Methyl Potassium Siliconate and Siloxane Inhibit the Formation of Multispecies Biofilms on Ceramic Roof Tiles: Efficiency and Comparison of Two Common Water Repellents
Abstract
1. Introduction
2. Materials and Methods
2.1. In Situ Exposure of Ceramic Roof Tiles and Sampling Strategy
2.2. Evaluation of Hydrophobicity Features Induced by Water Repellents and after 6 Years of Exposure
2.3. Microscopic Observations of In Situ Microbial Colonization
Scanning Electron Microscopy and Energy Dispersive Spectrometry
2.4. In Vitro Evaluation of the Water-Repellent Effects on Microbial Growth
2.4.1. Evaluation of Water-Repellent Effects on Fungal Growth
2.4.2. Evaluation of Water-Repellent Effects on Algal Growth
3. Results
3.1. Macroscopical Aspects of Ceramic Roof Tiles after 6 Years of Exposure with or without an Initial Water-Repellent Coating.
3.1.1. Macroscopic Observations
3.1.2. SEM Observations and EDS Analysis
3.1.3. Confocal Macroscopy Observations
3.2. In Vitro Assays
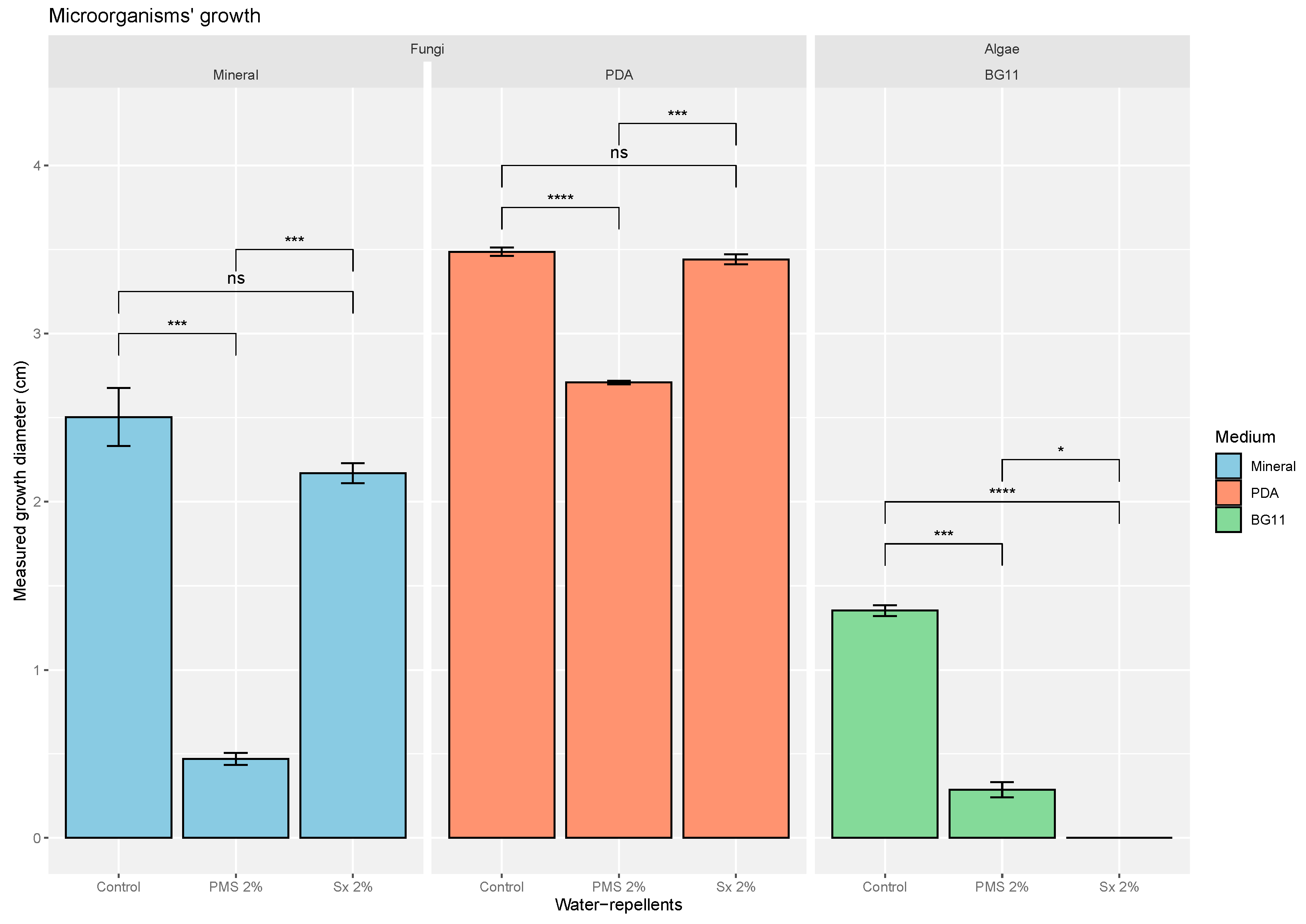
3.2.1. Evaluation of Water-Repellent Effects on the Growth of the Fungal Model Cladosporium cladosporioides on a Minimal Medium Untreated or Amended with Silane or Siloxane
3.2.2. Evaluation of Water-Repellent Effects on the Growth of the Fungal Model Cladosporium cladosporioides on a Rich Medium (PDA)
3.2.3. Evaluation of Water-Repellent Effects on the Growth of the Algal Model Stichococcus bacillaris on the Minimal Medium BG11
4. Discussion
Supplementary Materials
Author Contributions
Funding
Institutional Review Board Statement
Informed Consent Statement
Data Availability Statement
Acknowledgments
Conflicts of Interest
References
- Fédération Française des Tuiles et Briques. L’industrie de la Terre Cuite en Chiffres: Statistiques 2018; Fédération Française des Tuiles et Briques: Paris, France, 2019. [Google Scholar]
- Guézennec, J. Biodégradation des Matériaux Quels Risques Pour la Santé et L’environnement; Quae: Versailles, France, 2017; ISBN 2267-3032. [Google Scholar]
- The Brick Industry Association. Cleaning Brickwork; The Brick Industry Association: Reston, VA, USA, 2018. [Google Scholar]
- Romani, M.; Carrion, C.; Fernandez, F.; Intertaglia, L.; Pecqueur, D.; Lebaron, P.; Lami, R. High bacterial diversity in pioneer biofilms colonizing ceramic roof tiles. Int. Biodeterior. Biodegrad. 2019, 144, 104745. [Google Scholar] [CrossRef]
- Fassier, M. Interactions Entre L’environnement et la Terre Cuite; Université de Limoges: Limoges, France, 2009. [Google Scholar]
- Gazulla, M.F.; Sanchez, E.; Gonzalez, J.M.; Portillo, M.C.; Orduna, M. Relationship between certain ceramic roofing tile characteristics and biodeterioration. J. Eur. Ceram. Soc. 2011, 31, 2753–2761. [Google Scholar] [CrossRef][Green Version]
- Barberousse, H.; Lombardo, R.J.; Tell, G.; Couté, A. Factors involved in the colonisation of building façades by algae and cyanobacteria in France. Biofouling 2006, 22, 69–77. [Google Scholar] [CrossRef] [PubMed]
- Coutinho, M.L.; Miller, A.Z.; Macedo, M.F. Biological colonization and biodeterioration of architectural ceramic materials: An overview. J. Cult. Herit. 2015, 16, 759–777. [Google Scholar] [CrossRef]
- Ortega-Calvo, J.J.; Ariño, X.; Hernandez-Marine, M.; Saiz-Jimenez, C. Factors affecting the weathering and colonization of monuments by phototrophic microorganisms. Sci. Total Environ. 1995, 167, 329–341. [Google Scholar] [CrossRef]
- Warscheid, T.; Braams, J. Biodeterioration of stone: A review. Int. Biodeterior. Biodegrad. 2000, 46, 343–368. [Google Scholar] [CrossRef]
- Gulotta, D.; Villa, F.; Cappitelli, F.; Toniolo, L. Biofilm colonization of metamorphic lithotypes of a renaissance cathedral exposed to urban atmosphere. Sci. Total Environ. 2018, 639, 1480–1490. [Google Scholar] [CrossRef]
- Li, Q.; Zhang, B.; Yang, X.; Ge, Q. Deterioration-Associated Microbiome of Stone Monuments: Structure, Variation, and Assembly. Appl. Environ. Microbiol. 2018, 84, 1–19. [Google Scholar] [CrossRef]
- Rossi-Manaresi, R. Stone protection from antiquity to the beginning of the Industrial Revolution TT-Twenty years of stone conservation 1976–96: Results and perspectives. In Zum Thema Zwanzig Jahre Steinkonservierung 1976–1996 Bilanz und Perspekt; International Institute for Conservation of Historic and Artistic Works: Wien, Austria, 1996; pp. 23–30. [Google Scholar]
- Roos, M.; König, F.; Stadtmüller, S.; Weyershausen, B. Evolution of silicone based water repellents for modern building protection. In Proceedings of the 5th International Conference on Water Repellent Treatment of Building Materials, Brussels, Belgium, 15–16 April 2008; Volume 16, pp. 3–16. [Google Scholar]
- Urzì, C.; De Leo, F. Evaluation of the efficiency of water-repellent and biocide compounds against microbial colonization of mortars. Int. Biodeterior. Biodegrad. 2007, 60, 25–34. [Google Scholar] [CrossRef]
- Bruchertseifer, C.; Brüggerhoff, S.; Grobe, J.; Stoppek-Langner, K. Long-term exposure of traited natural stone-development and first results of a testing concept. In Proceedings of the First International Symposium on Surface Treatment of Building Materials with Water Repellent Agents, Delft, The Netherland, 9–10 November 1995; pp. 1–11. [Google Scholar]
- Charola, A.E. Water Repellents and Other “Protective” Treatments: A Critical Review. In Proceedings of the Restoration of Buildings and Monuments, Hannover, Germany, 25–26 September 2001; Volume 9, pp. 3–22. [Google Scholar]
- Balzarotti-Kammlein, R.; Sansoni, M.; Castronovo, A. An innovative water compatible formulation of ALGOPHASE® for treatment of mortars. In Proceedings of the International Conference on Microbiology and Conservation of Microbes and Art, Florence, Italy, 16–19 June 1999; Citeseer. pp. 217–220. [Google Scholar]
- Giannantonio, D.J.; Kurth, J.C.; Kurtis, K.E.; Sobecky, P.A. Molecular characterizations of microbial communities fouling painted and unpainted concrete structures. Int. Biodeterior. Biodegrad. 2009, 63, 30–40. [Google Scholar] [CrossRef]
- Cordero, R.J.B.; Casadevall, A. Functions of fungal melanin beyond virulence. Fungal Biol. Rev. 2017, 31, 99–112. [Google Scholar] [CrossRef] [PubMed]
- Crispim, C.A.; Gaylarde, C.C. Cyanobacteria and biodeterioration of cultural heritage: A review. Microb. Ecol. 2005, 49, 1–9. [Google Scholar] [CrossRef]
- Macedo, M.F.; Miller, A.Z.; Dionísio, A.; Saiz-Jimenez, C. Biodiversity of cyanobacteria and green algae on monuments in the Mediterranean Basin: An overview. Microbiology 2009, 155, 3476–3490. [Google Scholar] [CrossRef]
- Domenech, M.; Pedrero-vega, E.; Prieto, A.; García, E. Evidence of the presence of nucleic acids and β -glucan in the matrix of non-typeable Haemophilus influenzae in vitro biofilms. Sci. Rep. 2016, 6, 36424. [Google Scholar] [CrossRef]
- R Core Team. R: A Language and Environment for Statistical Computing; R Foundation for Statistical Computing: Vienna, Austria; Available online: https://www.R-project.org/ (accessed on 11 January 2021).
- Wickham, H. ggplot2: Elegant Graphics for Data Analysis; Springer: New York, NY, USA, 2009; ISBN 978-0-387-98140-6. [Google Scholar]
- Radeka, M.; Kiurski, J.; Markov, S.; Marinkovic-Neducin, R.; Ranogajec, J.; Brebbia, C.A. Microbial deterioration of clay roofing tiles. Struct. Stud. Repairs Maint. Herit. Archit. X 2007, 95, 567–575. [Google Scholar] [CrossRef]
- Berdahl, P.; Akbari, H.; Levinson, R.; Miller, W.A. Weathering of roofing materials—An overview. Constr. Build. Mater. 2008, 22, 423–433. [Google Scholar] [CrossRef]
- Pohl, J.; Saltsman, I.; Mahammed, A.; Gross, Z.; Röder, B. Inhibition of green algae growth by corrole-based photosensitizers. J. Appl. Microbiol. 2015, 118, 305–312. [Google Scholar] [CrossRef]
- Ruibal, C.; Selbmann, L.; Avci, S.; Martin-Sanchez, P.M.; Gorbushina, A.A. Roof-inhabiting cousins of rock-inhabiting fungi: Novel melanized microcolonial fungal species from photocatalytically reactive subaerial surfaces. Life 2018, 8, 30. [Google Scholar] [CrossRef]
- Rippka, R.; Deruelles, J.; Waterbury, J.B.; Herdman, M.; Stanier, R.Y. Generic assignments, strain histories and properties of pure cultures of cyanobacteria. Microbiology 1979, 111, 1–61. [Google Scholar] [CrossRef]
- Urzì, C.; De Leo, F.; Krakova, L.; Pangallo, D.; Bruno, L. Effects of biocide treatments on the biofilm community in Domitilla’s catacombs in Rome. Open Conf. Proc. J. 2016, 572, 252–262. [Google Scholar] [CrossRef] [PubMed]
- Wendler, E. New Materials and Approaches for the Conservation of Stone. In Proceedings of the Saving our Architectural Heritage: The Conservation of Historic Stone Structures, Berlin, Germany, 3–8 March 1996; Wiley & Sons: Chichester, UK, 1997; pp. 181–196. [Google Scholar]
- González, R.F.; de Azcona, M.C.L.; Martín, F.M.; de Burgo Ballester, M.A.; Blanco, J.R. A Comparative Study of the Efficiency of Siloxanes, Methacrylates and Microwaxes-Based Treatments Applied to the Stone Materials of the Royal Palace of Madrid, Spain. Proc. Ninth Int. Congr. Deterior. Conserv. Stone 2000, 2, 235–243. [Google Scholar]
- Pinna, D.; Salvadori, B.; Galeotti, M. Monitoring the performance of innovative and traditional biocides mixed with consolidants and water-repellents for the prevention of biological growth on stone. Sci. Total Environ. 2012, 423, 132–141. [Google Scholar] [CrossRef] [PubMed]
- May, E.; Papida, S.; Abdulla, H.; Tayler, S.; Dewedar, A. Comparative studies of microbial communities on stone monuments in temperate and semi-arid climates. In Of Microbes and Art; Springer: Berlin/Heidelberg, Germany, 2000; pp. 49–62. [Google Scholar]
- Ortega-Morales, B.O.; Reyes-Estebanez, M.M.; Gaylarde, C.C.; Camacho-Chab, J.C.; Sanmartín, P.; Chan-Bacab, M.J.; Granados-Echegoyen, C.A.; Pereañez-Sacarias, J.E. Antimicrobial Properties of Nanomaterials Used to Control Microbial Colonization of Stone Substrata. In Advanced Materials for the Conservation of Stone; Springer International Publishing: Cham, Switzerland, 2018; pp. 277–298. [Google Scholar]
- Brewer, T.E.; Fierer, N. Tales from the tomb: The microbial ecology of exposed rock surfaces. Environ. Microbiol. 2017, 20, 958–970. [Google Scholar] [CrossRef]
- Zhang, S.-J.; Zhang, X.-G.; Shang, W.-T. Chemical investigation of potassium methyl siliconate as deacidification and strengthening agent for preservation of aged papers. Chin. J. Polym. Sci. 2015, 33, 1672–1682. [Google Scholar] [CrossRef]
- Görs, S.; Schumann, R.; Häubner, N.; Karsten, U. Fungal and algal biomass in biofilms on artificial surfaces quantified by ergosterol and chlorophyll a as biomarkers. Int. Biodeterior. Biodegrad. 2007, 60, 50–59. [Google Scholar] [CrossRef]
- Chu, R.; Li, S.; Zhu, L.; Yin, Z.; Hu, D.; Liu, C.; Mo, F. A review on co-cultivation of microalgae with filamentous fungi: Efficient harvesting, wastewater treatment and biofuel production. Renew. Sustain. Energy Rev. 2021, 139, 110689. [Google Scholar] [CrossRef]



| Water-Repellent | Concentration (% Commercial Solution) | Contact Angle (°) |
|---|---|---|
| No | 0% | 0 |
| PMS | 0.1% | 79 |
| 0.5% | 95 | |
| 1% | 95 | |
| 2% | 97 | |
| 5% | 106 | |
| Sx | 0.1% | 100 |
| 0.5% | 104 | |
| 1% | 104 | |
| 2% | 104 | |
| 5% | 116 | |
| No—6 years | 0% | 0 |
| PMS—6 years | 1.7% | 0 |
| Sx—6 years | 2% | 0 |
| Biomass | Biovolume | Mean Thickness | Max Thickness | ||
|---|---|---|---|---|---|
| Tile | UT | 443.2 ± 219.5 | 1851.5 ± 916.8 | 26.1 ± 7.0 | 91.8 ± 31.8 |
| PMS | 389.0 ± 130.7 | 1624.8 ± 546.1 | 22.0 ± 1.4 | 103.5 ± 20.1 | |
| Sx | 1264.1 ± 2150.0 | 5280.8 ± 8979.3 | 24.7 ± 4.0 | 111.6 ± 23.5 | |
| p value | UT/PMS | 0.704 ns | 0.704 ns | 0.099 ns | 0.347 ns |
| UT/Sx | 0.704 ns | 0.704 ns | 0.765 ns | 0.11 ns | |
| MPS/Sx | 0.552 ns | 0.552 ns | 0.238 ns | 0.334 ns |
| Medium | Water-Repellent | Concentration (% Commercial Solution) | pH Solution |
|---|---|---|---|
| MS | No | 0% | 6.41 |
| PMS | 0.1% | 9.75 | |
| 0.5% | 10.91 | ||
| 1% | 11.37 | ||
| 2% | 11.72 | ||
| 5% | 12.18 | ||
| Sx | 0.1% | 6.30 | |
| 0.5% | 6.24 | ||
| 1% | 6.20 | ||
| 2% | 6.18 | ||
| 5% | 6.31 | ||
| PDB | No | 0% | 5.00 |
| PMS | 0.1% | 10.05 | |
| 0.5% | 10.95 | ||
| 1% | 11.36 | ||
| 2% | 11.57 | ||
| 5% | 12.05 | ||
| Sx | 0.1% | 5.88 | |
| 0.5% | 5.25 | ||
| 1% | 5.30 | ||
| 2% | 5.30 | ||
| 5% | 5.60 | ||
| BG11 | No | 0% | 6.81 |
| PMS | 0.1% | 10.90 | |
| 0.5% | 11.48 | ||
| 1% | 11.72 | ||
| 2% | 11.99 | ||
| 5% | 12.43 | ||
| Sx | 0.1% | 6.99 | |
| 0.5% | 7.26 | ||
| 1% | 7.32 | ||
| 2% | 7.11 | ||
| 5% | 8.27 |
Publisher’s Note: MDPI stays neutral with regard to jurisdictional claims in published maps and institutional affiliations. |
© 2021 by the authors. Licensee MDPI, Basel, Switzerland. This article is an open access article distributed under the terms and conditions of the Creative Commons Attribution (CC BY) license (http://creativecommons.org/licenses/by/4.0/).
Share and Cite
Romani, M.; Carrion, C.; Fernandez, F.; Lebaron, P.; Lami, R. Methyl Potassium Siliconate and Siloxane Inhibit the Formation of Multispecies Biofilms on Ceramic Roof Tiles: Efficiency and Comparison of Two Common Water Repellents. Microorganisms 2021, 9, 394. https://doi.org/10.3390/microorganisms9020394
Romani M, Carrion C, Fernandez F, Lebaron P, Lami R. Methyl Potassium Siliconate and Siloxane Inhibit the Formation of Multispecies Biofilms on Ceramic Roof Tiles: Efficiency and Comparison of Two Common Water Repellents. Microorganisms. 2021; 9(2):394. https://doi.org/10.3390/microorganisms9020394
Chicago/Turabian StyleRomani, Mattea, Claire Carrion, Frédéric Fernandez, Philippe Lebaron, and Raphaël Lami. 2021. "Methyl Potassium Siliconate and Siloxane Inhibit the Formation of Multispecies Biofilms on Ceramic Roof Tiles: Efficiency and Comparison of Two Common Water Repellents" Microorganisms 9, no. 2: 394. https://doi.org/10.3390/microorganisms9020394
APA StyleRomani, M., Carrion, C., Fernandez, F., Lebaron, P., & Lami, R. (2021). Methyl Potassium Siliconate and Siloxane Inhibit the Formation of Multispecies Biofilms on Ceramic Roof Tiles: Efficiency and Comparison of Two Common Water Repellents. Microorganisms, 9(2), 394. https://doi.org/10.3390/microorganisms9020394

