Mitochondrial Bioenergetics of Extramammary Tissues in Lactating Dairy Cattle
Abstract
:Simple Summary
Abstract
1. Introduction
2. Materials and Methods
2.1. Study Animals and Tissue Biopsies
2.2. Tissue Processing
2.3. Mitochondrial Isolation
2.4. Mitochondrial Respiration
2.5. Milk and Blood Collection
2.6. Blood Metabolites
2.7. Mitochondrial Oxidant Emission
2.8. Tissue Antioxidant Activity
2.9. Oxidative Damage
2.10. Adenine Nucleotides
2.11. RNA Extraction and cDNA Synthesis
2.12. qRT-PCR
| Accession No. | Gene | Sequence (5′-3′) | PCR Product Length |
|---|---|---|---|
| NM_177945 | PGC-1α * | F: GTACCAGCACGAAAGGCTCAA R: ATCACACGGCGCTCTTCAA | 120 |
| NM_001034036.1 | PPARα | F: GTGAGGGCTGCAAGGGTTTC R: TCTCAGATCTTGGCATTCGTCCA | 186 |
| NM_001083636.1 | PPARd | F: TGCACATGGTACTCACGCAG R: TGCTCCATGGCTGACTTCCC | 172 |
| NM_001109802.2 | AMPKα | F: AACCTGAAAACGTCCTGCTTGA R: TGGACCAGCATACAATCTTCCTG | 158 |
| NM_001024558.1 | AMPKβ | F: ACGACCCTTCCGAGCCAGTA R: CGGTGGGGAACTGGACAACT | 149 |
| NM_174586.2 | AMPKγ | F: TGGTGGATGAGAAAGGGCGTG R: ATCGATGTTGCAGGGCTTTGG | 120 |
| NM_001098002.2 | NRF1 | F: CTGATGGCACTGTCTCGCTT R: GCCCAGTTTTGTTCCACCTCT | 145 |
| NM_001075437.2 | NRF2α | F: GGACGGCTGTAGGTGAGACA R: GTGCACTCTGCTTTCTCTGTTCC | 142 |
| NM_001034016.2 | TFAM | F: GTTTTCAGGAAGCTAGGGATGGC R: ACTTCCATCATTTGTTCCTCCCAAG | 169 |
| NM_001114610.1 | TFB1M | F: TCAAAAGGAAGTGGCAGAGAGACT R: TGAAGGGCTGCTTGATCCTGG | 200 |
| NM_001038127.2 | TFB2M | F: TTGGGAGTGAAAGCACATCCT R: TTGCCGTTAGTTTCCGGCAT | 193 |
| NM_001206669.1 | SIRT3 | F: AACATCGACGGGCTCGAGAG R: CATCACGTCGGCCCAGAAGT | 135 |
| NM_201527.2 | SOD2 | F: GGGTTGGCTCGGCTTCAATA R: TGCTCCCACACGTCAATCCC | 120 |
| NM_174076.3 | GPx1 | F: ACACCCAGATGAATGACCTGCA R: TCGCCATTCACCTCGCACTTT | 193 |
| NM_001035386.2 | CAT | F: TTCGCTTCTCCACTGTTGCTGG R: CAGGTGCGTTTGAGGGTTTCT | 197 |
| NM_001101152 | RPS9 | F: GGAGACCCTTCGAGAAGTCC R: CTTTCTCATCCAGCGTCAGC | 84 |
| NM_001033614 | RPS18 | F: GATCCATTGGAGGGCAAGTC R: GCAGCAACTTTAATATACGCT | 124 |
| NM_001034034 | GAPDH | F: TGACCCCTTCATTGACCTTC R: TACTCAGCACCAGCATCACC | 130 |
2.13. Statistical Analysis
3. Results
3.1. Body Weight and Blood Metabolites
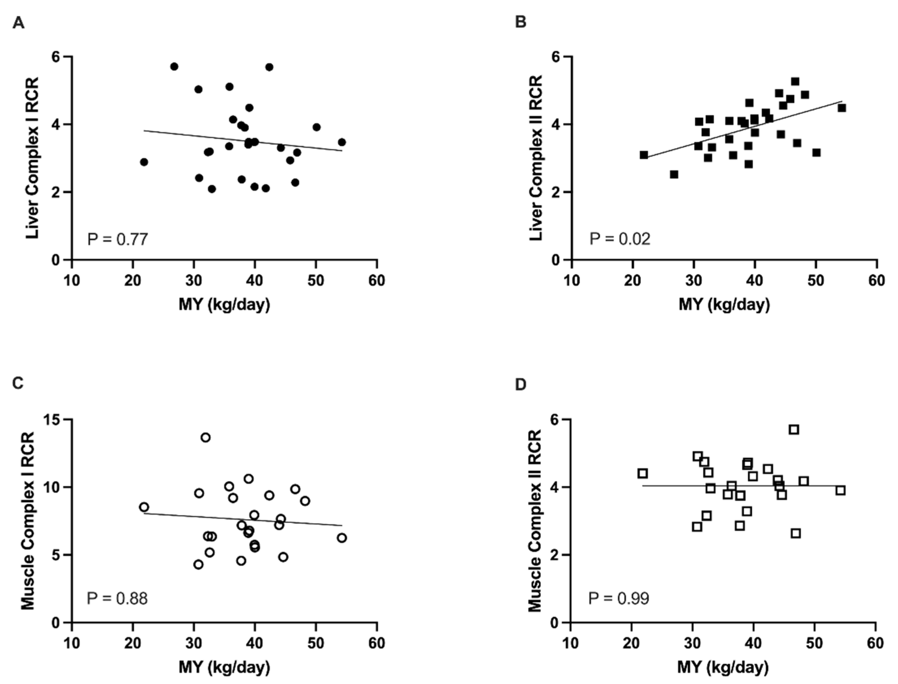
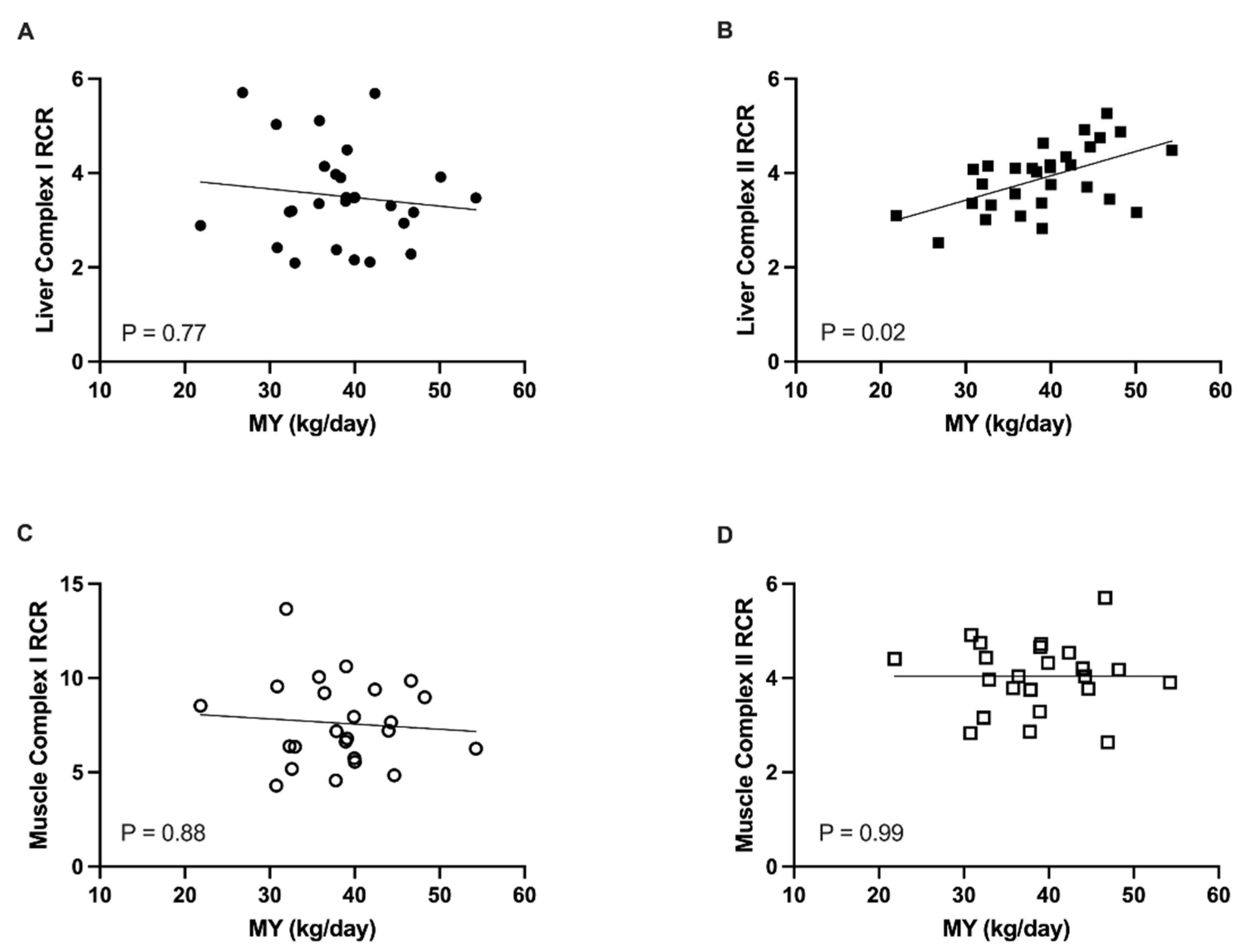
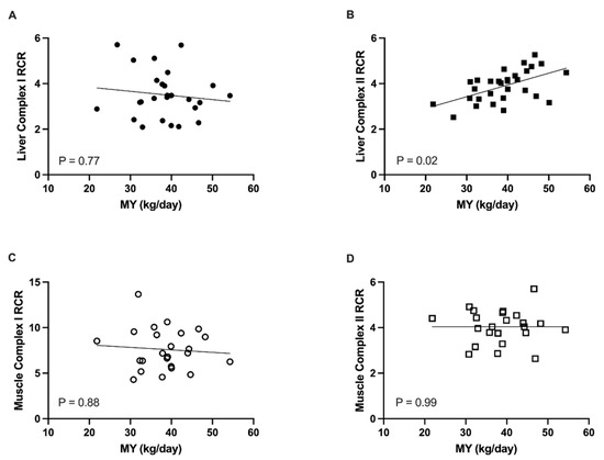
3.2. Mitochondrial Respiration
3.3. Oxidant Emission and Oxidative Stress
3.4. Adenosine Nucleotides
3.5. Gene Expression
4. Discussion
4.1. Mitochondrial Respiration
4.2. Oxidative Stress
4.3. Regulation of Mitochondrial Bioenergetics
5. Conclusions
Supplementary Materials
Author Contributions
Funding
Institutional Review Board Statement
Informed Consent Statement
Data Availability Statement
Acknowledgments
Conflicts of Interest
References
- Baumgard, L.H.; Collier, R.J.; Bauman, D.E. A 100-Year Review: Regulation of nutrient partitioning to support lactation. J. Dairy Sci. 2017, 100, 10353–10366. [Google Scholar] [CrossRef] [PubMed]
- Butler, W.R.; Smith, R.D. Interrelationships between Energy Balance and Postpartum Reproductive Function in Dairy Cattle. J. Dairy Sci. 1987, 72, 767–783. [Google Scholar] [CrossRef]
- Laubenthal, L.; Hoelker, M.; Frahm, J.; Dänicke, S.; Gerlach, K.; Südekum, K.; Sauerwein, H.; Haussler, S. Mitochondrial DNA copy number and biogenesis in different tissues of early- and late-lactating dairy cows. J. Dairy Sci. 2016, 99, 1571–1583. [Google Scholar] [CrossRef] [Green Version]
- Bell, A.W. Regulation of organic nutrient metabolism during transition from late pregnancy to early lactation. J. Anim. Sci. 1995, 73, 2804–2819. [Google Scholar] [CrossRef]
- Herdt, T.H. Ruminant adaptation to NEB: Influences on the etiology of ketosis and fatty liver. Vet. Clin. N. Am. Food Anim. Pract. 2000, 16, 215–230. [Google Scholar] [CrossRef]
- Bauman, D.E.; Currie, W.B. Partitioning of Nutrients during Pregnancy and Lactation: A Review of Mechanisms Involving Homeostasis and Homeorhesis. J. Dairy Sci. 1980, 63, 1514–1529. [Google Scholar] [CrossRef]
- Meijer, G.A.; Van der Meulen, J.; Bakker, J.G.; Van der Koelen, C.J.; Van Vuuren, A.M. Free amino acids in plasma and muscle of high yielding dairy cows in early lactation. J. Dairy Sci. 1995, 78, 1131–1141. [Google Scholar] [CrossRef]
- Kuhla, B.; Nurnberg, G.; Albrecht, D.; Gors, S.; Hammon, M.; Metges, C.C. Involvement of skeletal muscle protein, glycogen, and fat metabolism in the adaptation on early lactation of dairy cows. J. Proteome Res. 2011, 10, 4252–4264. [Google Scholar] [CrossRef] [PubMed]
- Collier, R.J.; McNamara, J.P.; Wallace, C.R.; Dehoff, M.H. A review of endocrine regulation of metabolism during lactation. J. Anim. Sci. 1984, 59, 498–510. [Google Scholar] [CrossRef] [PubMed] [Green Version]
- Grummer, R.R. Impact of changes in organic nutrient metabolism on feeding the transition dairy cow. J. Anim. Sci. 1995, 73, 2820–2833. [Google Scholar] [CrossRef] [PubMed]
- Benard, G.; Bellance, N.; Jose, C.; Melser, S.; Nouette-Gaulain, K.; Rossignol, R. Multi-site control and regulation of mitochondrial energy production. Biochim. Biophys. Acta BBA Bioenerg. 2010, 1797, 698–709. [Google Scholar] [CrossRef] [Green Version]
- Sundrum, A. Metabolic Disorders in the Transition Period Indicate that the Dairy Cows’ Ability to Adapt is Overstressed. Animals 2015, 5, 978–1020. [Google Scholar] [CrossRef] [PubMed]
- Akers, M.R. Milk Component Biosynthesis, 1st ed.; Blackwell Publishing Co.: Hoboken, NJ, USA, 2016; pp. 88–104. [Google Scholar]
- Schutz, M.M.; Freeman, A.E.; Lindberg, G.L.; Koehler, C.M.; Beitz, D.C. The effect of mitochondrial DNA on milk production and health of dairy cattle. Livest. Prod. Sci. 1994, 37, 283–295. [Google Scholar] [CrossRef]
- Hadsell, D.L.; Olea, W.; Wei, J.; Fiorotto, M.L.; Matsunami, R.K.; Engler, D.A.; Collier, R.J. Developmental regulation of mitochondrial biogenesis and function in the mouse mammary gland during a prolonged lactation cycle. Physiol. Genom. 2011, 43, 271–285. [Google Scholar] [CrossRef] [Green Version]
- Rosano, T.G.; Jones, D.H. Developmental changes in mitochondria during the transition into lactation in the mouse mammary gland I. Behavior on Isopycnic Gradient Centrifugation Preparation of Homogenates and Mitochondria from Mammary Glands Gradient Ultracentrifugation. J. Cell Biol. 1976, 9, 573–580. [Google Scholar] [CrossRef] [PubMed] [Green Version]
- Alex, A.P.; Collier, J.L.; Hadsell, D.L.; Collier, R.J. Milk yield differences between 1× and 4× milking are associated with changes in mammary mitochondrial number and milk protein gene expression, but not mammary cell apoptosis or SOCS gene expression. J. Dairy Sci. 2015, 98, 4439–4448. [Google Scholar] [CrossRef] [Green Version]
- Hyatt, H.; Zhang, Y.; Hood, W.R.; Kavazis, A.N. Physiological, mitochondrial, and oxidative stress differences in the presence or absence of lactation in rats. Reprod. Biol. Endocrinol. 2018, 16, 2. [Google Scholar] [CrossRef] [PubMed]
- Hyatt, H.W.; Zhang, Y.; Hood, W.R.; Kavazis, A.N. Changes in metabolism, mitochondrial function, and oxidative stress between female rats under nonreproductive and 3 reproductive conditions. Reprod. Sci. 2019, 26, 114–127. [Google Scholar] [CrossRef]
- Schäff, C.; Börner, S.; Hacke, S.; Kautzsch, U.; Sauerwein, H.; Spachmann, S.K.; Schweigel-Röntgen, M.; Hammon, H.; Kuhla, B. Increased muscle fatty acid oxidation in dairy cows with intensive body fat mobilization during early lactation. J. Dairy Sci 2013, 96, 6449–6460. [Google Scholar] [CrossRef]
- Li, Y.; Ding, H.; Liu, L.; Song, Y.; Du, X.; Feng, S.; Wang, X.; Li, X.; Wang, Z.; Li, X.; et al. Non-esterified Fatty Acid Induce Dairy Cow Hepatocytes Apoptosis via the Mitochondria-Mediated ROS-JNK/ERK Signaling Pathway. Front. Cell Dev. Biol. 2020, 8, 245. [Google Scholar] [CrossRef]
- Dominy, J.E.; Puigserver, P. Mitochondrial biogenesis through activation of nuclear signaling proteins. Cold Spring Harb. Perspect. Biol. 2013, 5, a015008. [Google Scholar] [CrossRef] [PubMed]
- Cagin, U.; Enriquez, J.A. The complex crosstalk between mitochondria and the nucleus: What goes in between? Int. J. Biochem. Cell Biol. 2017, 63, 10–15. [Google Scholar] [CrossRef]
- Ighodaro, O.M.; Akinloye, O.A. First line defence antioxidants-superoxide dismutase (SOD), catalase (CAT) and glutathione peroxidase (GPX): Their fundamental role in the entire antioxidant defence grid. Alex. J. Med. 2018, 54, 287–293. [Google Scholar] [CrossRef] [Green Version]
- Speakman, J.R. The physiological costs of reproduction in small mammals. Philos. Trans. R. Soc. B Biol. Sci. 2008, 363, 375–398. [Google Scholar] [CrossRef] [PubMed] [Green Version]
- Dobbelaar, P.; Bouwstra, R.J.; Goselink, R.M.A.; Jorritsma, R.; van den Borne, J.J.G.C.; Jansen, E.H.J.M. Effects of vitamin E supplementation on and the association of body condition score with changes in peroxidative biomarkers and antioxidants around calving in dairy heifers. J. Dairy Sci. 2010, 93, 3103–3113. [Google Scholar] [CrossRef] [PubMed]
- Abuelo, A.; Hernández, J.; Benedito, J.L.; Castillo, C. Redox biology in transition periods of dairy cattle: Role in the health of periparturient and neonatal animals. Antioxidants 2019, 8, 20. [Google Scholar] [CrossRef] [PubMed] [Green Version]
- Makinen, M.W.; Lee, C.-P. Biochemical studies of skeletal muscle mitochondria: I. Microanalysis of cytochrome content, oxidative and phosphorylative activities of mammalian skeletal muscle mitochondria. Arch. Biochem. Biophys. 1968, 126, 75–82. [Google Scholar] [CrossRef]
- Sewell, D.L.; Wostmann, B.S.; Gairola, C.; Aleem, M.I. Oxidative energy metabolism in germ-free and conventional rat liver mitochondria. Am. J. Physiol. Leg. Content 1975, 228, 526–529. [Google Scholar] [CrossRef]
- Mowry, A.; Donoviel, Z.S.; Kavazis, A.N.; Hood, W.R. Mitochondrial function and bioenergetic trade-offs during lactation in the house mouse (Mus musculus). Ecol. Evol. 2017, 7, 2994–3005. [Google Scholar] [CrossRef]
- Messer, J.I.; Jackman, M.R.; Willis, W.T. Pyruvate and citric acid cycle carbon requirements in isolated skeletal muscle mitochondria. Am. J. Physiol. Cell Physiol. 2004, 286, C565–C572. [Google Scholar] [CrossRef]
- Wanders, R.J.; Groen, A.K.; Van Roermund, C.W.; Tager, J.M. Factors determining the relative contribution of the adenine-nucleotide translocator and the ADP-regenerating system to the control of oxidative phosphorylation in isolated rat-liver mitochondria. Eur. J. Biochem. 1984, 142, 417–424. [Google Scholar] [CrossRef] [PubMed]
- Thering, B.J.; Bionaz, M.; Loor, J.J. Long-chain fatty acid effects on peroxisome proliferator-activated receptor-α-regulated genes in Madin-Darby bovine kidney cells: Optimization of culture conditions using palmitate. J. Dairy Sci. 2009, 92, 2027–2037. [Google Scholar] [CrossRef] [Green Version]
- Zhang, Y.; Hood, W.R. Current versus future reproduction and longevity: A re-evaluation of predictions and mechanisms. J. Exp. Biol. 2016, 219, 3177–3189. [Google Scholar] [CrossRef] [Green Version]
- Bonora, M.; Patergnani, S.; Rimessi, A.; de Marchi, E.; Suski, J.M.; Bononi, A.; Giorgi, C.; Marchi, S.; Missiroli, S.; Poletti, F.; et al. ATP synthesis and storage. Purinergic Signal. 2012, 8, 343–357. [Google Scholar] [CrossRef] [Green Version]
- Bell, A.W.; Bauman, D.E. Adaptations of glucose metabolism during pregnancy and lactation. J. Mammary Gland. Biol. Neoplasia 1997, 2, 265–278. [Google Scholar] [CrossRef] [PubMed]
- Bergman, E.N. Hyperketonemia-Ketogenesis and Ketone Body Metabolism. J. Dairy Sci. 1971, 54, 936–948. [Google Scholar] [CrossRef]
- Dahmane, R.; Djordjevič, S.; Smerdu, V. Adaptive potential of human biceps femoris muscle demonstrated by histochemical, immunohistochemical and mechanomyographical methods. Med. Biol. Eng. Comput. 2006, 44, 999. [Google Scholar] [CrossRef] [PubMed]
- Herbison, G.J.; Jaweed, M.M.; Ditunno, J.F. Muscle fiber types. Arch. Phys. Med. Rehabil. 1982, 63, 227–230. [Google Scholar]
- Khamoui, A.V.; Desai, M.; Ross, M.G.; Rossiter, H.B. Sex-specific effects of maternal and postweaning high-fat diet on skeletal muscle mitochondrial respiration. J. Dev. Orig. Health Dis. 2018, 9, 670–677. [Google Scholar] [CrossRef]
- Brand, M.D. Mitochondrial generation of superoxide and hydrogen peroxide as the source of mitochondrial redox signaling. Free Radic. Biol. Med. 2016, 100, 14–31. [Google Scholar] [CrossRef]
- Zhao, R.; Jiang, S.; Zhang, L.; Yu, Z. Mitochondrial electron transport chain, ROS generation and uncoupling (Review). Int. J. Mol. Med. 2019, 44, 3–15. [Google Scholar] [CrossRef] [Green Version]
- Orrenius, S.; Gogvadze, V.; Zhivotovsky, B. Mitochondrial oxidative stress: Implications for cell death. Annu. Rev. Pharmacol. Toxicol. 2007, 47, 143–183. [Google Scholar] [CrossRef]
- Schieber, M.; Chandel, N.S. ROS function in redox signaling and oxidative stress. Curr. Biol. 2014, 24, R453–R462. [Google Scholar] [CrossRef] [PubMed] [Green Version]
- Yin, H.; Xu, L.; Porter, N.A. Free radical lipid peroxidation: Mechanisms and analysis. Chem. Rev. 2011, 111, 5944–5972. [Google Scholar] [CrossRef]
- Birben, E.; Sahiner, U.M.; Sackesen, C.; Erzurum, S.; Kalayci, O. Oxidative stress and antioxidant defense. World Allergy Organ. J. 2012, 5, 9–19. [Google Scholar] [CrossRef] [PubMed] [Green Version]
- Bernabucci, U.; Ronchi, B.; Lacetera, N.; Nardone, A. Influence of body condition score on relationships between metabolic status and oxidative stress in periparturient dairy cows. J. Dairy Sci. 2005, 88, 2017–2026. [Google Scholar] [CrossRef] [Green Version]
- Schönfeld, P.; Wojtczak, L. Fatty acids as modulators of the cellular production of reactive oxygen species. Free Radic. Biol. Med. 2008, 45, 231–241. [Google Scholar] [CrossRef] [PubMed]
- Sies, H. Oxidative stress: Oxidants and antioxidants. Exp. Physiol. 1997, 82, 291–295. [Google Scholar] [CrossRef]
- Sharma, N.; Singh, N.K.; Singh, O.P.; Pandey, V.; Verma, P.K. Oxidative Stress and Antioxidant Status during Transition Period in Dairy Cows. Asian-Australas. J. Anim. Sci. 2011, 24, 479–484. [Google Scholar] [CrossRef]
- Jóźwik, A.; Strzałkowska, N.; Bagnicka, E.; Grzybek, W.; Krzyżewski, J.; Poławska, E.; Kołataj, A.; Horbańczuk, J.O. Relationship between milk yield, stage of lactation, and some blood serum metabolic parameters of dairy cows. Czech J. Anim. Sci. 2012, 57, 353–360. [Google Scholar] [CrossRef] [Green Version]
- Garcia-Roves, P.M.; Osler, M.E.; Holmström, M.H.; Zierath, J.R. Gain-of-function R225Q mutation in AMP-activated protein kinase γ3 subunit increases mitochondrial biogenesis in glycolytic skeletal muscle. J. Biol. Chem. 2008, 283, 35724–35734. [Google Scholar] [CrossRef] [PubMed] [Green Version]
- Mihaylova, M.M.; Shaw, R.J. The AMPK signalling pathway coordinates cell growth, autophagy and metabolism. Nat. Cell Biol. 2011, 13, 1016–1023. [Google Scholar] [CrossRef]
- Vogel, C.; Marcotte, E.M. Insights into the regulation of protein abundance from proteomic and transcriptomic analyses. Nat. Rev. Genet. 2012, 13, 227–232. [Google Scholar] [CrossRef]
- Liang, H.; Ward, W.F. PGC-1α: A key regulator of energy metabolism. Adv. Physiol. Educ. 2006, 30, 145–151. [Google Scholar] [CrossRef]
- Consitt, L.A.; Bell, J.A.; Koves, T.R.; Muoio, D.M.; Hulver, M.W.; Haynie, K.R.; Dohm, G.L.; Houmard, J.A. Peroxisome proliferator-activated receptor-γ coactivator-1α overexpression increases lipid oxidation in myocytes from extremely obese individuals. Diabetes 2010, 59, 1407–1415. [Google Scholar] [CrossRef] [Green Version]
- Gleyzer, N.; Vercauteren, K.; Scarpulla, R.C. Control of mitochondrial transcription specificity factors (TFB1M and TFB2M) by nuclear respiratory factors (NRF-1 and NRF-2) and PGC-1 family coactivators. Mol. Cell. Biol. 2005, 25, 1354–1366. [Google Scholar] [CrossRef] [Green Version]
- Scarpulla, R.C. Metabolic control of mitochondrial biogenesis through the PGC-1 family regulatory network. Biochim. Biophys. BBA Mol. Cell Res. 2011, 1813, 1269–1278. [Google Scholar] [CrossRef] [PubMed] [Green Version]
- McCulloch, V.; Seidel-Rogol, B.L.; Shadel, G.S. A human mitochondrial transcription factor is related to RNA adenine methyltransferases and binds S-adenosylmethionine. Mol. Cell. Biol. 2002, 22, 1116–1125. [Google Scholar] [CrossRef] [Green Version]
- Hirschey, M.D.; Shimazu, T.; Goetzman, E.; Jing, E.; Schwer, B.; Lombard, D.B.; Grueter, C.A.; Harris, C.; Biddinger, S.; Ilkayeva, O.R.; et al. SIRT3 regulates mitochondrial fatty-acid oxidation via reversible enzyme deacetylation. Nature 2010, 464, 121–125. [Google Scholar] [CrossRef] [PubMed] [Green Version]
- Shih, J.; Donmez, G. Mitochondrial Sirtuins as Therapeutic Targets for Age-Related Disorders. Genes Cancer 2013, 4, 91–96. [Google Scholar] [CrossRef] [PubMed] [Green Version]
- García-Roche, M.; Casal, A.; Mattiauda, D.A.; Ceriani, M.; Jasinsky, A.; Mastrogiovanni, M.; Trostchansky, A.; Carriquiry, M.; Cassina, A.; Quijano, C. Impaired hepatic mitochondrial function during early lactation in dairy cows: Association with protein lysine acetylation. PLoS ONE 2019, 14, e0213780. [Google Scholar] [CrossRef] [PubMed] [Green Version]




| Metabolites | Early Lactation | Peak Lactation | Late Lactation | p-Value (Early vs. Peak) | p-Value (Peak vs. Late) | p-Value (Early vs. Late) |
|---|---|---|---|---|---|---|
| Glucose (mg/dL) | 61.38 ± 3.59 | 59.37 ± 3.40 | 85.75 ± 3.31 | 0.69 | <0.0001 | <0.0001 |
| NEFA (mmol/L) | 5.34 ± 2.15 | 4.61 ± 2.14 | 4.59 ± 2.14 | <0.0001 | 0.89 | <0.0001 |
| BHB (μmol/L) | 109.27 ± 18.00 | 69.47 ± 17.04 | 69.05 ± 16.57 | 0.1265 | 0.9866 | 0.11 |
Publisher’s Note: MDPI stays neutral with regard to jurisdictional claims in published maps and institutional affiliations. |
© 2021 by the authors. Licensee MDPI, Basel, Switzerland. This article is an open access article distributed under the terms and conditions of the Creative Commons Attribution (CC BY) license (https://creativecommons.org/licenses/by/4.0/).
Share and Cite
Favorit, V.; Hood, W.R.; Kavazis, A.N.; Villamediana, P.; Yap, K.N.; Parry, H.A.; Skibiel, A.L. Mitochondrial Bioenergetics of Extramammary Tissues in Lactating Dairy Cattle. Animals 2021, 11, 2647. https://doi.org/10.3390/ani11092647
Favorit V, Hood WR, Kavazis AN, Villamediana P, Yap KN, Parry HA, Skibiel AL. Mitochondrial Bioenergetics of Extramammary Tissues in Lactating Dairy Cattle. Animals. 2021; 11(9):2647. https://doi.org/10.3390/ani11092647
Chicago/Turabian StyleFavorit, Victoria, Wendy R. Hood, Andreas N. Kavazis, Patricia Villamediana, Kang Nian Yap, Hailey A. Parry, and Amy L. Skibiel. 2021. "Mitochondrial Bioenergetics of Extramammary Tissues in Lactating Dairy Cattle" Animals 11, no. 9: 2647. https://doi.org/10.3390/ani11092647
APA StyleFavorit, V., Hood, W. R., Kavazis, A. N., Villamediana, P., Yap, K. N., Parry, H. A., & Skibiel, A. L. (2021). Mitochondrial Bioenergetics of Extramammary Tissues in Lactating Dairy Cattle. Animals, 11(9), 2647. https://doi.org/10.3390/ani11092647

