Oxidative Quality of Acid Oils and Fatty Acid Distillates Used in Animal Feeding
Abstract
Simple Summary
Abstract
1. Introduction
2. Materials and Methods
2.1. Samples
2.2. Methods
2.3. Statistics
3. Results
3.1. Variability of the Oxidation Parameters and Differences between AO and FAD
3.2. Sample Clustering According to Botanical Origin
3.3. Differences between Botanical Groups within AO and FAD
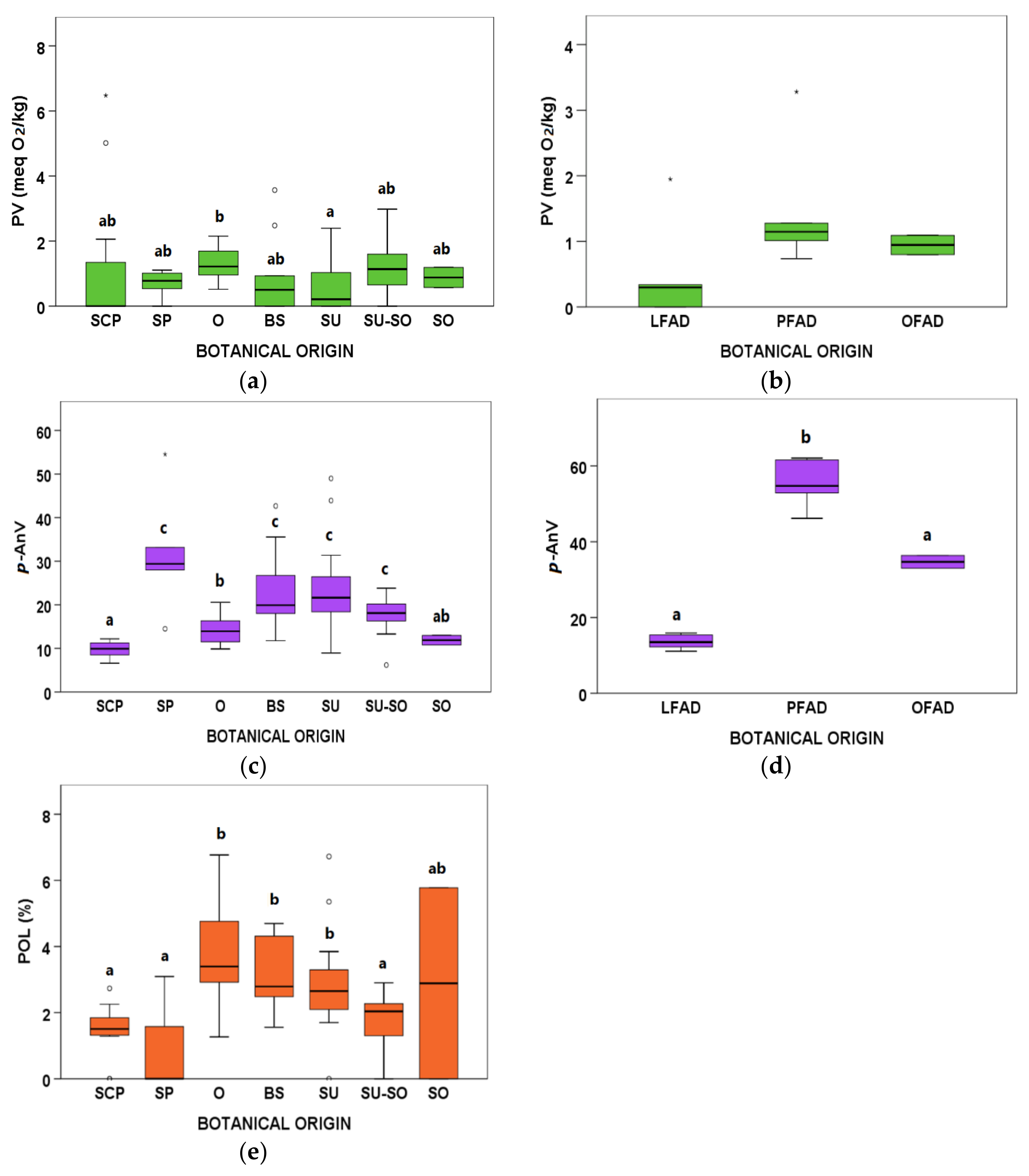
3.3.1. Oxidation and Oxidative Stability Parameters
3.3.2. Fatty Acid (FA) Composition
3.3.3. Tocopherol (T) and Tocotrienol (T3) Content
4. Discussion
4.1. Influence of the Refining Process (AO vs. FAD)
4.2. Influence of the Botanical Origin of the Crude Oil
4.3. Comparison with Fat Quality Thresholds in EU Regulations and Guidelines
5. Conclusions
Supplementary Materials
Author Contributions
Funding
Institutional Review Board Statement
Data Availability Statement
Acknowledgments
Conflicts of Interest
References
- Varona, E.; Tres, A.; Rafecas, M.; Vichi, S.; Barroeta, A.C.; Guardiola, F. Composition and nutritional value of acid oils and fatty acid distillates used in animal feeding. Animals 2021, 11, 196. [Google Scholar] [CrossRef] [PubMed]
- Velasco, J.; Dobarganes, C. Oxidative stability of virgin olive oil. Eur. J. Lipid Sci. Technol. 2002, 104, 661–676. [Google Scholar] [CrossRef]
- Fang, B.; Zhang, M.; Shen, Y.M. Importance of the higher retention of tocopherols and sterols for the oxidative stability of soybean and rapeseed oils. J. Food Sci. Technol. 2017, 54, 1938–1944. [Google Scholar] [CrossRef]
- Esterbauer, H. Cytotoxicity and genotoxicity of lipid-oxidation products. Am. J. Clin. Nutr. 1993, 57, 779S–786S. [Google Scholar] [CrossRef] [PubMed]
- Guardiola, F.; Dutta, P.C.; Codony, R.; Savage, G.P. Cholesterol and Phytosterol Oxidation Products: Analysis, Occurrence, and Biological Effects; AOCS Press: Champaign, IL, USA, 2002. [Google Scholar]
- Kanner, J. Dietary advanced lipid oxidation endproducts are risk factors to human health. Mol. Nutr. Food Res. 2007, 51, 1094–1101. [Google Scholar] [CrossRef]
- Márquez-Ruiz, G.; García-Martínez, M.C.; Holgado, F. Changes and effects of dietary oxidized lipids in the gastrointestinal tract. Lipid Insights 2008, 2, 11–19. [Google Scholar] [CrossRef]
- Olivero David, R.; González-Muñoz, M.J.; Benedí, J.; Bastida, S.; Sánchez-Muniz, F.J. Thermally oxidized palm olein exposure increases triglyceride polymer levels in rat small intestine. Eur. Food Res. Technol. 2010, 112, 970–976. [Google Scholar] [CrossRef]
- Lindblom, S.C.; Gabler, N.K.; Bobeck, E.A.; Kerr, B.J. Oil Source and peroxidation status interactively affect growth performance and oxidative status in broilers from 4 to 25 d of age. Poult. Sci. 2019, 98, 1749–1761. [Google Scholar] [CrossRef]
- Liu, P.; Chen, C.; Kerr, B.J.; Weber, T.E.; Johnston, L.J.; Shurson, G.C. Influence of thermally oxidized vegetable oils and animal fats on energy and nutrient digestibility in young pigs. J. Anim. Sci. 2014, 92, 2980–2986. [Google Scholar] [CrossRef]
- Zhang, Q.; Saleh, A.S.M.; Chen, J.; Shen, Q. Chemical alterations taken place during deep-fat frying based on certain reaction products: A review. Chem. Phys. Lipids 2012, 165, 662–681. [Google Scholar] [CrossRef]
- Hung, Y.T.; Hanson, A.R.; Shurson, G.C.; Urriola, P.E. Peroxidized lipids reduce growth performance of poultry and swine: A meta-analysis. Anim. Feed Sci. Technol. 2017, 231, 47–58. [Google Scholar] [CrossRef]
- Bou, R.; Guardiola, F.; Tres, A.; Barroeta, A.C.; Codony, R. Effect of dietary fish oil, α-tocopheryl acetate, and zinc supplementation on the composition and consumer acceptability of chicken meat. Poult. Sci. 2004, 83, 282–292. [Google Scholar] [CrossRef] [PubMed]
- Jensen, C.; Engberg, R.; Jakobsen, K.; Skibsted, L.H.; Bertelsen, G. Influence of the oxidative quality of dietary oil on broiler meat storage stability. Meat Sci. 1997, 47, 211–222. [Google Scholar] [CrossRef]
- Sheehy, P.J.A.; Morrissey, P.A.; Flynn, A. Consumption of thermally-oxidized sunflower oil by chicks reduces α-tocopherol status and increases susceptibility of tissues to lipid oxidation. Br. J. Nutr. 1994, 71, 53–65. [Google Scholar] [CrossRef]
- Tres, A.; Bou, R.; Codony, R.; Guardiola, F. Moderately oxidized oils and dietary zinc and α-tocopheryl acetate supplementation: Effects on the oxidative stability of rabbit plasma, liver, and meat. J. Agric. Food. Chem. 2010, 58, 9112–9119. [Google Scholar] [CrossRef] [PubMed][Green Version]
- Silva-Guillen, Y.V.; Arellano, C.; Boyd, R.D.; Martinez, G.; Van Heugten, E. Growth performance, oxidative stress and immune status of newly weaned pigs fed peroxidized lipids with or without supplemental vitamin E or polyphenols. J. Anim. Sci. Biotechnol. 2020, 11, 22. [Google Scholar] [CrossRef]
- Billek, G. Health aspects of thermoxidized oils and fats. Eur. J. Lipid Sci. Technol. 2000, 102, 587–593. [Google Scholar] [CrossRef]
- Nuchi, C.; Guardiola, F.; Bou, R.; Bondioli, P.; Bella, L.D.; Codony, R. Assessment of the levels of degradation in fat co-and byproducts for feed uses and their relationships with some lipid composition parameters. J. Agric. Food Chem. 2009, 57, 1952–1959. [Google Scholar] [CrossRef]
- Commission Regulation (EU) 68/2013 of 16 January 2013 and its amendments on the Catalogue of feed materials. Off. J. Eur. Union 2013, 29, 1–64.
- Bockisch, M. Fats and Oils Handbook, 1st ed.; Academic Press and AOCS Press: Champaign, IL, USA, 1998. [Google Scholar]
- FEDNA (Fundación Española para el Desarrollo de la Nutrición Animal). Tablas FEDNA de Composición y Valor Nutritivo de Alimentos para la Fabricación de Piensos Compuestos, 4th ed.; Blas, C., Mateos, G.G., García-Rebollar, P., Eds.; FEDNA: Madrid, Spain, 2019; Available online: http://www.fundacionfedna.org/ingredientes-para-piensos (accessed on 20 March 2021).
- Gunstone, F.D. Vegetable Oils in Food Technology: Composition, Properties and Uses, 2nd ed.; Blackwell Publishing Ltd.: Oxford, UK, 2011. [Google Scholar]
- Pawar, D.M.; Marathe, A.B. Critical review on value added products from cracking of waste vegetable oil. Int. J. Sci. Eng. Res. 2015, 6, 1063–1068. [Google Scholar]
- Chang, A.S.; Sherazi, S.T.H.; Kandhro, A.A.; Mahesar, S.A.; Chang, F.; Shah, S.N.; Laghari, Z.H.; Panhwar, T. Characterization of palm fatty acid distillate of different oil processing industries of Pakistan. J. Oleo Sci. 2016, 65, 897–901. [Google Scholar] [CrossRef]
- Bondioli, P. Refining by-products as a source of compounds of high-added value. Grasas y Aceites 2006, 57, 116–125. [Google Scholar] [CrossRef]
- Gibon, V.; De Greyt, W.; Kellens, M. Palm oil refining. Eur. J. Lipid Sci. Technol. 2007, 109, 315–335. [Google Scholar] [CrossRef]
- Dumont, M.J.; Narine, S.S. Soapstock and deodorizer distillates from north american vegetable oils: Review on their characterization, extraction and utilization. Food Res. Int. 2007, 40, 957–974. [Google Scholar] [CrossRef]
- Wiseman, J.; Salvador, F.; Craigon, J. Prediction of the apparent metabolizable energy content of fats fed to broiler chickens. Poult. Sci. 1991, 70, 1527–1533. [Google Scholar] [CrossRef] [PubMed]
- Vilà, B.; Esteve-Garcia, E. Studies on acid oils and fatty acids for chickens. II. Effect of free fatty acid content and degree of saturation of free fatty acids and neutral fat on fatty acid digestibility. Br. Poult. Sci. 1996, 37, 119–130. [Google Scholar] [CrossRef]
- Rodriguez-Sanchez, R.; Tres, A.; Sala, R.; Garcés-Narro, C.; Guardiola, F.; Gasa, J.; Barroeta, A.C. Effects of dietary free fatty-acid content and saturation degree on lipid-class composition and fatty-acid digestibility along the gastrointestinal tract in broiler starter chickens. Poult. Sci. 2019, 98, 4929–4941. [Google Scholar] [CrossRef]
- Jimenez-Moya, B.; Barroeta, A.C.; Tres, A.; Soler, M.D.; Sala, R. Soybean oil replacement by palm fatty acid distillate in broiler chicken diets: Fat digestibility and lipid-class content along the intestinal tract. Animals 2021, 11, 1035. [Google Scholar] [CrossRef]
- Oey, S.B.; Van der Fels-Klerx, H.J.; Fogliano, V.; Van Leeuwen, S.P.J. Mitigation strategies for the reduction of 2- and 3-MCPD esters and glycidyl esters in the vegetable oil processing industry. Compr. Rev. Food Sci. Food Saf. 2019, 18, 349–361. [Google Scholar] [CrossRef]
- Xie, D.; Zhou, H.; Jiang, X. Effect of chemical refining on the levels of bioactive components and hazardous substances in soybean oil. J. Food Meas. Charact. 2019, 13, 1423–1430. [Google Scholar] [CrossRef]
- Rostagno, H.S.; Albino, L.F.T.; Hannas, M.I.; Donzele, J.L.; Sakomura, N.K.; Perazzo, F.G.; Saraiva, A.; de Abreu, M.L.T.; Rodrigues, P.B.; de Oliveira, R.F.; et al. Tablas Brasileñas para Aves y Cerdos: Composición de Alimentos y Requerimientos Nutricionales, 4th ed.; Rostagno, H.S., Ed.; Universidad Federal de Viçosa: Viçosa, Brasil, 2017; ISBN 978-85-8179-122-7. [Google Scholar]
- FEDNA (Fundación Española para el Desarrollo de la Nutrición Animal). Normas FEDNA de Control de Calidad de Ingredientes para Piensos-Especificación Técnica de Materia Prima, Grasas y Aceites. 2002. Available online: http://www.fundacionfedna.org/sites/default/files/8_Grasas_y_aceites.pdf (accessed on 15 March 2021).
- Tres, A.; Magrinyà, N.; Bou, R.; Guardiola, F.; Nuchi, C.D.; Codony, R. Impact of the oxidative quality of fish oils in feeds on the composition and oxidative stability of chicken and rabbit meat. Anim. Feed Sci. Technol. 2014, 196, 76–87. [Google Scholar] [CrossRef]
- Winkler–Moser, J.K.; Hwang, H.S.; Kerr, B.J. Changes in markers of lipid oxidation and thermal treatment in feed-grade fats and oils. J. Sci. Food Agric. 2020, 100, 3328–3340. [Google Scholar] [CrossRef]
- Shurson, G.C.; Kerr, B.J.; Hanson, A.R. Evaluating the quality of feed fats and oils and their effects on pig growth performance. J. Anim. Sci. Biotechnol. 2015, 6, 10. [Google Scholar] [CrossRef]
- Varona, E.; Tres, A.; Rafecas, M.; Vichi, S.; Barroeta, A.C.; Guardiola, F. Methods to determine the quality of acid oils and fatty acid distillates used in animal feeding. MethodsX 2021, 8, 101334. [Google Scholar] [CrossRef]
- Schober, P.; Boer, C.; Schwarte, L.A. Correlation coefficients: Appropriate use and interpretation. Anesth. Analg. 2018, 126, 1763–1768. [Google Scholar] [CrossRef]
- Kuntom, A.; Siew, W.L.; Tan, Y.A. Characterization of palm acid oil. J. Am. Oil Chem. Soc. 1994, 71, 525–528. [Google Scholar] [CrossRef]
- FEDIOL—The European Vegetable Oil and Protein Meal Industry Association. Refining of Edible Oils. Available online: https://www.fediol.eu/web/refining/1011306087/list1187970096/f1.html (accessed on 14 April 2021).
- Ghazani, S.M.; Marangoni, A.G. Minor components in canola oil and effects of refining on these constituents: A review. J. Am. Oil Chem. Soc. 2013, 90, 923–932. [Google Scholar] [CrossRef]
- Vaisali, C.; Charanyaa, S.; Belur, P.D.; Regupathi, I. Refining of edible oils: A critical appraisal of current and potential technologies. Int. J. Food Sci. Technol. 2015, 50, 13–23. [Google Scholar] [CrossRef]
- O’Brien, R.D. Fats and oils processing. In Fats and Oils: Formulating and Processing for Applications, 2nd ed.; CRC Press LLC: Boca Raton, FL, USA, 2004. [Google Scholar]
- Gertz, C.; Aladedunye, F.; Matthäus, B. Oxidation and structural decomposition of fats and oils at elevated temperatures. Eur. J. Lipid Sci. Technol. 2014, 116, 1457–1466. [Google Scholar] [CrossRef]
- Codex Alimentarius. Standard for named vegetable oils (CXS 210-1999). In Codex Alimentarius, International Food Standards; Codex Alimentarius: Rome, Italy, 1999; Adopted in 1999; Revised in 2001, 2003, 2009, 2017, 2019; Amended in 2005, 2011, 2013, 2015, 2019. [Google Scholar]
- Choe, E.; Min, D.B. Comprehensive reviews in food science and food safety mechanisms and factors for edible oil oxidation. Compr. Rev. Food Sci. Food Saf. 2006, 5, 169–186. [Google Scholar] [CrossRef]
- Snyder, J.M.; Frankel, E.N.; Selke, E. Capillary gas chromatographic analyses of headspace volatiles from vegetable oils. J. Am. Oil Chem. Soc. 1985, 62, 1675–1679. [Google Scholar] [CrossRef]
- Wealleans, A.L.; Bierinckx, K.; Witters, E.; Benedetto, M.; Wiseman, J. Assessment of the quality, oxidative status and dietary energy value of lipids used in non-ruminant animal nutrition. J. Sci. Food Agric. 2021, 101, 4266–4277. [Google Scholar] [CrossRef] [PubMed]







| Refining Process | Group 1 | Botanical Origin | Subgroup: Different Mixtures | N | Total |
|---|---|---|---|---|---|
| Chemical refining (Acid oils, AO) | SCP | Blends of AO from seed oils, cocoa Butter, and palm oil | Cocoa butter, rapeseed, soybean, and palm oils (40/30/20/10) | 2 | 12 |
| Cocoa butter, palm, and seed oils 2 | 10 | ||||
| SP | Blends of AO from seed and palm oils | Soybean, rapeseed, and palm oils (40/40/20) | 2 | 5 | |
| Sunflower, soybean, palm, corn, and rapeseed oils 2 | 3 | ||||
| O | AO from olive pomace oil and blends of AO from olive pomace and olive oils | Olive pomace oil | 13 | 18 | |
| Olive pomace and olive oils (90/10) | 5 | ||||
| BS | Blends of AO from seed oils | Sunflower (80–90), rapeseed (20–10), and traces of palm and palm kernel oils and palm stearin 3 | 1 | 9 | |
| Sunflower, corn, and grapeseed oils (40/30/30) | 3 | ||||
| Sunflower, soybean, and corn oils 2 | 3 | ||||
| Sunflower, high oleic sunflower, soybean, corn, and olive pomace oils 2 | 2 | ||||
| SU | AO from sunflower oil | Sunflower oil | 18 | 18 | |
| SU-SO | Blends of AO from sunflower and soybean oils | Sunflower and soybean oils 2 | 4 | 15 | |
| Sunflower and soybean oils (10/90) | 7 | ||||
| Sunflower and soybean oils (80/20) | 2 | ||||
| Sunflower and soybean oils (90/10) | 2 | ||||
| SO | AO from soybean oil | Soybean oil | 2 | 2 | |
| Physical refining (Fatty acid distillates, FAD) | LFAD | FAD from coconut oil and blends of FAD from coconut and palm kernel oils (lauric oils) | Coconut oil | 2 | 5 |
| Coconut and palm kernel oils 2 | 3 | ||||
| PFAD | FAD from palm oil | Palm oil | 6 | 6 | |
| OFAD | FAD from olive pomace and olive oils | Olive pomace oil | 1 | 2 | |
| Olive oil | 1 |
| Parameter | Acid Oils (AO, n = 79) | Fatty Acid Distillates (FAD, n = 13) | p 1 | ||||||
|---|---|---|---|---|---|---|---|---|---|
| Mean ± SD | Median | Min | Max | Mean ± SD | Median | Min | Max | ||
| C12:0 (%) | 0.1 ± 0.91 | 0.0 | 0.0 | 8.1 | 13.1 ± 17.07 | 0.3 | 0.0 | 36.4 | <0.001 |
| C14:0 (%) | 0.2 ± 0.40 | 0.1 | 0.1 | 3.6 | 8.0 ± 9.63 | 1.2 | 0.0 | 24.0 | <0.001 |
| C16:0 (%) | 13.6 ± 4.14 | 13.0 | 8.1 | 25.2 | 29.1 ± 16.44 | 18.9 | 10.3 | 47.5 | 0.001 |
| C18:0 (%) | 6.9 ± 6.93 | 3.9 | 2.3 | 25.0 | 4.5 ± 1.74 | 4.5 | 1.8 | 8.2 | 0.594 |
| C18:1 n-9 (%) | 40.5 ± 14.74 | 36.6 | 21.1 | 67.1 | 31.7 ± 21.05 | 35.7 | 9.3 | 71.6 | 0.173 |
| C18:2 n-6 (%) | 32.1 ± 18.07 | 36.8 | 10.2 | 59.2 | 6.6 ± 3.37 | 8.5 | 2.3 | 10.8 | <0.001 |
| C18:3 n-3 (%) | 1.4 ± 1.03 | 1.1 | 0.2 | 5.3 | 0.3 ± 0.32 | 0.3 | 0.0 | 1.2 | <0.001 |
| SFA (%) 2 | 23.0 ± 10.62 | 18.5 | 14.2 | 49.1 | 59.8 ± 25.74 | 53.8 | 12.8 | 87.6 | <0.001 |
| cis-MUFA (%) 2 | 42.5 ± 15.31 | 38.1 | 22.7 | 69.5 | 33.0 ± 22.43 | 36.7 | 9.6 | 76.8 | 0.121 |
| trans-C18:1 (%) 2 | 0.9 ± 0.82 | 0.7 | 0.0 | 4.5 | 0.2 ± 0.10 | 0.2 | 0.1 | 0.5 | <0.001 |
| n-6 PUFA (%) 2 | 32.2 ± 18.05 | 36.8 | 10.2 | 59.2 | 6.7 ± 3.39 | 8.5 | 2.3 | 10.9 | <0.001 |
| n-3 PUFA (%) 2 | 1.4 ± 1.03 | 1.1 | 0.2 | 5.3 | 0.3 ± 0.32 | 0.3 | 0.0 | 1.2 | <0.001 |
| UFA/SFA ratio 3 | 4.0 ± 1.38 | 4.4 | 1.0 | 6.1 | 1.4 ± 2.13 | 0.9 | 0.1 | 6.8 | <0.001 |
| T (mg/kg) | 1167.1 ± 1234.52 | 813.1 | 126.1 | 8464.4 | 113.8 ± 117.93 | 65.6 | 1.8 | 350.0 | <0.001 |
| T3 (mg/kg) | 48.3 ± 80.21 | 21.8 | 0.0 | 454.7 | 179.9 ± 194.13 | 89.3 | 0.0 | 513.9 | 0.065 |
| T + T3 (mg/kg) | 1215.4 ± 1247.57 | 840.7 | 126.1 | 8514.0 | 293.7 ± 287.64 | 192.0 | 1.8 | 853.7 | <0.001 |
| PV (meq O2/kg) | 1.0 ± 1.12 | 0.8 | 0.0 | 6.5 | 1.0 ± 0.88 | 1.0 | 0.0 | 3.3 | 0.791 |
| p-AnV | 18.4 ± 9.39 | 16.4 | 6.2 | 54.5 | 36.1 ± 20.31 | 36.4 | 11.1 | 62.1 | 0.006 |
| POL (%) 4 | 2.6 ± 1.58 | 2.5 | ND | 6.8 | ND | ND | ND | ND | <0.001 |
| IT (h) 5 | 31.1 ± 36.83 | 20.5 | 1.0 | 192.9 | 8.1 ± 17.26 | 0.7 | 0.3 | 61.9 | <0.001 |
| Parameter | AO (n = 69) 1 | FAD (n = 13) |
|---|---|---|
| PV | NS | NS |
| p-AnV | NS | –0.577 * |
| POL | –0.375 ** | NA |
| SFA | 0.507 ** | 0.819 ** |
| cis-MUFA | NS | –0.819 ** |
| trans-C18:1 | –0.264 * | NS |
| n-6 PUFA | NS | –0.758 ** |
| n-3 PUFA | NS | –0.830 ** |
| UFA/SFA ratio | –0.507 ** | –0.819 ** |
| T | NS | NS |
| T3 | NS | NS |
| T + T3 | NS | NS |
Publisher’s Note: MDPI stays neutral with regard to jurisdictional claims in published maps and institutional affiliations. |
© 2021 by the authors. Licensee MDPI, Basel, Switzerland. This article is an open access article distributed under the terms and conditions of the Creative Commons Attribution (CC BY) license (https://creativecommons.org/licenses/by/4.0/).
Share and Cite
Varona, E.; Tres, A.; Rafecas, M.; Vichi, S.; Sala, R.; Guardiola, F. Oxidative Quality of Acid Oils and Fatty Acid Distillates Used in Animal Feeding. Animals 2021, 11, 2559. https://doi.org/10.3390/ani11092559
Varona E, Tres A, Rafecas M, Vichi S, Sala R, Guardiola F. Oxidative Quality of Acid Oils and Fatty Acid Distillates Used in Animal Feeding. Animals. 2021; 11(9):2559. https://doi.org/10.3390/ani11092559
Chicago/Turabian StyleVarona, Elisa, Alba Tres, Magdalena Rafecas, Stefania Vichi, Roser Sala, and Francesc Guardiola. 2021. "Oxidative Quality of Acid Oils and Fatty Acid Distillates Used in Animal Feeding" Animals 11, no. 9: 2559. https://doi.org/10.3390/ani11092559
APA StyleVarona, E., Tres, A., Rafecas, M., Vichi, S., Sala, R., & Guardiola, F. (2021). Oxidative Quality of Acid Oils and Fatty Acid Distillates Used in Animal Feeding. Animals, 11(9), 2559. https://doi.org/10.3390/ani11092559

