Next Article in Journal
Mortality Causes in Free-Ranging Eurasian Brown Bears (Ursus arctos arctos) in Spain 1998–2018
Next Article in Special Issue
Oxidative and Epigenetic Changes and Gut Permeability Response in Early-Treated Chickens with Antibiotic or Probiotic
Previous Article in Journal
Can Zoos Ever Be Big Enough for Large Wild Animals? A Review Using an Expert Panel Assessment of the Psychological Priorities of the Amur Tiger (Panthera tigris altaica) as a Model Species
Previous Article in Special Issue
Overfeeding-Induced Obesity Could Cause Potential Immuno-Physiological Disorders in Rainbow Trout (Oncorhynchus mykiss)
 
 
Font Type:
Arial Georgia Verdana
Font Size:
Aa Aa Aa
Line Spacing:
Column Width:
Background:
Article

Effects of Zinc Oxide and Arginine on the Intestinal Microbiota and Immune Status of Weaned Pigs Subjected to High Ambient Temperature

1
College of Animal Life Sciences, Kangwon National University, Chuncheon 24341, Korea
2
National Institute of Animal Science, Rural Development Administration, Cheonan 31000, Korea
*
Author to whom correspondence should be addressed.
These authors contributed equally to this work.
Animals 2020, 10(9), 1537; https://doi.org/10.3390/ani10091537
Submission received: 18 August 2020 / Accepted: 25 August 2020 / Published: 31 August 2020

Abstract

Simple Summary

Weaning stress is an economically important problem in the swine industry, and the economic loss of the growth performance reduction is even more critical if the heat stress adds to the weaning stress. The supplementation of zinc oxide (ZnO) is a promising option in reducing the adverse effects of the weaning period. However, the ban on using pharmacological doses of ZnO from 2022 in Europe will increase the postweaning issues for pig producers. Arginine is known as an anti-stress amino acid and may reduce the requirement of ZnO and adverse effects of weaning.

Abstract

This study aimed to investigate the effect of the l-arginine (Arg) inclusion and different doses of ZnO on the growth performance, intestinal microbiota and integrity, and immune status of weaned pigs. A total of 180 pigs (28-day-old) were randomly allotted to six treatments with six replicate pens in each treatment and five pigs per pen. The dietary treatments were Con (1.1% Arg); P-Zn (1.1% Arg + 2500 mg Zn as ZnO/kg diet); ARG (1.6% Arg); ZnArg1 (500 mg of Zn as ZnO/kg diet + 1.6% Arg); ZnArg2 (1000 mg of Zn as ZnO/kg diet + 1.6% Arg); ZnArg3 (2500 mg of Zn as ZnO/kg diet + 1.6% Arg). The overall result showed that the inclusion of ZnArg3 significantly improved the average daily gain of pigs compared with the Con treatment. There was a reduction in feed intake in pigs fed the Con diet compared with pigs fed the ZnArg3 diet at phase 1 and overall. At phase 1, pigs fed the ZnArg3 diet and P-Zn diet showed a decreased population of Clostridium spp. in the ileum compared with those of the Con treatment. In addition, a lower ileal Clostridium spp. population was detected in pigs fed the ZnArg2 diet compared with pigs fed the Con diet. The pigs fed ZnArg1 and ZnArg3 diets showed a greater villus height of duodenum compared with the Con and P-Zn treatments. The pigs in the Con treatment showed increased mRNA expression of heat shock protein-27 in the liver compared with the P-Zn, ZnArg1, ZnArg2, and ZnArg3 treatments. When fed the basal diet, mRNA expressions of interleukin-6 were increased in the muscle compared with the ZnArg3 treatment. Dietary supplementation with ZnArg2 decreased the mRNA expressions of interferon-γ in the muscle compared with the Con treatment. Supplementation with P-Zn, ZnArg1, ZnArg2, and ZnArg3 decreased mRNA expressions of tumor necrosis factor-α (TNF-α) compared with the Con treatment. The mRNA gene expressions of interleukin-4 were decreased in the jejunum of pigs fed P-Zn, ARG, ZnArg1, ZnArg2, and ZnArg3 diets compared with pigs fed the Con diet. The jejunum gene expression of toll-like receptor-4 was upregulated in the Con and ARG treatments compared with the ZnArg1 and ZnArg3. The ZnArg1, ZnArg2, and ZnArg3 treatments showed lower mRNA expression of TNF-α compared with the Con treatment. In conclusion, there was no difference in growth performance, intestinal microbiota, gene expression of interleukins between ZnArg1 and ZnArg3 treatments. Therefore, the low level of ZnO (500 mg/kg) plus 1.6% dietary Arg may be recommended for pigs during the weaning stress.

1. Introduction

The health condition of piglets is highly unstable at weaning because of the stress of changing feed form, separation from the mother sow, and changes in the physical environment [1,2,3]. These stressors may cause dysbiosis due to sudden microbial changes in the intestine [1,4]. Postweaning intestinal microbiota dysbiosis is associated with some unstable situations including enteric infectious pathogens growth, leaky gut, and incomplete intestinal integrity [4]. Besides, in hot seasons, weanling pigs are under the negative influence of high temperatures, which may enhance the adverse effects of weaning stress. The low recovery rate of heat-stressed weanling piglets is mainly due to the increased oxidative damage [5]. These critical conditions impair the immune system function and intestinal mucosal development, making the piglets susceptible to oxidative stress and microbial infection.
Supplementation of pharmacological doses of ZnO (2500 mg/kg or over) in the piglet diet is a common practice among feed mills and farmers to control the adverse effects of postweaning diarrhea and increase growth performance. There is evidence that high doses of dietary ZnO controlled pathogen growth in the intestine [6]. Besides, dietary supplementation with high doses of ZnO increases the absorption rate that can enhance the antioxidant status [7]. However, feeding high doses of ZnO results in substantial quantities of Zn excretion, and causes environmental concerns [6]. The use of pharmacological doses of ZnO will be banned in June 2022 in the European Union [8], and much lower ZnO concentrations will be allowed to be used in order to reduce Zn excretion.
It is well documented that the infectious morbidity attenuates by l-arginine (Arg) as an immune–nutrient factor [9,10]. The protective role of Arg is related to the intestinal mucosa integration and the increase in the recovery rate of the intestinal barrier [9,11]. The nutritional requirement of Arg is highly dependent on environmental and physiological conditions. Therefore, stressors such as microbial change, heat stress, and sepsis dramatically increase the Arg requirements [10,12,13]. Arginine plays a crucial role in the production of polyamine and NO, which are strong anti-stress and vasodilator factors in mammals [2]. In addition, Arg facilitates the provision of cellular signaling, intestinal recovery, and immunity factors [10,14]. Therefore, it can be hypothesized that the use of dietary Arg levels in higher doses than the recommended requirement may decrease the ZnO requirement during the stressful condition. Little information is available on the role of Arg and ZnO on oxidative damage of weanling piglets during a high ambient environment, in particular, that of immunity status, intestinal integrity, and growth performance. In this study, high dietary Arg (1.6% of the diet) and different levels of ZnO are applied to evaluate their effects on growth performance, immune status, intestinal microbiota, and morphology of pigs.

2. Material and Methods

The project underwent proper ethical standards and the experiments (KW-170519-1) were approved by the Institutional Animal Care and Use Committee of Kangwon National University, Chuncheon, Republic of Korea.

2.1. Animals and Experimental Design

A total of 180 weaned pigs (28-day-old; Landrace × Yorkshire × Duroc; initial body weight (BW): 10.45  ±  0.03 kg) of mixed sex were randomly allotted to six treatments with 6 replicate pens in each treatment and 5 pigs per pen. The dietary treatments were Con (1.1% Arg); P-Zn (1.1% Arg + 2500 mg Zn as ZnO/kg diet); ARG (1.6% Arg); ZnArg1 (500 mg of Zn as ZnO/kg diet + 1.6% Arg); ZnArg2 (1000 mg of Zn as ZnO/kg diet + 1.6% Arg); ZnArg3 (2500 mg of Zn as ZnO/kg diet + 1.6% Arg). All the piglets were clinically healthy at the beginning of the trial. All diets (Table 1) met or exceeded the nutrient requirements according to the National Research Council (NRC) [15] containing 19% crude protein, 0.85% calcium, 0.68% phosphorus, 1.2% SID (standardized ileal digestibility) Lys, 0.39% SID Met, and 0.73% SID Met + Cys. The treatment diets were fed in a meal form in 2 phases (day 0 to 7, phase Ⅰ; and day 8 to 14, phase Ⅱ). This experiment was conducted at the facility of Kangwon National University farm and the piglets were housed in slotted and concrete floor pens with a pen size of 1.90 m × 3.0 m. All pens were equipped with a self-feeder and nipple drinker to allow ad libitum access to feed and water. Individual weanling piglet weight and feed intake from each pen were recorded at the beginning and the end of every phase to determine average daily gain (ADG), average daily feed intake (ADFI), and gain to feed ratio (G:F). All pigs were subjected to a constant room temperature of 35 °C for 10 h (07:00–17:00). The average relative humidity of the room was in the range of 43% to 59%, which indicates temperature and humidity index between 83.4 and 86.6 at the heat stress period. The rectal temperature was measured at days 1, 7, and 14 of the experiment using a digital thermometer (MSR, Measure Technology Co., Ltd.; Taipei, Taiwan). The pigs were sacrificed by electrocution followed by exsanguination.

2.2. Chemical Analysis

Diet samples were analyzed in triplicate for crude protein (Method 990.03), calcium, and phosphorus (method 985.01), and ether extract (method 920.39), according to Association of Official Analytical Chemists [16]. Gross energy of diets was measured by a bomb calorimeter (Model 1261, Parr Instrument Co., Moline, IL, USA). Amino acid composition of feed samples was analyzed by High Performance Liquid Chromatography (Waters 486, Waters Corp., Milford, MA, USA) after acid hydrolysis [17]. The methionine and cysteine were determined following oxidation with performic acid [18].

2.3. Microbial Analyses

To study the effects of dietary treatments on small intestinal microbiota, representative piglets from each group (2 piglets per replicate; one male and one female) reflecting the average BW of the pen were selected at days 7 and 14. The digesta from the ileum was collected in sterile plastic bottles for microbial analysis. The samples collected for microbial analysis were placed on ice and immediately sent to the laboratory for analysis. The ileal digesta samples (one gram) were mixed with 9 mL peptone broth (1%) and the homogenized (Becton, Dickinson and, Franklin Lakes, NJ, USA). In the next step, serially 10-fold dilutions in the pellets were used for Viable counts of bacteria. To determine the total anaerobic bacteria (Tryptic soy agar), Lactobacillus spp. (using MRS agar + 0.200 g/L NaN3 + 0.500 g/L l-cystine hydrochloride monohydrate), Bifidobacterium spp. (MRS-NPNL: MRS agar + nalidixic acid, paromomycin + neomycin sulphate + lithium chloride), Clostridium spp. (TSC agar) and coliforms (violet red bile agar) were used. The gas pack anaerobic system (BBL, No. 260678, Difco, Detroit, MI, USA) was used for preparing anaerobic conditions. The tryptic soy agar, MRS agar, and violet red bile agar were purchased from Difco Laboratories (Detroit, MI, USA), and TSC agar (CM0589) was purchased from Oxoid (Hampshire, UK). The bacterial concentrations were transformed (log) before statistical analysis.

2.4. Small Intestinal Morphology

The sacrificed pigs (two pigs per pen) were subjected to morphological tests at day 14. The intestinal morphology test was performed according to the procedure described by Hosseindoust et al. [19]. Five-centimeter cross-sectional segments were taken from the duodenum (approximately 10 cm from the pylorus), jejunum (at 50% of the total intestinal length), and ileum (at 75% of the total intestinal length). In short, for each intestinal sample, three cross-sections were prepared after staining with azure A and eosin using standard paraffin-embedding procedures. A total of 10 intact, well-oriented crypt-villus units were selected in triplicate for each intestinal cross-section. The measurement of villus height was performed from the tip of the villi to the villus–crypt junction, while the crypt depth was defined as the depth of the invagination between adjacent villi, and villus width was measured till the mid of the villus. All morphological measurements (villus height and crypt depth) were performed in 10-μm increments using an image processing and analysis system (Optimus software version 6.5, Media Cybergenetics, North Reading, MA, USA).

2.5. RNA Extraction and Real-Time PCR of Organ Samples

The sacrificed pigs (two pigs per pen, one male and one female) were subjected to gene expression analysis at day 14. Total RNA was isolated from the Jejunum (50 mg; from the middle jejunum segment), liver (50 mg; from the liver left lateral lobe), and muscle (50 mg; from the longissimus dorsi muscle close to the fourth rib) samples using Trizol reagent (Invitrogen, Carlsbad, CA, USA) according to the manufacturer’s instruction. Extracted RNA was quantified to 1 μg/μL and cDNA synthesis was conducted using the Improm-II Reverse transcription system (Promega, Fitchburg, MA, USA) and PCR was performed using Mx3000P real-time PCR (Stratagen, Redmond, WA, USA). The results were expressed as a relative expression by using the delta-delta method. The primers of interleukin-4 (IL-4), interleukin-6 (IL-6), interferon-γ (IFNγ), heat shock protein-27 (HSP27), toll-like receptor-4 (TLR4), and tumor necrosis factor-α (TNF-α) were presented in Table 2. In this process, β-actin was introduced to adjust the quantity of input cDNA to maintain the role in internal control [20]. A total of 20 μL reaction system included 10 μL SYBR Premix Ex Taq, 0.8 μL of forward and reverse primer (10 μM), 0.4 μL ROX Reference Dye II (50×), 2.0 μL cDNA template, and 6 μL dd H2O. Cycling conditions were as follows: 30 s at 95 °C, 40 cycles of denaturation step at 95 °C for 3 s, 60 °C annealing step for 34 s and a 72 °C extension step for 15 s.

2.6. Blood Parameters

The blood samples were collected from 2 piglets per pen on the last day of each phase. Five milliliters of ethylenediaminetetraacetic acid (EDTA) treated (Becton Dickinson, Franklin Lakes, NJ, USA) and not-treated blood samples were collected from the jugular vein and stored on ice for immediate hematological analysis. The EDTA-treated blood was diluted by Natt-Herrick solution and mixed for 15 min for white blood cells (WBC), red blood cells (RBC), lymphocytes, and monocytes analyses using Hemavet Multispecies Hematology Systems (Scientific Inc., Oxford, CT, USA). The rest of the blood samples were centrifuged at 1500 rpm for 20 min in a centrifuge, and plasma was separated and used for cortisol analysis. Cortisol was analyzed using an ELISA kit (ADI-900-70; Enzo Life Sciences, Farmingdale, NY, USA).

2.7. Statistical Analysis

The data were analyzed as a completely randomized design using the GLM procedure of SAS (version 9.4, 1996, SAS Inst. Inc., Cary, NC, USA). The initial body weight was used as a covariate for growth performance but was removed from the model when not significant. Each piglet was an experimental unit for growth performance, feed intake, microbial test, intestinal morphology, blood parameters, and gene expression analyses. The Tukey means comparison test was applied for treatment means separation by at p < 0.05 statistical level. Probability level of less than 0.1 was considered a tendency.

3. Results

3.1. Rectal Temperature and Growth Performance

The average rectal temperature measured at days 1, 7, and 14 of the trial were 38.5 ± 0.82 °C, 38.1 ± 0.76 °C, and 38.1 ± 0.84 °C, respectively. The results of growth performance are shown in Table 3. There was no difference in the ADG of pigs in the first and second phases. The overall result showed that the inclusion of ZnArg3 significantly improved (p < 0.05) the ADG compared with the Con treatment. There was a reduction in ADFI in pigs in the Con treatment compared with the pigs fed the ZnArg3 diet in phase 1 and overall. The gain to feed ratio was not affected by the treatments.

3.2. Microflora Composition

The microbial population in the ileum is shown in Table 4. There was no difference in the population of total anaerobic bacteria, Bifidobacterium spp., Lactobacillus spp., and Coliforms among the treatments. At phase 1, pigs in ZnArg3 and P-Zn treatments showed a decreased population of Clostridium spp. in the ileum compared with those of the Con treatment (p < 0.01). In addition, a lower ileal Clostridium spp. population was detected in pigs fed ZnArg2 diet compared with pigs fed Con diet. At phase 2, the colonization of Clostridium spp. was higher in the Con and ARG treatments compared with the ZnArg3 treatment.

3.3. Intestinal Morphology

As shown in Table 5, pigs fed ZnArg1 and ZnArg3 diets had greater villus height in the duodenum compared with pigs fed Con and P-Zn diets. Moreover, there was a tendency of higher villus height in the jejunum of pigs fed the ZnArg3 diet compared with pigs fed the Con diet. There was no difference in villus height in the jejunum and ileum. In addition, the crypt depth and villus height to crypt depth ratio were not affected by the dietary treatments.

3.4. Blood Parameters

The results of the blood parameters are presented in Table 6. The concentration of WBC, RBC, and cortisol was not affected by the treatments. The number of lymphocytes was not affected at day 7, however, there was a lower number of lymphocytes in ZnArg1, ZnArg2, and ZnArg3 treatments compared with Con treatment at day 14. There was no difference among the treatments for the number of monocytes, however, eosinophil number was higher (p = 0.021) in Con and ZnArg1 treatments compared with ZnArg2 and ZnArg3 treatments. There was a tendency to lower blood cortisol in pigs fed ZnArg2 diet compared with pigs fed Con diet.

3.5. Gene Expression in the Organs

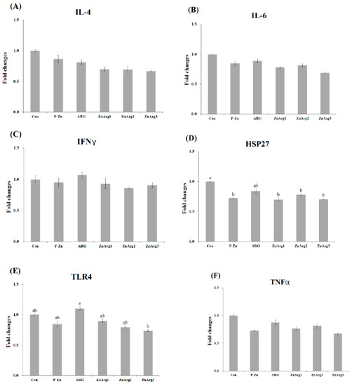
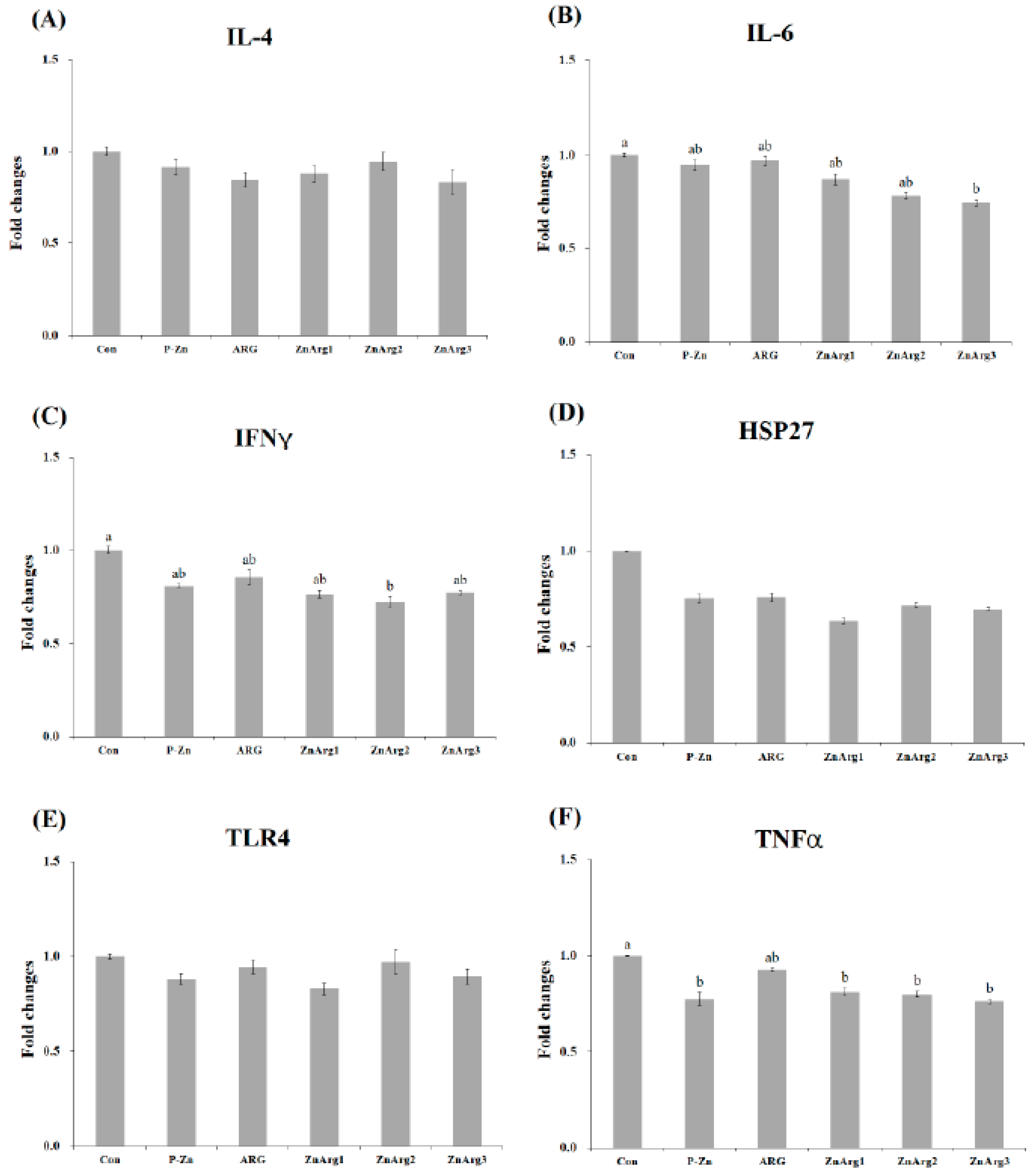
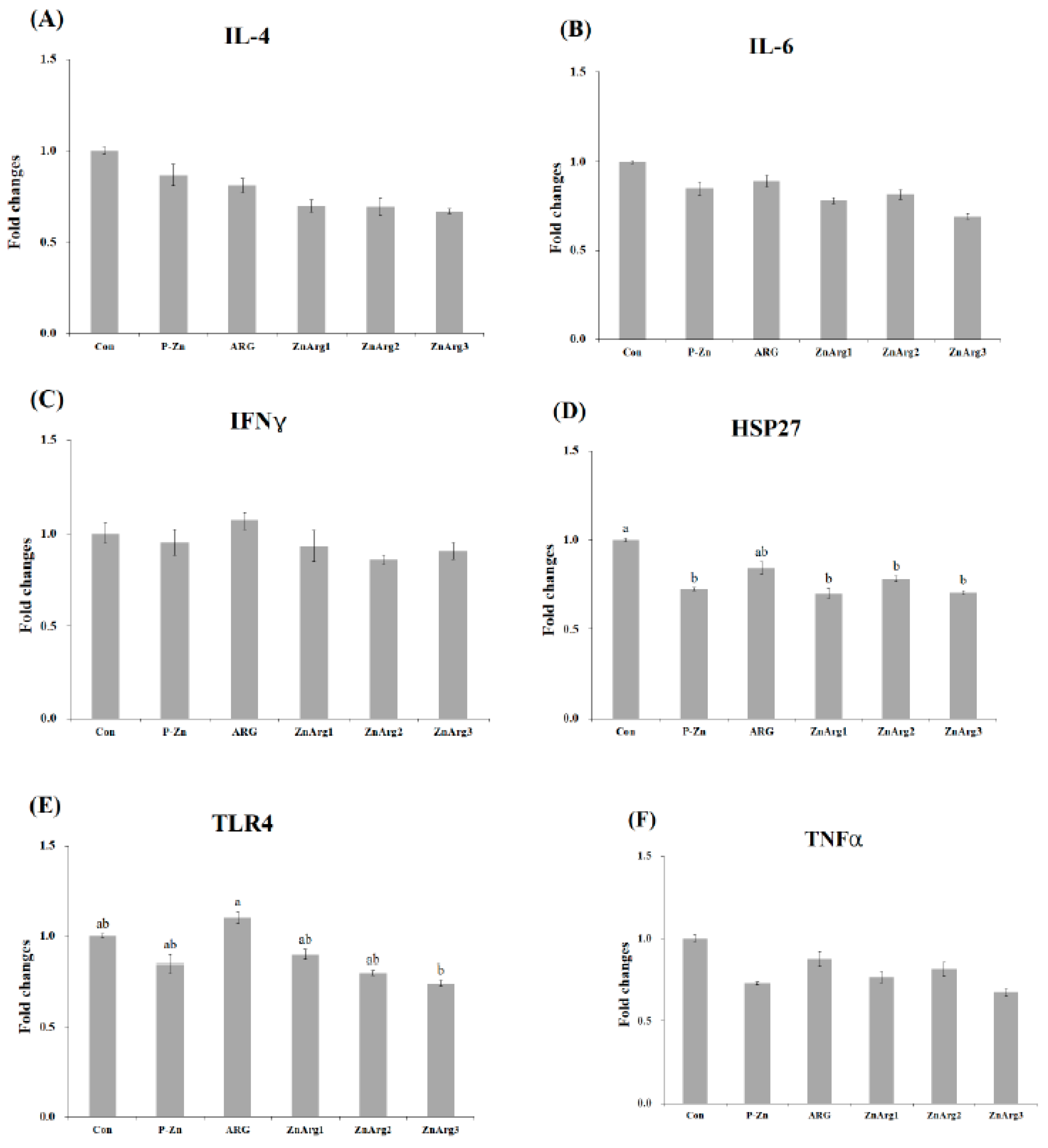
The pigs in the Con treatment showed higher mRNA expression of HSP27 in the liver compared with the P-Zn, ZnArg1, ZnArg2, and ZnArg3 treatments (p < 0.05, Figure 1). Greater gene expression of TLR4 was observed in pigs fed ARG compared with pigs fed ZnArg3. There were no differences between the treatments in the gene expression of IL-4, IL-6, IFNγ, and TNF-α in the liver. When fed the Con diet, pigs had enhanced mRNA expressions of IL-6 in the muscle compared with pigs fed ZnArg3 (p < 0.05, Figure 2). Dietary supplementation with 1.6% Arg and 1000 mg/kg Zn as ZnO decreased the mRNA expressions of IFNγ in the muscle compared with Con treatment (p < 0.05). TNF-α expression was decreased in pigs fed P-Zn, ZnArg1, ZnArg2, and ZnArg3 compared with pigs fed Con (p < 0.05). There were no differences among the treatments in the gene expression of IL-4, HSP27, and TLR4. The mRNA gene expressions of IL-4 were decreased in the jejunum of pigs fed P-Zn, ARG, ZnArg1, ZnArg2, and ZnArg3 compared with pigs fed Con (Figure 3; p < 0.05). The ZnArg1, ZnArg2, and ZnArg3 treatments showed lower mRNA expression of TNF-α compared with the Con treatment. The gene expression of TLR4 in the jejunum was upregulated in the Con and ARG treatments compared with the ZnArg1 and ZnArg3 treatments. The treatments did not significantly impact the mRNA expression of IL-6, IFNγ, and HSP27 in the jejunum.

4. Discussion

The supplementation of pharmacological doses of ZnO is routinely considered in weaned pigs’ diets to alleviate diarrhea incidence and reduce growth depression during the weaning period [6,21]. In our study, the response to ADG and ADFI in pigs fed the ZnArg3 diet was increased relative to the pigs fed the Con diet, however, there were no differences between the ARG and ZnArg3 treatments. Compromising the growth performance in pigs fed the Con diet could be resulting from the insufficient nutrients intake, as shown by the significantly reduced ADFI in the Con treatment. The finding that supplementing 2500 mg/kg of Zn as ZnO showed no growth benefit compared with pigs fed 500 or 1000 mg/kg ZnO was in contrast to a previous study, which reported a significant difference between 2500 mg/kg ZnO and levels less than 1000 mg/kg [22]. It is believed that the lower doses of ZnO (below 1000 mg/kg) are not effective in the performance of weaned pigs [6,23]. The literature shows that the pharmacological dose of ZnO (2500 mg/kg or above) increases ADG and ADFI due to controlling the population of Escherichia coli, clostridium, and incidence of diarrhea [9,24]. Pigs fed the ZnArg3 diet were less under stress due to the lower gene expression of HSP27, which can be responsible for higher ADFI. In addition, our results showed that the ADG and ADFI of pigs in ZnArg1 treatments were comparable with pigs in ZnArg3 treatment. It may be postulated that the positive anti-stress effects of dietary Arg may be responsible for insignificant differences between ZnArg3 and ZnArg1 treatments. Anti-stress effects of Arg may have a complementary role for the pharmacological dose of ZnO in case of decreasing stress, as Arg activates the production of nitric oxide and peroxynitrite [25]. However, our results rejected the hypothesis of the direct effects of Arg in eliminating pathogens [26] due to the lack of difference in the number of coliforms and clostridia in the ARG treatment, and only the pharmacological dose of ZnO (2500 mg/kg) showed a definite effect in controlling Clostridium spp. The decreased villus height in pigs fed the Con diet may be another reason for the lower growth performance, which may be related to the anti-pathogenic properties of ZnO.
During weaning stress, the manipulation of microbial population in order to control opportunistic pathogens becomes a priority. Moreover, it is widely accepted that intestinal mucosal integrity is generally associated with gut microbiota. This interaction might be of importance when animals have to struggle with the change of diet form and facing a severe change in the microbial biomass and composition in the intestine. Although in the current study the absorption of Zn and the concentration of ZnO in the digesta were not studied, the microbiota composition in different phases was evaluated. A lower number of Clostridium spp. was detected in pigs fed the ZnArg3 diet compared with pigs fed the Con diet, however, the lower ZnO supplementations (ZnArg1 and ZnArg2) did not show a significant effect on Clostridium spp. colonization. Hosseindoust et al. [24] and Liu et al. [7] reported that the antimicrobial activity of ZnO against coliforms makes it an ideal candidate to control the microbiota, however, they did not report any change in the number of Clostridium spp. In another study, the population of coliforms and Clostridium spp. was linearly decreased in the ileum and colon of weaned pigs when the dose of ZnO increased from 500 mg/kg to 2500 mg/kg [6]. It is reasonable to speculate that influences on the intestinal microbiota might not be modified by ZnO with lower doses than the pharmacological one. Additionally, the supplementation with 1.6% Arg did not modify the microbial population. This result disagrees with the report of Ren et al. [27], who supplemented a high dose of Arg containing 0.93% l-arginine gram into the diet of mice to manipulate the microbial change in favor of beneficial bacteria including Lactobacillus spp. It is crucial to investigate which ratio of Arg and ZnO will influence the weaned pig’s microbiota and immune status.
In the present study, a severe decrease in villus height in the duodenum occurred in pigs fed the Con diet compared with pigs fed ZnArg1 and ZnArg3. Intriguingly, the villus height in the jejunum and ileum remained unchanged. Kim et al. [6] reported a greater villus height in the duodenum and ileum of weaned pigs by the supplementation of a pharmacological dose of ZnO into the diet. The reduced villus crypt structure alteration including villus height and crypt depth, crypt hyperplasia, and generally intestinal structural injury occurs mostly during the weaning [28]. The villus height was not improved in pigs fed ARG diet. The role of different doses of Arg on intestinal morphology should be further studied since the weaning time is the most critical period.
The mRNA expression levels of HSP27 in the livers were remarkably decreased in pigs fed P-Zn, ZnArg1, ZnArg2, and ZnArg3 diets compared with the Con treatment. The positive correlation between HSP expression and stress was previously reported in other studies [2,4,13]. The low gene expression of HSP27 in the liver and a tendency for lower blood cortisol in the ZnArg2 and ZnArg3 treatments may indicate a lower stress level compared with the Con treatment. Arg is reported to be an anti-stress or immunomodulatory factor by the activation of ornithine decarboxylase and generating polyamines [10]. In addition, to our knowledge, there is no report related to the influence of dietary Arg on the TLR gene expression in weanling pigs during heat stress. In this study, a high level (1.6% of diet) of dietary Arg increased the gene expression of TLR4 in the jejunum and liver. These findings may be explained by the result of a microbial test wherein dietary Arg showed significantly higher Clostridium spp. population compared with ZnO-supplemented treatments in the small intestine. A lower number of Clostridium spp. was detected in pigs fed the ZnArg3 diet compared with pigs fed the Con diet, which might have caused a decrease in TLR4 expression in the jejunum. The pathogenic microbes are recognized by the innate immune system through the stimulation of TLRs. The TLR4 is a type of pattern recognition receptors in epithelial cells that have been identified as the main pathway on the innate immune system for recognition of lipopolysaccharide (LPS), a component of the bacterial cell wall [29]. The over-expression of the TLR signaling pathway may be responsible for the stress-induced suppression of the immune system. Interestingly, our result supports the hypothesis that cytokines production increases through TLR4 signaling among ZnO-supplemented treatments by increasing the gene expression of IL-4 in the jejunum and IL-4 and TNF-α in the liver. Dietary ZnO beneficially affected the bacterial communities and mRNA expression of inflammatory cytokines and TLR4.
A large body of evidence has shown the upregulation of pro-inflammatory cytokine gene expression within a short time of weaning [28,30,31]. In the present study, the expression of TNF-α was decreased in the jejunum of pigs fed P-Zn, ZnArg1, ZnArg2, and ZnArg3 diets. Intestinal inflammation occurs in pigs after weaning [23]. The high inflammation induces an elevated specific secretion of cytokines from intestinal lymphocytes [32]. The current study showed a lower expression of IL-4 in the jejunum and a lower count of lymphocytes in pigs fed ZnArg1, ZnArg2, and ZnArg3 diets. IL-4 is known as a B lymphocyte growth promoter and can linearly modulate the production and development of B and T lymphocytes [33]. In contrast, Han et al. [10] reported that the content of IL-2 and IFNγ in the serum was increased in cyclophosphamide-challenged weaned piglets. The over-production of TNF-α and IL-6 compromise the intestinal epithelial permeability, resulting in increased pathologic opening in the tight junction [22]. The extra-cellular pathogens, such as intestinal microbes, secrete IL-4, IL-10, and IL-13 to activate the immune system and produce strong antibody-mediated responses [34]. In agreement, it has long been known that the IL-6 concentration increases in stressful conditions and during acute inflammation [35]. The increased gene expressions of TNF-α, IL-6, and IFNγ were noticed in salmonella-challenged pigs [36]. It has been reported that lactic acid bacteria downregulate the gene expression of inflammatory cytokines [37]. In addition, the higher number of eosinophils in pigs fed the Con diet may be responsible for higher gene expression of cytokines. It has been reported that the eosinophils increase the gene expression of IL-1, IL-4, IL-6, and TNF-α [38]. As the increase in pro-inflammatory cytokines adversely affects the development of intestinal epithelium, controlling the concentration of intestinal inflammatory cytokines and intestinal integrity is crucial to alleviate intestinal disorders at the weaning time.

5. Conclusions

The growth performance, intestinal microbiota, microbial composition, and immune status of weanling pigs were improved in pigs fed P-Zn, ZnArg1, ZnArg2, and ZnArg3 diets but not in pigs fed the ARG diet. However, the heat-challenged weaned piglets fed diets supplemented with 1.6% Arg and low ZnO (500 mg/kg) content expressed similar growth performance, intestinal microbiota, intestinal integrity, as those fed diets supplemented with 1.6% Arg and high ZnO (2500 mg/kg) content. Therefore, it can be postulated that the dietary Arg alone cannot be effective during the weaning stress but can be practically applicable to dietary ZnO supplementation. Further studies are required to determine the optimum combination of Arg and ZnO.

Author Contributions

Data curation: J.S.K.; Formal analysis: J.W.C., E.S.C.; Funding acquisition: J.S.K.; Investigation: S.J.S.; Methodology: J.S.K.; Project administration: S.Y.Y., H.S.K.; Writing original draft: H.S.K. and J.S.K. All authors contributed to this work. All authors have read and agreed to the published version of the manuscript.

Funding

This research was funded by Rural Development Administration, grant number “PJ014796012020” and the APC was funded by “Jin Soo Kim”.

Conflicts of Interest

The authors declare that they have no competing interests. The funders had no role in the design of the study; in the collection, analyses, or interpretation of data; in the writing of the manuscript, or in the decision to publish the results.

Abbreviations

ARGarginine supplementation
TNFtumor necrosis factor
ILinterleukin
INFinterferon
HSPheat shock protein
TLRtoll-like receptor
LPSlipopolysaccharide
ADGaverage daily gain
ADFIaverage daily feed intake
GFgain to feed ratio
WBCwhite blood cells
RBCred blood cells
P-Zn2500 mg/kg of Zn as ZnO
ZnArg1500 mg Zn as ZnO/kg diet + 1.6% Arg
ZnArg21000 mg Zn as ZnO/kg diet + 1.6% Arg
ZnArg32500 mg Zn as ZnO/kg diet + 1.6% Arg
NOnitrogen oxide

References

  1. Kim, J.S.; Hosseindoust, A.; Lee, S.H.; Choi, Y.H.; Kim, M.J.; Lee, J.H.; Kwon, I.K.; Chae, B.J. Bacteriophage cocktail and multi-strain probiotics in the feed for weanling pigs: Effects on intestine morphology and targeted intestinal coliforms and Clostridium. Animal 2017, 11, 45–53. [Google Scholar] [CrossRef] [PubMed]
  2. Berlinguer, F.; Porcu, C.; Molle, G.; Cabiddu, A.; Dattena, M.; Gallus, M.; Pasciu, V.; Succu, S.; Sotgiu, F.D.; Paliogiannis, P.; et al. Circulating Concentrations of Key Regulators of Nitric Oxide Production in Undernourished Sheep Carrying Single and Multiple Fetuses. Animals 2020, 10, 65. [Google Scholar] [CrossRef] [PubMed]
  3. Lee, J.; Hosseindoust, A.; Kim, M.; Kim, K.; Choi, Y.; Lee, S.; Lee, S.; Cho, H.; Chae, B. Supplemental hot melt extruded nano-selenium increases expression profiles of antioxidant enzymes in the livers and spleens of weanling pigs. Anim. Feed Sci. Tech. 2019, 262, 114381. [Google Scholar] [CrossRef]
  4. López-Colom, P.; Estellé, J.; Bonet, J.; Coma, J.; Martín-Orúe, S.M. Applicability of an Unmedicated Feeding Program Aimed to Reduce the Use of Antimicrobials in Nursery Piglets: Impact on Performance and Fecal Microbiota. Animals 2020, 10, 242. [Google Scholar] [CrossRef]
  5. Royer, E.; Barbé, F.; Guillou, D.; Rousselière, Y.; Chevaux, E. Development of an oxidative stress model in weaned pigs highlighting plasma biomarkers’ specificity to stress inducers. J. Anim. Sci. 2016, 94, 48–53. [Google Scholar] [CrossRef]
  6. Oh, S.M.; Kim, M.; Hosseindoust, A.; Kim, K.Y.; Choi, Y.H.; Ham, H.B.; Hwang, S.J.; Lee, J.H.; Cho, H.J.; Kang, W.S.; et al. Hot melt extruded-based nano zinc as an alternative to the pharmacological dose of ZnO in weanling piglets. Asian-Australas J. Anim. Sci. 2020, 33, 992. [Google Scholar] [CrossRef]
  7. Liu, H.; Hu, J.; Mahfuz, S.; Piao, X. Effects of Hydrolysable Tannins as Zinc Oxide Substitutes on Antioxidant Status, Immune Function, Intestinal Morphology, and Digestive Enzyme Activities in Weaned Piglets. Animals 2020, 10, 757. [Google Scholar] [CrossRef]
  8. European Medicines Agency (EMA). Committee for Medicinal Products for Veterinary Use (CVMP); EMA: London, UK, 2017; Article 35. [Google Scholar]
  9. Sukhotnik, I.; Helou, H.; Mogilner, J.; Lurie, M.; Bernsteyn, A.; Coran, A.G.; Shiloni, E. Oral arginine improves intestinal recovery following ischemia-reperfusion injury in rat. Pediatr. Surg. Int. 2005, 21, 191–196. [Google Scholar] [CrossRef]
  10. Han, J.; Liu, Y.L.; Fan, W.; Chao, J.; Hou, Y.Q.; Yin, Y.L.; Zhu, H.L.; Meng, G.Q.; Che, Z.Q. Dietary L-arginine supplementation alleviates immunosuppression induced by cyclophosphamide in weaned pigs. Amino Acids 2009, 37, 643–651. [Google Scholar] [CrossRef]
  11. Tan, B.; Yin, Y.; Kong, X.; Li, P.; Li, X.; Gao, H.; Li, X.; Huang, R.; Wu, G. L-Arginine stimulates proliferation and prevents endotoxin-induced death of intestinal cells. Amino Acids 2010, 38, 1227–1235. [Google Scholar] [CrossRef]
  12. Mou, Q.; Yang, H.S.; Yin, Y.L.; Huang, P.F. Amino Acids Influencing Intestinal Development and Health of the Piglets. Animals 2019, 9, 302. [Google Scholar] [CrossRef] [PubMed]
  13. Wu, X.; Ruan, Z.; Gao, Y.; Yin, Y.; Zhou, X.; Wang, L.; Geng, M.; Hou, Y.; Wu, G. Dietary supplementation with L-arginine or N-carbamylglutamate enhances intestinal growth and heat shock protein-70 expression in weanling pigs fed a corn-and soybean meal-based diet. Amino Acids 2010, 39, 831–839. [Google Scholar] [CrossRef] [PubMed]
  14. Subramaniyan, S.A.; Kang, D.; Siddiqui, S.H.; Park, J.; Tian, W.; Park, B.; Shim, K. Effects of In Ovo Supplementation with Nanonutrition (L-Arginine Conjugated with Ag NPs) on Muscle Growth, Immune Response and Heat Shock Proteins at Different Chicken Embryonic Development Stages. Animals 2020, 10, 564. [Google Scholar] [CrossRef]
  15. NRC–National Research Council. Nutrient Requirements of Swine, 11th ed.; National Academy Press: Washington, DC, USA, 2012; 420p. [Google Scholar]
  16. AOAC. Official Methods of Analysis of the Association of Official Analytical Chemists International, 18th ed.; AOAC International: Gaithersburg, MD, USA, 2007. [Google Scholar]
  17. Knabe, D.A.; LaRue, D.C.; Gregg, E.J.; Martinez, G.M.; Tanksley, T.D., Jr. Apparent digestibility of nitrogen and amino acids in protein feedstuffs by growing pigs. J. Anim. Sci. 1989, 67, 441–458. [Google Scholar] [CrossRef] [PubMed]
  18. Moore, S. On the determination of cystine as cysteric acid. J. Biol. Sci. 1963, 38, 235–237. [Google Scholar]
  19. Hosseindoust, A.R.; Lee, S.H.; Kim, J.S.; Choi, Y.H.; Kwon, I.K.; Chae, B.J. Productive performance of weanling piglets was improved by administration of a mixture of bacteriophages, targeted to control Coliforms and Clostridium spp. shedding in a challenging environment. J. Anim. Physiol. Anim. Nutr. 2017, 101, 98–107. [Google Scholar] [CrossRef]
  20. Taha-abdelaziz, K.; Alkie, T.N.; Hodgins, D.C.; Shojadoost, B.; Sharif, S. Characterization of host responses induced by Toll-like receptor ligands in chicken cecal tonsil cells. Vet. Immunol. Immunopathol. 2016, 174, 19–25. [Google Scholar] [CrossRef]
  21. Lee, S.; Hosseindoust, A.; Goel, A.; Choi, Y.; Kwon, I.K.; Chae, B. Effects of dietary supplementation of bacteriophage with or without zinc oxide on the performance and gut development of weanling pigs. Ital. J. Anim. 2016, 15, 412–418. [Google Scholar] [CrossRef]
  22. Hu, C.H.; Song, J.; Li, Y.L. Diosmectite-ZnO composite improves intestinal barrier function, modulates expression of proinflammatory cytokines and tight junction protein in early weaned pigs. Br. J. Nutr. 2013, 110, 681–688. [Google Scholar] [CrossRef]
  23. Hu, C.H.; Gu, L.Y.; Luan, Z.S.; Song, J.; Zhu, K. Effects of montmorillonite–zinc oxide hybrid on performance, diarrhea, intestinal permeability and morphology of weanling pigs. Anim. Feed Sci. Technol. 2012, 177, 108–115. [Google Scholar] [CrossRef]
  24. Hosseindoust, A.R.; Lee, S.H.; Kim, J.S.; Choi, Y.H.; Noh, H.S.; Lee, J.H.; Jha, P.K.; Kwon, I.K.; Chae, B.J. Dietary bacteriophages as an alternative for zinc oxide or organic acids to control diarrhoea and improve the performance of weanling piglets. Vet. Med. Czech 2017, 62, 53–61. [Google Scholar] [CrossRef]
  25. Weinberg, J.B. Nitric oxide production and nitric oxide synthase type 2 expression by human mononuclear phagocytes: A review. Mol. Med. 1998, 4, 557–591. [Google Scholar] [CrossRef] [PubMed]
  26. Vespa, G.N.; Cunha, F.Q.; Silva, J.S. Nitric oxide is involved in control of Trypanosoma cruzi-induced parasitemia and directly kills the parasite in vitro. Infect. Immun. 1994, 62, 5177–5182. [Google Scholar] [CrossRef] [PubMed]
  27. Ren, W.; Chen, S.; Yin, J.; Duan, J.; Li, T.; Liu, G.; Feng, Z.; Tan, B.; Yin, Y.; Wu, G. Dietary arginine supplementation of mice alters the microbial population and activates intestinal innate immunity. J. Nutr. 2014, 144, 988–995. [Google Scholar] [CrossRef]
  28. Pié, S.; Lallès, J.P.; Blazy, F. Weaning is associated with an upregulation of expression of inflammatory cytokines in the intestine of piglets. J. Nutr. 2004, 134, 641–647. [Google Scholar] [CrossRef]
  29. Cochet, F.; Peri, F. The role of carbohydrates in the lipopolysaccharide (LPS)/toll-like receptor 4 (TLR4) signalling. Int. J. Mol. Sci. 2017, 18, 2318. [Google Scholar] [CrossRef]
  30. Hu, C.H.; Xiao, K.; Luan, Z.S. Early weaning increases intestinal permeability, alters expression of cytokine and tight junction protein, and activates mitogen-activated protein kinases in pigs. J. Anim. Sci. 2013, 91, 1094–1101. [Google Scholar] [CrossRef]
  31. Ji, Y.; Wu, Z.; Dai, Z.; Wang, X.; Li, J.; Wang, B.; Wu, G. Fetal and neonatal programming of postnatal growth and feed efficiency in swine. J. Anim. Sci. Biotechnol. 2017, 8, 42. [Google Scholar] [CrossRef]
  32. Manzano, M.; Abadia-Molina, A.C.; Garcia-Olivares, E. Absolute counts and distribution of lymphocyte subsets in small intestine of BALB/c mice change during weaning. J. Nutr. 2002, 132, 2757–2762. [Google Scholar] [CrossRef]
  33. Sawai, T.; Goldstone, N.; Drongowski, R.A.; Coran, A.G.; Harmon, C.M. Effect of secretory immunoglobulin A on bacterial translocation in an enterocyte-lymphocyte co-culture model. Pediatr. Surg. 2001, 17, 275–279. [Google Scholar] [CrossRef]
  34. Bauer, E.; Williams, B.A.; Smidt, H.; Verstegen, M.W.; Mosenthin, R. Influence of the gastrointestinal microbiota on development of the immune system in young animals. Curr. Issues Intest. Microbiol. 2006, 7, 35–52. [Google Scholar] [PubMed]
  35. Van Snick, J. Interleukin 6: An overview. Annu. Rev. Immunol. 1990, 8, 253–278. [Google Scholar] [CrossRef] [PubMed]
  36. Yin, F.; Farzan, A.; Wang, Q.; Yu, H.; Yin, Y.; Hou, Y.; Friendship, R.; Gong, J. Reduction of Salmonella enterica serovar Typhimurium DT104 infection in experimentally challenged weaned pigs fed a Lactobacillus-fermented feed. Foodborne Pathog. Dis. 2014, 1, 628–634. [Google Scholar] [CrossRef]
  37. Xu, S.; Zhang, P.; Cao, M.; Dong, Y.; Li, J.; Lin, Y.; Che, L.; Fang, Z.; Feng, B.; Zhuo, Y.; et al. Microbial Mechanistic Insights into the Role of Sweet Potato Vine on Improving Health in Chinese Meishan Gilt Model. Animals 2019, 9, 632. [Google Scholar] [CrossRef] [PubMed]
  38. Nakajima, H.; Gleich, G.J.; Kita, H. Constitutive production of IL-4 and IL-10 and stimulated production of IL-8 by normal peripheral blood eosinophils. J. Immunol. 1996, 156, 4859–4866. [Google Scholar] [PubMed]
Figure 1. Relative expression of, (A) interleukin-4 (IL-4), (B) interleukin-6 (IL-6), (C) interferon-γ (IFNγ), (D) heat shock protein-27 (HSP27), (E) toll like receptor-4 (TLR4), and (F) tumor necrosis factor-α (TNF-α) in the liver of weanling piglets. Error bars represent standard error of means. Bars with different letters (a~b) differ significantly across all 6 treatment groups (p < 0.05). Con: 1.1% Arg; P-ZnO: 1.1% Arg + 2500 mg Zn/kg diet; ARG: 1.6% Arg; ZnArg1: 1.6% Arg + 500 mg Zn/kg diet; ZnArg2: 1.6% Arg + 1000 mg Zn/kg diet; ZnArg3: 1.6% Arg + 2500 mg Zn/kg diet.
Figure 1. Relative expression of, (A) interleukin-4 (IL-4), (B) interleukin-6 (IL-6), (C) interferon-γ (IFNγ), (D) heat shock protein-27 (HSP27), (E) toll like receptor-4 (TLR4), and (F) tumor necrosis factor-α (TNF-α) in the liver of weanling piglets. Error bars represent standard error of means. Bars with different letters (a~b) differ significantly across all 6 treatment groups (p < 0.05). Con: 1.1% Arg; P-ZnO: 1.1% Arg + 2500 mg Zn/kg diet; ARG: 1.6% Arg; ZnArg1: 1.6% Arg + 500 mg Zn/kg diet; ZnArg2: 1.6% Arg + 1000 mg Zn/kg diet; ZnArg3: 1.6% Arg + 2500 mg Zn/kg diet.
Animals 10 01537 g001
Figure 2. Relative expression of, (A) interleukin-4 (IL-4), (B) interleukin-6 (IL-6), (C) interferon-γ (IFNγ), (D) heat shock protein-27 (HSP27), (E) toll like receptor-4 (TLR4), and (F) tumor necrosis factor-α (TNF-α) in the liver of weanling piglets. Error bars represent standard error of means. Bars with different letters (a~b) differ significantly across all 6 treatment groups (p < 0.05). Con: 1.1% Arg; P-ZnO: 1.1% Arg + 2500 mg Zn/kg diet; ARG: 1.6% Arg; ZnArg1: 1.6% Arg + 500 mg Zn/kg diet; ZnArg2: 1.6% Arg + 1000 mg Zn/kg diet; ZnArg3: 1.6% Arg + 2500 mg Zn/kg diet.
Figure 2. Relative expression of, (A) interleukin-4 (IL-4), (B) interleukin-6 (IL-6), (C) interferon-γ (IFNγ), (D) heat shock protein-27 (HSP27), (E) toll like receptor-4 (TLR4), and (F) tumor necrosis factor-α (TNF-α) in the liver of weanling piglets. Error bars represent standard error of means. Bars with different letters (a~b) differ significantly across all 6 treatment groups (p < 0.05). Con: 1.1% Arg; P-ZnO: 1.1% Arg + 2500 mg Zn/kg diet; ARG: 1.6% Arg; ZnArg1: 1.6% Arg + 500 mg Zn/kg diet; ZnArg2: 1.6% Arg + 1000 mg Zn/kg diet; ZnArg3: 1.6% Arg + 2500 mg Zn/kg diet.
Animals 10 01537 g002
Figure 3. Relative expression of, (A) interleukin-4 (IL-4), (B) interleukin-6 (IL-6), (C) interferon-γ (IFNγ), (D) heat shock protein-27 (HSP27), (E) toll like receptor-4 (TLR4), and (F) tumor necrosis factor-α (TNF-α) in the liver of weanling piglets. Error bars represent standard error of means. Bars with different letters (a~d) differ significantly across all 6 treatment groups (p < 0.05). Con: 1.1% Arg; P-ZnO: 1.1% Arg + 2500 mg Zn/kg diet; ARG: 1.6% Arg; ZnArg1: 1.6% Arg + 500 mg Zn/kg diet; ZnArg2: 1.6% Arg + 1000 mg Zn/kg diet; ZnArg3: 1.6% Arg + 2500 mg Zn/kg diet.
Figure 3. Relative expression of, (A) interleukin-4 (IL-4), (B) interleukin-6 (IL-6), (C) interferon-γ (IFNγ), (D) heat shock protein-27 (HSP27), (E) toll like receptor-4 (TLR4), and (F) tumor necrosis factor-α (TNF-α) in the liver of weanling piglets. Error bars represent standard error of means. Bars with different letters (a~d) differ significantly across all 6 treatment groups (p < 0.05). Con: 1.1% Arg; P-ZnO: 1.1% Arg + 2500 mg Zn/kg diet; ARG: 1.6% Arg; ZnArg1: 1.6% Arg + 500 mg Zn/kg diet; ZnArg2: 1.6% Arg + 1000 mg Zn/kg diet; ZnArg3: 1.6% Arg + 2500 mg Zn/kg diet.
Animals 10 01537 g003
Table 1. Formula and chemical composition of basal diets (as-fed basis).
Table 1. Formula and chemical composition of basal diets (as-fed basis).
TreatmentsConP-ZnARGZnArg1ZnArg2ZnArg3
Zinc Oxide (mg/kg Diet)02500050010002500
Arginine (%)1.11.11.61.61.61.6
Corn49.7949.4849.2949.2349.1748.98
SBM dehulled17.2017.2017.2017.2017.2017.20
Fish Chile3.003.003.003.003.003.00
Whey (Korea)10.0010.0010.0010.0010.0010.00
Lactose6.006.006.006.006.006.00
SDPP4.004.004.004.004.004.00
Sugar4.004.004.004.004.004.00
Soy Oil3.003.003.003.003.003.00
l-Lysine 78%0.090.090.090.090.090.09
dl-Methionine 100%0.060.060.060.060.060.06
l-Tryptophan 10%0.180.180.180.180.180.18
Arg (100%)--0.500.500.500.50
Limestone1.11.11.11.11.11.1
MCP0.820.820.820.820.820.82
Salt0.430.430.430.430.430.43
ZnO 78%00.3100.060.120.31
Vitamin premix 10.110.110.110.110.110.11
Mineral premix 20.220.220.220.220.220.22
Total100100100100100100
Analyzed composition (%)
Crude protein18.9518.8218.8618.8818.9218.91
Crude fat1.321.261.291.241.311.30
Ca0.850.870.870.860.850.85
P0.700.660.690.680.690.67
Arg1.161.131.641.651.631.65
Lys1.481.521.481.491.451.47
Met0.430.420.4010.440.420.44
Thr0.900.930.920.920.920.92
Zn0.0852.640.0790.511.032.58
Abbreviations: Con: 1.1% Arg; P-ZnO: 1.1% Arg + 2500 mg Zn/kg diet; ARG: 1.6% Arg; ZnArg1: 1.6% Arg + 500 mg Zn/kg diet; ZnArg2: 1.6% Arg + 1000 mg Zn/kg diet; ZnArg3: 1.6% Arg + 2500 mg Zn/kg diet; SBM: soybean meal; SDPP: spray-dried porcine plasma; MCP: mono calcium phosphate; 1 supplied per kilogram of diet: 16,000 IU vitamin A, 3000 IU vitamin D3, 40 IU vitamin E, 5.0 mg vitamin K3, 5.0 mg vitamin B1, 20 mg vitamin B2, 4 mg vitamin B6, 0.08 mg vitamin B12, 40 mg pantothenic acid, 75 mg niacin, 0.15 mg biotin, 0.65 mg folic acid. 2 Supplied per kilogram of diet: 45 mg Fe, 0.25 mg Co, 50 mg Cu, 15 mg Mn, 25 mg Zn, 0.35 mg I, 0.13 mg Se.
Table 2. Primers.
Table 2. Primers.
GenePrimer Sequence (5⟶3)
β-actin_FCAACACAGTGCTGTCTGGTGGTA
β-actin_RATCGTACTCCTGCTTGCTGATCC
IL4_FTGTGCCCACGCTGTGCTTACA
IL4_RCTTGTGGCAGTGCTGGCTCTCC
IL6_FAGAAATCCCTCCTCGCCAAT
IL6_RAAATAGCGAACGGCCCTCA
IFNγ_FCTGAAGAACTGGACAGAGAG
IFNγ_RCACCAGCTTCTGTAAGATGC
HSP27_FGGAGATCACCGGCAAACACG
HSP27_RCCTCCACTGTCAGCATCCCA
TLR4_FGTCTCTCCTTCCTTACCTGCTGTTC
TLR4_RAGGAGGAGAAAGACAGGGTAGGTG
TNFα-FGGATCATCTTCTCGAACCCCGAGTGACAAG
TNFα-RGTTCAGGACGCAGACAATGTTCT
Abbreviations: IL, interleukin; IFN, interferon; HSP, heat shock protein; TLR, toll-like receptor; TNF, tumor necrosis factor.
Table 3. Effect of dietary zinc and arginine on body weight (BW) average daily gain (ADG), average daily feed intake (ADFI), feed efficiency (gain:feed) of weanling piglets exposed to high temperature.
Table 3. Effect of dietary zinc and arginine on body weight (BW) average daily gain (ADG), average daily feed intake (ADFI), feed efficiency (gain:feed) of weanling piglets exposed to high temperature.
TreatmentsConP-ZnARGZnArg1ZnArg2ZnArg3SEMp-Value
Zinc Oxide (mg/kg Diet)02500050010002500
Arginine (%)1.11.11.61.61.61.6
Initial BW, kg10.4210.4610.4410.4810.4910.420.1110.995
7 days BW, kg12.3712.5312.5712.6712.6612.720.1210.191
14 days BW, kg14.4514.7114.7815.031515.160.2470.396
ADG
0 to 7 d27829630531331032917.110.429
8 to 14 d29731131633833534827.980.8
0 to 14 d288 b 304 a,b 310 a,b 325 a,b 322 a,b 340 a 10.940.034
ADFI
0 to 7 d458 b476 a,b482 a,b507 a,b489 a,b533 a16.360.048
8 to 14 d51452551253253956023.670.718
0 to 14 d486 b501 a,b497 a,b520 a,b514 a,b547 a13.440.05
Gain:feed ratio
0 to 7 d0.6070.6230.6310.6150.6340.6170.0300.985
8 to 14 d0.5780.5910.6140.6270.6190.620.0380.934
0 to 14 d0.5920.6060.6240.6250.6260.6230.0500.78
a,b Means in the same line with different superscripts differ significantly (p < 0.05). Con: 1.1% Arg; P-ZnO: 1.1% Arg + 2500 mg Zn/kg diet; ARG: 1.6% Arg; ZnArg1: 1.6% Arg + 500 mg Zn/kg diet; ZnArg2: 1.6% Arg + 1000 mg Zn/kg diet; ZnArg3: 1.6% Arg + 2500 mg Zn/kg diet; SEM: standard error of mean; BW: body weight; ADG: average daily gain; ADFI: average daily feed intake.
Table 4. Effect of dietary zinc and arginine on intestinal microbiota of weanling piglets fed diets supplemented with or without zinc and arginine exposed to high temperature.
Table 4. Effect of dietary zinc and arginine on intestinal microbiota of weanling piglets fed diets supplemented with or without zinc and arginine exposed to high temperature.
TreatmentsConP-ZnARGZnArg1ZnArg2ZnArg3SEMp-Value
Zinc Oxide (mg/kg Diet)02500050010002500
Arginine (%)1.11.11.61.61.61.6
day 7
Total anaerobic bacteria8.848.898.868.738.828.690.1170.838
Bifidobacterium spp.7.667.727.717.637.747.80.1540.975
Lactobacillus spp.8.638.668.648.528.68.620.0700.725
Clostridium spp.8.61 a8.23 b8.51 a,b8.38 a,b8.34 a,b8.19 b0.0620.001
Coliforms8.398.238.278.218.228.210.0480.115
day 14
Total anaerobic bacteria8.618.648.658.558.618.770.1020.731
Bifidobacterium spp.7.477.67.527.497.427.660.1340.835
Lactobacillus spp.8.388.398.338.288.298.450.0810.588
Clostridium spp.8.54 a8.24 a,b8.41 a8.27 a,b8.34 a,b8.03 b0.0730.003
Coliforms8.328.258.338.248.298.20.0390.128
a,b Means in the same line with different superscripts differ significantly (p < 0.05). Con: 1.1% Arg; P-ZnO: 1.1% Arg + 2500 mg Zn/kg diet; ARG: 1.6% Arg; ZnArg1: 1.6% Arg + 500 mg Zn/kg diet; ZnArg2: 1.6% Arg + 1000 mg Zn/kg diet; ZnArg3: 1.6% Arg + 2500 mg Zn/kg diet; SEM: standard error of mean.
Table 5. Effect of dietary zinc and arginine on intestinal morphology of weanling piglets exposed to high temperature.
Table 5. Effect of dietary zinc and arginine on intestinal morphology of weanling piglets exposed to high temperature.
TreatmentsConP-ZnARGZnArg1ZnArg2ZnArg3SEMp-Value
Zinc Oxide (mg/kg Diet)02500050010002500
Arginine (%)1.11.11.61.61.61.6
Villus height (VH, μm)
Duodenum528 b550 a,b567 a,b606 a587 a,b676 a27.940.014
Jejunum45950849553250158328.740.095
Ileum39140843243843345315.330.101
Crypt depth (CD, μm)
Duodenum34133331532833434615.220.768
Jejunum24326528328026027118.370.665
Ileum23525425325325625311.710.576
VH/CD
Duodenum1.561.671.821.841.791.970.1110.21
Jejunum1.911.921.841.931.972.170.1420.658
Ileum1.691.621.671.771.791.80.1090.804
a,b Means in the same line with different superscripts differ significantly (p < 0.05). Con: 1.1% Arg; P-ZnO: 1.1% Arg + 2500 mg Zn/kg diet; ARG: 1.6% Arg; ZnArg1: 1.6% Arg + 500 mg Zn/kg diet; ZnArg2: 1.6% Arg + 1000 mg Zn/kg diet; ZnArg3: 1.6% Arg + 2500 mg Zn/kg diet; SEM: standard error of mean.
Table 6. Effect of dietary zinc and arginine on blood characteristics of weanling piglets exposed to high temperature.
Table 6. Effect of dietary zinc and arginine on blood characteristics of weanling piglets exposed to high temperature.
TreatmentsConP-ZnARGZnArg1ZnArg2ZnArg3SEMp-Value
Zinc Oxide (mg/kg Diet)02500050010002500
Arginine (%)1.11.11.61.61.61.6
WBC, 103/uL
Day 79.409.789.8210.0910.2310.120.3210.435
Day 1413.7416.1115.6816.5316.1516.091.4310.777
RBC, 106/uL
Day 77.467.727.77.927.67.850.2960.906
Day 147.938.177.117.517.067.720.3300.132
Lymphocytes, %
Day 774.1371.5672.5470.9770.7270.661.0700.192
Day 1477.94 a71.54 a,b71.03 a,b68.65 b69.36 b69.45 b1.8710.016
Monocytes, %
Day 73.953.33.183.123.073.030.3220.353
Day 144.64.514.433.853.284.230.3480.101
Eosinophil, %
Day 72.12.322.131.982.072.130.1500.766
Day 143.57 a2.78 a,b2.95 a,b3.40 a2.52 b2.63 b0.2430.021
Cortisol, ug/dL
Day 75.174.84.584.124.374.430.3310.3
Day 145.394.534.884.624.114.20.2400.086
a,b Means in the same line with different superscripts differ significantly (p < 0.05). Con: 1.1% Arg; P-ZnO: 1.1% Arg + 2500 mg Zn/kg diet; ARG: 1.6% Arg; ZnArg1: 1.6% Arg + 500 mg Zn/kg diet; ZnArg2: 1.6% Arg + 1000 mg Zn/kg diet; ZnArg3: 1.6% Arg + 2500 mg Zn/kg diet; SEM: standard error of mean; RBC: red blood cell; WBC: white blood cells.

Share and Cite

MDPI and ACS Style

Yoon, S.Y.; Sa, S.J.; Cho, E.S.; Ko, H.S.; Choi, J.W.; Kim, J.S. Effects of Zinc Oxide and Arginine on the Intestinal Microbiota and Immune Status of Weaned Pigs Subjected to High Ambient Temperature. Animals 2020, 10, 1537. https://doi.org/10.3390/ani10091537

AMA Style

Yoon SY, Sa SJ, Cho ES, Ko HS, Choi JW, Kim JS. Effects of Zinc Oxide and Arginine on the Intestinal Microbiota and Immune Status of Weaned Pigs Subjected to High Ambient Temperature. Animals. 2020; 10(9):1537. https://doi.org/10.3390/ani10091537

Chicago/Turabian Style

Yoon, Se Young, Soo Jin Sa, Eun Seok Cho, Han Seo Ko, Jung Woo Choi, and Jin Soo Kim. 2020. "Effects of Zinc Oxide and Arginine on the Intestinal Microbiota and Immune Status of Weaned Pigs Subjected to High Ambient Temperature" Animals 10, no. 9: 1537. https://doi.org/10.3390/ani10091537

APA Style

Yoon, S. Y., Sa, S. J., Cho, E. S., Ko, H. S., Choi, J. W., & Kim, J. S. (2020). Effects of Zinc Oxide and Arginine on the Intestinal Microbiota and Immune Status of Weaned Pigs Subjected to High Ambient Temperature. Animals, 10(9), 1537. https://doi.org/10.3390/ani10091537

Note that from the first issue of 2016, this journal uses article numbers instead of page numbers. See further details here.

Article Metrics

Back to TopTop