The Effect of Dietary Supplementation with Inorganic or Organic Selenium on the Nutritional Quality and Shelf Life of Goose Meat and Liver
Abstract
Simple Summary
Abstract
1. Introduction
2. Materials and Methods
2.1. Experimental Design and Treatment
2.2. Composition (Macronutrients and Fatty Acid Profile)
2.3. pH
2.4. Total Phenolic Content
2.5. Lipid Oxidation
2.6. Total Volatile Nitrogen (TVB-N)
2.7. Statistical Analysis
3. Results and Discussion
3.1. Macronutrient Composition of Meat Samples
3.2. Macronutrient Composition of Liver Samples
3.3. Fatty Acid Profile
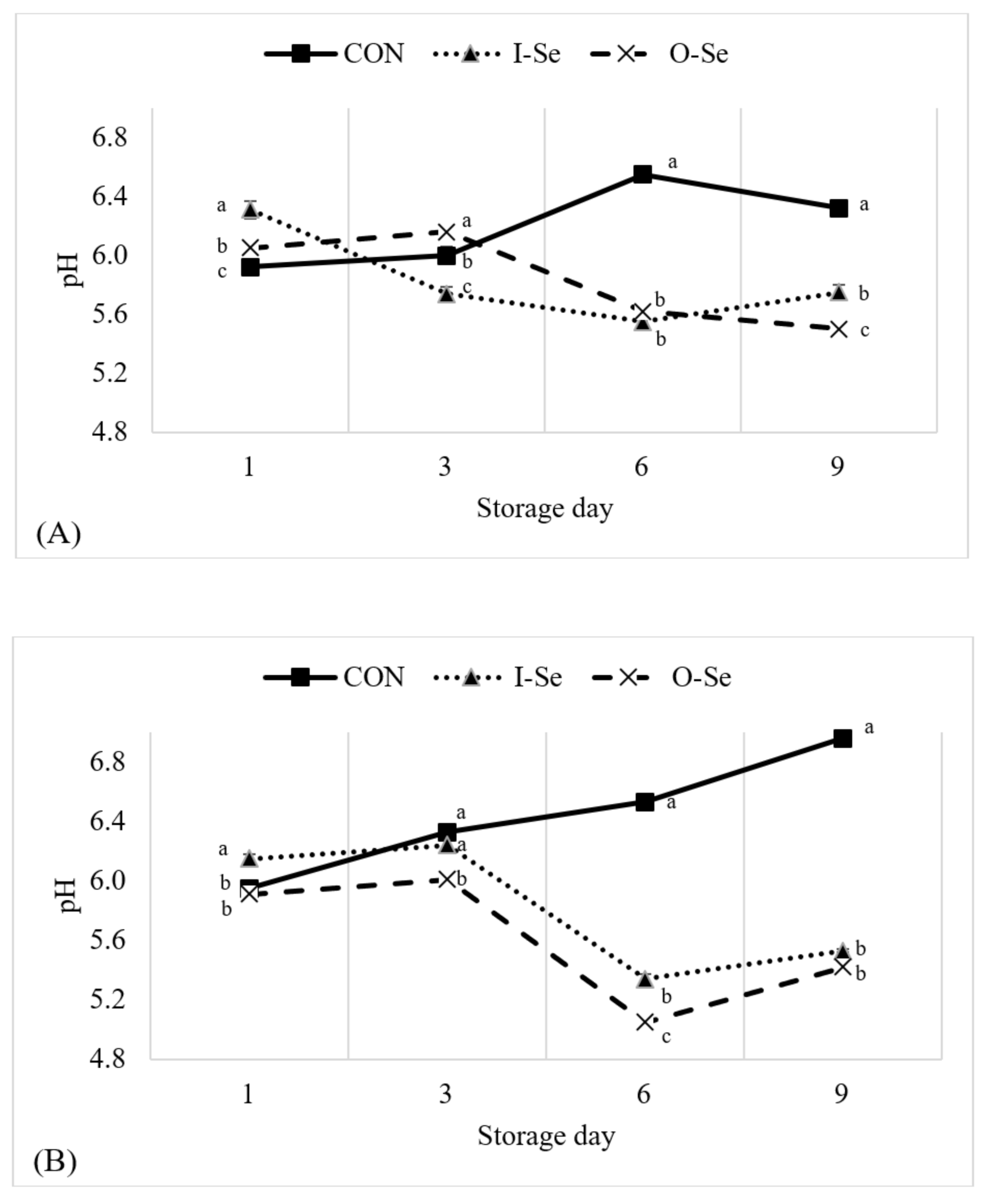
3.4. pH
3.5. Total Phenolic Content
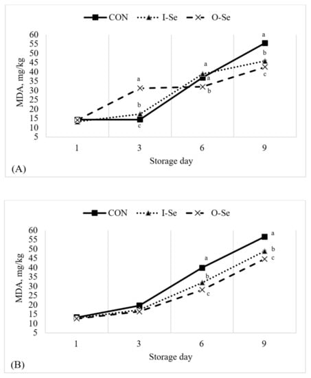
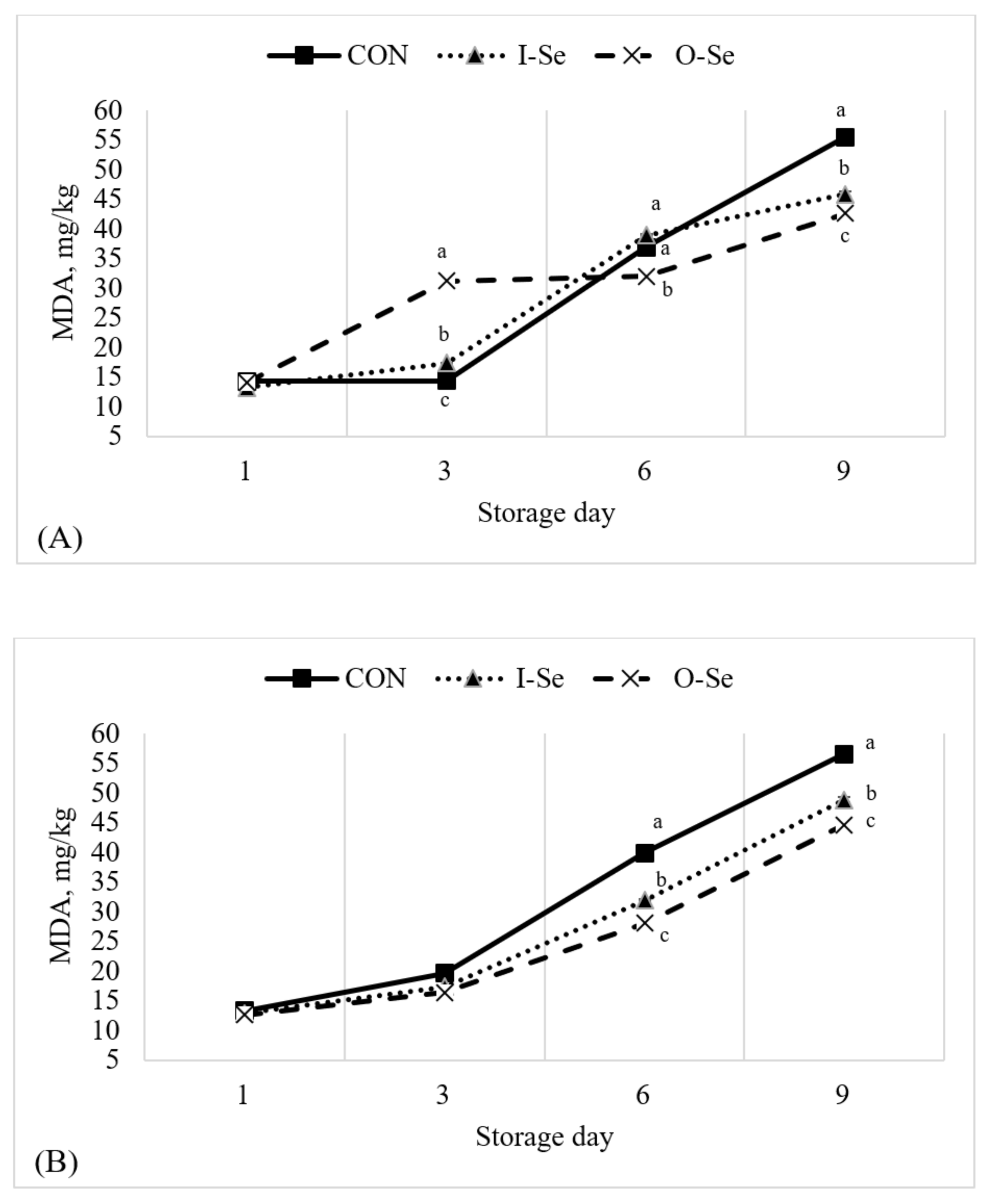
3.6. Lipid Oxidation
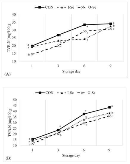
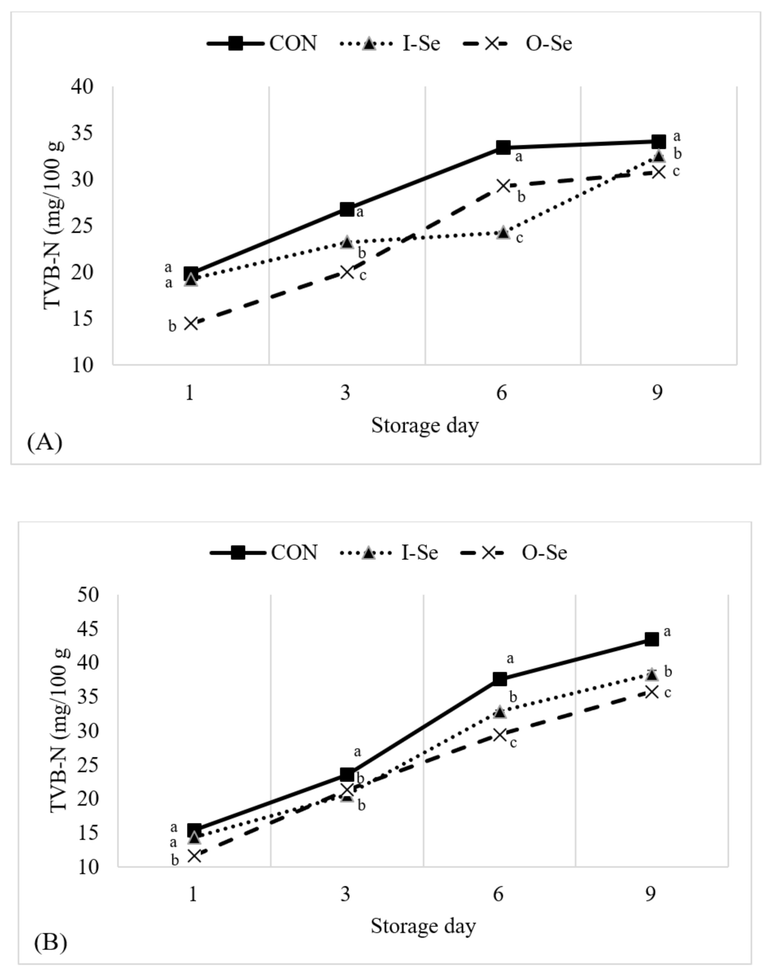
3.7. Total Volatile Basic Nitrogen
4. Conclusions
Author Contributions
Funding
Institutional Review Board Statement
Data Availability Statement
Acknowledgments
Conflicts of Interest
References
- Buckland, R.B.; Gerard, G. Goose production. FAO Anim. Prod. Health 2002, 154. Available online: http://www.fao.org/3/Y4359E/y4359e00.htm. (accessed on 22 October 2020).
- Farrell, D. Management, nutrition and products of domestic geese: A review. In Proceedings of the 16th Australian Poultry Science Symposium, Sydney, New South Wales, Australia, 9–11 February 2004; Volume 9–11, pp. 139–144. [Google Scholar]
- National Research Council (NRC). Nutrient Requirements of Poultry, 9th revised ed.; National Academic Press: Washington, DC, USA, 1994. [Google Scholar]
- Suchý, P.; Straková, E.; Herzig, I. Selenium in poultry nutrition: A review. Czech J. Anim. Sci. 2014, 59, 495–503. [Google Scholar] [CrossRef]
- Surai, P.F. Selenium in poultry nutrition 1. Antioxidant properties, deficiency and toxicity. Worlds Poult. Sci. J. 2002, 58, 333–347. [Google Scholar] [CrossRef]
- Food and Drug Administration (FDA). Food additives permitted in feed and drinking water of animals: Selenium. Fed. Reg. 1987, 52, 10887. [Google Scholar]
- Food and Drug Administration (FDA). Food additives permitted in feed and drinking water of animals: Selenium yeast. Fed. Reg. 2003, 68, 52339–52340. [Google Scholar]
- Ibrahim, D.; Kishawy, A.T.Y.; Khater, S.I.; Arisha, A.H.; Mohammed, H.A.; Abdelaziz, A.S.; Abd El-Rahman, G.I.; Elabbasy, M.T. Effect of dietary modulation of selenium form and level on performance, tissue retention, quality of frozen stored meat and gene expression of antioxidant status in Ross broiler chickens. Animals 2019, 9, 342–361. [Google Scholar] [CrossRef] [PubMed]
- Nollet, L.; Van der Klis, J.D.; Lensing, M.; Spring, P. The effect of replacing inorganic with organic trace minerals in broiler diets on productive performance and mineral excretion. J. Appl. Poult. Res. 2007, 16, 592–597. [Google Scholar] [CrossRef]
- Vieira, S.L. Chelated minerals for poultry. Braz. J. Poultry Sci. 2008, 10, 73–79. [Google Scholar] [CrossRef]
- Świątkieicz, S.; Arczewska-Włosek, A.; Jozefiak, D. The efficacy of organic minerals in poultry nutrition: Review and implications of recent studies. Worlds Poult. Sci. J. 2014, 70, 475–486. [Google Scholar] [CrossRef]
- Mahima, A.; Kumar, A.; Amit, K.; Anu, R.; Vinod, K.; Debashis, R. Inorganic versus organic selenium supplementation: A review. Pak. J. Biol. Sci. 2012, 15, 418–425. [Google Scholar] [CrossRef]
- Fuller, M.F. The Encyclopedia of Farm Animal Nutrition; Cabi Publishing: Cambridge, MA, USA, 2004. [Google Scholar]
- Rotruck, J.T.; Pope, A.L.; Ganther, H.E.; Swanson, A.B.; Hafeman, D.G.; Hoekstra, W.G. Selenium: Biochemical role as a component of glutathione peroxidase. Science 1973, 179, 588–590. [Google Scholar] [CrossRef]
- Lawrence, R.A.; Burk, R.F. Glutathione peroxidase activity in selenium-deficient rat liver. Biochem. Biophys. Res. Commun. 1976, 71, 952–958. [Google Scholar] [CrossRef]
- Wang, Y.X.; Xiao, X.; Zhan, X.A. Antagonistic effects of different selenium sources on growth inhibition, oxidative damage, and apoptosis induced by fluorine in broilers. Poult. Sci. 2018, 97, 3207–3217. [Google Scholar] [CrossRef] [PubMed]
- Diplock, A.T.; Lucy, J.A. The biochemical modes of action of vitamin E and selenium: A hypothesis. FEBS Lett. 1973, 29, 205–210. [Google Scholar] [CrossRef]
- Alirezalu, K.; Nemati, Z.; Hajipour, M.; Besharati, M. Quality and shelf-life stability of meat and liver from goose fed diets supplemented with vitamin E. In Proceeding of the XVIII European Symposium on the quality of eggs and egg products and XXIV European Symposium on the Quality of Poultry Meat, Ezmir, Turkey, 23–26 June 2019. [Google Scholar]
- Nemati, Z.; Alirezalu, K.; Besharati, M.; Amirdahri, S.; Franco, D.; Lorenzo, J.M. Improving the quality characteristics and shelf life of meat and growth performance in goose fed diets supplemented with vitamin E. Foods 2020, 9, 798. [Google Scholar] [CrossRef]
- Lillard, D.A. Oxidative deterioration in meat, poultry, and fish. In Warmed-Over Flavour of Meat; St. Angelo, A.J., Bailey, M.E., Eds.; Academic Press: Orlando, FL, USA, 1987; pp. 41–47. [Google Scholar]
- Ahmadian, H.; Nemati, Z.; Karimi, A.; Safari, R. Effect of different dietary selenium sources and storage temperature on enhancing the shelf life of quail eggs. Anim. Prod. Res. 2019, 8, 23–33. [Google Scholar]
- Love, J.D.; Pearson, A.M. Lipid oxidation in meat and meat products—A review. J. Am. Oil Chem. Soc. 1971, 48, 547–549. [Google Scholar] [CrossRef]
- Pearson, A.M.; Love, J.D.; Shorland, F.B. “Warmed-over” flavor in meat, poultry, and fish. In Advances in Food Research; Academic Press: Orlando, FL, USA, 1977; Volume 23, pp. 1–74. [Google Scholar] [CrossRef]
- Kaban, G.; Kızılkaya, P.; Sayın Borekçi, F.B.; Hazar, Y.; Kabil, E.; Kaya, M. Microbiological properties and volatile compounds of salted-dried goose. Poult. Sci. 2020, 99, 2293–2299. [Google Scholar] [CrossRef]
- Surai, P.F. Natural antioxidants in poultry nutrition: New developments. In Proceedings of the 16th European Symposium on Poultry Nutrition, Strasbourg, France, 26–30 August 2007; pp. 26–30. [Google Scholar]
- Choct, M.; Naylor, A.J.; Reinke, N. Selenium supplementation affects broiler growth performance, meat yield and feather coverage. Br. Poult. Sci. 2004, 45, 677–683. [Google Scholar] [CrossRef]
- Yoon, I.; Werner, T.M.; Butler, J.M. Effect of source and concentration of selenium on growth performance and selenium retention in broiler chickens. Poult. Sci. 2007, 86, 727–730. [Google Scholar] [CrossRef]
- Wang, Y.; Zhan, X.; Zhang, X.; Wu, R.; Yuan, D. Comparison of different forms of dietary selenium supplementation on growth performance, meat quality, selenium deposition, and antioxidant property in broilers. Biol. Trace Elem. Res. 2011, 143, 261–273. [Google Scholar] [CrossRef] [PubMed]
- Yuan, D.; Zhan, X.A.; Wang, Y.X. Effect of selenium sources on the expression of cellular glutathione peroxidase and cytoplasmic thioredoxin reductase in the liver and kidney of broiler breeders and their offspring. Poult. Sci. 2012, 91, 936–942. [Google Scholar] [CrossRef] [PubMed]
- Yang, Y.R.; Meng, F.C.; Wang, P.; Jiang, Y.B.; Yin, Q.Q.; Chang, J.; Zuo, R.Y.; Zheng, Q.H.; Liu, J.X. Effect of organic and inorganic selenium supplementation on growth performance, meat quality and antioxidant property of broilers. Afr. J. Biotechn. 2012, 11, 3031–3036. [Google Scholar] [CrossRef]
- Habibian, M.; Ghazi, S.; Moeini, M.M. Effects of dietary selenium and vitamin E on growth performance, meat yield, and selenium content and lipid oxidation of breast meat of broilers reared under heat stress. Biol. Trace Elem. Res. 2016, 169, 142–152. [Google Scholar] [CrossRef]
- Lukaszewicz, E.; Kowalczyk, A.; Jerysz, A. The effect of sex and feed supplementation with organic selenium and vitamin E on the growth rate and zoometrical body measurements of oat-fattened White Kołuda® geese. Turk. J. Vet. Anim. Sci. 2011, 35, 435–442. [Google Scholar] [CrossRef]
- Baowei, W.; Guoqing, H.; Qiaoli, W.; Bin, Y. Effects of yeast selenium supplementation on the growth performance, meat quality, immunity, and antioxidant capacity of goose. J. Anim. Physiol. Anim. Nutr. 2011, 95, 440–448. [Google Scholar] [CrossRef]
- Cui, Y.; Wang, J.; Lu, W.; Zhang, H.; Wu, S.; Qi, G. Effect of dietary supplementation with Moringa oleifera leaf on performance, meat quality, and oxidative stability of meat in broilers. Poult. Sci. 2018, 97, 2836–2844. [Google Scholar] [CrossRef]
- North American Meat Processors (NAMP). The Meat Buyer’s Guide, 8th ed.; North American Meat Institute: Washington, DC, USA, 2014. [Google Scholar]
- AOAC. Meat and meat products. In Official Methods of Analysis, 16th ed.; Cunniff, P., Ed.; Association of Official Analytical Chemists International: Arlington, VI, USA, 2000; pp. 1–23. [Google Scholar]
- Folch, J.; Lees, M.; Sloane-Stanley, G.H. A simple method for the isolation and purification of total lipids from animal tissue. J. Biol. Chem. 1957, 226, 497–509. [Google Scholar] [CrossRef]
- Pintado, T.; Herrero, A.M.; Ruiz-Capillas, C.; Triki, M.; Carmona, P.; Jimenez-Colmenero, F. Effects of emulsion gels containing bioactive compounds on sensorial, technological and structural properties of frankfurters. Food Sci. Technol. Intl. 2015, 22, 132–145. [Google Scholar] [CrossRef]
- Alirezalu, K.; Hesari, J.; Nematic, Z.; Munekata, P.E.S.; Barba, F.J.; Lorenzo, J.M. Combined effect of natural antioxidants and antimicrobial compounds during refrigerated storage of nitrite-free frankfurter-type sausage. Food Res. Int. 2019, 120, 839–850. [Google Scholar] [CrossRef]
- Torrescano, G.; Sanchez-Escalante, A.; Gimenez, B.; Roncales, P.; Beltran, J.A. Shear values of raw samples of 14 bovine muscles and their relation to muscle collagen characteristics. Meat Sci. 2003, 64, 85–91. [Google Scholar] [CrossRef]
- Liu, D.C.; Tsau, R.T.; Lin, Y.C.; Jan, S.S.; Tan, F.J. Effect of various levels of rosemary or Chinese mahogany on the quality of fresh chicken sausage during refrigerated storage. Food Chem. 2009, 117, 106–113. [Google Scholar] [CrossRef]
- Harold, E.; Ronald, S.K.; Ronald, S. Pearson’s Chemical Analysis of Foods (8); Churchill Livingstone: Edinburgh, UK, 1987. [Google Scholar]
- Ševčíková, S.; Skřivan, M.; Dlouhá, G.; Koucký, M. The effect of selenium source on the performance and meat quality of broiler chickens. Czech, J. Anim. Sci. 2006, 51, 449–457. [Google Scholar] [CrossRef]
- Bou, R.; Guardiola, F.; Barroeta, A.C.; Codony, R. Effect of dietary fat sources and zinc and selenium supplements on the composition and consumer acceptability of chicken meat. Poult. Sci. 2005, 84, 1129–1140. [Google Scholar] [CrossRef] [PubMed]
- Mikulski, D.; Jankowski, J.; Zduńczyk, Z.; Wróblewska, M.; Sartowska, K.; Majewska, T. The effect of selenium source on performance, carcass traits, oxidative status of the organism, and meat quality of turkeys. J. Anim. Feed. Sci. 2009, 18, 518–530. [Google Scholar] [CrossRef]
- Vásquez Mejía, S.M.; de Francisco, A.; Sandrin, R.; da Silva, T.; Bohrer, B.M. Effects of the incorporation of β-glucans in chicken breast during storage. Poult. Sci. 2019, 98, 3326–3337. [Google Scholar] [CrossRef] [PubMed]
- Surai, P.F. Selenium in Poultry Nutrition and Health; Wageningen Academic Publishers: Wageningen, The Netherlands, 2018. [Google Scholar]
- Surai, P.F.; Kochish, I.I. Nutritional modulation of the antioxidant capacities in poultry: The case of selenium. Poult. Sci. 2019, 98, 4231–4239. [Google Scholar] [CrossRef] [PubMed]
- Salichon, M.R.; Guy, G.; Rousselot, D.; Blum, J.C. Composition of the 3 types of foie gras: Goose, mule duck and Muscovy duck. Annale de Zootechnie 1994, 43, 213–220. [Google Scholar] [CrossRef]
- Molette, C.; Berzaghi, P.; Dalle Zotte, A.; Remignon, H.; Babile, R. The use of near-infrared reflectance spectroscopy in the prediction of the chemical composition of goose fatty liver. Poult. Sci. 2001, 80, 1625–1629. [Google Scholar] [CrossRef]
- Pappas, A.C.; Zoidis, E.; Papadomichelakis, G.; Fegeros, K. Supranutritional selenium level affects fatty acid composition and oxidative stability of chicken breast muscle tissue. J. Anim. Physiol. Anim. Nutr. 2011, 96, 385–394. [Google Scholar] [CrossRef]
- Kralik, Z.; Kralik, G.; Grčević, M.; Suchý, P.; Straková, E. Effects of increased content of organic selenium in feed on the selenium content and fatty acid profile in broiler breast muscle. Acta Vet. Brno. 2012, 81, 31–35. [Google Scholar] [CrossRef]
- Kralik, Z.; Kralik, G.; Biazik, E.; Straková, E.; Suchý, P. Effects of organic selenium in broiler feed on the content of selenium and fatty acid profile in lipids of thigh muscle tissue. Acta Vet. Brno. 2013, 82, 277–282. [Google Scholar] [CrossRef]
- del Puerto, M.; Cristina Cabrera, M.; Saadoun, A. A note on fatty acids profile of meat from broiler chickens supplemented with inorganic or organic selenium. Intl. J. Food. Sci. 2017, 7613069, 1–8. [Google Scholar] [CrossRef]
- Leskovec, J.; Levart, A.; Peric, L.; Dukic Stojcic, M.; Tomovic, V.; Pirman, T.; Salobir, J.; Rezar, V. Antioxidative effects of supplementing linseed oil-enriched diets with α-tocopherol, ascorbic acid, selenium, or their combination on carcass and meat quality in broilers. Poult. Sci. 2019, 98, 6733–6741. [Google Scholar] [CrossRef] [PubMed]
- Borch, E.; Kant-Muermans, M.L.; Blixt, Y. Bacterial spoilage of meat and cured meat products. Int. J. Food Microbiol. 1996, 33, 103–120. [Google Scholar] [CrossRef]
- Ismail, R.A. The correlation between pH and microbial spoilage of minced meat during refrigeration. Intl. J. Adv. Biol. Res. 2017, 7, 728–732. [Google Scholar]
- Perić, L.; Milošević, N.; Žikić, D.; Kanački, Z.; Džinić, N.; Nollet, L.; Spring, P. Effect of selenium sources on performance and meat characteristics of broiler chickens. J. Appl. Poult. Res. 2009, 18, 403–409. [Google Scholar] [CrossRef]
- Silva, V.A.; Clemente, A.H.S.; Nogueira, B.R.F.; de Carvalho, A.C.; de Freitas, L.F.V.B.; Ramos, A.L.S.; Bertechini, A.G. Supplementation of selenomethionine at different ages and levels on meat quality, tissue deposition, and selenium retention in broiler chickens. Poult. Sci. 2019, 98, 2150–2159. [Google Scholar] [CrossRef] [PubMed]
- Taulescu, C.; Mihaiu, M.; Bele, C.; Matea, C.; Dan, R.; Mihaiu, S.D.; Lapusan, A. Antioxidant effect of vitamin E and selenium on omega-3 enriched poultry meat. Bull. UASVM. Vet. Med. 2011, 2, 293–299. [Google Scholar]
- Wang, Y.X.; Zhan, X.A.; Yuan, D.; Zhang, X.W.; Wu, R.J. Effects of selenomethionine and sodium selenite supplementation on meat quality, selenium distribution and antioxidant status in broilers. Czech. J. Anim. Sci. 2011, 56, 305–313. [Google Scholar] [CrossRef]
- Karadas, F.; Erdoğan, S.; Kor, D.; Oto, G.; Uluman, M. The effects of different types of antioxidants (Se, vitamin E and carotenoids) in broiler diets on the growth performance, skin pigmentation and liver and plasma antioxidant concentrations. Braz. J. Poult. Sci. 2016, 18, 101–116. [Google Scholar] [CrossRef]
- Groth, S.; Budke, C.; Neugart, S.; Ackermann, S.; Kappenstein, F.S.; Daum, D.; Rohn, S. Influence of a selenium biofortification on antioxidant properties and phenolic compounds of apples (Malus domestica). Antioxidants 2020, 9, 187. [Google Scholar] [CrossRef] [PubMed]
- Skrypnik, L.; Novikova, A.; Tokupova, E. Improvement of phenolic compounds, essential oil content and antioxidant properties of sweet basil (Ocimum basilicum L.) depending on type and concentration of selenium application. Plants 2019, 8, 458. [Google Scholar] [CrossRef] [PubMed]
- Ryu, Y.C.; Rhee, M.S.; Lee, K.M.; Kim, B.C. Effects of different levels of dietary supplemental selenium on performance, lipid oxidation, and color stability of broiler chicks. Poult. Sci. 2005, 84, 809–815. [Google Scholar] [CrossRef] [PubMed]
- Rukchon, C.; Nopwinyuwong, A.; Trevanich, S.; Jinkarn, T.; Suppakul, P. Development of a food spoilage indicator for monitoring freshness of skinless chicken breast. Talanta 2014, 130, 547–554. [Google Scholar] [CrossRef] [PubMed]
- Cofrades, S.; Banon, S.; Carballo, J.; Colmenero, F.J. Role of cathepsin D activity in gelation of chicken meat heated under pressure. Food Chem. 2003, 80, 241–247. [Google Scholar] [CrossRef]
- Kuswandi, B.; Oktaviana, R.; Abdullah, A.; Heng, L.Y. A novel on-package sticker sensor based on methyl red for real-time monitoring of broiler chicken cut freshness. Packag. Technol. Sci. 2014, 27, 69–81. [Google Scholar] [CrossRef]





| Ingredients (%) | 1 to 28 Day | 29 to 56 Day |
|---|---|---|
| Corn | 42.5 | 54.5 |
| Wheat | 24.0 | 26.0 |
| Soybean meal | 30.0 | 16.0 |
| Dicalcium phosphate | 1.0 | 1.0 |
| Oyster shell | 1.0 | 1.0 |
| Edible salt (NaCl) | 0.1 | 0.1 |
| Mineral supplement 1 | 0.5 | 0.5 |
| Vitamin supplement 2 | 0.5 | 0.5 |
| L-Lysine | 0.2 | 0.2 |
| DL-methionine | 0.2 | 0.2 |
| Treatments 1 | ||||
|---|---|---|---|---|
| Storage Day | CON | I-Se | O-Se | |
| Moisture, % | day-1 | 68.64 ± 0.15 A,x | 68.38 ± 0.11 A,x | 66.56 ± 0.02 B,x |
| day-3 | 67.52 ± 0.21 A,xy | 65.82 ± 0.05 B,y | 65.45 ± 0.05 B,y | |
| day-6 | 66.94 ± 0.15 A,y | 65.12 ± 0.010 B,y | 65.71 ± 0.06 B,y | |
| day-9 | 64.44 ± 0.24 B,z | 64.67 ± 0.04 AB,z | 65.80 ± 0.03 A,y | |
| Protein, % | day-1 | 20.58 ± 0.17 B | 20.65 ± 0.04 B | 21.72 ± 0.06 A |
| day-3 | 20.58 ± 0.11 B | 20.67 ± 0.07 B | 21.85 ± 0.07 A | |
| day-6 | 20.62 ± 0.16 B | 21.11 ± 0.08 AB | 22.12 ± 0.06 A | |
| day-9 | 20.93 ± 0.17 B | 21.47 ± 0.06 AB | 22.12 ± 0.04 A | |
| Lipid, % | day-1 | 6.53 ± 0.34 C | 12.22 ± 0.001 A | 11.52 ± 0.012 B |
| day-3 | 6.28 ± 0.23 C | 12.24 ± 0.016 A | 11.44 ± 0.033 B | |
| day-6 | 6.59 ± 0.24 C | 12.25 ± 0.029 A | 11.53 ± 0.005 B | |
| day-9 | 6.95 ± 0.017 C | 12.42 ± 0.008 A | 11.54 ± 0.057 B | |
| Ash, % | day-1 | 1.86 ± 0.050 A | 1.37 ± 0.005 C | 1.73 ± 0.002 B |
| day-3 | 2.01 ± 0.130 A | 1.39 ± 0.001 B | 1.28 ± 0.007 C | |
| day-6 | 2.12 ± 0.020 B | 1.47 ± 0.005 C | 2.34 ± 0.002 A | |
| day-9 | 2.11 ± 0.160 A | 1.40 ± 0.001 B | 1.38 ± 0.004 B | |
| Treatments 1 | ||||
|---|---|---|---|---|
| Storage Day | CON | I-Se | O-Se | |
| Moisture, % | day-1 | 75.61 ± 0.05 A,x | 68.55 ± 0.07 C | 73.25 ± 0.05 B,x |
| day-3 | 75.03 ± 0.03 A,xy | 68.20 ± 0.22 C | 71.54 ± 0.05 B,y | |
| day-6 | 74.51 ± 0.11 A,yz | 68.14 ± 0.04 C | 71.08 ± 0.03 B,z | |
| day-9 | 74.46 ± 0.05 A,z | 68.13 ± 0.06 C | 71.95 ± 0.04 B,z | |
| Protein, % | day-1 | 13.38 ± 0.04 B | 13.64 ± 0.04 B | 15.77 ± 0.06 A |
| day-3 | 13.59 ± 0.09 B | 13.77 ± 0.01 B | 15.88 ± 0.05 A | |
| day-6 | 13.94 ± 0.07 B | 13.88 ± 0.03 B | 16.13 ± 0.06 A | |
| day-9 | 14.13 ± 0.09 B | 14.01 ± 0.02 B | 16.23 ± 0.02 A | |
| Lipid, % | day-1 | 6.26 ± 0.02 B | 8.23 ± 0.02 A | 8.30 ± 0.04 A |
| day-3 | 6.21 ± 0.03 B | 8.31 ± 0.01 A | 8.41 ± 0.02 A | |
| day-6 | 6.25 ± 0.03 B | 8.32 ± 0.03 A | 8.42 ± 0.04 A | |
| day-9 | 6.28 ± 0.01 B | 8.38 ± 0.02 A | 8.50 ± 0.01 A | |
| Ash, % | day-1 | 1.47 ± 0.003 A | 1.42 ± 0.002 B,x | 1.42 ± 0.001 B,x |
| day-3 | 1.41 ± 0.008 A | 1.10 ± 0.007 C,y | 1.20 ± 0.009 B,y | |
| day-6 | 1.43 ± 0.008 A | 1.01 ± 0.004 C,yz | 1.18 ± 0.001 B,y | |
| day-9 | 1.40 ± 0.002 A | 0.99 ± 0.005 C,z | 1.19 ± 0.002 B,y | |
| Treatments 1 | |||||
|---|---|---|---|---|---|
| Fatty Acids, mg/100 g Sample | CON | I-Se | O-Se | SEM 2 | p-Value 3 |
| C9:0 (Pelargonic acid) | 21.75 B | 111.20 A | 53.57 B | 14.87 | 0.01 |
| C10:0 (Capric acid) | 223.10 B | 961.10 A | 412.40 B | 102.15 | 0.01 |
| C11:0 (Undecanoic acid) | 18.78 B | 92.26 A | 37.44 B | 10.88 | 0.01 |
| C12:0 (Lauric acid) | 173.32 B | 317.11 A | 309.31 A | 35.62 | 0.05 |
| C13:0 (Tridecylic acid) | 21.75 B | 73.32 A | 31.10 B | 8.44 | 0.01 |
| C14:0 (Myristic acid) | 16.48 B | 60.49 A | 25.34 B | 8.12 | 0.02 |
| C16:0 (Palmitic acid) | 1122.94 B | 1963.14 A | 2024.06 A | 61.12 | <0.01 |
| C18:0 (Stearic acid) | 972.00 B | 1412.60 A | 1424.40 A | 89.48 | 0.02 |
| C20: 0 (Arachidic acid) | 0.11 | 0.11 | 0.17 | 0.03 | 0.34 |
| ΣSFA | 2570.23 C | 4991.33 A | 4317.80 B | 58.33 | <0.01 |
| C14:1 (Myristoleic acid) | 19.77 | 38.29 | 49.54 | 12.43 | 0.30 |
| C16:1 (Palmitoleic acid) | 113.68 | 138.7 | 187.78 | 21.37 | 0.12 |
| C18:1 (Oleic acid) | 1717.4 B | 2807.5 A | 3000.40 A | 79.16 | <0.01 |
| C20:1 (Gadoleic acid) | 0.08 B | 0.11 AB | 0.19 A | 0.03 | 0.07 |
| ΣMUFA | 1850.93 C | 2984.57 B | 3237.91 A | 90.44 | <0.01 |
| C18:2 (Linoleic acid) | 802.66 C | 1355.81 B | 1514.30 A | 26.57 | <0.01 |
| C18:3 (Linolenic acid) | 1.33 | 1.21 | 1.54 | 0.16 | 0.21 |
| C20:4 (Arachidonic acid) | 677.10 B | 1104.70 A | 994.80 AB | 95.33 | 0.05 |
| C22:6 (Docosahexaenic acid) | 36.24 C | 84.32 B | 123.84 A | 7.04 | <0.01 |
| ΣPUFA | 1517.33 B | 2546.04 A | 2634.47 A | 102.99 | <0.01 |
| PUFA:SFA | 0.59 A | 0.51 B | 0.61 A | 0.02 | 0.04 |
Publisher’s Note: MDPI stays neutral with regard to jurisdictional claims in published maps and institutional affiliations. |
© 2021 by the authors. Licensee MDPI, Basel, Switzerland. This article is an open access article distributed under the terms and conditions of the Creative Commons Attribution (CC BY) license (http://creativecommons.org/licenses/by/4.0/).
Share and Cite
Nemati, Z.; Alirezalu, K.; Besharati, M.; Holman, B.W.B.; Hajipour, M.; Bohrer, B.M. The Effect of Dietary Supplementation with Inorganic or Organic Selenium on the Nutritional Quality and Shelf Life of Goose Meat and Liver. Animals 2021, 11, 261. https://doi.org/10.3390/ani11020261
Nemati Z, Alirezalu K, Besharati M, Holman BWB, Hajipour M, Bohrer BM. The Effect of Dietary Supplementation with Inorganic or Organic Selenium on the Nutritional Quality and Shelf Life of Goose Meat and Liver. Animals. 2021; 11(2):261. https://doi.org/10.3390/ani11020261
Chicago/Turabian StyleNemati, Zabihollah, Kazem Alirezalu, Maghsoud Besharati, Benjamin W. B. Holman, Mohammadreza Hajipour, and Benjamin M. Bohrer. 2021. "The Effect of Dietary Supplementation with Inorganic or Organic Selenium on the Nutritional Quality and Shelf Life of Goose Meat and Liver" Animals 11, no. 2: 261. https://doi.org/10.3390/ani11020261
APA StyleNemati, Z., Alirezalu, K., Besharati, M., Holman, B. W. B., Hajipour, M., & Bohrer, B. M. (2021). The Effect of Dietary Supplementation with Inorganic or Organic Selenium on the Nutritional Quality and Shelf Life of Goose Meat and Liver. Animals, 11(2), 261. https://doi.org/10.3390/ani11020261

