Unveiling the Bovine Epimural Microbiota Composition and Putative Function
Abstract
1. Introduction
2. Materials and Methods
2.1. Search Overview, Inclusion Criteria and Data Acquisition
2.2. Datasets
2.3. Sequence Analysis
2.4. Statistical Evaluation of Data
3. Results and Discussion
3.1. Composition and Structure of the Core Epimural Microbiota
3.2. Core Bacterial Phyla Are Shared across Studies
3.3. Lower Taxonomical Levels Allow the Identification of a Core
3.4. Canonical Correlation Analysis Discloses Predicted Functions of the Core Microbiota
3.5. Factors Affecting the Epithelial Microbiota Composition and Structure
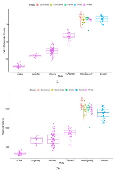
3.6. Technical Factors: Study Characteristics and Biases
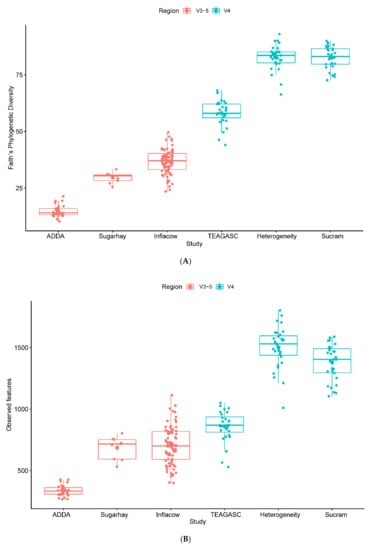
3.7. Influence of Hypervariable Region
3.8. Biological Factors: Animal and Biopsy
3.9. Predicted Functional Potential Varies across Ruminal Locations
3.10. A Closer Look into Austrian Samples
4. Conclusions
Supplementary Materials
Author Contributions
Funding
Institutional Review Board Statement
Informed Consent Statement
Data Availability Statement
Acknowledgments
Conflicts of Interest
References
- Malmuthuge, N.; Guan, L.L. Understanding host-microbial interactions in rumen: Searching the best opportunity for microbiota manipulation. J. Anim. Sci. Biotechnol. 2017, 8. [Google Scholar] [CrossRef]
- Liu, J.H.; Zhang, M.L.; Zhang, R.Y.; Zhu, W.Y.; Mao, S.Y. Comparative studies of the composition of bacterial microbiota associated with the ruminal content, ruminal epithelium and in the faeces of lactating dairy cows. Microb. Biotechnol. 2016, 9, 257–268. [Google Scholar] [CrossRef]
- Millen, D.; De Beni Arrigoni, M.; Lauritano Pacheco, R.D. Rumenology, 1st ed.; Springer International Publishing: Berlin/Heidelberg, Germany, 2016. [Google Scholar]
- Hungate, R.E. The Rumen and Its Microbes, 1st ed.; Academic Press: Cambridge, MA, USA, 1966. [Google Scholar]
- Li, M.; Zhou, M.; Adamowicz, E.; Basarab, J.A.; Guan, L.L. Characterization of bovine ruminal epithelial bacterial communities using 16S rRNA sequencing, PCR-DGGE, and qRT-PCR analysis. Vet. Microbiol. 2012, 155, 72–80. [Google Scholar] [CrossRef]
- Cheng, K.J.; Bailey, C.B.; Hironaka, R.; Costerton, J.W. A technique for depletion of bacteria adherent to the epithelium of the bovine rumen. Can. J. Anim. Sci. 1979, 59, 207–209. [Google Scholar] [CrossRef]
- Cheng, K.J.; McCowan, R.P.; Costerton, J.W. Adherent epithelial bacteria in ruminants and their roles in digestive tract function. Am. J. Clin. Nutr. 1979, 32, 139–148. [Google Scholar] [CrossRef]
- Jami, E.; Israel, A.; Kotser, A.; Mizrahi, I. Exploring the bovine rumen bacterial community from birth to adulthood. ISME J. 2013, 7, 1069–1079. [Google Scholar] [CrossRef]
- Wetzels, S.U.; Mann, E.; Pourazad, P.; Qumar, M.; Pinior, B.; Metzler-Zebeli, B.U.; Wagner, M.; Schmitz-Esser, S.; Zebeli, Q. Epimural bacterial community structure in the rumen of Holstein cows with different responses to a long-term subacute ruminal acidosis diet challenge. J. Dairy Sci. 2017, 100, 1829–1844. [Google Scholar] [CrossRef] [PubMed]
- Wetzels, S.U.; Emann, E.; Metzler-Zebeli, B.U.; Epourazad, P.; Equmar, M.; Eklevenhusen, F.; Epinior, B.; Ewagner, M.; Ezebeli, Q.; Schmitz-Esser, S. Epimural indicator phylotypes of transiently-induced subacute ruminal acidosis in dairy cattle. Front. Microbiol. 2016, 7. [Google Scholar] [CrossRef] [PubMed]
- Marchesi, J.R.; Ravel, J. The vocabulary of microbiome research: A proposal. Microbiome 2015, 3, 1–3. [Google Scholar] [CrossRef] [PubMed]
- Henderson, G.; Global Rumen Census Collaborators; Cox, F.; Ganesh, S.; Jonker, A.; Young, W.; Janssen, P.H.; Abecia, L.; Angarita, E.; Aravena, P.; et al. Rumen microbial community composition varies with diet and host, but a core microbiome is found across a wide geographical range. Sci. Rep. 2015, 5. [Google Scholar] [CrossRef] [PubMed]
- Auffret, M.D.; Dewhurst, R.J.; Duthie, C.-A.; Rooke, J.A.; Wallace, R.J.; Freeman, T.C.; Stewart, R.D.; Watson, M.; Roehe, R. The rumen microbiome as a reservoir of antimicrobial resistance and pathogenicity genes is directly affected by diet in beef cattle. Microbiome 2017, 5, 1–11. [Google Scholar] [CrossRef]
- Zebeli, Q.; Metzler-Zebeli, B.U. Interplay between rumen digestive disorders and diet-induced inflammation in dairy cattle. Res. Vet. Sci. 2012, 93, 1099–1108. [Google Scholar] [CrossRef] [PubMed]
- Waite, D.W.; Taylor, M.W. Characterizing the avian gut microbiota: Membership, driving influences, and potential function. Front. Microbiol. 2014, 5, 1–12. [Google Scholar] [CrossRef]
- Brooks, J.P.; Edwards, D.J.; Rivera, M.C.; Fettweis, J.M.; Serrano, M.G.; Reris, R.A.; Sheth, N.U.; Huang, B.; Jefferson, K.K.; Buck, G.A.; et al. The truth about metagenomics: Quantifying and counteracting bias in 16S rRNA studies Ecological and evolutionary microbiology. BMC Microbiol. 2015, 15, 1–14. [Google Scholar] [CrossRef] [PubMed]
- Petri, R.M.; Wetzels, S.U.; Qumar, M.; Khiaosa-ard, R.; Zebeli, Q. Adaptive responses in short-chain fatty acid absorption, gene expression, and bacterial community of the bovine rumen epithelium recovered from a continuous or transient high-grain feeding. J. Dairy Sci. 2019, 102, 5361–5378. [Google Scholar] [CrossRef]
- Petri, R.M.; Neubauer, V.; Humer, E.; Kröger, I.; Reisinger, N.; Zebeli, Q. Feed Additives Differentially Impact the Epimural Microbiota and Host Epithelial Gene Expression of the Bovine Rumen Fed Diets Rich in Concentrates. Front. Microbiol. 2020, 11, 1–15. [Google Scholar] [CrossRef]
- Neubauer, V.; Humer, E.; Mann, E.; Kröger, I.; Reisinger, N.; Wagner, M.; Zebeli, Q.; Petri, R. Effects clay mineral supplementation on particle-associated and epimural microbiota, and gene expression in the rumen of cows fed high-concentrate diet. Anaerobe 2019, 59, 38–48. [Google Scholar] [CrossRef] [PubMed]
- Petri, R.M.; Kleefisch, M.T.; Metzler-Zebeli, B.U.; Zebeli, Q.; Klevenhusen, F. Changes in the rumen epithelial microbiota of cattle and host gene expression in response to alterations in dietary carbohydrate composition. Appl. Environ. Microbiol. 2018, 84, 1–14. [Google Scholar] [CrossRef]
- Sbardellati, D.L.; Fischer, A.; Cox, M.S.; Li, W.; Kalscheur, K.F.; Suen, G. The bovine epimural microbiota displays compositional and structural heterogeneity across different ruminal locations. J. Dairy Sci. 2020, 103, 3636–3647. [Google Scholar] [CrossRef]
- Koester, L.R.; Anderson, C.J.; Cortes, B.W.; Lyte, M. Influence of the artificial sodium saccharin sweetener Sucram® on the microbial community composition in the rumen content and attached to the rumen epithelium in dairy cattle: A pilot study. BioRxiv 2020. [Google Scholar] [CrossRef]
- De Mulder, T.; Goossens, K.; Peiren, N.; Vandaele, L.; Haegeman, A.; De Tender, C.; Ruttink, T.; Van De Wiele, T.; De Campeneere, S. Exploring the methanogen and bacterial communities of rumen environments: Solid adherent, fluid and epimural. FEMS Microbiol. Ecol. 2017, 93, 1–12. [Google Scholar] [CrossRef]
- Schären, M.; Kiri, K.; Riede, S.; Gardener, M.; Meyer, U.; Hummel, J.; Urich, T.; Breves, G.; Dänicke, S. Alterations in the rumen liquid-, particle- and epithelium-associated microbiota of dairy cows during the transition from a silage- and concentrate-based ration to pasture in spring. Front. Microbiol. 2017, 8. [Google Scholar] [CrossRef] [PubMed]
- FastQC: A Quality Control Tool for High Throughput Sequence. 2015. Available online: Http://www.bioinformatics.babraham.ac.uk/projects/fastqc/ (accessed on 8 June 2020).
- Lindgreen, S. AdapterRemoval: Easy cleaning of next-generation sequencing reads. BMC Res. Notes 2012, 5. [Google Scholar] [CrossRef]
- Bolyen, E.; Rideout, J.R.; Dillon, M.R.; Bokulich, N.A.; Abnet, C.C.; Al-Ghalith, G.A.; Alexander, H.; Alm, E.J.; Arumugam, M.; Asnicar, F.; et al. Reproducible, interactive, scalable and extensible microbiome data science using QIIME 2. Nat. Biotechnol. 2019, 37, 852–857. [Google Scholar] [CrossRef]
- Rognes, T.; Flouri, T.; Nichols, B.; Quince, C.; Mahé, F. VSEARCH: A versatile open source tool for metagenomics. PeerJ 2016, 2016, 1–22. [Google Scholar] [CrossRef]
- Amir, A.; McDonald, D.; Navas-Molina, J.A.; Kopylova, E.; Morton, J.T.; Xu, Z.Z.; Kightley, E.P.; Thompson, L.R.; Hyde, E.R.; Gonzalez, A.; et al. Deblur Rapidly Resolves Single-Nucleotide Community Sequence Patterns. mSystems 2017, 2, e00191-16. [Google Scholar] [CrossRef] [PubMed]
- Quast, C.; Pruesse, E.; Yilmaz, P.; Gerken, J.; Schweer, T.; Yarza, P.; Peplies, J.; Glöckner, F.O. The SILVA ribosomal RNA gene database project: Improved data processing and web-based tools. Nucleic Acids Res. 2013, 41, 590–596. [Google Scholar] [CrossRef]
- Caporaso, J.G.; Kuczynski, J.; Stombaugh, J.; Bittinger, K.; Bushman, F.D.; Costello, E.K.; Fierer, N.; Peña, A.G.; Goodrich, J.K.; Gordon, J.I.; et al. QIIME Allows Analysis of High-Throughput Community Sequencing data. Nat. Methods 2010, 7, 335–336. [Google Scholar] [CrossRef] [PubMed]
- Douglas, G.M.; Maffei, V.J.; Zaneveld, J.; Yurgel, S.N.; Brown, J.R.; Taylor, C.M.; Huttenhower, C.; Langille, M.G.I. PICRUSt2: An improved and extensible approach for metagenome inference. BioRxiv 2019, 672295. [Google Scholar] [CrossRef]
- Caspi, R.; Altman, T.; Billington, R.; Dreher, K.; Foerster, H.; Fulcher, C.A.; Holland, T.A.; Keseler, I.M.; Kothari, A.; Kubo, A.; et al. The MetaCyc database of metabolic pathways and enzymes and the BioCyc collection of Pathway/Genome Databases. Nucleic Acids Res. 2014, 42, 459–471. [Google Scholar] [CrossRef]
- R Core Team. R: A Language and Environment for Statistical Computing; R Core Team: Vienna, Austria, 2012. [Google Scholar]
- Benjamini, Y.; Hochberg, Y. Controlling the False Discovery Rate: A Practical and Powerful Approach to Multiple Testing. J. R. Stat. Soc. Ser. B Methodol. 1995, 57, 289–300. [Google Scholar] [CrossRef]
- Oksanen, J.; Blanchet, F.G.; Kindt, R.; Legendre, P.; Minchin, P.R.; O’hara, R.; Simpson, G.L.; Solymos, P.; Stevens, M.H.H. Package ‘Vegan’. Community Ecology Package, Version 2. 2013. Available online: https://cran.r-project.org/package=vegan (accessed on 30 April 2020).
- Segata, N.; Izard, J.; Waldron, L.; Gevers, D.; Miropolsky, L.; Garrett, W.S.; Huttenhower, C. Metagenomic biomarker discovery and explanation. Genome Biol. 2011, 12, R60. [Google Scholar] [CrossRef]
- Waite, D.W.; VanWonterghem, I.; Rinke, C.; Parks, D.H.; Zhang, Y.; Takai, K.; Sievert, S.M.; Simon, J.; Campbell, B.J.; Hanson, T.E.; et al. Comparative genomic analysis of the class Epsilonproteobacteria and proposed reclassification to epsilonbacteraeota (phyl. nov.). Front. Microbiol. 2017, 8. [Google Scholar] [CrossRef]
- Waite, D.W.; Chuvochine, M.S.; Hugenholz, P. Road Map of the Phylum Campylobacterota. In Bergey’s Manual of Systematics of Archaea and Bacteria; Trujillo, M.E., Dedysh, S., DeVos, P., Hedlund, B., Kämpfer, P., Rainey, F.A., Whitman, W.B., Eds.; John Wiley & Sons, Inc.: Hoboken, NJ, USA, 2019. [Google Scholar] [CrossRef]
- Sproston, E.L.; Ogden, I.D.; Macrae, M.; Dallas, J.F.; Sheppard, S.K.; Cody, A.J.; Colles, F.M.; Wilson, M.; Forbes, K.J.; Strachan, N.J.C. Temporal variation and host association in the Campylobacter population in a longitudinal ruminant farm study. Appl. Environ. Microbiol. 2011, 77, 6579–6586. [Google Scholar] [CrossRef]
- Besser, T.E.; Lejeune, J.T.; Rice, D.H.; Berg, J.; Stilborn, R.P.; Kaya, K.; Bae, W.; Hancock, D.D. Increasing prevalence of Campylobacter jejuni in feedlot cattle through the feeding period. Appl. Environ. Microbiol. 2005, 71, 5752–5758. [Google Scholar] [CrossRef]
- Mann, E.; Wetzels, S.U.; Wagner, M.; Zebeli, Q.; Schmitz-Esser, S. Metatranscriptome sequencing reveals insights into the gene expression and functional potential of rumen wall bacteria. Front. Microbiol. 2018, 9, 1–12. [Google Scholar] [CrossRef]
- Liu, G.; Tang, C.M.; Exley, R.M. Non-pathogenic neisseria: Members of an abundant, multi-habitat, diverse genus. Microbiology 2015, 161, 1297–1312. [Google Scholar] [CrossRef]
- Jin, D.; Zhao, S.; Wang, P.; Zheng, N.; Bu, D.; Beckers, Y.; Wang, J. Insights into abundant rumen ureolytic bacterial community using rumen simulation system. Front. Microbiol. 2016, 7, 1–9. [Google Scholar] [CrossRef]
- Bennett, J.S.; Jolley, K.A.; Maiden, M.C.J. Genome sequence analyses show that Neisseria oralis is the same species as ‘Neisseria mucosa var. Heidelbergensis’. Int. J. Syst. Evol. Microbiol. 2013, 63, 3920–3926. [Google Scholar] [CrossRef] [PubMed]
- Holman, D.B.; Gzyl, K.E. A meta-analysis of the bovine gastrointestinal tract microbiota. FEMS Microbiol. Ecol. 2019, 95. [Google Scholar] [CrossRef]
- Henderson, G.; Yilmaz, P.; Kumar, S.; Forster, R.J.; Kelly, W.J.; Leahy, S.C.; Guan, L.L.; Janssen, P.H. Improved taxonomic assignment of rumen bacterial 16S rRNA sequences using a revised SILVA taxonomic framework. PeerJ 2019, 2019. [Google Scholar] [CrossRef]
- Kenters, N.; Henderson, G.; Jeyanathan, J.; Kittelmann, S.; Janssen, P.H. Isolation of previously uncultured rumen bacteria by dilution to extinction using a new liquid culture medium. J. Microbiol. Methods 2011, 84, 52–60. [Google Scholar] [CrossRef]
- Compant, S.; Nowak, J.; Coenye, T.; Clément, C.; Barka, E.A. Diversity and occurrence of Burkholderia spp. in the natural environment. FEMS Microbiol. Rev. 2008, 32, 607–626. [Google Scholar] [CrossRef]
- Voordouw, G. The genus Desulfovibrio: The centennial. Appl. Environ. Microbiol. 1995, 61, 2813–2819. [Google Scholar] [CrossRef]
- Steger, J.L.; Vincent, C.; Ballard, J.D.; Krumholz, L.R. Desulfovibrio sp. genes involved in the respiration of sulfate during metabolism of hydrogen and lactate. Appl. Environ. Microbiol. 2002, 68, 1932–1937. [Google Scholar] [CrossRef]
- Vacca, M.; Celano, G.; Calabrese, F.M.; Portincasa, P.; Gobbetti, M.; de Angelis, M. The Controversial Role of Human Gut Lachnospiraceae. Microorganisms 2020, 8, 573. [Google Scholar] [CrossRef]
- Deusch, S.; Camarinha-Silva, A.; Conrad, J.; Beifuss, U.; Rodehutscord, M.; Seifert, J. A structural and functional elucidation of the rumen microbiome influenced by various diets and microenvironments. Front. Microbiol. 2017, 8, 1–21. [Google Scholar] [CrossRef]
- Zeng, H.; Guo, C.; Sun, D.; Seddik, H.E.; Mao, S. The ruminal microbiome and metabolome alterations associated with diet-induced milk fat depression in dairy cows. Metabolites 2019, 9, 154. [Google Scholar] [CrossRef] [PubMed]
- Van Gylswyk, N.O. Succiniclasticum ruminis gen. nov., sp. nov., a ruminal bacterium converting succinate to propionate as the sole energy-yielding mechanism. Int. J. Syst. Bacteriol. 1995, 45, 297–300. [Google Scholar] [CrossRef]
- Krause, D.O.; Denman, S.E.; Mackie, R.I.; Morrison, M.; Rae, A.L.; Attwood, G.T.; McSweeney, C.S. Opportunities to improve fiber degradation in the rumen: Microbiology, ecology, and genomics. FEMS Microbiol. Rev. 2003, 27, 663–693. [Google Scholar] [CrossRef]
- Petri, R.M.; Schwaiger, T.; Penner, G.B.; Beauchemin, K.A.; Forster, R.J.; McKinnon, J.J.; Bie, X. Changes in the rumen epimural bacterial diversity of beef cattle as affected by diet and induced ruminal acidosis. Appl. Environ. Microbiol. 2013, 79, 3744–3755. [Google Scholar] [CrossRef]
- Janssen, P.H.; Kirs, M. Structure of the archaeal community of the rumen. Appl. Environ. Microbiol. 2008, 74, 3619–3625. [Google Scholar] [CrossRef] [PubMed]
- Holman, D.B.; Brunelle, B.W.; Trachsel, J.; Allen, H.K. Meta-analysis To Define a Core Microbiota in the Swine Gut. mSystems 2017, 2, 1–14. [Google Scholar] [CrossRef]
- Bickhart, D.M.; Weimer, P.J. Symposium review: Host–rumen microbe interactions may be leveraged to improve the productivity of dairy cows. J. Dairy Sci. 2018, 101, 7680–7689. [Google Scholar] [CrossRef]
- Brosnan, J.; Brosnan, M. 5th Amino Acid Assessment Workshop—The Sulfur-Containing Amino Acids: An Overview. J. Nutr. 2006, 136, 16365–16405. [Google Scholar] [CrossRef] [PubMed]
- Kandylis, K. Toxicology of Sulfur in Ruminants: Review. J. Dairy Sci. 1984, 67, 2179–2187. [Google Scholar] [CrossRef]
- Albers, E. Metabolic characteristics and importance of the universal methionine salvage pathway recycling methionine from 5′-methylthioadenosine. IUBMB Life 2009, 61, 1132–1142. [Google Scholar] [CrossRef]
- Fujihara, T.; Shem, M.N. Metabolism of microbial nitrogen in ruminants with special reference to nucleic acids. Anim. Sci. J. 2011, 82, 198–208. [Google Scholar] [CrossRef]
- Mao, S.; Zhang, M.; Liu, J.; Zhu, W. Characterising the bacterial microbiota across the gastrointestinal tracts of dairy cattle: Membership and potential function. Sci. Rep. 2015, 5, 1–14. [Google Scholar] [CrossRef]
- Dieho, K.; Bannink, A.; Geurts, I.A.L.; Schonewille, J.T.; Gort, G.; Dijkstra, J. Morphological adaptation of rumen papillae during the dry period and early lactation as affected by rate of increase of concentrate allowance. J. Dairy Sci. 2016, 99, 2339–2352. [Google Scholar] [CrossRef]
- Weimer, P.J. Redundancy, resilience, and host specificity of the ruminal microbiota: Implications for engineering improved ruminal fermentations. Front. Microbiol. 2015, 6, 1–16. [Google Scholar] [CrossRef]










| Project | Country | Animal | Breed | Biopsy Location | Sampling | N | Accession Numbers | References |
|---|---|---|---|---|---|---|---|---|
| Inflacow | Austria | Cow | Holstein-Friesian | Ventral sac | 8 rumen-cannulated animals, longitudinal | 80 | PRJEB12642, PRJEB9353, SRP158246 | [9,10,17] |
| ADDA | Austria | Cow | Holstein-Friesian | Ventral sac | 8 rumen-cannulated animals, longitudinal | 96 | PRJEB29866, PRJEB33839 | [18,19] |
| Sugarhay | Austria | Cow | Holstein-Friesian | Ventral sac | 8 rumen-cannulated animals, longitudinal | 32 | PRJEB22005 | [20] |
| Heterogeneity | USA | Cow | Holstein-Friesian | Cranial, ventral, caudodorsal and caudoventral blind sac | 8 rumen-cannulated animals, one time-point | 31 | PRJNA562284 | [21] |
| Sucram | USA | Cow | Holstein-Friesian | Dorsal sac | 5 rumen-cannulated animals, longitudinal | 30 | PRJNA554894 | [22] (preprint) |
| RumEnv | Belgium | Cow | Holstein-Friesian | Ventral sac | 4 rumen-cannulated animals, one time-point | 4 | PRJN318319, SRP074884 | [23] |
| Spring | Germany | Cow | Holstein-Friesian | Ventral sac | 10 rumen-cannulated animals, longitudinal | 30 | PRJEB19414 | [24] |
| TEAGASC | Ireland | Steer | Charolais, Holstein-Friesian | Ventral sac | 29 animals post mortem, one time-point | 29 | PRJNA484585 | Unpublished |
| Project | 16S Region | Sequencer | Extraction Method | Amplicon | PCR Primer | References |
|---|---|---|---|---|---|---|
| Inflacow | V3–5 | Illumina MiSeq | PowerSoil Kit (MO BIO) | 2 × 300 bp | 341F (5′CCTACGGGRSGCAGCAG3′); 909R (5′TTTCAGYCTTGCGRCCGTAC3′) | [9,10,17] |
| ADDA | V3–5 | Illumina MiSeq | Pre-lysis with heating, chemical lysis and bead beating + Power-Soil Kit (MO BIO) | 2 × 300 bp | 357F (5′CCTACGGGAGGCAGCAG3′); 926R (5′CCGTCAATTCMTTTRAGT3′) | [18,19] |
| Sugarhay | V3–5 | Illumina MiSeq | Pre-lysis with heating, chemical lysis and bead beating + Power-Soil Kit (MO BIO) | 2 × 300 bp | 357F (5′CCTACGGGAGGCAGCAG3′); 926R (5′CCGTCAATTCMTTTRAGT3′) | [20] |
| Heterogeneity | V4 | Illumina MiSeq | Bead beating + hot phenol method | 2 × 250 bp | 515F (5′GTGCCAGCMGCCGCGGTAA3′); 806R (5′GGACTACHVGGGTWTCTAAT3′) | [21] |
| Sucram | V4 | Illumina MiSeq | Bead beating + DNeasy Powerlyzer PowerSoil Kit (Qiagen) | 2 × 250 bp | 515F (5′GTGYCAGCMGCCGCGGTAA3′); 806R (5′GGACTACNVGGGTWTCTAAT3′) | [22] (preprint) |
| RumEnv | V3–4 | Illumina MiSeq | Bead beating + column (RBB + C) protocol | 2 × 300 bp | 344F (5′CCTACGGGNGGCWGCAG3′); 806R (5′GACTACHVGGGTATCTAATCC3′) | [23] |
| Spring | V4 | Illumina MiSeq | peqGold Tissue-Kit | 2 × 250 bp | 519F (5′CAGCMGCCGCGGTAA3′); 802R (5′TACNVGGGTATCTAATCC3′) | [24] |
| TEAGASC | V4 | Illumina MiSeq | Bead beating + column (RBB + C) protocol | 2 × 250 bp | 515F (5′GTGCCAGCMGCCGCGGTAA3′); 806R (5′GGACTACHVGGGTWTCTAAT3′) | Unpublished |
| Parameter | Weighted UniFrac | Unweighted UniFrac | Bray-Curtis | ||||||||||||
|---|---|---|---|---|---|---|---|---|---|---|---|---|---|---|---|
| PERMANOVA | PERMDISP | ANOSIM | PERMANOVA | PERMDISP | ANOSIM | PERMANOVA | PERMDISP | ANOSIM | |||||||
| R2 | p | p | R | p | R2 | p | p | R | p | R2 | p | p | R | p | |
| Study | 0.97 | 0.00 | 0.02 | 0.94 | 0.00 | 0.70 | 0.00 | 0.00 | 0.93 | 0.00 | 0.59 | 0.00 | 0.00 | 0.92 | 0.00 |
| Country | 0.95 | 0.00 | 0.15 | 0.94 | 0.00 | 0.59 | 0.00 | 0.00 | 0.91 | 0.00 | 0.47 | 0.00 | 0.00 | 0.94 | 0.00 |
| Farm | 0.95 | 0.00 | 0.00 | 0.90 | 0.00 | 0.61 | 0.00 | 0.00 | 0.82 | 0.00 | 0.51 | 0.00 | 0.00 | 0.88 | 0.00 |
| Gene region | 0.94 | 0.00 | 0.03 | 1.00 | 0.00 | 0.54 | 0.00 | 0.00 | 1.00 | 0.00 | 0.41 | 0.00 | 0.98 | 1.00 | 0.00 |
| Primer | 0.95 | 0.00 | 0.00 | 0.89 | 0.00 | 0.61 | 0.00 | 0.00 | 0.95 | 0.00 | 0.47 | 0.00 | 0.00 | 0.89 | 0.00 |
| Individual | 0.97 | 0.00 | 0.00 | 0.59 | 0.00 | 0.69 | 0.00 | 0.00 | 0.54 | 0.00 | 0.65 | 0.00 | 0.08 | 0.59 | 0.00 |
| Gender | 0.19 | 0.00 | 0.00 | 0.20 | 0.00 | 0.14 | 0.00 | 0.00 | 0.09 | 0.00 | 0.11 | 0.00 | 0.00 | 0.32 | 0.00 |
| Biopsy location | 0.45 | 0.00 | 0.01 | 0.49 | 0.00 | 0.29 | 0.00 | 0.01 | 0.46 | 0.00 | 0.27 | 0.00 | 0.00 | 0.39 | 0.00 |
Publisher’s Note: MDPI stays neutral with regard to jurisdictional claims in published maps and institutional affiliations. |
© 2021 by the authors. Licensee MDPI, Basel, Switzerland. This article is an open access article distributed under the terms and conditions of the Creative Commons Attribution (CC BY) license (http://creativecommons.org/licenses/by/4.0/).
Share and Cite
Pacífico, C.; Petri, R.M.; Ricci, S.; Mickdam, E.; Wetzels, S.U.; Neubauer, V.; Zebeli, Q. Unveiling the Bovine Epimural Microbiota Composition and Putative Function. Microorganisms 2021, 9, 342. https://doi.org/10.3390/microorganisms9020342
Pacífico C, Petri RM, Ricci S, Mickdam E, Wetzels SU, Neubauer V, Zebeli Q. Unveiling the Bovine Epimural Microbiota Composition and Putative Function. Microorganisms. 2021; 9(2):342. https://doi.org/10.3390/microorganisms9020342
Chicago/Turabian StylePacífico, Cátia, Renée Maxine Petri, Sara Ricci, Elsayed Mickdam, Stefanie Urimare Wetzels, Viktoria Neubauer, and Qendrim Zebeli. 2021. "Unveiling the Bovine Epimural Microbiota Composition and Putative Function" Microorganisms 9, no. 2: 342. https://doi.org/10.3390/microorganisms9020342
APA StylePacífico, C., Petri, R. M., Ricci, S., Mickdam, E., Wetzels, S. U., Neubauer, V., & Zebeli, Q. (2021). Unveiling the Bovine Epimural Microbiota Composition and Putative Function. Microorganisms, 9(2), 342. https://doi.org/10.3390/microorganisms9020342

