Effect of Media with Different Glycerol Concentrations on Sheep Red Blood Cells’ Viability In Vitro
Abstract
Simple Summary
Abstract
1. Introduction
2. Materials and Methods
2.1. Reagents and Animals
2.2. Intracellular Glycerol Assay
2.3. Haemolysis
2.4. Osmolality Measurement
2.5. ROS Assay
2.6. SOD, TEAC, Total Thiols, and MDA Assays
2.6.1. SOD Assay
2.6.2. Total Thiols
2.6.3. TEAC Assay
2.6.4. MDA Assay
2.7. Ca2+ Ions Assay
2.8. Extraction and Measurement of Intracellular ATP
2.9. ROS Production Using Solutes with Different Osmolality without Glycerol
2.10. Statistical Analysis
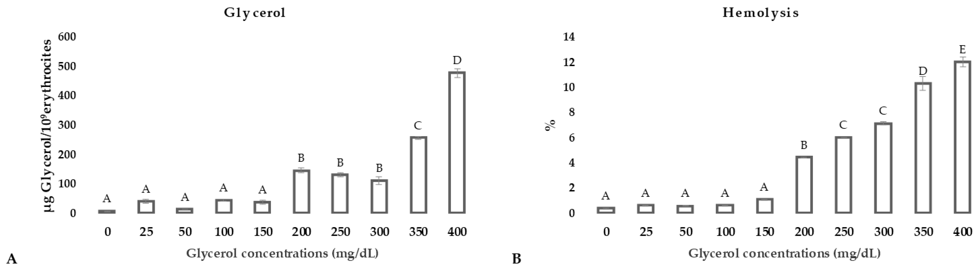
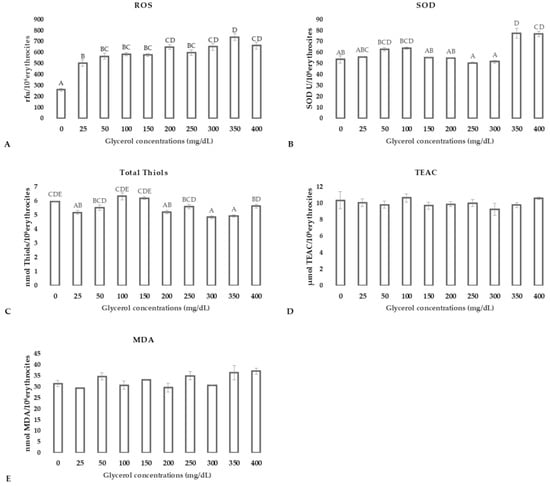
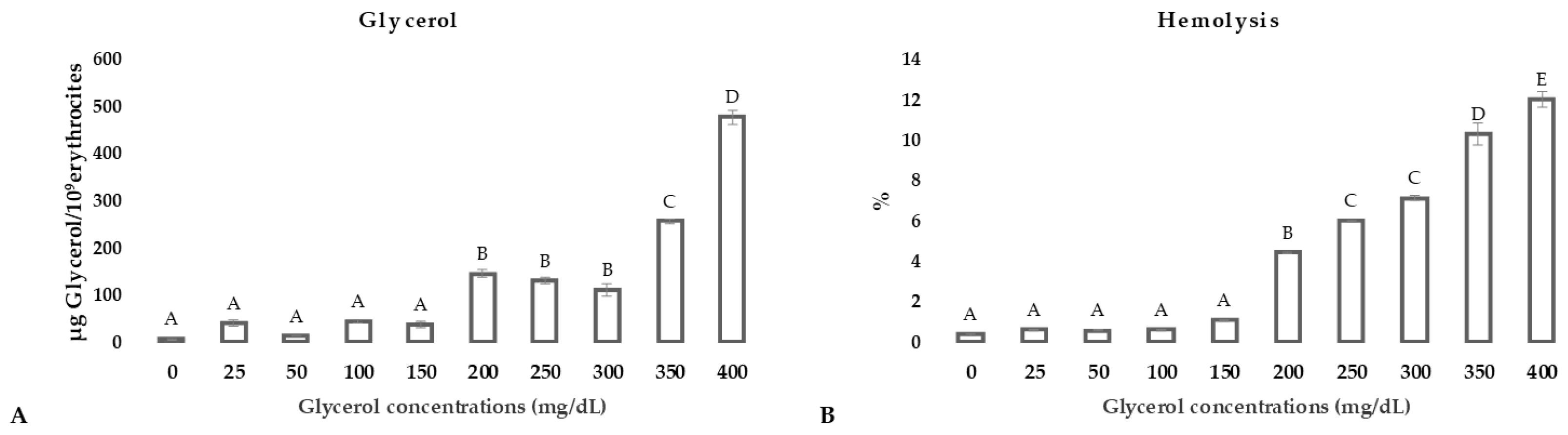
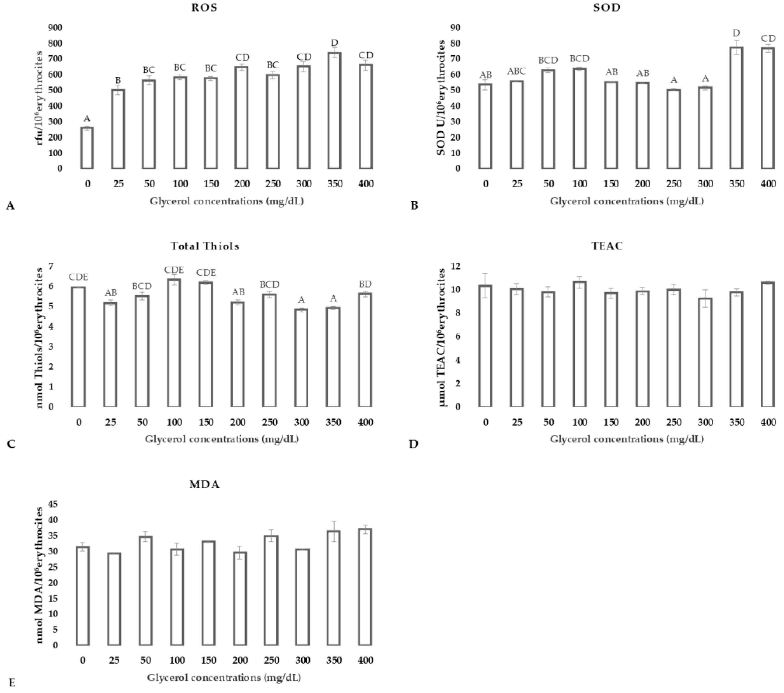
3. Results
4. Discussion
5. Conclusions
Author Contributions
Funding
Institutional Review Board Statement
Data Availability Statement
Conflicts of Interest
References
- Van Cleef, E.H.C.B.; Uwituze, S.; Alvarado-Gilis, C.A.; Miller, K.A.; Van Bibber-Krueger, C.L.; Aperce, C.C.; Drouillard, J.S. Elevated concentrations of crude glycerin in diets for beef cattle: Feedlot performance, carcass traits and ruminal metabolism. J. Anim. Sci. 2019, 97, 4341–4348. [Google Scholar] [CrossRef]
- Gunn, P.J.; Neary, M.K.; Lemenager, R.P.; Lake, S.L. Effects of crude glycerin on performance and carcass characteristics of finishing wether lambs. J. Anim. Sci. 2010, 88, 1771–1776. [Google Scholar] [CrossRef]
- Almeida, M.T.C.; Paschoaloto, J.R.; Perez, H.L.; Carvalho, V.B.; Homem Junior, A.C.; Favaro, V.R.; Blair, H.T.; Ezequiel, J.M.B. Effect of adding crude glycerine to diets with feed additives on the feed intake, ruminal degradability, volatile fatty acid concentrations and in vitro gas production of feedlot Nellore cattle. J. Anim. Physiol. Anim. Nutr. 2019, 103, 988–996. [Google Scholar] [CrossRef]
- Khattab, M.S.A. Glycerol as Feedstuff for Ruminant. Sci. Int. 2015, 3, 90–94. [Google Scholar] [CrossRef]
- Carvalho, V.B.; Leite, R.F.; Almeida, M.T.C.; Paschoaloto, J.R.; Carvalho, E.B.; Lanna, D.P.D.; Perez, H.L.; Van Cleef, E.H.C.B.; Homem Junior, A.C.; Ezequiel, J.M.B. Carcass characteristics and meat quality of lambs fed high concentrations of crude glycerin in low-starch diets. Meat Sci. 2015, 110, 285–292. [Google Scholar] [CrossRef] [PubMed]
- Berlinguer, F.; Gonzalez-Bulnes, A.; Contreras-Solis, I.; Spezzigu, A.; Torres-Rovira, L.; Succu, S.; Naitana, S.; Leoni, G.G. Glucogenic supply increases oocyte developmental competence in sheep. Reprod. Fertil. Dev. 2012, 24, 1055–1062. [Google Scholar] [CrossRef]
- Porcu, C.; Pasciu, V.; Succu, S.; Baralla, E.; Manca, M.E.E.; Serra, E.; Leoni, G.G.G.; Dattena, M.; Bomboi, G.C.C.; Molle, G.; et al. Glucogenic treatment creates an optimal metabolic milieu for the conception period in ewes. Domest. Anim. Endocrinol. 2017, 59, 105–115. [Google Scholar] [CrossRef] [PubMed]
- Novais-Eiras, D.; de Carvalho, G.G.P.; Leite, L.C.; Eiras, C.E.; de Freitas, J.E.; dos Pina, D.S.; Ferreira, F.G.; dos Santos, G.T.; Grande, P.A. Crude glycerin in the feed supplementation of lactating goats on pasture. Small Rumin. Res. 2018, 168, 39–46. [Google Scholar] [CrossRef]
- Polizel, D.M.; Susin, I.; Gentil, R.S.; Ferreira, E.M.; de Souza, R.A.; Freire, A.P.A.; Pires, A.V.; Ferraz, M.V.C.; Rodrigues, P.H.M.; Eastridge, M.L. Crude glycerin decreases nonesterified fatty acid concentration in ewes during late gestation and early lactation. J. Anim. Sci. 2017, 95, 875–883. [Google Scholar] [CrossRef] [PubMed]
- Thoh, D.; Pakdeechanuan, P.; Chanjula, P. Effect of supplementary glycerin on milk composition and heat stability in dairy goats. Asian-Australas. J. Anim. Sci. 2017, 30, 1711–1717. [Google Scholar] [CrossRef] [PubMed]
- Webb, R.; Buratini, J.; Hernandez-Medrano, J.H.; Gutierrez, C.G.; Campbell, B.K. Follicle development and selection: Past, present and future. Anim. Reprod. 2016, 13, 234–249. [Google Scholar] [CrossRef]
- Gutierrez, C.G.; Ferraro, S.; Martinez, V.; Saharrea, A.; Cortez, C.; Lassala, A.; Basurto, H.; Hernandez, J. Increasing ovulation quota: More than a matter of energy. Acta Sci. Vet. 2011, 39, 305–316. [Google Scholar]
- Carlsen, A.; Wieth, J.O. Glycerol Transport in Human Red Cells. Acta Physiol. Scand. 1976, 97, 501–513. [Google Scholar] [CrossRef]
- Scott, L. A Chapter 7 Diffusion Across a Sheep Red Blood Cell Membrane. Cell 1993, 14, 115–140. [Google Scholar]
- Porcu, C.; Manca, C.; Cabiddu, A.; Dattena, M.; Gallus, M.; Pasciu, V.; Succu, S.; Naitana, S.; Berlinguer, F.; Molle, G. Effects of short-term administration of a glucogenic mixture at mating on feed intake, metabolism, milk yield and reproductive performance of lactating dairy ewes. Anim. Feed Sci. Technol. 2018, 243, 10–21. [Google Scholar] [CrossRef]
- Porcu, C.; Sotgiu, F.D.; Pasciu, V.; Cappai, M.G.; Barbero-Fernández, A.; Gonzalez-Bulnes, A.; Dattena, M.; Gallus, M.; Molle, G.; Berlinguer, F. Administration of glycerol-based formulations in sheep results in similar ovulation rate to eCG but red blood cell indices may be affected. BMC Vet. Res. 2020, 16, 207. [Google Scholar] [CrossRef]
- Bizjak, D.A.; Jungen, P.; Bloch, W.; Grau, M. Cryopreservation of red blood cells: Effect on rheologic properties and associated metabolic and nitric oxide related parameters. Cryobiology 2018. [Google Scholar] [CrossRef] [PubMed]
- Hoffmann, E.K.; Lambert, I.H.; Pedersen, S.F. Physiology of cell volume regulation in vertebrates. Physiol. Rev. 2009, 89, 193–277. [Google Scholar] [CrossRef] [PubMed]
- Valeri, C.R.; Ragno, G. Cryopreservation of human blood products. Transfus. Apher. Sci. 2006. [Google Scholar] [CrossRef]
- Narla, J.; Mohandas, N. Red cell membrane disorders. Int. J. Lab. Hematol. 2017, 39, 47–52. [Google Scholar] [CrossRef]
- Glogowska, E.; Gallagher, P.G. Disorders of erythrocyte volume homeostasis. Int. J. Lab. Hematol. 2015, 37, 85–91. [Google Scholar] [CrossRef]
- Arakawa, M.; Kondo, T.; Mitsui, H.; Suzuki, S.; Shiba, M. Glycerol-induced hemolysis of mammalian erythrocytes and inhibition of the lysis by fructose. Nihon Yakurigaku Zasshi 1977, 73, 541–547. [Google Scholar] [CrossRef]
- Zou, C.-G.; Agar, N.S.; Jones, G.L. Haemolysis of human and sheep red blood cells in glycerol media: The effect of pH and the role of band 3. Comp. Biochem. Physiol. Part A Mol. Integr. Physiol. 2000, 127, 347–353. [Google Scholar] [CrossRef]
- Bissinger, R.; Bhuyan, A.A.M.; Qadri, S.M.; Lang, F. Oxidative stress, eryptosis and anemia: A pivotal mechanistic nexus in systemic diseases. FEBS J. 2019, 286, 826–854. [Google Scholar] [CrossRef]
- Gagnon, K.B.E.; England, R.; Delpire, E. Characterization of SPAK and OSR1, Regulatory Kinases of the Na-K-2Cl Cotransporter. Mol. Cell. Biol. 2006. [Google Scholar] [CrossRef] [PubMed]
- Friis, M.B.; Vorum, K.G.; Lambert, I.H. Volume-sensitive NADPH oxidase activity and taurine efflux in NIH3T3 mouse fibroblasts. Am. J. Physiol. Cell Physiol. 2008. [Google Scholar] [CrossRef][Green Version]
- Slatter, D.A.; Bolton, C.H.; Bailey, A.J. The importance of lipid-derived malondialdehyde in diabetes mellitus. Diabetologia 2000, 43, 550–557. [Google Scholar] [CrossRef] [PubMed]
- Repsold, L.; Joubert, A.M. Eryptosis: An Erythrocyte’s Suicidal Type of Cell Death. Biomed. Res. Int. 2018, 2018, 1–10. [Google Scholar] [CrossRef] [PubMed]
- Chaudhary, M.K.; Singh, S.; Rizvi, S.I. Redox imbalance in a model of rat mimicking Hutchinson-Gilford progeria syndrome. Biochem. Biophys. Res. Commun. 2017. [Google Scholar] [CrossRef] [PubMed]
- Bordin, L.; Zen, F.; Ion-Popa, F.; Barbetta, M.; Baggio, B.; Clari, G. Band 3 tyr-phosphorylation in normal and glucose-6-phospate dehydrogenase-deficient human erythrocytes. Mol. Membr. Biol. 2005. [Google Scholar] [CrossRef]
- Koc, F.; Atli, G.; Menziletoglu, S.Y.; Kose, S. Antioxidant imbalance in the erythrocytes of Myotonic dystrophy Type 1 patients. Arch. Biochem. Biophys. 2020. [Google Scholar] [CrossRef] [PubMed]
- Selby-Pham, S.N.B.; Cottrell, J.J.; Dunshea, F.R.; Ng, K.; Bennett, L.E.; Howell, K.S. Dietary phytochemicals promote health by enhancing antioxidant defence in a pig model. Nutrients 2017, 9, 758. [Google Scholar] [CrossRef]
- Mischitelli, M.; Jemaà, M.; Almasry, M.; Faggio, C.; Lang, F. Ca 2+ Entry, Oxidative Stress, Ceramide and Suicidal Erythrocyte Death Following Diosgenin Treatment. Cell Physiol. Biochem. 2016. [Google Scholar] [CrossRef] [PubMed]
- Pasciu, V.; Baralla, E.; Varoni, M.V.; Demontis, M.P. Evaluation of curcuma and ginger mixture ability to prevent ROS production induced by bisphenol S: An in vitro study. Drug Chem. Toxicol. 2019. [Google Scholar] [CrossRef]
- Baralla, E.; Demontis, M.P.; Varoni, M.V.; Pasciu, V. Bisphenol A and Bisphenol S Oxidative Effects in Sheep Red Blood Cells: An In Vitro Study. BioMed Res. Int. 2021, 2021, 1–6. [Google Scholar] [CrossRef]
- Varoni, M.V.; Gadau, S.D.; Pasciu, V.; Baralla, E.; Serra, E.; Palomba, D.; Demontis, M.P. Investigation of the effects of Lycium barbarum polysaccharides against cadmium induced damage in testis. Exp. Mol. Pathol. 2017. [Google Scholar] [CrossRef] [PubMed]
- Ellman, G.L. Tissue sulfhydryl groups. Arch. Biochem. Biophys. 1959. [Google Scholar] [CrossRef]
- Ukeda, H.; Maeda, S.; Ishii, T.S.M. Spectrophotometric assay for superoxide dismutase based on tetrazolium salt 3′--1--(phenylamino)-carbonyl--3, 4-tetrazolium]-bis(4-methoxy-6-nitro)benzenesulfonic acid hydrate reduction by xanthine-xanthine oxidase. Anal. Biochem. 1997, 251, 206–209. [Google Scholar] [CrossRef]
- HB, C. A note on the molar absorptivity of reduced Ellman’s reagent, 3-carboxylato-4-nitrothiophenolate. Anal. Biochem. 1973, 56, 310–311. [Google Scholar]
- Lewinska, A.; Wnuk, M.; Slota, E.; Bartosz, G. Total anti-oxidant capacity of cell culture media. Clin. Exp. Pharmacol. Physiol. 2007. [Google Scholar] [CrossRef]
- Spanier, A.M.; Traylor, R.D. A Rapid, Direct Chemical Assay for the Quantitative Determination of Thiobarbituric Acid Reactive Substances in Raw, Cooked, And Cooked/Stored Muscle Foods. J. Muscle Foods 1991, 165–176. [Google Scholar] [CrossRef]
- Kang, H.P.; Scott, M.G.; Joe, B.N.; Narra, V.; Heiken, J.; Parvin, C.A. Model for predicting the impact of gadolinium on plasma calcium measured by the o-cresolphthalein method. Clin. Chem. 2004. [Google Scholar] [CrossRef]
- Bergmeyer, H.U.; Grassl, M.; Walter, H.E. Methods of Enzymatic Analysis, 3rd ed.; Verlag Chemie: Deerfield Beach, FL, USA, 1983; Volume 2, pp. 222–223. [Google Scholar]
- Balestri, F.; Giannecchini, M.; Sgarrella, F.; Carta, M.C.; Tozzi, M.G.; Camici, M. Purine and pyrimidine nucleosides preserve human astrocytoma cell adenylate energy charge under ischemic conditions. Neurochem. Int. 2007. [Google Scholar] [CrossRef] [PubMed]
- Mortensen, A.; Aguilar, F.; Crebelli, R.; Di Domenico, A.; Dusemund, B.; Frutos, M.J.; Galtier, P.; Gott, D.; Gunder-Remy, U.; Leblanc, J.; et al. Revaluation of glycerol (E 422) as a food additive. EFSA J. 2017, 15. [Google Scholar] [CrossRef]
- Zhurova, M.; Lusianti, R.E.; Higgins, A.Z.; Acker, J.P. Osmotic tolerance limits of red blood cells from umbilical cord blood. Cryobiology 2014, 69, 48–54. [Google Scholar] [CrossRef]
- Gilmore, J.A.; Liu, J.; Gao, D.Y.; Critser, J.K. Determination of optimal cryoprotectants and procedures for their addition and removal from human spermatozoa. Hum. Reprod. 1997, 12, 112–118. [Google Scholar] [CrossRef] [PubMed][Green Version]
- Armitage, W.J.; Mazur, P. Toxic and osmotic effects of glycerol on human granulocytes. Am. J. Physiol. Physiol. 1984, 247, C382–C389. [Google Scholar] [CrossRef] [PubMed]
- Zemlianskykh, N.G.; Babiychuk, L.A. The Production of Reactive Oxygen Species in Human Erythrocytes during Cryopreservation with Glycerol and Polyethylene Glycol. Biophys. Russ. Fed. 2019, 64, 560–567. [Google Scholar] [CrossRef]
- Pandey, K.B.; Rizvi, S.I. Markers of oxidative stress in erythrocytes and plasma during aging in humans. Oxid. Med. Cell. Longev. 2010. [Google Scholar] [CrossRef]
- Hernández, G.; Villanueva-Ibarra, C.A.; Maldonado-Vega, M.; López-Vanegas, N.C.; Ruiz-Cascante, C.E.; Calderón-Salinas, J.V. Participation of phospholipase-A 2 and sphingomyelinase in the molecular pathways to eryptosis induced by oxidative stress in lead-exposed workers. Toxicol. Appl. Pharmacol. 2019. [Google Scholar] [CrossRef]
- Zemlyanskikh, N.G.; Kofanova, O.A. Modulation of human erythrocyte Ca2+-ATPase activity by glycerol: The role of calmodulin. Biochemistry 2006, 71, 900–905. [Google Scholar] [CrossRef]
- Bigdelou, P.; Farnoud, A.M. Induction of Eryptosis in Red Blood Cells Using a Calcium Ionophore. JoVE 2020, e60659. [Google Scholar] [CrossRef]
- Hankins, H.M.; Baldridge, R.D.; Xu, P.; Graham, T.R. Role of Flippases, Scramblases and Transfer Proteins in Phosphatidylserine Subcellular Distribution. Traffic 2015, 16, 35–47. [Google Scholar] [CrossRef]
- Pantaleo, A.; Giribaldi, G.; Mannu, F.; Arese, P.; Turrini, F. Naturally occurring anti-band 3 antibodies and red blood cell removal under physiological and pathological conditions. Autoimmun. Rev. 2008, 7, 457–462. [Google Scholar] [CrossRef] [PubMed]
- Bissinger, R.; Fischer, S.; Jilani, K.; Lang, F. Stimulation of erythrocyte death by phloretin. Cell. Physiol. Biochem. 2014, 34, 2256–2265. [Google Scholar] [CrossRef] [PubMed]





| Osmol/Kg | Starch Concentrations mg/mL | |
|---|---|---|
| Hyper-osmotic solutions | 0.370 | 3.50 |
| 0.349 | 2.91 | |
| 0.337 | 2.23 | |
| 0.326 | 1.69 | |
| 0.319 | 1.44 | |
| Iso-osmotic solution | 0.299 | 0.00 |
| Hypo-osmotic solutions | 0.270 | 0.00 |
| 0.260 | 0.00 | |
| 0.251 | 0.00 | |
| 0.237 | 0.00 | |
| 0.280 | 0.00 | |
| 0.217 | 0.00 |
| [Glycerol (mg/dL)] | Osmolality (Osm/Kg) ± S.E. | |
|---|---|---|
| 0 | 0.299 ± 0.002 | A |
| 25 | 0.312 ± 0.001 | B |
| 50 | 0.319 ± 0.001 | BC |
| 100 | 0.324 ± 0.002 | CD |
| 150 | 0.332 ± 0.002 | DE |
| 200 | 0.337 ± 0.001 | EF |
| 250 | 0.344 ± 0.002 | FG |
| 300 | 0.351 ± 0.002 | GH |
| 350 | 0.360 ± 0.001 | HI |
| 400 | 0.367 ± 0.002 | I |
| Glycerol | Osmolality | Haemolysis | ROS | MDA | Ca2+ Ions | SOD | Total Thiols | ATP | |
|---|---|---|---|---|---|---|---|---|---|
| Osmolality | 0.836 | ||||||||
| (0.003) | |||||||||
| Haemolysis | 0.915 | 0.933 | |||||||
| (<0.001) | (<0.001) | ||||||||
| ROS | 0.565 | 0.853 | 0.669 | ||||||
| (0.088) | (0.002) | (0.034) | |||||||
| MDA | 0.631 | 0.582 | 0.621 | 0.382 | |||||
| (0.05) | (0.078) | (0.055) | (0.276) | ||||||
| Ca 2+ | 0.425 | 0.537 | 0.393 | 0.662 | 0.420 | ||||
| (0.221) | (0.11) | (0.262) | (0.037) | (0.227) | |||||
| SOD | 0.701 | 0.514 | 0.573 | 0.468 | 0.669 | 0.279 | |||
| (0.024) | (0.129) | (0.083) | (0.173) | (0.034) | (0.435) | ||||
| Total Thiols | −0.282 | −0.424 | −0.511 | −0.455 | −0.012 | −0.022 | −0.083 | ||
| (0.43) | (0.223) | (0.131) | (0.186) | (0.973) | (0.953) | (0.819) | |||
| ATP | −0.274 | −0.059 | −0.117 | 0.059 | −0.208 | 0.234 | −0.471 | −0.108 | |
| (0.444) | (0.871) | (0.748) | (0.872) | (0.565) | (0.515) | (0.169) | (0.767) | ||
| TEAC | 0.248 | −0.189 | −0.07 | −0.327 | 0.119 | 0.074 | 0.357 | 0.604 | −0.049 |
| (0.489) | (0.6) | (0.847) | (0.356) | (0.742) | (0.839) | (0.311) | (0.064) | (0.893) |
Publisher’s Note: MDPI stays neutral with regard to jurisdictional claims in published maps and institutional affiliations. |
© 2021 by the authors. Licensee MDPI, Basel, Switzerland. This article is an open access article distributed under the terms and conditions of the Creative Commons Attribution (CC BY) license (https://creativecommons.org/licenses/by/4.0/).
Share and Cite
Pasciu, V.; Sotgiu, F.D.; Porcu, C.; Berlinguer, F. Effect of Media with Different Glycerol Concentrations on Sheep Red Blood Cells’ Viability In Vitro. Animals 2021, 11, 1592. https://doi.org/10.3390/ani11061592
Pasciu V, Sotgiu FD, Porcu C, Berlinguer F. Effect of Media with Different Glycerol Concentrations on Sheep Red Blood Cells’ Viability In Vitro. Animals. 2021; 11(6):1592. https://doi.org/10.3390/ani11061592
Chicago/Turabian StylePasciu, Valeria, Francesca D. Sotgiu, Cristian Porcu, and Fiammetta Berlinguer. 2021. "Effect of Media with Different Glycerol Concentrations on Sheep Red Blood Cells’ Viability In Vitro" Animals 11, no. 6: 1592. https://doi.org/10.3390/ani11061592
APA StylePasciu, V., Sotgiu, F. D., Porcu, C., & Berlinguer, F. (2021). Effect of Media with Different Glycerol Concentrations on Sheep Red Blood Cells’ Viability In Vitro. Animals, 11(6), 1592. https://doi.org/10.3390/ani11061592

