Differential Somatic Cell Count as a Novel Indicator of Milk Quality in Dairy Cows
Simple Summary
Abstract
1. Introduction
2. Materials and Methods
2.1. Ethical Statement
2.2. Milk Sample Collection and Analyses
2.3. Statistical Analysis
3. Results and Discussion
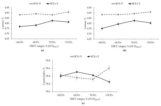
3.1. Effect of Somatic and Differential Somatic Cells Count
3.2. Milk Samples Close to the DSCC Threshold (Below + Above) vs. Low DSCC
3.3. Milk Samples Close to the DSCC Threshold (Below vs. Above)
3.4. Milk Samples Close to the DSCC Threshold (Below + Above) vs. High DSCC
4. Conclusions
Author Contributions
Funding
Conflicts of Interest
References
- Alhussien, M.N.; Dang, A.K. Milk somatic cells, factors influencing their release, future prospects, and practical utility in dairy animals: An overview. Vet. World 2018, 11, 562–577. [Google Scholar] [CrossRef]
 - Sharma, N.; Singh, K.; Bhadwal, M.S. Relationship of somatic cell count and mastitis: An overview. Asian-Aust. J. Anim. Sci. 2011, 24, 429–438. [Google Scholar] [CrossRef]
 - Auldist, M.J.; Hubble, I.B. Effects of mastitis on raw milk and dairy products. Aust. J. Dairy Tech. 1998, 53, 28–36. [Google Scholar]
 - Li, N.; Richoux, R.; Boutinaud, M.; Martin, P.; Gagnaire, V. Role of somatic cells on dairy processes and products: A review. Dairy Sci. Technol. 2014, 94, 517–538. [Google Scholar] [CrossRef]
 - Ikonen, T.; Morri, S.; Tyrisevä, A.M.; Ruottinen, O.; Ojala, M. Genetic and phenotypic correlations between milk coagulation properties, milk production traits, somatic cell count, casein content, and pH of milk. J. Dairy Sci. 2004, 87, 458–467. [Google Scholar] [CrossRef]
 - Stocco, G.; Pazzola, M.; Dettori, M.L.; Cipolat-Gotet, C.; Summer, A.; Vacca, G.M. Variation in caprine milk composition and coagulation as affected by udder health indicators. Int. Dairy J. 2019, 96, 9–16. [Google Scholar] [CrossRef]
 - Leitner, G.; Merin, U.; Silanikove, N. Changes in Milk Composition as Affected by Subclinical Mastitis in Goats. J. Dairy Sci. 2004, 87, 1719–1726. [Google Scholar] [CrossRef]
 - Summer, A.; Franceschi, P.; Formaggioni, P.; Malacarne, M. Influence of milk somatic cell content on Parmigiano-Reggiano cheese yield. J. Dairy Res. 2015, 82, 222–227. [Google Scholar] [CrossRef]
 - Bobbo, T.; Cipolat-Gotet, C.; Bittante, G.; Cecchinato, A. The non-linear effect of somatic cell count on milk composition, coagulation properties, curd firmness, cheese yield and curd nutrient recovery. J. Dairy Sci. 2016, 99, 5104–5119. [Google Scholar] [CrossRef]
 - Paape, M.J.; Wergin, W.P.; Guidry, A.J.; Pearson, R.E. Leukocytes–Second line of defense against invading mastitis pathogens. J. Dairy Sci. 1979, 62, 135–153. [Google Scholar] [CrossRef]
 - Sarikaya, H.; Schlamberger, G.; Bruckmaier, R.M. Leukocyte populations and cytokine mRNA expression in quarter milk fractions of dairy cows at different SCC levels. J. Anim. Sci. 2005, 83, 297–298. [Google Scholar]
 - Alhussien, M.; Kaur, M.; Manjari, P.; Kimothi, S.P.; Mohanty, A.K.; Dang, A.K. A comparative study on the blood and milk cell counts of healthy, subclinical, and clinical mastitis Karan Fries cows. Vet. World 2015, 8, 685–689. [Google Scholar] [CrossRef] [PubMed]
 - Caroprese, M.; Marzano, A.; Schena, L.; Marino, R.; Santillo, A.; Albenzio, M. Contribution of macrophages to proteolysis and plasmin activity in ewe bulk milk. J. Dairy Sci. 2007, 90, 2767–2772. [Google Scholar] [CrossRef]
 - Albenzio, M.; Santillo, A.; Caroprese, M.; D’Angelo, F.; Marino, R.; Sevi, A. Role of endogenous enzymes in proteolysis of sheep milk. J. Dairy Sci. 2009, 92, 79–86. [Google Scholar] [CrossRef] [PubMed]
 - Adduci, F.; Elshafie, H.S.; Labella, C.; Musto, M.; Freschi, P.; Paolino, R.; Ragni, M.; Cosentino, C. Abatement of the clostridial load in the teats of lactating cows with lysozyme derived from donkey milk. J. Dairy Sci. 2019, 102, 6750–6755. [Google Scholar] [CrossRef] [PubMed]
 - Damm, M.; Holm, C.; Blaabjerg, M.; Bro, M.N.; Schwarz, D. Differential somatic cell count—A novel method for routine mastitis screening in the frame of Dairy Herd Improvement testing programs. J. Dairy Sci. 2017, 100, 4926–4940. [Google Scholar] [CrossRef]
 - Zecconi, A.; Vairani, D.; Cipolla, M.; Rizzi, N.; Zanini, L. Assessment of subclinical mastitis diagnostic accuracy by differential cell count in individual cow milk. Ital. J. Anim. Sci. 2018, 18, 460–465. [Google Scholar]
 - Zecconi, A.; Bronzo, V.; Piccinini, R.; Spreafico, G.; Ruffo, G. Phagocytic activity of bovine polymorphonuclear neutrophil leucocytes. J. Dairy Res. 1994, 61, 271–279. [Google Scholar] [CrossRef]
 - Wall, S.K.; Wellnitz, O.; Bruckmaier, R.M.; Schwarz, D. Differential somatic cell count in milk before, during, and after lipopolysaccharide-and lipoteichoic-acid-induced mastitis in dairy cows. J. Dairy Sci. 2018, 101, 5362–5373. [Google Scholar] [CrossRef]
 - Schwarz, D.; Diesterbeck, U.S.; König, S.; Brügemann, K.; Schlez, K.; Zschöck, M.; Wolter, W.; Czerny, C.P. Flow cytometric differential cell counts in milk for the evaluation of inflammatory reactions in clinically healthy and subclinically infected bovine mammary glands. J. Dairy Sci. 2011, 94, 5033–5044. [Google Scholar] [CrossRef]
 - Bobbo, T.; Penasa, M.; Cassandro, M. Short Communication: Genetic aspects of milk differential somatic cell count in Holstein cows: A preliminary analysis. J. Dairy Sci. 2019, 102, 4275–4279. [Google Scholar] [CrossRef] [PubMed]
 - Cooney, S.; Tiernan, D.; Joyce, P.; Kelly, A.L. Effect of somatic cell count and polymorphonuclear leucocyte content of milk on composition and proteolysis during ripening of Swiss-type cheese. J. Dairy Res. 2000, 67, 301–307. [Google Scholar] [CrossRef] [PubMed]
 - Wickström, E.; Persson-Waller, K.; Lindmark-Månsson, H.; Östensson, K.; Sternesjö, Å. Relationship between somatic cell count, polymorphonuclear leucocyte count and quality parameters in bovine bulk tank milk. J. Dairy Res. 2009, 76, 195–201. [Google Scholar] [CrossRef] [PubMed]
 - Ali, A.; Shook, G. An optimum transformation for somatic cell concentration in milk. J. Dairy Sci. 1980, 63, 487–490. [Google Scholar] [CrossRef]
 - Schukken, Y.; Wilson, D.; Welcome, F.; Garrison-Tiofsky, L.; Gonzalez, R. Monitoring udder health and milk quality using somatic cell counts. Vet. Res. 2003, 34, 579–596. [Google Scholar] [CrossRef]
 - Anderson, K.L.; Correa, M.T.; Allen, A.; Rodriguez, R.R. Fresh cow mastitis monitoring on day 3 postpartum and its relationship to subsequent milk production. J. Dairy Sci. 2010, 93, 5673–5683. [Google Scholar] [CrossRef]
 - Dufour, S.; Dohoo, I.R. Monitoring herd incidence of intramammary infection in lactating cows using repeated longitudinal somatic cell count measurements. J. Dairy Sci. 2013, 96, 1568–1580. [Google Scholar] [CrossRef]
 - Urech, E.; Puhan, Z.; Schallibaum, M. Changes in milk protein fraction as affected by subclinical mastitis. J. Dairy Sci. 1999, 82, 2402–2411. [Google Scholar] [CrossRef]
 - Dosogne, H.; Vangroenweghe, F.; Mehrzad, J.; Massart-Leën, A.M.; Burvenich, C. Differential leukocyte count method for bovine low somatic cell count milk. J. Dairy Sci. 2003, 86, 828–834. [Google Scholar] [CrossRef]
 - Gargouri, A.; Hamed, H.; El Feki, A. Total and differential bulk cow milk somatic cell counts and their relation with lipolysis. Livest. Sci. 2008, 113, 274–279. [Google Scholar] [CrossRef]
 - Le Maréchal, C.; Thiéry, R.; Vautor, E.; Le Loir, Y. Mastitis impact on technological properties of milk and quality of milk products—A review. Dairy Sci. Technol. 2011, 91, 247–282. [Google Scholar] [CrossRef]
 - Cecil, H.C.; Bitman, J.; Wood, J.R. Changes in milk glycogen during mastitis. J. Dairy Sci. 1965, 48, 1607–1611. [Google Scholar] [CrossRef]
 - Naidu, T.G.; Newbould, F.H.S. Glycogen in leukocytes from bovine blood and milk. Can. J. Comp. Med. 1973, 37, 47–55. [Google Scholar] [PubMed]
 - Verdi, R.J.; Barbano, D.M. Properties of proteases from milk somatic cells and blood leukocytes. J. Dairy Sci. 1991, 74, 2077–2081. [Google Scholar] [CrossRef]
 - Schultz, L.H. Somatic cells in milk-physiological aspects and relationship to amount and composition of milk. J. Food Prot. 1977, 40, 125–131. [Google Scholar] [CrossRef] [PubMed]
 - Jõudu, I.; Henno, M.; Kaart, T.; Püssa, T.; Kärt, O. The effect of milk protein contents on the rennet coagulation properties of milk from individual dairy cows. Int. Dairy J. 2008, 18, 964–967. [Google Scholar] [CrossRef]
 - Mori, R.; Kondo, T.; Nishie, T.; Ohshima, T.; Asano, M. Impairment of skin wound healing in β-1, 4-galactosyltransferase-deficient mice with reduced leukocyte recruitment. Am. J. Pathol. 2004, 164, 1303–1314. [Google Scholar] [CrossRef]
 - Kuhn, N.J.; Carrick, D.T.; Wilde, C.J. Lactose synthesis: The possibilities of regulation. J. Dairy Sci. 1980, 63, 328–336. [Google Scholar] [CrossRef]
 - Paasela, M.; Kolho, K.L.; Vaarala, O.; Honkanen, J. Lactose inhibits regulatory T-cell-mediated suppression of effector T-cell interferon-γ and IL-17 production. Br. J. Nutr. 2014, 112, 1819–1825. [Google Scholar] [CrossRef]
 - Pan, L.L.; Deng, Y.Y.; Wang, R.; Wu, C.; Li, J.; Niu, W.; Yang, Q.; Bhatia, M.; Gudmundsson, G.H.; Agerberth, B.; et al. Lactose induces phenotypic and functional changes of neutrophils and macrophages to alleviate acute pancreatitis in mice. Front. Immunol. 2018, 9, 751–764. [Google Scholar] [CrossRef]
 - Dadousis, C.; Biffani, S.; Cipolat-Gotet, C.; Nicolazzi, E.L.; Rosa, G.J.M.; Gianola, D.; Rossoni, A.; Santus, E.; Bittante, G.; Cecchinato, A. Genome-wide association study for cheese yield and curd nutrient recovery in dairy cows. J. Dairy Sci. 2017, 100, 1259–1271. [Google Scholar] [CrossRef] [PubMed]
 - Fox, P.F.; Guinee, T.P.; Cogan, T.M.; McSweeney, P.L. Enzymatic coagulation of milk. In Fundamentals of Cheese Science, 2nd ed.; Fox, P.F., Guinee, T.P., Cogan, T.M., McSweeney, P.L., Eds.; Springer: Boston, MA, USA, 2017; pp. 210–218. [Google Scholar]
 - Randolph, H.E.; Erwin, R.E. Influence of mastitis on properties of milk. X. Fatty acid composition. J. Dairy Sci. 1974, 57, 865–868. [Google Scholar] [CrossRef]
 - Scalia, D.; Lacetera, N.; Bernabucci, U.; Demeyere, K.; Duchateau, L.; Burvenich, C. In vitro effects of nonesterified fatty acids on bovine neutrophils oxidative burst and viability. J. Dairy Sci. 2006, 89, 147–154. [Google Scholar] [CrossRef]
 - Rezamand, P.; McGuire, M.A. Effects of trans fatty acids on markers of inflammation in bovine mammary epithelial cells. J. Dairy Sci. 2011, 94, 316–320. [Google Scholar] [CrossRef] [PubMed]
 - Lindmark-Månsson, H. Fatty acids in bovine milk fat. Food Nutr. Res. 2008, 52, 1821–1823. [Google Scholar] [CrossRef] [PubMed]
 - Jones, B.; Bowen, A.; Martin, M.; Ax, R. Industry Presentation: Dietary Essential Fatty Acids and Reproduction in Dairy Cows. In Proceedings of the High Plains Dairy Conference, Amarillo, TX, USA, 6–7 March 2008; pp. 17–24. [Google Scholar]
 - Le Roux, Y.; Laurent, F.; Moussaoui, F. Polymorphonuclear proteolytic activity and milk composition change. Vet. Res. 2003, 34, 629–645. [Google Scholar] [CrossRef]
 - Guinee, T.P.; Gorry, C.; O’Callaghan, D.J.; O’Kennedy, B.T.; O’Brien, N.; Fenelon, M.A. The effects of composition and some processing treatments on the rennet coagulation properties of milk. Int. J. Dairy Technol. 1997, 50, 99–106. [Google Scholar] [CrossRef]
 - Huppertz, T.; Kelly, A.L. Physical chemistry of milk fat globules. In Advanced Dairy Chemistry, Lipids, 3rd ed.; Fox, P.F., McSweeney, P.L.H., Eds.; Springer: New York, NY, USA, 2006; Volume 2, pp. 173–212. [Google Scholar]
 - Fenelon, M.A.; Guinee, T.P. The effect of milk fat on Cheddar cheese yield and its prediction, using modifications of the van Slyke cheese yield formula. J. Dairy Sci. 1999, 82, 1–13. [Google Scholar] [CrossRef]
 

| Item | Herd 1 | Herd 2 | Herd 3 | Herd 4 | 
|---|---|---|---|---|
| Days in milk, d | 131 | 184 | 170 | 158 | 
| Parity | 2.39 | 2.43 | 2.07 | 2.08 | 
| Milk Yield, kg/d | 34.8 | 33.5 | 29.5 | 30.1 | 
| M-5DSCC ranges 2 | ||||
| <58.5% (class 1) | 51.0 | 48.6 | 75.2 | 54.7 | 
| 58.5–68.5% (class 2) | 20.5 | 10.6 | 5.6 | 10.0 | 
| 68.6–78.5% (class 3) | 16.1 | 12.3 | 7.3 | 10.3 | 
| >78.5% (class 4) | 12.4 | 28.6 | 11.9 | 25.1 | 
| M-10DSCC ranges 3 | ||||
| <63.5% (class 1) | 62.2 | 39.4 | 67.3 | 45.5 | 
| 63.5–68.5% (class 2) | 9.3 | 19.8 | 13.5 | 19.2 | 
| 68.6–73.5% (class 3) | 8.6 | 25.3 | 12.3 | 19.2 | 
| >73.5% (class 4) | 19.9 | 15.6 | 6.9 | 16.2 | 
| Trait | Mean | CV 1, % | Percentile 2 | Skewness | Kurtosis | |
|---|---|---|---|---|---|---|
| P5th | P95th | |||||
| Milk components | ||||||
| Fat, % | 4.10 | 23 | 2.50 | 5.62 | −0.02 | 0.32 | 
| Protein, % | 3.55 | 11 | 2.93 | 4.26 | 0.25 | −0.29 | 
| Casein, % | 2.79 | 12 | 2.27 | 3.38 | 0.24 | −0.31 | 
| Casein index 3, % | 78.5 | 2 | 76.2 | 80.6 | −0.19 | 0.18 | 
| Lactose, % | 4.87 | 4 | 4.51 | 5.16 | −0.49 | 0.15 | 
| SCS 4 | 4.91 | 12 | 4.08 | 6.07 | 0.73 | 0.50 | 
| DSCC 5, % | 57.75 | 29 | 29.8 | 84.2 | −0.11 | -0.81 | 
| Milk FA 6, g/100 g total FA | ||||||
| SFA | 68.7 | 6 | 60.7 | 75.0 | −0.48 | −0.23 | 
| UFA | 30.8 | 15 | 24.0 | 39.0 | 0.37 | −0.13 | 
| MUFA | 26.8 | 15 | 21.2 | 34.1 | 0.59 | 0.21 | 
| PUFA | 4.49 | 16 | 3.46 | 5.88 | 0.54 | 0.19 | 
| Trait | Random Effects 2 | RMSE 3 | Fixed Effects (F-Value and Significance) | |||||||||
|---|---|---|---|---|---|---|---|---|---|---|---|---|
| Herd | Animal | Rep. Measurement | DIM 4 | Parity | SCS 5 | DSCC 6 | SCS × DSCC | |||||
| M-5DSCC | M-10DSCC | M-5DSCC | M-10DSCC | M-5DSCC | M-10DSCC | |||||||
| Milk components, % | ||||||||||||
| Fat | 0.37 | 0.55 | 0.32 | 0.68 | 17.6 *** | 1.4 | 120.1 *** | 93.0 *** | 12.9 *** | 10.7 *** | 0.5 | 1.3 | 
| Protein | 0.17 | 0.25 | 0.66 | 0.20 | 88.0 *** | 1.7 | 28.7 *** | 28.1 *** | 1.8 | 3.4 * | 1.5 | 0.0 | 
| Casein | 0.14 | 0.22 | 0.63 | 0.16 | 120.2 *** | 2.7 * | 32.8 *** | 29.8 *** | 1.7 | 2.8 * | 1.7 | 0.1 | 
| Casein index 7 | 0.25 | 0.79 | 0.42 | 0.91 | 123.4 *** | 11.5 *** | 0.5 | 0.3 | 0.5 | 0.4 | 2.2 | 3.2 * | 
| Lactose | 0.00 | 0.12 | 0.52 | 0.11 | 17.4 *** | 22.4 *** | 205.5 *** | 187.9 *** | 8.7*** | 12.4 *** | 5.2 ** | 8.7 *** | 
| Milk FA 8, g/100 g total FA | ||||||||||||
| SFA | 3.30 | 2.18 | 0.66 | 2.76 | 47.1 *** | 6.1 *** | 6.5 * | 8.5 *** | 1.8 | 1.1 | 1.2 | 2.3 | 
| UFA | 3.01 | 2.17 | 0.46 | 3.12 | 41.6 *** | 6.4 *** | 0.9 | 1.3 | 2.8 * | 2.3 | 0.8 | 1.1 | 
| MUFA | 2.70 | 1.95 | 0.66 | 2.60 | 46.0 *** | 6.4 *** | 13.1 *** | 13.7 *** | 2.3 | 1.1 | 1.5 | 2.0 | 
| PUFA | 0.64 | 0.38 | 0.46 | 0.41 | 42.7 *** | 0.2 | 21.2 *** | 11.6 *** | 2.7 * | 2.2 | 0.1 | 1.2 | 
| Trait | DSCC 1 (%), LS Means | Contrasts, F-value and Significance | |||||
|---|---|---|---|---|---|---|---|
| <63.5 (Class 1)  | 63.5–68.5 (Class 2)  | 68.6–73.5 (Class 3)  | >73.5 (Class 4)  | Class 2 + 3 DSCC | Class 2 DSCC | Class 2 + 3 DSCC | |
| vs. | vs. | vs. | |||||
| Low DSCC | Class 3 DSCC | High DSCC | |||||
| N obs. | 3041 | 392 | 403 | 909 | |||
| Milk components, % | |||||||
| Fat | 4.09 ± 0.19 | 4.03 ± 0.19 | 3.93 ± 0.19 | 3.81 ± 0.19 | 7.5 ** | 2.9 | 13.3 *** | 
| Protein | 3.49 ± 0.09 | 3.50 ± 0.09 | 3.52 ± 0.09 | 3.49 ± 0.09 | 2.6 | 1.7 | 2.6 | 
| Casein | 2.74 ± 0.07 | 2.75 ± 0.07 | 2.76 ± 0.07 | 2.74 ± 0.07 | 2.1 | 1.4 | 2.8 | 
| Casein index 2 | 78.4 ± 0.14 | 78.4 ± 0.14 | 78.4 ± 0.14 | 78.4 ± 0.14 | 0.1 | 1.0 | 0.2 | 
| Lactose | 4.83 ± 0.01 | 4.84 ± 0.01 | 4.85 ± 0.01 | 4.86 ± 0.01 | 9.0 ** | 3.5 | 4.6 * | 
| Milk FA 3, g/100 g total FA | |||||||
| SFA | 68.5 ± 1.66 | 68.3 ± 1.66 | 68.1 ± 1.66 | 68.6 ± 1.66 | 3.1 | 0.7 | 3.5 | 
| UFA | 30.7 ± 1.51 | 30.7 ± 1.52 | 31.3 ± 1.52 | 30.7 ± 1.52 | 2.8 | 5.0 * | 2.0 | 
| MUFA | 26.9 ± 1.36 | 27.1 ± 1.37 | 27.2 ± 1.37 | 26.7 ± 1.37 | 3.5 | 0.2 | 5.6 * | 
| PUFA | 4.64 ± 0.32 | 4.61 ± 0.32 | 4.69 ± 0.32 | 4.70 ± 0.32 | 0.2 | 3.9 * | 3.1 | 
| Trait | DSCC 1 (%), LS Means | Contrasts, F-Value and Significance | |||||
|---|---|---|---|---|---|---|---|
| <58.5 (Class 1)  | 58.5-68.5 (Class 2)  | 68.6-78.5 (Class 3)  | >78.5 (Class 4)  | Class 2 + 3 DSCC | Class 2 DSCC | Class 2 + 3 DSCC | |
| vs. | vs. | vs. | |||||
| Low DSCC | Class 3 DSCC | High DSCC | |||||
| N obs. | 2609 | 824 | 759 | 553 | |||
| Milk components, % | |||||||
| Fat | 4.09 ± 0.19 | 4.05 ± 0.19 | 3.88 ± 0.19 | 3.82 ± 0.20 | 10.6 ** | 16.1 *** | 4.9 * | 
| Protein | 3.49 ± 0.09 | 3.50 ± 0.09 | 3.51 ± 0.09 | 3.46 ± 0.09 | 2.4 | 2.4 | 6.6 * | 
| Casein | 2.74 ± 0.07 | 2.75 ± 0.07 | 2.76 ± 0.07 | 2.72 ± 0.07 | 1.9 | 1.8 | 5.9 * | 
| Casein index 2 | 78.4 ± 0.14 | 78.4 ± 0.14 | 78.4 ± 0.14 | 78.4 ± 0.16 | 0.0 | 1.2 | 0.1 | 
| Lactose | 4.82 ± 0.01 | 4.84 ± 0.01 | 4.86 ± 0.01 | 4.86 ± 0.01 | 28.4 *** | 9.1 ** | 0.5 | 
| Milk FA 3, g/100 g total FA | |||||||
| SFA | 68.5 ± 1.66 | 68.4 ± 1.66 | 68.3 ± 1.66 | 68.8 ± 1.67 | 0.5 | 0.3 | 2.9 | 
| UFA | 30.7 ± 1.51 | 30.8 ± 1.51 | 31.1 ± 1.51 | 30.4 ± 1.53 | 2.0 | 2.5 | 3.5 | 
| MUFA | 26.9 ± 1.36 | 27.0 ± 1.36 | 27.0 ± 1.36 | 26.6 ± 1.38 | 0.6 | 0.0 | 3.0 | 
| PUFA | 4.64 ± 0.32 | 4.62 ± 0.32 | 4.69 ± 0.32 | 4.65 ± 0.32 | 0.6 | 6.4 * | 0.0 | 
© 2020 by the authors. Licensee MDPI, Basel, Switzerland. This article is an open access article distributed under the terms and conditions of the Creative Commons Attribution (CC BY) license (http://creativecommons.org/licenses/by/4.0/).
Share and Cite
Stocco, G.; Summer, A.; Cipolat-Gotet, C.; Zanini, L.; Vairani, D.; Dadousis, C.; Zecconi, A. Differential Somatic Cell Count as a Novel Indicator of Milk Quality in Dairy Cows. Animals 2020, 10, 753. https://doi.org/10.3390/ani10050753
Stocco G, Summer A, Cipolat-Gotet C, Zanini L, Vairani D, Dadousis C, Zecconi A. Differential Somatic Cell Count as a Novel Indicator of Milk Quality in Dairy Cows. Animals. 2020; 10(5):753. https://doi.org/10.3390/ani10050753
Chicago/Turabian StyleStocco, Giorgia, Andrea Summer, Claudio Cipolat-Gotet, Lucio Zanini, Diego Vairani, Christos Dadousis, and Alfonso Zecconi. 2020. "Differential Somatic Cell Count as a Novel Indicator of Milk Quality in Dairy Cows" Animals 10, no. 5: 753. https://doi.org/10.3390/ani10050753
APA StyleStocco, G., Summer, A., Cipolat-Gotet, C., Zanini, L., Vairani, D., Dadousis, C., & Zecconi, A. (2020). Differential Somatic Cell Count as a Novel Indicator of Milk Quality in Dairy Cows. Animals, 10(5), 753. https://doi.org/10.3390/ani10050753
        
