A Genome-Wide Association Study Identifying Genetic Variants Associated with Growth, Carcass and Meat Quality Traits in Rabbits
Simple Summary
Abstract
1. Introduction
2. Materials and Methods
2.1. Ethics Statement
2.2. Animals and Phenotypes
2.3. SLAF-Seq Design
2.4. Genotyping and Statistical Analysis
3. Results and Discussion
3.1. Phenotype
3.2. SLAF-seq
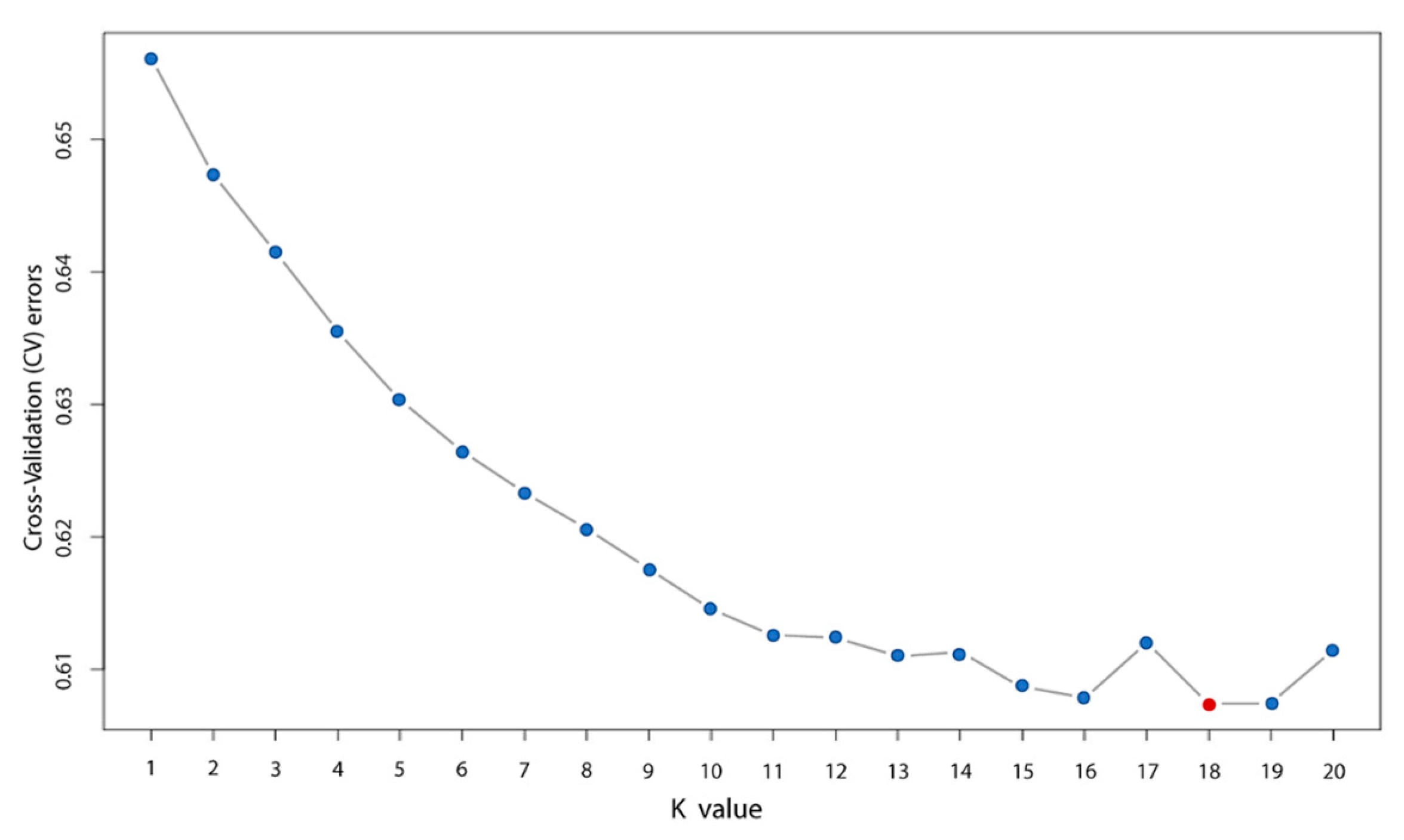
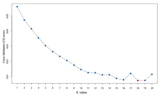
3.3. Population Structure Analysis
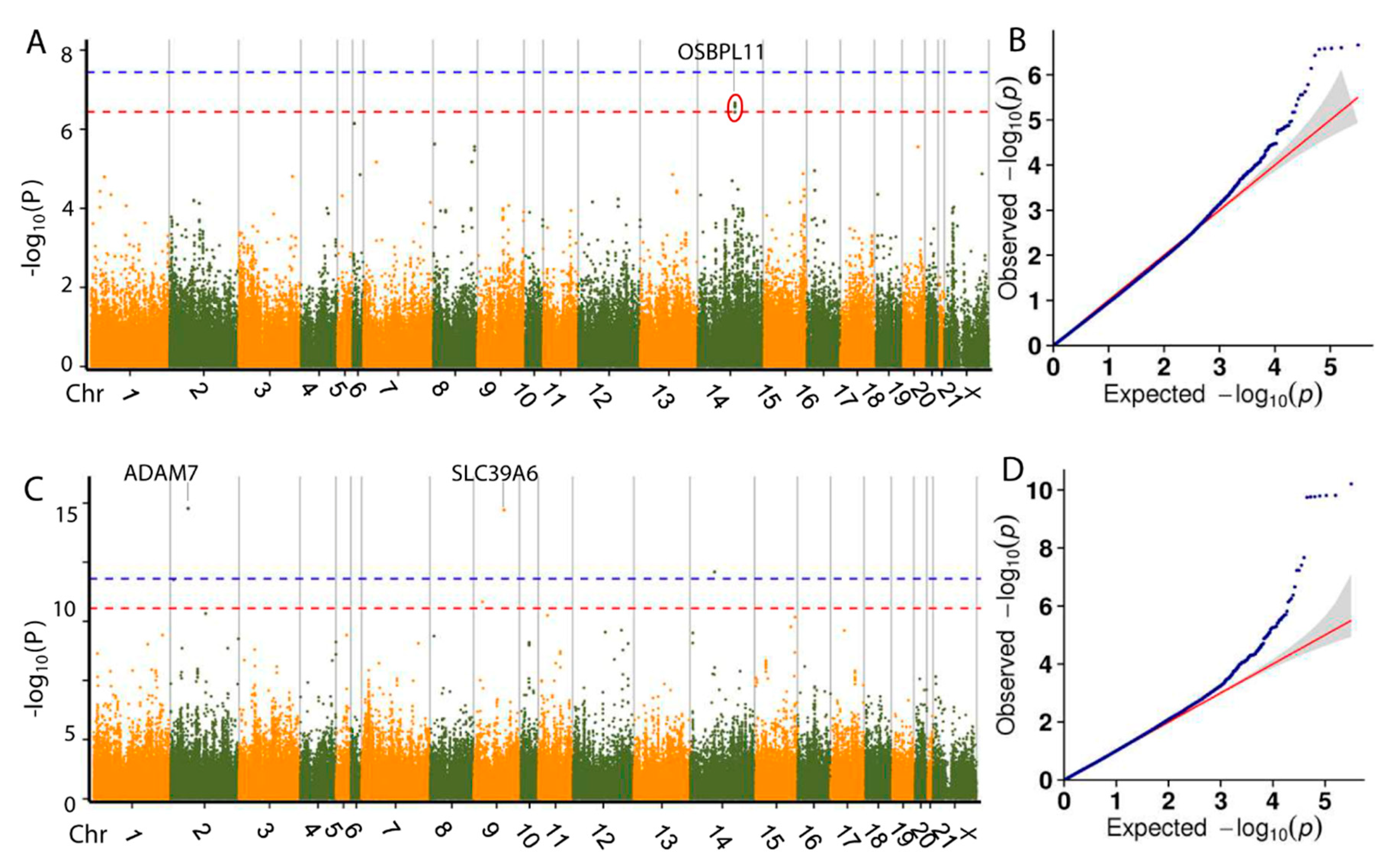
3.4. Genome-Wide Association Analysis
4. Conclusions
Supplementary Materials
Author Contributions
Funding
Conflicts of Interest
References
- Bosco, A.D.; Gerencsér, Z.; Szendrő, Z.; Mugnai, C.; Cullere, M.; Kovacs, M.; Ruggeri, S.; Mattioli, S.; Castellini, C.; Zotte, A.D. and et al. Effect of dietary supplementation of Spirulina (Arthrospira platensis) and Thyme (Thymus vulgaris) on rabbit meat appearance, oxidative stability and fatty acid profile during retail display. Meat Sci. 2014, 96, 114–119. [Google Scholar] [CrossRef] [PubMed]
- Zotte, A.D.; Szendrő, Z. The role of rabbit meat as functional food. Meat Sci. 2011, 88, 319–331. [Google Scholar] [CrossRef] [PubMed]
- Fontanesi, L.; Scotti, E.; Cisarova, K.; Di Battista, P.; Dall’Olio, S.; Fornasini, D.; Frabetti, A. A missense mutation in the rabbit Melanocortin 4 Receptor (MC4R) gene is associated with finisching weight in a meat rabbit line. Anim. Biotechnol. 2013, 24, 268–277. [Google Scholar] [CrossRef] [PubMed]
- Yang, Z.-J.; Fu, L.; Zhang, G.-W.; Yang, Y.; Chen, S.-Y.; Wang, J.; Lai, S.-J. Identification and association of SNPs in TBC1D1 gene with growth traits in two rabbit breeds. Asian-Australas. J. Anim. Sci. 2013, 26, 1529–1535. [Google Scholar] [CrossRef]
- Gan, W.; Song, Q.; Zhang, N.; Xiong, X.; Wang, D.; Li, L. Association between FTO polymorphism in exon 3 with carcass and meat quality traits in crossbred ducks. Genet. Mol. Res. 2015, 14, 6699–6714. [Google Scholar] [CrossRef]
- Migdał, Ł.; Koziol, K.; Palka, S.; Migdal, W.; Zabek, T.; Otwinowska-Mindur, A.; Migdal, A.; Kmiecik, M.; Maj, D.; Bieniek, J. and et al. Mutations in Leptin (LEP) gene are associated with carcass and meat quality traits in crossbreed rabbits. Anim. Biotechnol. 2017, 29, 153–159. [Google Scholar] [CrossRef]
- Fontanesi, L.; Sparacino, G.; Utzeri, V.J.; Scotti, E.; Fornasini, D.; Dall’Olio, S.; Frabetti, A. Identification of polymorphisms in the rabbit Growth Hormone Receptor (GHR) gene and association with finishing weight in a commercial meat rabbit line. Anim. Biotechnol. 2016, 27, 77–83. [Google Scholar] [CrossRef]
- McCarthy, M.I.; Abecasis, G.R.; Cardon, L.R.; Goldstein, D.B.; Little, J.; Ioannidis, J.P.A.; Hirschhorn, J.N. Genome-wide association studies for complex traits: Consensus, uncertainty and challenges. Nat. Rev. Genet. 2008, 9, 356–369. [Google Scholar] [CrossRef]
- Hayes, B.; Goddard, M. Genome-wide association and genomic selection in animal breeding. Genome 2010, 53, 876–883. [Google Scholar] [CrossRef]
- Shu, X.-O.; Long, J.; Lu, W.; Li, C.; Chen, W.Y.; Delahanty, R.; Cheng, J.; Cai, H.; Zheng, Y.; Shi, J.; et al. Novel genetic markers of breast cancer survival identified by a genome-wide association study. Cancer Res. 2012, 72, 1182–1189. [Google Scholar] [CrossRef]
- Tsai, H.-Y.; Hamilton, A.; Tinch, A.E.; Guy, D.R.; Gharbi, K.; Stear, M.J.; Matika, O.; Bishop, S.C.; Houston, R.D. Genome wide association and genomic prediction for growth traits in juvenile farmed Atlantic salmon using a high density SNP array. BMC Genom. 2015, 16, 969. [Google Scholar] [CrossRef] [PubMed]
- Gonzalez-Pena, D.; Gao, G.; Baranski, M.; Moen, T.; Cleveland, B.M.; Kenney, P.B.; Vallejo, R.; Palti, Y.; Leeds, T.D. Genome-wide association study for identifying loci that affect fillet yield, carcass, and body weight traits in Rainbow Trout (Oncorhynchus mykiss). Front. Genet. 2016, 7, 743. [Google Scholar] [CrossRef]
- Mason, A.S.; Higgins, E.E.; Snowdon, R.J.; Batley, J.; Stein, A.; Werner, C.; Parkin, I.A.P. A user guide to the Brassica 60K Illumina Infinium™ SNP genotyping array. Theor. Appl. Genet. 2017, 130, 621–633. [Google Scholar] [CrossRef] [PubMed]
- Cao, J.; Schneeberger, K.; Ossowski, S.; Günther, T.; Bender, S.; Fitz, J.; Koenig, D.; Lanz, C.; Stegle, O.; Lippert, C.; et al. Whole-genome sequencing of multiple Arabidopsis thaliana populations. Nat. Genet. 2011, 43, 956–963. [Google Scholar] [CrossRef] [PubMed]
- Yano, K.; Yamamoto, E.; Aya, K.; Takeuchi, H.; Lo, P.-C.; Hu, L.; Yamasaki, M.; Yoshida, S.; Kitano, H.; Hirano, K.; et al. Genome-wide association study using whole-genome sequencing rapidly identifies new genes influencing agronomic traits in rice. Nat. Genet. 2016, 48, 927–934. [Google Scholar] [CrossRef]
- Sun, X.; Liu, N.; Zhang, X.; Li, W.; Liu, H.; Hong, W.; Jiang, C.; Guan, N.; Ma, C.; Zeng, H.; et al. SLAF-seq: An efficient method of large-scale de novo SNP discovery and genotyping using high-throughput sequencing. PLoS ONE 2013, 8, e58700. [Google Scholar] [CrossRef]
- Wang, W.; Zhang, T.; Zhang, G.; Wang, J.; Han, K.; Wang, Y.; Zhang, Y. Genome-wide association study of antibody level response to NDV and IBV in Jinghai yellow chicken based on SLAF-seq technology. J. Appl. Genet. 2015, 56, 555. [Google Scholar] [CrossRef]
- Li, F.; Han, H.; Lei, Q.; Gao, J.; Liu, J.; Liu, W.; Zhou, Y.; Li, H.; Cao, D. Genome-wide association study of body weight in Wenshang Barred chicken based on the SLAF-seq technology. J. Appl. Genet. 2018, 59, 305–312. [Google Scholar] [CrossRef]
- Li, Z.; Wei, S.; Li, H.; Wu, K.; Cai, Z.; Li, N.; Wei, W.; Li, Q.; Chen, J.; Liu, H.; et al. Genome-wide genetic structure and differentially selected regions among Landrace, Erhualian, and Meishan pigs using specific-locus amplified fragment sequencing. Sci. Rep. 2017, 7, 10063. [Google Scholar] [CrossRef]
- Zhang, H.; Wang, Z.; Wang, S.; Li, H. Progress of genome wide association study in domestic animals. J. Anim. Sci. Biotechnol. 2013, 3, 26. [Google Scholar] [CrossRef]
- Sosa-Madrid, B.S.; Hernández, P.; Blasco, A.; Haley, C.S.; Fontanesi, L.; Santacreu, M.A.; Pena, R.N.; Navarro, P.; Ibáñez-Escriche, N. Genomic regions influencing intramuscular fat in divergently selected rabbit lines. Anim. Genet. 2019, 51, 58–69. [Google Scholar] [CrossRef] [PubMed]
- Blasco, A.; Ouhayoun, J. Harmonization of criteria and terminology in rabbit meat research. World Rabbit Sci. 2010, 1, 4. [Google Scholar] [CrossRef]
- Traoré, S.; Aubry, L.; Gatellier, P.; Przybylski, W.; Jaworska, D.; Kajak-Siemaszko, K.; Santé-Lhoutellier, V. Higher drip loss is associated with protein oxidation. Meat Sci. 2012, 90, 917–924. [Google Scholar] [CrossRef]
- Kozich, J.J.; Westcott, S.L.; Baxter, N.; Highlander, S.K.; Schloss, P.D. Development of a dual-index sequencing strategy and curation pipeline for analyzing amplicon sequence data on the miseq illumina sequencing platform. Appl. Environ. Microbiol. 2013, 79, 5112–5120. [Google Scholar] [CrossRef] [PubMed]
- Li, R.; Yu, C.; Li, Y.; Lam, T.-W.; Yiu, S.M.; Kristiansen, K.; Wang, J. SOAP2: An improved ultrafast tool for short read alignment. Bioinformatics 2009, 25, 1966–1967. [Google Scholar] [CrossRef]
- Li, H.; Durbin, R. Fast and accurate short read alignment with Burrows-Wheeler transform. Bioinformatics 2009, 25, 1754–1760. [Google Scholar] [CrossRef]
- McKenna, A.; Hanna, M.; Banks, E.; Sivachenko, A.; Cibulskis, K.; Kernytsky, A.; Garimella, K.; Altshuler, D.; Gabriel, S.; Daly, M.; et al. The genome analysis toolkit: A MapReduce framework for analyzing next-generation DNA sequencing data. Genome Res. 2010, 20, 1297–1303. [Google Scholar] [CrossRef]
- Li, H.; Handsaker, B.; Wysoker, A.; Fennell, T.; Ruan, J.; Homer, N.; Marth, G.; Abecasis, G.R.; Durbin, R.; Genome Project Data Processing Subgroup; et al. The sequence alignment/map format and SAMtools. Bioinformatics 2009, 25, 2078–2079. [Google Scholar] [CrossRef]
- Alexander, D.H.; Novembre, J.; Lange, K. Fast model-based estimation of ancestry in unrelated individuals. Genome Res. 2009, 19, 1655–1664. [Google Scholar] [CrossRef]
- Price, A.L.; Patterson, N.J.; Plenge, R.M.; Weinblatt, M.E.; Shadick, N.A.; Reich, D. Principal components analysis corrects for stratification in genome-wide association studies. Nat. Genet. 2006, 38, 904–909. [Google Scholar] [CrossRef]
- Chang, C.C.; Chow, C.C.; Tellier, L.C.A.M.; Vattikuti, S.; Purcell, S.M.; Lee, J.J. Second-generation PLINK: Rising to the challenge of larger and richer datasets. GigaScience 2015, 4, 7. [Google Scholar] [CrossRef] [PubMed]
- Wang, K.; Li, M.; Hakonarson, H. Annovar: Functional annotation of genetic variants from high-throughput sequencing data. Nucleic Acids Res. 2010, 38. [Google Scholar] [CrossRef] [PubMed]
- Ikeda, W.; Nakanishi, H.; Takekuni, K.; Itoh, S.; Takai, Y. Identification of splicing variants of Frabin with partly different functions and tissue distribution. Biochem. Biophys. Res. Commun. 2001, 286, 1066–1072. [Google Scholar] [CrossRef]
- Moore, T.M.; Zhou, Z.; Cohn, W.; Norheim, F.; Lin, A.J.; Kalajian, N.; Strumwasser, A.R.; Cory, K.; Whitney, K.; Ho, T.; et al. The impact of exercise on mitochondrial dynamics and the role of Drp1 in exercise performance and training adaptations in skeletal muscle. Mol. Metab. 2018, 21, 51–67. [Google Scholar] [CrossRef]
- Anderson, R.A.; Rao, N.; Byrum, R.S.; Rothschild, C.B.; Bowden, N.W.; Hayworth, R.; Pettenati, M. In situ localization of the genetic locus encoding the Lysosomal Acid Lipase/Cholesteryl Esterase (LIPA) deficient in Wolman disease to chromosome 10q23.2-q23.3. Genomics 1993, 15, 245–247. [Google Scholar] [CrossRef] [PubMed]
- Taylor, F.R.; Kandutsch, A.A. Oxysterol binding protein. Chem. Phys. Lipids 1985, 38, 187–194. [Google Scholar] [CrossRef]
- Taylor, K.M.; Morgan, H.E.; Johnson, A.; Hadley, L.J.; Nicholson, R.I. Structure–function analysis of LIV-1, the breast cancer-associated protein that belongs to a new subfamily of zinc transporters. Biochem. J. 2003, 375, 51–59. [Google Scholar] [CrossRef]






| Traits | Acronym | Trait Group | N | Mean | SD |
|---|---|---|---|---|---|
| 35-day BW, g | BW35 | Growth | 432 | 787.4213 | 129.6323 |
| 42-day BW, g | BW42 | Growth | 423 | 1007.229 | 124.2199 |
| 49-day BW, g | BW49 | Growth | 419 | 1234.916 | 155.4796 |
| 56-day BW, g | BW56 | Growth | 412 | 1460.34 | 211.3732 |
| 63-day BW, g | BW63 | Growth | 392 | 1686.722 | 279.0648 |
| 70-day BW, g | BW70 | Growth | 382 | 1927.864 | 320.2864 |
| Slaughter liveweight (84 d), g | SLW | Carcass | 432 | 2082.037 | 313.2049 |
| Dressing out percentage, % | DoP | Carcass | 430 | 48.7838 | 3.9789 |
| Cooking loss, % | CL | Meat quality | 432 | 68.1618 | 5.383 |
| Drip loss, % | DL | Meat quality | 432 | 4.7754 | 1.6808 |
| Trait Group | Traits | # SNP | # Gene |
|---|---|---|---|
| growth | 35 d BW | 1 | 4 |
| growth | 42 d BW | 0 | 0 |
| growth | 49 d BW | 2 | 3 |
| growth | 56 d BW | 4 | 3 |
| growth | 63 d BW | 7 | N/A |
| growth | 70 d BW | 19 | 9 |
| carcass | Slaughter liveweight (84 d) | 1 | 6 |
| carcass | Dressing out percentage | 80 | 65 |
| meat quality | Cooking loss | 5 | 2 |
| meat quality | Drip loss | 10 | 9 |
© 2020 by the authors. Licensee MDPI, Basel, Switzerland. This article is an open access article distributed under the terms and conditions of the Creative Commons Attribution (CC BY) license (http://creativecommons.org/licenses/by/4.0/).
Share and Cite
Yang, X.; Deng, F.; Wu, Z.; Chen, S.-Y.; Shi, Y.; Jia, X.; Hu, S.; Wang, J.; Cao, W.; Lai, S.-J. A Genome-Wide Association Study Identifying Genetic Variants Associated with Growth, Carcass and Meat Quality Traits in Rabbits. Animals 2020, 10, 1068. https://doi.org/10.3390/ani10061068
Yang X, Deng F, Wu Z, Chen S-Y, Shi Y, Jia X, Hu S, Wang J, Cao W, Lai S-J. A Genome-Wide Association Study Identifying Genetic Variants Associated with Growth, Carcass and Meat Quality Traits in Rabbits. Animals. 2020; 10(6):1068. https://doi.org/10.3390/ani10061068
Chicago/Turabian StyleYang, Xue, Feilong Deng, Zhoulin Wu, Shi-Yi Chen, Yu Shi, Xianbo Jia, Shenqiang Hu, Jie Wang, Wei Cao, and Song-Jia Lai. 2020. "A Genome-Wide Association Study Identifying Genetic Variants Associated with Growth, Carcass and Meat Quality Traits in Rabbits" Animals 10, no. 6: 1068. https://doi.org/10.3390/ani10061068
APA StyleYang, X., Deng, F., Wu, Z., Chen, S.-Y., Shi, Y., Jia, X., Hu, S., Wang, J., Cao, W., & Lai, S.-J. (2020). A Genome-Wide Association Study Identifying Genetic Variants Associated with Growth, Carcass and Meat Quality Traits in Rabbits. Animals, 10(6), 1068. https://doi.org/10.3390/ani10061068

