Environmental Impact of Rotationally Grazed Pastures at Different Management Intensities in South Africa
Simple Summary
Abstract
1. Introduction
2. Materials and Methods
2.1. Experimental Site Description
2.2. Pasture and Grazing Management
2.3. Experimental Layout of the Pasture Experiment
2.4. Herbage Yield and Forage Quality
2.5. Carbon Footprint Calculation of the Different Pasture Treatments
2.6. Statistical Analyses
3. Results
3.1. Herbage Productivity
3.2. Carbon Footprint of Milk
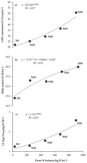
3.3. Field Level and Farm-N-Balance
4. Discussion
4.1. Herbage Productivity
4.2. Carbon Footprint of Milk
4.3. Farm-N-Balance
5. Conclusions
Author Contributions
Funding
Acknowledgments
Conflicts of Interest
Appendix A
| Parameter | Treatment | ||||
|---|---|---|---|---|---|
| N0 | N20 | N40 | N60 | N80 | |
| Dairy cows (t CO2eq ha−1) | 11.62 | 11.86 | 12.00 | 12.31 | 12.50 |
| CH4 a/CO2 b (%) | (95/5) | (95/5) | (95/5) | (95/5) | (95/5) |
| Heifers (t CO2eq ha−1) | 3.31 | 3.31 | 3.31 | 3.31 | 3.31 |
| Manure storage (t CO2eq ha−1) | 0.52 | 0.52 | 0.54 | 0.57 | 0.59 |
| CH4/N2O/NH3 (%) | (47/11/42) | (47/11/42) | (46/11/43) | (45/12/43) | (44/12/44) |
| Herbage production (t CO2eq ha−1) | 4.12 | 4.96 | 6.84 | 11.33 | 23.05 |
| N2O/N-leaching/NH3/CO2 c (%) | (28/5/4/63) | (35/7/5/53) | (49/8/5/38) | (66/6/4/23) | (82/4/3/11) |
| Irrigation d (%) | 44 | 37 | 27 | 16 | 8 |
| Inputse (t CO2eq ha−1) | 0.02 | 2.21 | 4.40 | 6.59 | 8.78 |
| Feed imports (t CO2eq ha−1) | 2.47 | 2.47 | 2.47 | 2.47 | 2.47 |
| Soil carbon storage (t CO2eq ha−1) | −3.71 | −4.17 | −4.15 | −4.37 | −4.54 |
| GWP (t CO2eq ha−1) | 22.06 | 25.33 | 29.56 | 36.57 | 50.70 |
| GWP + soil carbon (t CO2eq ha−1) | 18.39 | 21.16 | 25.41 | 32.21 | 46.16 |
| Milk production (t ECM ha−1) | 14.8 | 16.6 | 16.5 | 17.5 | 18.0 |
| CF (kg CO2eq kg ECM−1) | 1.5 | 1.5 | 1.8 | 2.1 | 2.8 |
| CF + soil carbon (kg CO2eq kg ECM−1) | 1.3 | 1.3 | 1.6 | 1.9 | 2.6 |
| Parameter | Treatment | ||||
|---|---|---|---|---|---|
| N0 | N20 | N40 | N60 | N80 | |
| (kg N ha−1 year−1) | |||||
| N-Inputs | 115 | 335 | 555 | 775 | 995 |
| Purchased fertilizer 1 | 0 | 220 | 440 | 660 | 880 |
| Supplements | 115 | 115 | 115 | 115 | 115 |
| N-Outputs | 84 | 93 | 93 | 98 | 95 |
| Milk 1 | 76 | 85 | 85 | 90 | 88 |
| Meat | 8 | 8 | 8 | 8 | 8 |
| Farm-N-Balance | 31 | 241 | 462 | 677 | 899 |
| Field-N-balance | −119 | 86 | 299 | 501 | 706 |
| (g N kg ECM−1) | |||||
| N-Footprint2 | 11 | 15 | 20 | 24 | 29 |
References
- Milk Producers Organization. Lacto Data. A Milk SA Publication Compiled by the Milk Producers’ Organization. Milk Producer Statistics. 2020. Available online: https://milksa.co.za/taxonomy/term/38 (accessed on 1 September 2020).
- Milk Producers Organization. Lacto Data. A Milk SA Publication Compiled by the Milk Producers’ Organization. Milk Producer Statistics. 2017. Available online: https://milksa.co.za/taxonomy/term/38 (accessed on 20 January 2020).
- Van Der Colf, J.; Botha, P.R.; Meeske, R.; Truter, W.F. Seasonal dry matter production, botanical composition and forage quality of kikuyu over-sown with annual or perennial ryegrass. Afr. J. Range Forage Sci. 2015, 32, 133–142. [Google Scholar] [CrossRef][Green Version]
- Meeske, R.; Rothauge, A.; Van Der Merwe, G.; Greyling, J. The effect of concentrate supplementation on the productivity of grazing Jersey cows on a pasture based system. S. Afr. J. Anim. Sci. 2006, 36, 105–110. [Google Scholar] [CrossRef]
- Muller, C.J.C.; The Effect of Concentrate Feeding Levels on Milk Yield. Agri-Kultuur/Culture. Available online: https://agrikultuur.wixsite.com/agrikultuur (accessed on 25 October 2020).
- Galloway, C.; Conradie, B.; Prozesky, H.; Esler, K. Opportunities to improve sustainability on commercial pasture-based dairy farms by assessing environmental impact. Agric. Syst. 2018, 166, 1–9. [Google Scholar] [CrossRef]
- DEA. Greenhouse Gas Inventory for South Africa: 2000 to 2015; National Inventory Report Department of Environmental Affairs, Pretoria, Republic of South Africa: Pretoria, South Africa, 2020. Available online: https://www.environment.gov.za/sites/default/files/reports/GHG-National-Inventory-Report-SouthAfrica-2000-2015.pdf (accessed on 6 March 2020).
- Viljoen, C.; Van Der Colf, J.; Swanepoel, P.A. Benefits Are Limited with High Nitrogen Fertiliser Rates in Kikuyu-Ryegrass Pasture Systems. Land 2020, 9, 173. [Google Scholar] [CrossRef]
- Smit, H.P.; Reinsch, T.; Swanepoel, P.A.; Kluß, C.; Taube, F. Grazing under Irrigation Affects N2O-Emissions Substantially in South Africa. Atmosphere 2020, 11, 925. [Google Scholar] [CrossRef]
- Swanepoel, P.A.; Du Preez, C.C.; Botha, P.R.; Snyman, H.A. A critical view on the soil fertility status of minimum-till kikuyu–ryegrass pastures in South Africa. Afr. J. Range Forage Sci. 2015, 32, 113–124. [Google Scholar] [CrossRef]
- Maharjan, B.; Venterea, R.T.; Rosen, C. Fertilizer and Irrigation Management Effects on Nitrous Oxide Emissions and Nitrate Leaching. Agron. J. 2014, 106, 703–714. [Google Scholar] [CrossRef]
- Kim, D.-G.; Hernandez-Ramirez, G.; Giltrap, D. Linear and nonlinear dependency of direct nitrous oxide emissions on fertilizer nitrogen input: A meta-analysis. Agric. Ecosyst. Environ. 2013, 168, 53–65. [Google Scholar] [CrossRef]
- Van der Weerden, T.; Cox, N.; Luo, J.; Di, H.; Podolyan, A.; Phillips, R.; Saggar, S.; de Klein, C.; Ettema, P.; Rys, G. Refining the New Zealand nitrous oxide emission factor for urea fertiliser and farm dairy effluent. Agric. Ecosyst. Environ. 2016, 222, 133–137. [Google Scholar] [CrossRef]
- IPCC. Climate Change 2014: Synthesis Report. Contribution of Working Groups I, II, and III to the Fifth Assessment Report of the In-tergovernmental Panel on Climate Change; IPCC: Geneva, Switzerland, 2014. [Google Scholar]
- Yan, M.-J.; Humphreys, J.; Holden, N. The carbon footprint of pasture-based milk production: Can white clover make a difference? J. Dairy Sci. 2013, 96, 857–865. [Google Scholar] [CrossRef]
- Sjaunja, L.O.; Baevre, L.; Junkkarinen, L.; Pedersen, J.; Setala, J. A nordic proposal for an Energy Corrected Milk (ECM) formula. In Proceedings of the 27th Session International Committee for Recording and Productivity of Milk Animals, Paris, France, 2–6 July 1990; Available online: https://www.researchgate.net/publication/284193091 (accessed on 12 January 2020).
- Henriksson, M.; Flysjö, A.; Cederberg, C.; Swensson, C. Variation in carbon footprint of milk due to management differences between Swedish dairy farms. Animals 2011, 5, 1474–1484. [Google Scholar] [CrossRef]
- Notten, P.; Mason-Jones, K.; Cohen, B. Life Cycle Assessment of Milk Production in the Western Cape; Kenilworth: Cape Town, South Africa; Available online: https://www.lifecycleinitiative.org/wp-content/uploads/2014/02/dairy_lca_executive_summary_july_2011.pdf (accessed on 30 June 2020).
- Reinecke, R.; Casey, N.H. A whole farm model for quantifying total greenhouse gas emissions on South African dairy farms. S. Afr. J. Anim. Sci. 2017, 47, 883. [Google Scholar] [CrossRef]
- IUSS Working Group WRB. World Reference Base for Soil Resources International Soil Classification System for Naming Soils and Creating Legends for Soil Maps; International Union of Soil Sciences: Vienna, Austria, 2014; ISBN 9789251083697. [Google Scholar]
- Soil Classification Working Group. Soil Classification: A Taxonomic System for South Africa. Memoirs on the Agricultural Natural Resources of South Africa, 15th ed.; Department of Agricultural Development: Pretoria, South Africa, 1991. [Google Scholar]
- GfE, J. New Equations for Predicting Metabolisable Energy of Grass and Maize Products for Ruminants. Proc. Soc. Nutr. Physiol. 2008, 17, 191–197. [Google Scholar]
- Weißbach, F.; Schmidt, L.; Kuhla, S. Simplified method for calculation of NEL from metabolizable energy. Proc. Soc. Nutr. Physiol. 1996, 117. Available online: https://agris.fao.org/agris-search/search.do?recordID=DE97A1193 (accessed on 9 February 2020).
- Gruber, L.; Urdl, M.; Obritzhauser, W.; Schauer, A.; Häusler, J.; Steiner, B. Influence of energy and nutrient supply pre and post partum on performance of multiparous Simmental, Brown Swiss and Holstein cows in early lactation. Animals 2014, 8, 58–71. [Google Scholar] [CrossRef]
- Wernet, G.; Bauer, C.; Steubing, B.; Reinhard, J.; Moreno-Ruiz, E.; Weidema, B.P. The ecoinvent database version 3 (part I): Overview and methodology. Int. J. Life Cycle Assess. 2016, 21, 1218–1230. [Google Scholar] [CrossRef]
- Truter, W.; Sehoole, O.; Murphy, M.; Fessehazion, M.; Annendale, J.; Jarmain, C.; Dlamini, M.; Everson, C. Irrigation Guidelines for Mixed Pastures and Lucerne; Water Research Comission: Pretoria, South Africa, 2016; Available online: http://www.wrc.org.za/wp-content/uploads/mdocs/TT%20697-16.pdf (accessed on 10 December 2020).
- Nennich, T.; Harrison, J.; VanWieringen, L.; Meyer, D.; Heinrichs, A.; Weiss, W.; St-Pierre, N.; Kincaid, R.; Davidson, D.; Block, E. Prediction of Manure and Nutrient Excretion from Dairy Cattle. J. Dairy Sci. 2005, 88, 3721–3733. [Google Scholar] [CrossRef]
- Gruber, L.; Schwarz, F.J.; Erdin, D.; Fischer, B.H.S.; Steingass, H.; Meyer, U.; Chassnot, A.; Obermaier, A.; Guggenberger, T. Vorhersage der Futteraufnahme von Milchkühen—Datenbasis von 10 Forschungs- und Universitätsinstituten Deutschlands, Österreichs und der Schweiz. VLUFA-Schriftenreihe 2004, 60, 484–504. Available online: https://www.vdlufa.de/download/Kongressband_2004.pdf (accessed on 1 October 2020).
- Sommer, S.G.; Webb, J.; Hutchings, N.D. New Emission Factors for Calculation of Ammonia Volatilization From European Livestock Manure Management Systems. Front. Sustain. Food Syst. 2019, 3, 3. [Google Scholar] [CrossRef]
- IPCC. Refinement to the 2006 IPCC Guidelines for National Greenhouse Gas Inventories; Calvo Buendia, E., Tanabe, K., Kranjc, A., Baasansuren, J., Fukuda, M., Ngarize, S., Osako, A., Pyrozhenko, Y., Shermanau, P., Federici, S., Eds.; IPCC: Geneva, Switzerland, 2016; Available online: https://www.ipcc-nggip.iges.or.jp/public/2019rf/ (accessed on 3 September 2020).
- Schils, R.; Olesen, J.; del Prado, A.; Soussana, J. A review of farm level modelling approaches for mitigating greenhouse gas emissions from ruminant livestock systems. Livest. Sci. 2007, 112, 240–251. [Google Scholar] [CrossRef]
- Petersen, B.M.; Knudsen, M.T.; Hermansen, J.E.; Halberg, N. An approach to include soil carbon changes in life cycle assessments. J. Clean. Prod. 2013, 52, 217–224. [Google Scholar] [CrossRef]
- Taghizadeh-Toosi, A.; Christensen, B.T.; Hutchings, N.J.; Vejlin, J.; Kätterer, T.; Glendining, M.; Olesen, J.E. C-TOOL: A simple model for simulating whole-profile carbon storage in temperate agricultural soils. Ecol. Model. 2014, 292, 11–25. [Google Scholar] [CrossRef]
- ISO 8986-1, Milk and Milk Products: Determination of Nitrogen Content—Part 1: Kjeldahl Principle and Crude Protein Calculation. International Organization for Standardization—ISO: Geneva, Switzerland, 2014; Available online: https://www.iso.org/standard/61020.html (accessed on 26 October 2020).
- R Core Team. R: A Language and Environment for Statistical Computing; R Foundation for Statistical Computing: Vienna, Austria, 2018; Available online: https://www.R-project.org (accessed on 20 September 2020).
- Pinheiro, J.; Bates, D.; DebRoy, S.; Sarjar, D.; R Core Team. nlme: Linear and Nonlinear Mixed Effects Models. R Package Version 3.1. Available online: https://cran.r-project.org/package=nlme (accessed on 20 September 2020).
- Hothorn, T.; Bretz, F.; Westfall, P. Simultaneous Inference in General Parametric Models. Biom. J. 2008, 50, 346–363. [Google Scholar] [CrossRef]
- Laird, N.M.; Ware, J.H. Random-Effects Models for Longitudinal Data. Biometrics 1982, 38, 963. [Google Scholar] [CrossRef]
- Molenberghs, G.; Verbeke, G. Linear Mixed Models for Longitudinal Data; Springer Science and Business Media LLC: Berlin, Germany, 2000. [Google Scholar]
- Bretz, F.; Hothorn, T.; Westfall, P. Multiple Comparisons Using R, 1st ed.; Chapman and Hall/CRC: London, UK, 2011. [Google Scholar]
- Swanepoel, P.A.; Habig, J.; Du Preez, C.C.; Botha, P.R.; Snyman, H.A. Biological quality of a podzolic soil after 19 years of irrigated minimum-till kikuyu–ryegrass pasture. Soil Res. 2014, 52, 64–75. [Google Scholar] [CrossRef]
- Botha, P.; Meeske, R.; Snyman, H. Kikuyu over-sown with ryegrass and clover: Grazing capacity, milk production and milk composition. Afr. J. Range Forage Sci. 2008, 25, 103–110. [Google Scholar] [CrossRef]
- Voglmeier, K.; Jocher, M.; Häni, C.; Ammann, C. Ammonia emission measurements of an intensively grazed pasture. Biogeosciences 2018, 15, 4593–4608. [Google Scholar] [CrossRef]
- Misselbrook, T.; Van Der Weerden, T.; Pain, B.; Jarvis, S.; Chambers, B.; Smith, K.; Phillips, V.; Demmers, T. Ammonia emission factors for UK agriculture. Atmos. Environ. 2000, 34, 871–880. [Google Scholar] [CrossRef]
- FERTASA. Fertilization Handbook; Fertilizer Association of Southern Africa: Pretoria, South Africa, 2016; Available online: https://www.fertasa.co.za/publications/ (accessed on 19 November 2019).
- NRC. Nutrient Requirements of Dairy Cattle; National Research Council: Washington, DC, USA; The National Academies Press: Washington, DC, USA, 2001. [Google Scholar]
- Kolver, E.S.; Muller, L.D. Performance and Nutrient Intake of High Producing Holstein Cows Consuming Pasture or a Total Mixed Ration. J. Dairy Sci. 1998, 81, 1403–1411. [Google Scholar] [CrossRef]
- Peyraud, J.; Astigarraga, L. Review of the effect of nitrogen fertilization on the chemical composition, intake, digestion and nutritive value of fresh herbage: Consequences on animal nutrition and N balance. Anim. Feed. Sci. Technol. 1998, 72, 235–259. [Google Scholar] [CrossRef]
- Van der Colf, J. The Production Potential of Kikuyu (Pennisetum Clandestinum) Pastures Over-Sown with Ryegrass (Lolium spp.). Master Thesis, University of Pretoria, Pretoria, South Africa, 2011. Available online: http://hdl.handle.net/2263/25770 (accessed on 1 November 2018).
- Becker, F.; MacLaren, C.; Brink, C.J.; Jacobs, K.; Le Roux, M.R.; Swanepoel, P.A. High nitrogen rates do not increase canola yield and may affect soil bacterial functioning. Agron. J. 2020, 112, 523–536. [Google Scholar] [CrossRef]
- Keller, R.; Eymann, L.; Wettstein, S.; Steinegger, T.; von Blottnitz, H.; Scharfy, D.; Stucki, M. Assessment of cleantech options to mitigate the environmental impact of South African dairy and maize farming. In Proceedings of the Life Cycle Management (LCM) 2017, Luxembourg, 3–6 September 2017; Available online: https://digitalcollection.zhaw.ch/handle/11475/10846 (accessed on 6 July 2020).
- Oliveira, P.P.A.; Berndt, A.; Pedroso, A.F.; Alves, T.C.; Pezzopane, J.R.M.; Sakamoto, L.S.; Henrique, F.L.; Rodrigues, P.H.M. Greenhouse gas balance and carbon footprint of pasture-based beef cattle production systems in the tropical region (Atlantic Forest biome). Animals 2020, 14, s427–s437. [Google Scholar] [CrossRef]
- Flysjö, A.; Henriksson, M.; Cederberg, C.; Ledgard, S.; Englund, J.-E. The impact of various parameters on the carbon footprint of milk production in New Zealand and Sweden. Agric. Syst. 2011, 104, 459–469. [Google Scholar] [CrossRef]
- Liu, X.J.; Mosier, A.R.; Halvorson, A.D.; Zhang, F.S. The Impact of Nitrogen Placement and Tillage on NO, N2O, CH4 and CO2 Fluxes from a Clay Loam Soil. Plant Soil 2006, 280, 177–188. [Google Scholar] [CrossRef]
- Morais, T.G.; Teixeira, R.F.M.; Rodrigues, N.R.; Domingos, T. Carbon Footprint of Milk from Pasture-Based Dairy Farms in Azores, Portugal. Sustainability 2018, 10, 3658. [Google Scholar] [CrossRef]
- Leach, A.M.; Galloway, J.N.; Bleeker, A.; Erisman, J.W.; Kohn, R.; Kitzes, J. A nitrogen footprint model to help consumers understand their role in nitrogen losses to the environment. Environ. Dev. 2012, 1, 40–66. [Google Scholar] [CrossRef]
- O’Brien, D.; Geoghegan, A.; McNamara, K.; Shalloo, L. How can grass-based dairy farmers reduce the carbon footprint of milk? Anim. Prod. Sci. 2016, 56, 495. [Google Scholar] [CrossRef]
- Van Wyngaard, J.D.; Meeske, R.; Erasmus, L.J. Effect of concentrate level on enteric methane emissions, production performance, and rumen fermentation of Jersey cows grazing kikuyu-dominant pasture during summer. J. Dairy Sci. 2018, 101, 9954–9966. [Google Scholar] [CrossRef]
- Galloway, C. South Africa: A journey towards negative net carbon emissions on dairy farms by building carbon sinks. IDF Dairy Sustain. Outlook 2020, 3, 26. Available online: http://www.ukidf.org/documents/IDF-Dairy-Sustainability-Outlook-2020.pdf (accessed on 31 January 2021).
- Loges, R.; Bunne, I.; Reinsch, T.; Malisch, C.; Kluß, C.; Herrmann, A.; Taube, F. Forage production in rotational systems generates similar yields compared to maize monocultures but improves soil carbon stocks. Eur. J. Agron. 2018, 97, 11–19. [Google Scholar] [CrossRef]
- Galloway, C. Trace and Save. The Carbon Balance on Dairy Farms. Available online: http://traceandsave.com/the-carbon-balance-on-dairy-farms/ (accessed on 28 January 2021).
- Li, J.; Lin, S.; Taube, F.; Pan, Q.; Dittert, K. Above and belowground net primary productivity of grassland influenced by supplemental water and nitrogen in Inner Mongolia. Plant Soil 2011, 340, 253–264. [Google Scholar] [CrossRef]
- Zehetmeier, M.; Hoffmann, H.; Sauer, J.; Hofmann, G.; Dorfner, G.; O’Brien, D. A dominance analysis of greenhouse gas emissions, beef output and land use of German dairy farms. Agric. Syst. 2014, 129, 55–67. [Google Scholar] [CrossRef]
- O’Brien, D.; Brennan, P.; Humphreys, J.; Ruane, E.; Shalloo, L. An appraisal of carbon footprint of milk from commercial grass-based dairy farms in Ireland according to a certified life cycle assessment methodology. Int. J. Life Cycle Assess. 2014, 19, 1469–1481. [Google Scholar] [CrossRef]
- Christie, K.M.; Gourley, C.J.P.; Rawnsley, R.P.; Eckard, R.J.; Awty, I.M. Whole-farm systems analysis of Australian dairy farm greenhouse gas emissions. Anim. Prod. Sci. 2012, 52, 998–1011. [Google Scholar] [CrossRef]
- FAO. Greenhouse Gas Emissions from the Dairy Sector. A Life Cycle Assessment; Food and Agriculture Organization of the United Nations, Animal Production and Health Division: Rome, Italy; Available online: http://www.fao.org/docrep/012/k7930e/k7930e00.pdf (accessed on 8 November 2020).
- Luo, J.; Kelliher, F. Partitioning of Animal excreta N. into Urine and dung and Developing the N2O Inventory; Ministry for Primary Industries: Wellington, New Zealand, 2010; pp. 1–19. Available online: https://www.mpi.govt.nz/dmsdocument/2962/ (accessed on 27 October 2020).
- Ramilan, T.; Scrimgeour, F.; Marsh, D. Analysis of environmental and economic efficiency using a farm population micro-simulation model. Math. Comput. Simul. 2011, 81, 1344–1352. [Google Scholar] [CrossRef]
- Sutton, M.A.; Howard, C.M.; Brownlie, W.J.; Skiba, U.; Hicks, W.K.; Winiwarter, W.; van Grinsven, H.; Bleeker, A.; Westhoek, H.; Oenema, O.; et al. The European Nitrogen Assessment 6 years after: What was the outcome and what are the future research challenges? Proc. from Int. Conf. Innov. Solut. Sustain. Manag. Nitrogen 2017, 2011, 40–49. Available online: https://sustainablesoils.org/s/The-European-Nitrogen-Assessment-Prof-Mark-Sutton-003.pdf (accessed on 9 March 2020).
- Carlton, A.J.; Cameron, K.C.; Di, H.J.; Edwards, G.R.; Clough, T.J. Nitrate leaching losses are lower from ryegrass/white clover forages containing plantain than from ryegrass/white clover forages under different irrigation. N. Z. J. Agric. Res. 2019, 62, 150–172. [Google Scholar] [CrossRef]
- Simon, P.L.; De Klein, C.A.; Worth, W.; Rutherford, A.J.; Dieckow, J. The efficacy of Plantago lanceolata for mitigating nitrous oxide emissions from cattle urine patches. Sci. Total Environ. 2019, 691, 430–441. [Google Scholar] [CrossRef]
- Schmeer, M.; Loges, R.; Dittert, K.; Senbayram, M.; Horn, R.; Taube, F. Legume-based forage production systems reduce nitrous oxide emissions. Soil Tillage Res. 2014, 143, 17–25. [Google Scholar] [CrossRef]
- Loges, R.; Kelm, M.; Taube, F. Nitrogen balances, nitrate leaching and energy efficiency of conventional and organic farming systems on fertile soils in Northern Germany. Adv. Geoecol. 2006, 38, 407–414. Available online: https://orgprints.org/id/eprint/12256/ (accessed on 13 January 2021).
- Nadeem, S.; Hansen, S.; Azzaroli Bleken, M.; Dörsch, P. N2O emission from organic barley cultivation as affected by green manure management. Biogeosciences 2012, 9, 2747–2759. [Google Scholar] [CrossRef]
- Reinsch, T.; Malisch, C.; Loges, R.; Taube, F. Nitrous oxide emissions from grass–clover swards as influenced by sward age and biological nitrogen fixation. Grass Forage Sci. 2020, 75, 372–384. [Google Scholar] [CrossRef]


| Measurement | Emission Factor | Unit |
|---|---|---|
| Grass seeds | 2.03 | kg CO2eq kg−1 |
| Ammonium-Nitrate as N | 8.60 | kg CO2eq kg−1 |
| Tillage, rotary cultivator a | 75.42 | kg CO2eq ha−1 |
| Sowing a | 22.76 | kg CO2eq ha−1 |
| Fertilizing, by broadcaster | 25.33 | kg CO2eq ha−1 |
| Mulching | 21.24 | kg CO2eq ha−1 |
| Irrigation | 0.43 | kg CO2eq m−3 |
| Milking | 0.02 | kg CO2eq kg−1 |
| Shed operation | 436.00 | kg CO2eq LU−1 b |
| Slurry store and processing | 0.06 | kg CO2eq m−3 |
| Parameter | Year | Treatment | ||||
|---|---|---|---|---|---|---|
| N0 | N20 | N40 | N60 | N80 | ||
| Herbage Production (t DM ha−1) | 1 | 19.3 Aa (9.3) | 21.5 Aab (14.6) | 21.1 Aab (9.0) | 22.9 Ab (0.4) | 22.6 Ab (0.5) |
| 2 | 17.4 Aa (4.7) | 18.4 Ba (6.4) | 18.9 Aa (0.3) | 19.2 Ba (0.2) | 20.5 Aa (0.4) | |
| 3 | 18.7 Aa (11.4) | 20.6 Aba (6.5) | 20.3 Aa (0.4) | 20.6 Aba (1.9) | 21.5 Aa (0.7) | |
| Nitrogen Yield (kg N ha−1) | 1 | 519 Aa (26.8) | 586 ABab (51.9) | 657 ABb (34.4) | 788 Ac (11.0) | 849 Abc (29.0) |
| 2 | 511 Aa (24.6) | 510 Aa (18.7) | 557 Aa (16.6) | 630 Bab (33.3) | 749 Ab (9.7) | |
| 3 | 582 Aa (38.9) | 645 Ba (17.7) | 707 Bab (13.5) | 797 Abc (13.0) | 900 Bc (35.3) | |
| Energy Yield (GJ NEL ha−1) | 1 | 123 Aa (5.7) | 140 Aab (9.3) | 137 Aab (6.5) | 151 Ab (2.5) | 148 Ab (2.9) |
| 2 | 112 Aa (2.7) | 120 Bab (3.6) | 123 Aab (2.1) | 126 Bab (1.3) | 135 Ab (3.1) | |
| 3 | 119 Aa (7.5) | 133 ABab (5.0) | 132 Aab (3.0) | 134 ABab (3.2) | 141 Ab (4.9) | |
| Parameter | Treatment | ||||
|---|---|---|---|---|---|
| N0 | N20 | N40 | N60 | N80 | |
| Milk yield (t ECM ha−1) | 14.8 a (0.7) | 16.6 b (1.1) | 16.5 c (0.9) | 17.5 d (1.3) | 18.0 e (0.9) |
| GWP (t CO2eq ha−1) | 22.1 a (0.3) | 25.3 b (0.4) | 29.6 c (0.4) | 36.6 d (0.1) | 50.7 e (0.3) |
| GWP + soil carbon(t CO2eq ha−1) | 18.4 a (0.2) | 21.2 b (0.2) | 25.4 c (0.2) | 32.2 d (0.2) | 46.2 e (0.5) |
| CF + soil carbon (kg CO2eq kg ECM−1) | 1.3 a (0.1) | 1.3 a (0.1) | 1.6 b (0.1) | 1.9 c (0.2) | 2.6 d (0.2) |
| Farm-N-balance (kg N ha−1) | 31 a (1.8) | 241 b (3.8) | 462 c (2.6) | 677 d (5.0) | 899 e (5.3) |
Publisher’s Note: MDPI stays neutral with regard to jurisdictional claims in published maps and institutional affiliations. |
© 2021 by the authors. Licensee MDPI, Basel, Switzerland. This article is an open access article distributed under the terms and conditions of the Creative Commons Attribution (CC BY) license (https://creativecommons.org/licenses/by/4.0/).
Share and Cite
Smit, H.P.J.; Reinsch, T.; Swanepoel, P.A.; Loges, R.; Kluß, C.; Taube, F. Environmental Impact of Rotationally Grazed Pastures at Different Management Intensities in South Africa. Animals 2021, 11, 1214. https://doi.org/10.3390/ani11051214
Smit HPJ, Reinsch T, Swanepoel PA, Loges R, Kluß C, Taube F. Environmental Impact of Rotationally Grazed Pastures at Different Management Intensities in South Africa. Animals. 2021; 11(5):1214. https://doi.org/10.3390/ani11051214
Chicago/Turabian StyleSmit, Hendrik P. J., Thorsten Reinsch, Pieter A. Swanepoel, Ralf Loges, Christof Kluß, and Friedhelm Taube. 2021. "Environmental Impact of Rotationally Grazed Pastures at Different Management Intensities in South Africa" Animals 11, no. 5: 1214. https://doi.org/10.3390/ani11051214
APA StyleSmit, H. P. J., Reinsch, T., Swanepoel, P. A., Loges, R., Kluß, C., & Taube, F. (2021). Environmental Impact of Rotationally Grazed Pastures at Different Management Intensities in South Africa. Animals, 11(5), 1214. https://doi.org/10.3390/ani11051214

