Cryptosporidium spp. Infections in Combination with Other Enteric Pathogens in the Global Calf Population
Abstract
Simple Summary
Abstract
1. Introduction
2. Materials and Methods
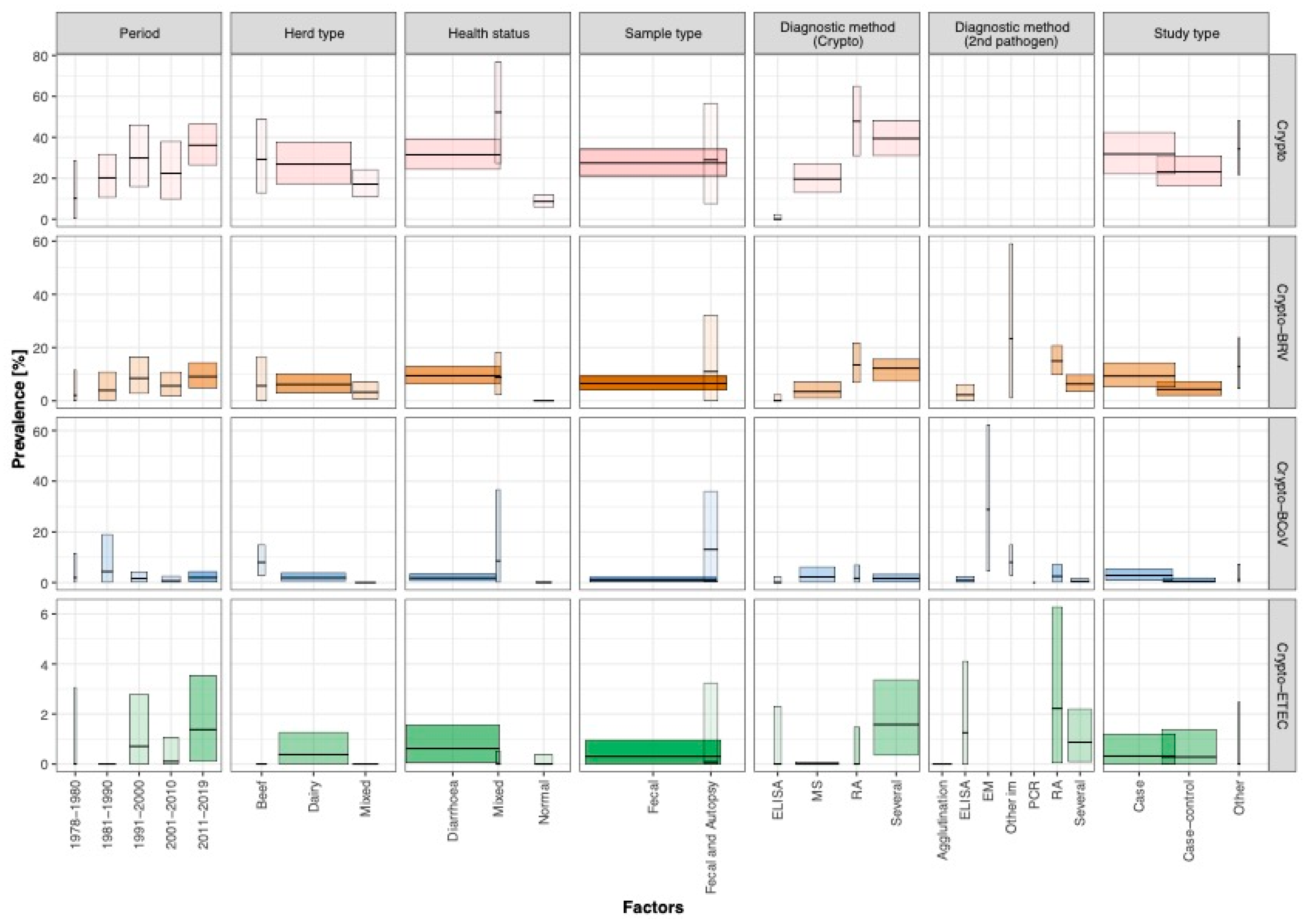
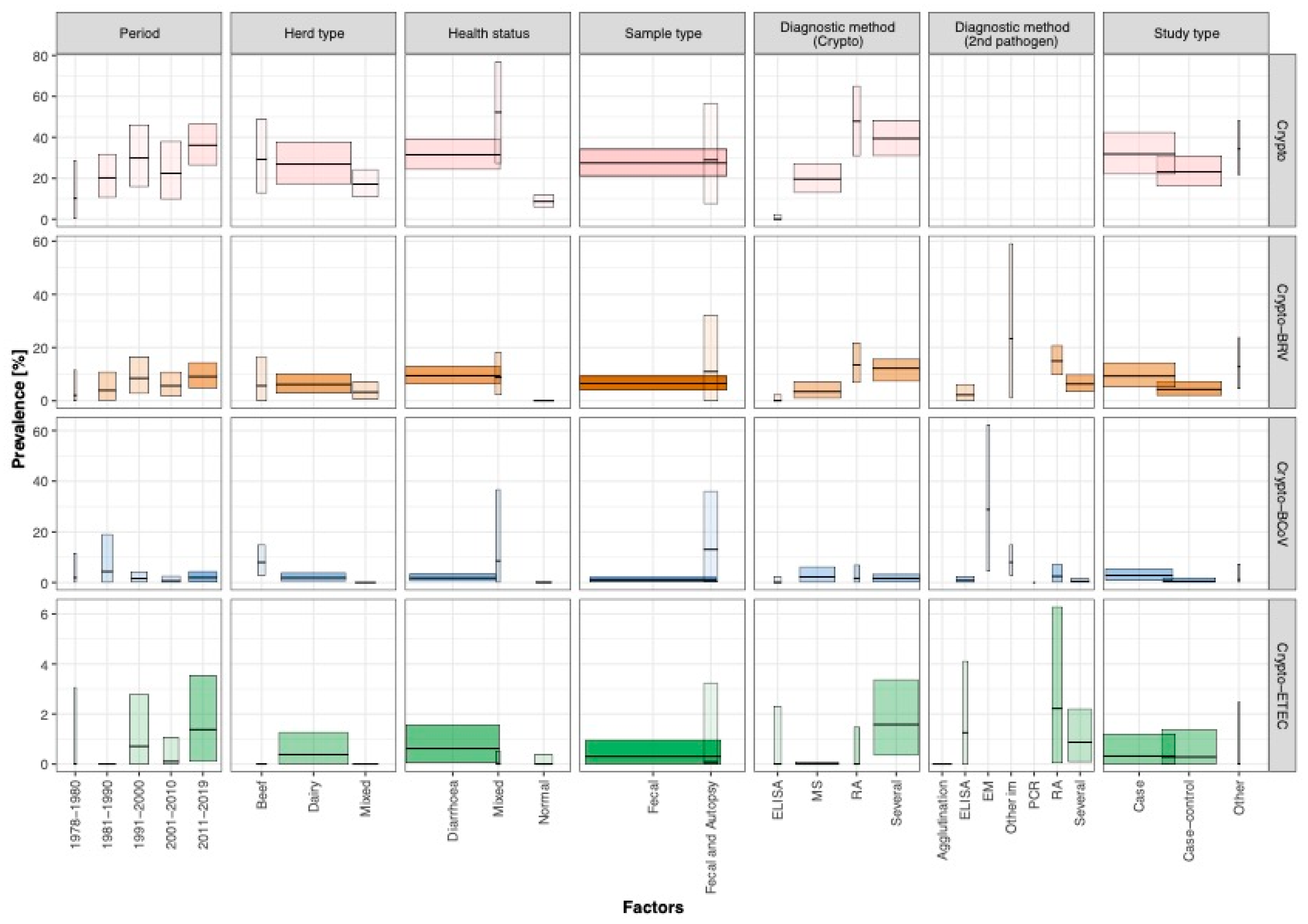
3. Results
4. Discussion
5. Conclusions
Supplementary Materials
Author Contributions
Funding
Institutional Review Board Statement
Informed Consent Statement
Data Availability Statement
Acknowledgments
Conflicts of Interest
References
- Acres, S.D. Enterotoxigenic Escherichia coli infections in newborn calves: A review. J. Dairy Sci. 1985, 68, 229–256. [Google Scholar] [CrossRef]
- Tzipori, S. The relative importance of enteric pathogens affecting neonates of domestic animals. Adv. Vet. Sci. Comp. Med. 1985, 29, 103–206. [Google Scholar] [PubMed]
- Snodgrass, D.R.R.; Terzolo, H.R.; Sherwood, D.; Campbell, I.; Menzies, J.D.; Synge, B.A. Aetiology of diarrhoea in young calves. Vet. Rec. 1986, 119, 31–34. [Google Scholar] [CrossRef] [PubMed]
- Krogh, H.V.; Henriksen, S.A. Bovine cryptosporidiosis in Denmark. 2. Cryptosporidia associated with neonatal calf diarrhea. Nord. Vet. Med. 1985, 37, 42–47. [Google Scholar] [PubMed]
- Santín, M.; Trout, J.M.; Fayer, R. A longitudinal study of cryptosporidiosis in dairy cattle from birth to 2 years of age. Vet. Parasitol. 2008, 155, 15–23. [Google Scholar] [CrossRef]
- Checkley, W.; White, A.C.J.; Jaganath, D.; Arrowood, M.J.; Chalmers, R.M.; Chen, X.-M.; Fayer, R.; Griffiths, J.K.; Guerrant, R.L.; Hedstrom, L.; et al. A review of the global burden, novel diagnostics, therapeutics, and vaccine targets for cryptosporidium. Lancet Infect. Dis. 2015, 15, 85–94. [Google Scholar] [CrossRef]
- Anderson, E.J.; Weber, S.G. Rotavirus infection in adults. Lancet Infect. Dis. 2004, 4, 91–99. [Google Scholar] [CrossRef]
- Scharnböck, B.; Roch, F.-F.; Richter, V.; Funke, C.; Firth, C.L.; Obritzhauser, W.; Baumgartner, W.; Käsbohrer, A.; Pinior, B. A meta-analysis of bovine viral diarrhoea virus (BVDV) prevalences in the global cattle population. Sci. Rep. 2018, 8, 14420. [Google Scholar] [CrossRef]
- Brunauer, M.; Roch, F.-F.; Conrady, B. Prevalence of Worldwide Neonatal Calf Diarrhoea. Caused by Bovine Rotavirus in Combination with Bovine Coronavirus, Escherichia coli K99 and Cryptosporidium spp.: A Meta-Analysis. Animals 2021, 11, 1014. [Google Scholar] [CrossRef]
- Pinior, B.; Garcia, S.; Minviel, J.J.; Raboisson, D. Epidemiological factors and mitigation measures influencing production losses in cattle due to bovine viral diarrhoea virus infection: A meta-nalysis. Transbound. Emerg. Dis. 2019, 66, 2426–2439. [Google Scholar] [CrossRef]
- Raboisson, D.; Ferchiou, A.; Pinior, B.; Gautier, T.; Sans, P.; Lhermie, G. The Use of Meta-Analysis for the Measurement of Animal Disease Burden: Losses Due to Clinical Mastitis as an Example. Front. Vet. Sci. 2020, 7, 149. [Google Scholar] [CrossRef]
- Viechtbauer, W. Conducting meta-analyses in R with the metafor package. J. Stat. Softw. 2010, 36, 1–48. [Google Scholar] [CrossRef]
- Pearson, R. GoodmanKruskal: Association Analysis for Categorical Variables. R Package. Version 0.0.3. 2020. Available online: https://cran.r-project.org/web/packages/GoodmanKruskal/index.html (accessed on 6 March 2021).
- Cho, Y.-I.; Yoon, K.-J. An overview of calf diarrhea—infectious etiology, diagnosis, and intervention. J. Vet. Sci. 2014, 15, 1–17. [Google Scholar] [CrossRef] [PubMed]
- Foster, D.M.; Smith, G.W. Pathophysiology of diarrhea in calves. Vet. Clin. N. Am. Food Anim. Pract. 2009, 25, 13–36. [Google Scholar] [CrossRef] [PubMed]
- Gillhuber, J.; Rügamer, D.; Pfister, K.; Scheuerle, M.C. Giardiosis and other enteropathogenic infections: A study on diarrhoeic calves in Southern Germany. BMC Res. Notes 2014, 7, 1–9. [Google Scholar] [CrossRef]
- Pinior, B.; Firth, C.L.; Richter, V.; Lebl, K.; Trauffler, M.; Dzieciol, M.; Hutter, S.E.; Burgstaller, J.; Obritzhauser, W.; Winter, P.; et al. A systematic review of financial and economic assessments of bovine viral diarrhea virus (BVDV) prevention and mitigation activities worldwide. Prev. Vet. Med. 2017, 137, 77–92. [Google Scholar] [CrossRef]
- Richter, V.; Lebl, K.; Baumgartner, W.; Obritzhauser, W.; Käsbohrer, A.; Pinior, B. A systematic worldwide review of the direct monetary losses in cattle due to bovine viral diarrhoea virus infection. Vet. J. 2017, 220, 80–87. [Google Scholar] [CrossRef]
- Marschik, T.; Obritzhauser, W.; Wagner, P.; Richter, V.; Mayerhofer, M.; Egger-Danner, C.; Käsbohrer, A.; Pinior, B. A cost-benefit analysis and the potential trade effects of the bovine viral diarrhoea eradication programme in Styria, Austria. Vet. J. 2018, 231, 19–29. [Google Scholar] [CrossRef]
- Richter, V.; Kattwinkel, E.; Firth, C.L.; Marschik, T.; Dangelmaier, M.; Trauffler, M.; Obritzhauser, W.; Baumgartner, W.; Käsbohrer, A.; Pinior, B. Mapping the global prevalence of bovine viral diarrhoea virus infection and its associated mitigation programmes. Vet. Rec. 2019, 184, 711. [Google Scholar] [CrossRef]
- Burgstaller, J.; Obritzhauser, W.; Kuchling, S.; Kopacka, I.; Pinior, B.; Köfer, J. The effect of bovine viral diarrhoea virus on fertility in dairy cows: Two case-control studies in the province of Styria, Austria. Berl. Munch. Tierarztl. Wochenschr. 2015, 129, 103–110. [Google Scholar] [CrossRef]
- OIE. Cryptosporidiosis. In Terrestrial Manual, 8th ed.; OIE: Paris, France, 2018; pp. 1678–1692. [Google Scholar]
- Kiehl, W. RKI-Fachwörterbuch Infektionsschutz Und Infektionsepidemiologie; Robert-Koch-Institut: Berlin, Germany, 2015. [Google Scholar]
- Windeyer, M.C.; Leslie, K.E.; Godden, S.M.; Hodgins, D.C.; Lissemore, K.D.; LeBlanc, S.J. Factors associated with morbidity, mortality, and growth of dairy heifer calves up to 3 months of age. Prev. Vet. Med. 2014, 113, 231–240. [Google Scholar] [CrossRef]
- Mohammed, H.O.; Wade, S.E.; Schaaf, S. Risk factors associated with Cryptosporidium parvum infection in dairy cattle in southeastern New York State. Vet. Parasitol. 1999, 83, 1–13. [Google Scholar] [CrossRef]
- Klein-Jöbstl, D.; Arnholdt, T.; Sturmlechner, F.; Iwersen, M.; Drillich, M. Results of an online questionnaire to survey calf management practices on dairy cattle breeding farms in Austria and to estimate differences in disease incidences depending on farm structure and management practices. Acta Vet. Scand. 2015, 57, 1–10. [Google Scholar] [CrossRef]
- Silverlås, C.; Emanuelson, U.; de Verdier, K.; Björkman, C. Prevalence and associated management factors of Cryptosporidium shedding in 50 Swedish dairy herds. Prev. Vet. Med. 2009, 90, 242–253. [Google Scholar] [CrossRef]
- Gulliksen, S.M.; Jor, E.; Lie, K.I.; Hamnes, I.S.; Løken, T.; Akerstedt, J.; Osterås, O.; Åkerstedt, J.; Østerås, O. Enteropathogens and risk factors for diarrhea in Norwegian dairy calves. J. Dairy Sci. 2009, 92, 5057–5066. [Google Scholar] [CrossRef]
- Kohara, J.; Hirai, T.; Mori, K.; Ishizaki, H.; Tsunemitsu, H. Enhancement of passive immunity with maternal vaccine against newborn calf diarrhea. J. Vet. Med. Sci. 1997, 59, 1023–1025. [Google Scholar] [CrossRef] [PubMed]
- Fayer, R.; Gasbarre, L.; Pasquali, P.; Canals, A.; Almeria, S.; Zarlenga, D. Cryptosporidium parvum infection in bovine neonates: Dynamic clinical, parasitic and immunologic patterns. Int. J. Parasitol. 1998, 28, 49–56. [Google Scholar] [CrossRef]
- Izzo, M.M.; Kirkland, P.D.; Mohler, V.L.; Perkins, N.R.; Gunn, A.A.; House, J.K. Prevalence of Major Enteric Pathogens in Australian Dairy Calves with Diarrhoea. Aust. Vet. J. 2011, 89, 167–173. [Google Scholar] [CrossRef] [PubMed]
- Krogh, H.V. Occurrence of enterotoxigenic Escherichia coli in calves with acute neonatal diarrhoea. Nord. Vet. Med. 1983, 35, 346–352. [Google Scholar] [PubMed]
- García, A.; Ruiz-Santa-Quiteria, J.A.; Orden, J.A.; Cid, D.; Sanz, R.; Gómez-Bautista, M.; de la Fuente, R. Rotavirus and concurrent infections with other enteropathogens in neonatal diarrheic dairy calves in Spain. Comp. Immunol. Microbiol. Infect. Dis. 2000, 23, 175–183. [Google Scholar] [CrossRef]




| Univariate (Crypto) | Univariate (Crypto-BRV) | Univariate (Crypto-BCoV) | Univariate (Crypto-ETEC) | ||||||||
|---|---|---|---|---|---|---|---|---|---|---|---|
| Factors | R2 | pa | Factors | R2 | pa | Factors | R2 | pa | Factors | R2 | pa |
| Region | 11.4 | 0.1 * | Region | 12.0 | 0.1 * | Region | 5.9 | 0.2 | Region | 23.6 | 0.0 * |
| Period | 2.3 | 0.3 * | Period | 0.0 | 0.5 | Period | 0.0 | 0.9 | Period | 14.7 | 0.0 * |
| Number of herds | 0.0 | 0.7 | Number of herds | 0.0 | 0.6 | Number of herds | 0.0 | 1.0 | Number of herds | 0.0 | 0.9 |
| Herd type | 3.1 | 0.2 * | Herd type | 4.3 | 0.2 * | Herd type | 6.5 | 0.2 * | Herd type | 16.1 | 0.0 * |
| Age class | 0.0 | 0.8 | Age class | 0.0 | 0.5 | Age class | 0.0 | 0.8 | Age class | 5.1 | 0.2 * |
| Health status | 20.7 | 0.0 ** | Health status | 27.3 | <0.0 ** | Health status | 17.1 | 0.0 ** | Health status | 1.4 | 0.3 |
| Sample size | 0.0 | 0.7 | Sample size | 0.0 | 0.7 | Sample size | 0.0 | 0.4 | Sample size | 15.9 | 0.0 ** |
| Sample type | 0.0 | 0.9 | Sample type | 0.0 | 0.6 | Sample type | 13.1 | 0.0 ** | Sample type | 0.0 | 0.9 |
| Diagnostic Crypto | 40.3 | 0.0 ** | Diagnostic Crypto | 22.8 | <0.0 * | Diagnostic Crypto | 0.0 | 0.8 | Diagnostic Crypto | 20.7 | 0.0 ** |
| - | - | - | Diagnostic BRV | 22.5 | <0.0 ** | Diagnostic BCoV | 39.0 | <0.0 ** | Diagnostic ETEC | 26.2 | 0.0 ** |
| Study type | 0.0 | 0.4 | Study type | 4.5 | 0.1 * | Study type | 5.1 | 0.2 * | Study type | 0.0 | 0.8 |
| Multivariate (Crypto) | Multivariate (Crypto-BRV) | Multivariate (Crypto-BCoV) | Multivariate (Crypto-ETEC) | ||||||||
| Number of Factors | R2 | AICc b | Number of Factors | R2 | AICc b | Number of Factors | R2 | AICc b | Number of Factors | R2 | AICc b |
| Full Model (n = 5; p < 0.25 *) | 59.0 | 15.4 | Full Model (n = 6; p < 0.25 *) | 46.2 | –4.6 | Full Model (n = 5; p < 0.25 *) | 53.9 | –45.9 | Full Model (n = 7; p < 0.25 *) | 47.3 | –7.2 |
| Reduced Model (n = 2 **) | 60.7 | −23.6 | Reduced Model (n = 2 **) | 49.5 | –48.2 | Reduced Model (n = 3 **) | 49.8 | –55.1 | Reduced Model (n = 3 **) | 58.3 | –93.7 |
Publisher’s Note: MDPI stays neutral with regard to jurisdictional claims in published maps and institutional affiliations. |
© 2021 by the authors. Licensee MDPI, Basel, Switzerland. This article is an open access article distributed under the terms and conditions of the Creative Commons Attribution (CC BY) license (https://creativecommons.org/licenses/by/4.0/).
Share and Cite
Conrady, B.; Brunauer, M.; Roch, F.-F. Cryptosporidium spp. Infections in Combination with Other Enteric Pathogens in the Global Calf Population. Animals 2021, 11, 1786. https://doi.org/10.3390/ani11061786
Conrady B, Brunauer M, Roch F-F. Cryptosporidium spp. Infections in Combination with Other Enteric Pathogens in the Global Calf Population. Animals. 2021; 11(6):1786. https://doi.org/10.3390/ani11061786
Chicago/Turabian StyleConrady, Beate, Michael Brunauer, and Franz-Ferdinand Roch. 2021. "Cryptosporidium spp. Infections in Combination with Other Enteric Pathogens in the Global Calf Population" Animals 11, no. 6: 1786. https://doi.org/10.3390/ani11061786
APA StyleConrady, B., Brunauer, M., & Roch, F.-F. (2021). Cryptosporidium spp. Infections in Combination with Other Enteric Pathogens in the Global Calf Population. Animals, 11(6), 1786. https://doi.org/10.3390/ani11061786

