|---|---|
| Mean OMD | 737.08 | a | 727.17 | b | 726.16 | b | 0.032 |
| CV OMD | 0.03 | 0.02 | 0.03 | >0.05 | |||
| Mean CPD | 638.98 | a | 631.20 | ab | 607.60 | b | 0.032 |
| CV CPD | 0.07 | 0.06 | 0.09 | >0.05 | |||
| Mean NDFD | 600.85 | 578.72 | 583.77 | >0.05 | |||
| CV NDFD | 0.06 | a | 0.06 | a | 0.08 | b | 0.006 |
| Mean ADFD | 574.58 | ab | 561.61 | a | 587.49 | b | 0.021 |
| CV ADFD | 0.05 | 0.06 | 0.05 | >0.05 |
Publisher’s Note: MDPI stays neutral with regard to jurisdictional claims in published maps and institutional affiliations. |
© 2021 by the authors. Licensee MDPI, Basel, Switzerland. This article is an open access article distributed under the terms and conditions of the Creative Commons Attribution (CC BY) license (https://creativecommons.org/licenses/by/4.0/).
Share and Cite
Rumphorst, T.; Scheu, T.; Koch, C.; Sundrum, A. Inter- and Intra-Individual Variation in the Behavior of Feed Intake on Nutrient Availability in Early Lactating Dairy Cows. Animals 2022, 12, 37. https://doi.org/10.3390/ani12010037
Rumphorst T, Scheu T, Koch C, Sundrum A. Inter- and Intra-Individual Variation in the Behavior of Feed Intake on Nutrient Availability in Early Lactating Dairy Cows. Animals. 2022; 12(1):37. https://doi.org/10.3390/ani12010037
Chicago/Turabian StyleRumphorst, Theresa, Theresa Scheu, Christian Koch, and Albert Sundrum. 2022. "Inter- and Intra-Individual Variation in the Behavior of Feed Intake on Nutrient Availability in Early Lactating Dairy Cows" Animals 12, no. 1: 37. https://doi.org/10.3390/ani12010037
APA StyleRumphorst, T., Scheu, T., Koch, C., & Sundrum, A. (2022). Inter- and Intra-Individual Variation in the Behavior of Feed Intake on Nutrient Availability in Early Lactating Dairy Cows. Animals, 12(1), 37. https://doi.org/10.3390/ani12010037

