Genome-Scale Reconstruction of Microbial Dynamic Phenotype: Successes and Challenges
Abstract
1. Introduction
Everything should be made as simple as possible... but not simpler.Albert Einstein
2. Simple and Complex Growth: The Basic Principles
- The microbial specific growth rate (SGR) depends on environmental conditions and the macromolecular cell composition (MMCC). MMCC variation is the result of self-regulation, including differential gene expression in response to a changeable environment.
- Variable MMCC is the main reason for the higher complexity of microbial growth kinetics vs. chemical and enzymatic reactions.
- A nutrient supply is the primary environmental factor controlling microbial behavior; the effects of other modifying factors (T, pH, osmolarity, etc.) can be understood only in combination with the nutritional factor.
- MMCC dependence on SGR is a common misconception; both complex variables depend on the environmental conditions.
- A growth is called simple (syn: balanced and steady state) if it proceeds exponentially under steady environmental conditions with constant SGR and MMCC. Otherwise, the cell dynamics are complex.
2.1. MMCC and Growth Kinetics
2.2. Limited Applicability of Enzyme Kinetics to Microbial Growth
2.3. Growth Conditions, the Hierarchy of Factors
2.4. SGR and MMCC, the Chicken and the Egg Dilemma
- SGR → rRNA—the SGR is the causative factor for the variable rRNA content.
- rRNA → SGR—reverse causation.
- s → rRNA and s → SGR—both variables are affected by substrate concentration, s.
—options 2 and 3 are combined.

2.5. Drawing the Line between Simple and Complex Biodynamics
3. Typical Examples of Simple and Complex Biodynamics
3.1. Batch Culture
3.2. Continuous Culture
4. Pre-Genomic Models of Microbial Growth
4.1. From Malthusian Exponent to the Cybernetic Models
| ODE | Equation | Comments |
|---|---|---|
| (4) | Exponential growth [68]. SGR is constant | |
| (5) | Logistic equation [69]. Growth is restricted by the negative biotic interactions; K is the upper x limit | |
| (6) | Monod chemostat model [70] with a maintenance term [14]. SGR is a hyperbolic function of s and is negative below threshold s*. The yield Y varies because of the maintenance | |
| (7) | Monod-Ierusalimsky model [22] accounting self-inhibition by the product, p; x and s are defined by (6) | |
| (8) | Droop model [22,71]. The ‘cell quota’ σ is the content of deficient nutrient element in cells. The model was specially designed for microbial growth limited by the conserved nutrient substrates | |
| (9) | Structured models with multiple internal variables Ci [72]. Model includes two types of processes: (i) exchange reactions between cells and surrounding milieu (nutrients uptake, products release, see Equations (3)–(5)) and (ii) the MMCC changes | |
| (10) | Cybernetic models [73] describing the diauxic growth of bacteria on the mixture of glucose and lactose taken up by transporters e1 and e2 respectively. The cybernetic variables regulate transcription (u) and uptake rates (v), e.g., | |
| (11) | Synthetic Chemostat Model [74]. The r-variable integrates the MMCC variation and tunes the kinetic terms earlier assumed to be constants (m, Q, a, and Ks). The ODE dr/dt explains the observed biological inertia. See the Section 4.3 for other details |
4.2. Synthetic Chemostat Model (SCM)
4.3. Strength and Limitations of SCM
5. Genome-Scale Models
5.1. GEMs Cover Only the Part of the Genome
5.2. Flux Balance Analysis (FBA)
5.3. The Dynamic FBA (dFBA)
5.4. The Modification of dFBA:rFBA and iFBA
5.5. ME-Models
- The metabolic network was treated similarly to FBA using constraints and objective functions. The maximizing growth rate was combined with minimizing biosynthetic costs of macromolecules. Substrate concentration was never shown as an independent variable; nutrient deficiency was accounted for by using the substrate availability bounds.
- The mostly unknown kcat values for translational and transcriptional enzymes were set up as a gross average 65 s−1. Considerable improvement in the simulation was achieved by combining the ME model with proteomic data as the model’s input [125]. It allowed an estimation of the individual turnover rates keff for E. coli. The range of keff varied within eight orders of magnitude, and surprisingly, it was not significantly impacted by variations of the cultivation conditions (four different C-sources).
- It can be shown (Appendix B.2.5) that the rate constant keff is dependent on the concentration of the respective intracellular substrate, M, e.g., in the form of the Michaelis–Menten equation: keff = kcatM/(Km + M). For unlimited growth, M Km, and keff = kcat, while at the nutrient limitation, keff < kcat. However, in vitro kinetic data for the isolated E. coli enzymes remain incomplete and most probably not adequately characterize the in vivo metabolic processes (Appendix B.3.5). Instead of using published data, the authors applied a convoluted two-steps binary search procedure involving an auxiliary ‘dummy protein’ computing (first step) followed by the second binary search to find the minimal ratio keff/kcat as a condition making dummy protein formation to be zero.
- The rates of transcription and translation have been assumed to follow the empirical hyperbolic function of SGR, e.g., the translation rate .
- The biomass reaction, Equation (13), was completely removed, because most of the components (amino acids, nucleotides, etc.) were already accounted for in the proteins and RNA biosynthesis reactions. Instead, the reduced pseudo-reaction was used for the remaining cell constituents: glycogen; DNA; lipids; peptidoglycans; and several cofactors (NAD, coenzyme A, etc.). The expressed but not incorporated into the model proteins were called the unmodeled protein biomass. Most likely, these proteins are responsible for stress resistance (U cluster in SCM). This fraction has been also added to the modified biomass reaction to comply with the growth–mass balance but excluded from discussion of their biological role.
- The only sink for macromolecules was assumed to be their dilution caused by growth, so any metabolic rate vi and translation rates of the respective enzymes were set up as follows:
6. Whole-Cell Genome-Scale Simulations (WC Models)
6.1. Mycoplasma genitalium
6.2. Escherichia coli K-12
6.3. Saccharomyces cerevisiae BY4741
6.4. Limitations of the WC Models
6.5. Cell Cycle as a Part of Growth Kinetics
7. Conclusions: Strengths, Weaknesses, and Prospects of Specific GEMs
- (1)
- to account for the effects of environmental factors on cell dynamics, especially related to the nutrient supply (limiting substrate, its concentrations, and regime of delivery).
- (2)
- to simulate the adaptive MMCC changes as conditional gene/protein expressions in response to a changeable environment.
- (3)
- to predict the SGR as a complex function of the MMCC status and environmental conditions rather than a fixed input parameter.
Funding
Institutional Review Board Statement
Informed Consent Statement
Data Availability Statement
Acknowledgments
Conflicts of Interest
Appendix A
Appendix A.1. Common Abbreviations
| GEM | Genome-scale models |
| ODE | Ordinary differential equation |
| PDE | Partial differential equation |
| MMCC | Macro-Molecular Cell Composition |
| FBA | Flux Balance Analysis |
| COBRA | COnstraint-Based Reconstruction and Analysis |
| LP | linear programming |
| NLP | non-linear programming |
| dFBA | Dynamic Flux Balance Analysis |
| SOA | static optimization approaches for solving dFBA |
| DOA | dynamic optimization alternative |
| rFBA | Regulated Flux Balance Analysis |
| ME-models | GEM simulating metabolism and gene expression |
| WC models | whole cell GEM |
| VBNC | Viable but nonculturable cells |
| NZG | near-zero growth under chronic starvation |
| SCM | Synthetic Chemostat Model |
| SOD | superoxide dismutase |
| TF | transcription factor |
| PHB | polyhydroxybutyrate, cellular C-storage |
| ROS | reactive oxygen species |
| WT | wild type distinct from mutants |
| t | time |
| V | the volume of cell culture, kept constant in chemostat |
| F | the medium feeding rate |
| D = F/V | chemostat dilution rate |
| x | cell mass concentration |
| s | limiting nutrient substrate concentration |
| sr | input substrate concentration in chemostat culture |
| p | product concentration |
| M | concentration of intracellular metabolites |
| σ | mass of element (N, P, S, etc.) per g of total cell mass |
| σ0 and σm | resp. low and upper limits of σ-variation |
| μ = (1/x)·dx/dt | specific growth rate (SGR) |
| μm | the maximum SGR, μ→ μm as s→ ∞ |
| Y = −dx/ds | cell yield per unit of consumed substrate |
| qs = (1/x)·ds/dt | specific substrate uptake rate (SUR) |
| m | maintenance term, the catabolic rate qs→m, as μ→0 |
| Qs | maximum SUR |
| qp = (1/x)·dp/dt | specific product formation rate (SPR) |
| Qp | maximum SPR |
| Ks | saturation constant, at s = Ks, qs = 0.5 Qs or μ = 0.5 μm |
| Kp | product inhibition constant, at p = Kp, qs = 0.5 Qs |
| Kr | saturation constant for r-variable |
| r | SCM variable [0,1] reporting the status of MMCC |
Appendix A.2. Glossary
| Affinity to substrate | Auto-selection, selection sweep |
| Substrate binding strength of transmembrane transporters characterized by the parameter Ks. The lower Ks the higher affinity | A process observed in long-term continuous culture, a displacement of the parental population by a spontaneous mutant having higher SGR |
| Balanced growth | Steady-state continuous growth |
| A proportional increase in the content of all cell constituents (constancy of MMCC) observed in a steady state chemostat or exponential phase of batch culture. | A situation in which all state variables (cell mass, nutrients, and products concentration, MMCC) remain constant as the opposite processes (input–output and growth–washout) match each other |
| Quasi-steady state growth | Transient processes |
| Only fast variables are stabilized, other not | A movement from one steady state to another |
| Catabolic nutrient substrates | Conserved or anabolic nutrient substrates |
| Sources of energy; undergo irreversible oxidation to form nonutilizable waste products (H2O and CO2) coupled to ATP generation | Sources of biogenic elements (N, P, K, Fe, etc.) that are consumed reversibly (can leak out and re-consumed) and incorporated into cellular constituents |
| Kinetics | Metabolic stoichiometry |
| Scientific discipline studying the development of biological or physicochemical processes over time; combines experiments with mechanistic mathematical models. | A quantitative relationship between reactants and products in bioprocesses complying with the mass- and energy conservation conditions |
| Maintenance energy | Primary and secondary metabolism |
| Some fraction of available energy used for other than growth functions: osmoregulation; motility; and turnover of macromolecules (proteins, nucleic acids, and cell wall) | The primary metabolism produces new cell mass (growth) while the secondary metabolism supports enhanced stress resistance and other functions |
| Starvation | Chronic starvation |
| Self-degradation of cells (net SGR ≤ 0) caused by a complete absence of one or more essential nutrients | Deep substrate limitation in continuous culture causing a significant decrease of growth rate, SGR μm |
| Growth limitation and inhibition | Single or multiple substrate limitation |
| Growth condition decreasing SGR (<μm) by low nutrients concentration (substrate limitation) or by toxic compounds (growth inhibition) | Respectively, one or several nutrients concurrently affect growth, including SGR, SUR, yield, and MMCC |
Appendix B. Derivation and Explanation of Biokinetic Equations
Appendix B.1. Structured Models, the Internal and External State Variables

Appendix B.2. The Effects of Substrate Concentration
Appendix B.2.1. Steady-State Concentrations of Metabolic Intermediates
| Kinetic Order | Rate vs. Substrate Concentration | Reaction Progress over Time | |||
| Zero-order | Rate, mmol per min | ![]() | Residual substrate, linear scale | ![]() | Residual substrate, log scale |
| First-order | ![]() | ![]() | |||
| Second order | ![]() | ![]() | |||
| Michaelis-Menten equation | ![]() | ![]() | |||
| Hill-Langmuir equation | ![]() | ![]() | |||
| Substrate concentration, mM | Time, min |
Appendix B.2.2. Kinetic Order of Metabolic Reactions
Appendix B.2.3. In Vivo Concentration of Metabolic Intermediates
| Cluster | Pool Size Range | Contribution to Metabolome | Representatives, Values in Brackets Are Concentrations (mM) for the Most Abundant Compounds | |
|---|---|---|---|---|
| Mass % | Compounds Number | |||
| 1 | 10–100 mM | 59 | 4 | Glutamate (96), glutathione (17), FDP (15), ATP (10) |
| 2 | 0.1–10 mM | 40 | 57 | NTP, NDP, NAD+, FAD, 13 AA, glycolysis, TCA, and pentose pathway intermediates |
| 3 | 0.1–100 μM | <1 | 42 | 5 AA, dNTP, FMN, NADP, and other metabolites |
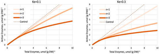
Appendix B.2.4. Substrate Saturation (SS) of Enzymes Catalyzing Polysubstrate Reactions
| Ordered sequential reactions | ![]() | (A14) | |
| Random sequential reactions | ![]() | (A14′) | |
| Ping-pong reactions | ![]() | (A14″) |

Appendix B.2.5. Simplified Kinetic Order of Metabolic Reactions
Appendix B.3. The Effect of Enzymatic Proteins Concentrations
Appendix B.3.1. The Simplest Case of Pure Enzyme
Appendix B.3.2. Conditional Expression of Proteins with Glucose Transporters as Example


Appendix B.3.3. Technical Details of Using the SCM


Appendix B.3.4. Extremely Low Proteins Concentration: Down to One Enzyme Molecule Per Cell
Appendix B.3.5. Extremely High Proteins Concentration: Macromolecular Crowding

References
- Fang, X.; Lloyd, C.J.; Palsson, B.O. Reconstructing organisms in silico: Genome-scale models and their emerging applications. Nat. Rev. Microbiol. 2020, 18, 731–743. [Google Scholar] [CrossRef] [PubMed]
- Ahmed, N. A flood of microbial genomes-do we need more? PLoS ONE 2009, 4, e5831. [Google Scholar] [CrossRef] [PubMed]
- Tavassoly, I.; Goldfarb, J.; Iyengar, R. Systems biology primer: The basic methods and approaches. Essays Biochem. 2018, 62, 487–500. [Google Scholar] [CrossRef] [PubMed]
- Mendoza, S.N.; Olivier, B.G.; Molenaar, D.; Teusink, B. A systematic assessment of current genome-scale metabolic reconstruction tools. Genome Biol. 2019, 20, 1–20. [Google Scholar] [CrossRef]
- Kumar, M.; Ji, B.; Babaei, P.; Das, P.; Lappa, D.; Ramakrishnan, G.; Fox, T.E.; Haque, R.; Petri, W.A.; Bäckhed, F.; et al. Gut microbiota dysbiosis is associated with malnutrition and reduced plasma amino acid levels: Lessons from genome-scale metabolic modeling. Metab. Eng. 2018, 49, 128–142. [Google Scholar] [CrossRef]
- Liu, Y.; Rousseaux, S.; Tourdot-Maréchal, R.; Sadoudi, M.; Gougeon, R.; Schmitt-Kopplin, P.; Alexandre, H. Wine microbiome: A dynamic world of microbial interactions. Crit. Rev. Food Sci. Nutr. 2017, 57, 856–873. [Google Scholar] [CrossRef]
- Levering, J.; Dupont, C.L.; Allen, A.E.; Palsson, B.O.; Zengler, K. Integrated regulatory and metabolic networks of the marine diatom Phaeodactylum tricornutum predict the response to rising CO2 levels. mSystems 2017, 2, e00142-16. [Google Scholar] [CrossRef]
- De Jong, H.; Casagranda, S.; Giordano, N.; Cinquemani, E.; Ropers, D.; Geiselmann, J.; Gouzé, J.-L. Mathematical modelling of microbes: Metabolism, gene expression and growth. J. R. Soc. Interface 2017, 14, 20170502. [Google Scholar] [CrossRef]
- Alper, H.S.; Wittmann, C. Editorial: How multiplexed tools and approaches speed up the progress of metabolic engineering. Biotechnol. J. 2013, 8, 581–594. [Google Scholar] [CrossRef]
- Hefzi, H.; Palsson, B.O.; Lewis, N.E. Reconstruction of genome-scale metabolic networks. In Handbook of Systems Biology; Vidal, M., Dekker, J., Eds.; Academic Press: San Diego, CA, USA, 2013; pp. 229–250. [Google Scholar]
- Simeonidis, E.; Price, N.D. Genome-scale modeling for metabolic engineering. J. Ind. Microbiol. Biotechnol. 2015, 42, 327–338. [Google Scholar] [CrossRef]
- Palsson, B.Ø. Systems Biology: Constraint-Based Reconstruction and Analysis; Cambridge University Press: Cambridge, UK, 2015. [Google Scholar]
- Ruderman, D. The emergence of dynamic phenotyping. Cell Biol. Toxicol. 2017, 33, 507–509. [Google Scholar] [CrossRef]
- Pirt, S.J. Principles of Microbe and Cell Cultivation; Blackwell Sci.: Oxford, UK; London, UK; Edinburgh, Scotland; Melbourne, FL, USA, 1975. [Google Scholar]
- Panikov, N.S. Kinetics of Microbial Processes. In Reference Module in Earth Systems and Environmental Sciences; Elsevier: Amsterdam, The Netherlands, 2016; pp. 1–19. [Google Scholar]
- Herbert, D. The chemical composition of micro-organisms as a function of their environment. Symp. Soc. Gen. Microbiol. (Cambridge Univ. Press) 1961, 11, 7. [Google Scholar]
- Neidhardt, F.C.; Magasanik, B. Studies on the role of ribonucleic acid in the growth of bacteria. Biochim. Biophys. Acta 1960, 42, 99–116. [Google Scholar] [CrossRef]
- Holme, T. Continuous culture studies on glycogen synthesis in Escherichia coli B. Acta Chem. Scand. 1957, 11, 763–775. [Google Scholar] [CrossRef]
- Vemuri, G.N.; Altman, E.; Sangurdekar, D.P.; Khodursky, A.B.; Eiteman, M.A. Overflow metabolism in Escherichia coli during steady-state growth: Transcriptional regulation and effect of the redox ratio. Appl. Environ. Microbiol. 2006, 72, 3653–3661. [Google Scholar] [CrossRef]
- Schmidt, B.J.; Ebrahim, A.; Metz, T.; Adkins, J.N.; Palsson, B.Ø.; Hyduke, D.R. GIM3E: Condition-specific models of cellular metabolism developed from metabolomics and expression data. Bioinformatics 2013, 29, 2900–2908. [Google Scholar] [CrossRef]
- Peebo, K.; Valgepea, K.; Maser, A.; Nahku, R.; Adamberg, K.; Vilu, R. Proteome reallocation in Escherichia coli with increasing specific growth rate. Mol. Biosyst. 2015, 11, 1184–1193. [Google Scholar] [CrossRef]
- Panikov, N.S. Microbial Growth Kinetics; Chapman & Hall: London, UK; Springer: Amsterdam, The Netherlands, 1995; 378p. [Google Scholar]
- Doran, P.M. Bioprocess. Engineering Principles, 2nd ed.; Elsevier Ltd.: Amsterdam, The Netherlands; Boston, MA, USA, 2013; 439p. [Google Scholar]
- Cornish-Bowden, E. Fundamentals of Enzyme Kinetics, 3rd ed.; Portland Press: London, UK, 2004. [Google Scholar]
- Panikov, N.S. Kinetics, Microbial Growth. In Encyclopedia of Industrial Biotechnology: Bioprocess, Bioseparation, and Cell Technology; Flickinger, M.C., Ed.; John Wiley & Sons: Hoboken, NJ, USA, 2009; pp. 1–34. [Google Scholar]
- Stewart, P.A. How to Understand Acid-Base: A Quantitative Acid-Base Primer for Biology and Medicine; Elsevier: New York, NY, USA, 1981; 186p. [Google Scholar]
- Dash, M.C. Fundamentals of Ecology; Tata McGraw-Hill Education: New York, NY, USA, 2001. [Google Scholar]
- Panikov, N.S.; Mandalakis, M.; Dai, S.; Mulcahy, L.R.; Fowle, W.; Garrett, W.S.; Karger, B.L. Near-zero growth kinetics of Pseudomonas putida deduced from proteomic analysis. Environ. Microbiol. 2015, 17, 215–228. [Google Scholar] [CrossRef]
- Chiaramello, A.E.; Zyskind, J.W. Expression of Escherichia coli dnaA and mioC genes as a function of growth rate. J. Bacteriol. 1989, 171, 4272–4280. [Google Scholar] [CrossRef]
- Dror, T.W.; Morag, E.; Rolider, A.; Bayer, E.A.; Lamed, R.; Shoham, Y. Regulation of the cellulosomal celS (cel48A) gene of Clostridium thermocellum is growth rate dependent. J. Bacteriol. 2003, 185, 3042–3048. [Google Scholar] [CrossRef]
- Hellmuth, K.; Korz, D.; Sanders, E.; Deckwer, W.-D. Deckwer, Effect of growth rate on stability and gene expression of recombinant plasmids during continuous and high cell density cultivation of Escherichia coli TG1. J. Biotechnol. 1994, 32, 289–298. [Google Scholar] [CrossRef]
- Hintsche, M.; Klumpp, S. Dilution and the theoretical description of growth-rate dependent gene expression. J. Biol. Eng. 2013, 7, 1–3. [Google Scholar] [CrossRef] [PubMed]
- Klumpp, S.; Zhang, Z.; Hwa, T. Growth rate-dependent global effects on gene expression in bacteria. Cell 2009, 139, 1366–1375. [Google Scholar] [CrossRef] [PubMed]
- Lin-Chao, S.; Bremer, H. Effect of the bacterial growth rate on replication control of plasmid pBR322 in Escherichia coli. Mol. Gen. Genet. MGG 1986, 203, 143–149. [Google Scholar] [CrossRef]
- Nahku, R.; Valgepea, K.; Lahtvee, P.-J.; Erm, S.; Abner, K.; Adamberg, K.; Vilu, R. Specific growth rate dependent transcriptome profiling of Escherichia coli K12 MG1655 in accelerostat cultures. J. Biotechnol. 2010, 145, 60–65. [Google Scholar] [CrossRef]
- Orth, J.D.; Thiele, I.; Palsson, B.O. What is flux balance analysis? Nat. Biotechnol. 2010, 28, 245–248. [Google Scholar] [CrossRef]
- Brock, T.D. Microbial growth rates in nature. Bacteriol. Rev. 1971, 35, 39–58. [Google Scholar] [CrossRef]
- Chowdhury, S.; Fong, S.S. Computational modeling of the human microbiome. Microorganisms 2020, 8, 197. [Google Scholar] [CrossRef]
- Vet, S.; Gelens, L.; Gonze, D. Mutualistic cross-feeding in microbial systems generates bistability via an Allee effect. Sci. Rep. 2020, 10, 7763. [Google Scholar] [CrossRef]
- Gaal, T.; Bartlett, M.S.; Ross, W.; Turnbough, C.L.; Gourse, R.L. Transcription regulation by initiating NTP concentration: rRNA synthesis in bacteria. Science 1997, 278, 2092–2097. [Google Scholar] [CrossRef]
- Burgos, H.L.; O’Connor, K.; Sanchez-Vazquez, P.; Gourse, R.L. Roles of transcriptional and translational control mechanisms in regulation of ribosomal protein synthesis in Escherichia coli. J. Bacteriol. 2017, 199, 199. [Google Scholar] [CrossRef]
- Murray, H.; Schneider, D.A.; Gourse, R.L. Gourse, Control of rRNA expression by small molecules Is dynamic and nonredundant. Mol. Cell 2003, 12, 125–134. [Google Scholar] [CrossRef]
- Monod, J. Recherches sur la Croissancu des Cultures Bacteriennes; Hermann & C: Paris, France, 1942; pp. 200–210. [Google Scholar]
- Kleijn, I.T.; Martínez-Segura, A.; Bertaux, F.; Saint, M.; Kramer, A.; Shahrezaei, V.; Marguerat, S. Growth-Rate Dependent and Nutrient-Specific Gene Expression Resource Allocation In Fission Yeast. bioRxiv 2021. [Google Scholar] [CrossRef]
- Schaechter, M.; Maaløe, O.; Kjeldgaard, N.O. Dependency on medium and temperature of cell size and chemical composition during balanced growth of Salmonella typhimurium. Microbiology 1958, 19, 592–606. [Google Scholar] [CrossRef]
- Schaechter, M. A brief history of bacterial growth physiology. Front. Microbiol. 2015, 6, 289. [Google Scholar] [CrossRef]
- Herbert, D. Some principles of continuous culture. In Recent Progress in Microbiology; Tunevail, G., Ed.; Blackwell Scientific: Oxford, UK, 1959; pp. 381–396. [Google Scholar]
- Malek, I. Presidential Address. Environmental Control of Cell Synthesis and Function. J. Appl. Chem. Biotechnol. 1972, 22, 65–70. [Google Scholar] [CrossRef]
- O’Brien, E.J.; Lerman, J.; Chang, R.; Hyduke, D.R.; Palsson, B. Genome-scale models of metabolism and gene expression extend and refine growth phenotype prediction. Mol. Syst. Biol. 2013, 9, 1–13. [Google Scholar] [CrossRef]
- Macklin, D.N.; Ahn-Horst, T.A.; Choi, H.; Ruggero, N.A.; Carrera, J.; Mason, J.C.; Sun, G.; Agmon, E.; DeFelice, M.M.; Maayan, I.; et al. Simultaneous cross-evaluation of heterogeneous E. coli datasets via mechanistic simulation. Science 2020, 369, eaav3751. [Google Scholar] [CrossRef]
- Ye, C.; Xu, N.; Gao, C.; Liu, G.-Q.; Xu, J.; Zhang, W.; Chen, X.; Nielsen, J.; Liu, L. Comprehensive understanding of Saccharomyces cerevisiae phenotypes with whole-cell model WM_S288C. Biotechnol. Bioeng. 2020, 117, 1562–1574. [Google Scholar] [CrossRef]
- Campbell, A. Synchronization of cell division. Bacteriol. Rev. 1957, 21, 263–272. [Google Scholar] [CrossRef]
- Buchanan, R.E. Life phases in a bacterial culture. J. Infect. Dis. 1918, 23, 109–125. [Google Scholar] [CrossRef]
- Singleton, R., Jr. Robert Earle Buchanan: An unappreciated scientist. Yale J. Biol. Med. 1999, 72, 329–339. [Google Scholar]
- Lane-Claypon, J.E. Multiplication of bacteria and the influence of temperature and some other conditions thereon. J. Hyg. 1909, 9, 239–248. [Google Scholar] [CrossRef][Green Version]
- Penfold, W.; Norris, D. The relation of concentration of food supply to the generation-time of bacteria. Epidemiol. Infect. 1912, 12, 527–531. [Google Scholar] [CrossRef][Green Version]
- Clark, P.F.; Ruehl, W. Morphological changes during the growth of bacteria. J. Bacteriol. 1919, 4, 615. [Google Scholar] [CrossRef]
- Graham-Smith, G. The behaviour of bacteria in fluid cultures as indicated by daily estimates of the numbers of living organisms. Epidemiol. Infect. 1920, 19, 133–204. [Google Scholar] [CrossRef][Green Version]
- Panikov, N.S. 1.18—Microbial Growth Dynamics. In Comprehensive Biotechnology, 3rd ed.; Moo-Young, M., Ed.; Pergamon: Oxford, UK, 2019; Volume 1, pp. 231–273. [Google Scholar]
- Silva, A.; Cruz, A.J.; Araujo, M.L.G.; Hokka, C.O. The effect of the addition of invert sugar on the production of cephalosporin C in a fed-batch bioreactor. Braz. J. Chem. Eng. 1998, 15, 320–325. [Google Scholar] [CrossRef]
- Novick, A. Experimentation with chemostat. In Recent Progress in Microbiology; Blachwell Science Publication: Oxford, UK, 1959; pp. 403–415. [Google Scholar]
- Tempest, D.W.; Herbert, D.; Phipps, P.J. Studies on the growth of Aerobacter aerogenes at low dilution rates in a chemostat. In Continuous Cultivation of Microorganisms; Stat. Office: Salisbury, UK, 1967; pp. 240–253. [Google Scholar]
- Domach, M.M.; Leung, S.K.; Cahn, R.E.; Cocks, G.G.; Shuler, M.L. Computer model for glucose-limited growth of a single cell of Escherichia coli B/r-A. Biotechnol. Bioeng. 1984, 26, 203–216. [Google Scholar] [CrossRef]
- Young, J.D.; Ramkrishna, D. On the matching and proportional laws of cybernetic models. Biotechnol. Prog. 2007, 23, 83–99. [Google Scholar] [CrossRef]
- Kim, J.I.; Varner, J.D.; Ramkrishna, D. A hybrid model of anaerobic E. coli GJT001: Combination of elementary flux modes and cybernetic variables. Biotechnol. Prog. 2008, 24, 993–1006. [Google Scholar] [CrossRef]
- Young, J.D.; Henne, K.L.; Morgan, J.A.; Konopka, A.E.; Ramkrishna, D. Integrating cybernetic modeling with pathway analysis provides a dynamic, systems-level description of metabolic control. Biotechnol. Bioeng. 2008, 100, 542–559. [Google Scholar] [CrossRef] [PubMed]
- Song, H.-S.; Ramkrishna, D. Cybernetic models based on lumped elementary modes accurately predict strain-specific metabolic function. Biotechnol. Bioeng. 2011, 108, 127–140. [Google Scholar] [CrossRef] [PubMed]
- Malthus, T.R. An Essay on the Principle of Population; J. Johnson: London, UK, 1798; 360p. [Google Scholar]
- Verhulst, P.F. Notice sur la loi que la population suit dans son accroissement. Corresp. Math. Phys. 1838, 10, 113–121. [Google Scholar]
- Monod, J. La technique de culture continue: Theorie et applications. Ann. Instit. Pasteur 1950, 79, 390–410. [Google Scholar]
- Droop, M. Some thoughts on nutrient limitation in algae. J. Phycol. 1973, 9, 264–272. [Google Scholar] [CrossRef]
- Fredrickson, A.G. Formulation of structured growth models. Biotechnol. Bioeng. 1976, 18, 1481–1486. [Google Scholar] [CrossRef]
- Kompala, D.S.; Ramkrishna, D.; Jansen, N.B.; Tsao, G.T. Investigation of bacterial growth on mixed substrates: Experimental evaluation of cybernetic models. Biotechnol. Bioeng. 1986, 28, 1044–1055. [Google Scholar] [CrossRef]
- Panikov, N.S. Mechanistic mathematical models of microbial growth in bioreactors and in natural soils: Explanation of complex phenomena. Math. Comput. Simul. 1996, 42, 179–186. [Google Scholar] [CrossRef]
- Sherman, J.M.; Albus, W.R. Physiological youth in bacteria. J. Bacteriol. 1923, 8, 127. [Google Scholar] [CrossRef]
- Hengge-Aronis, R. Signal transduction and regulatory mechanisms involved in control of the sigmas (RpoS) subunit of RNA polymerase. Microbiol. Mol. Biol. Rev. 2002, 66, 373–395. [Google Scholar] [CrossRef]
- Gasch, A.P.; Spellman, P.T.; Kao, C.M.; Carmel-Harel, O.; Eisen, M.B.; Storz, G.; Botstein, D.; Brown, P.O. Genomic expression programs in the response of yeast cells to environmental changes. Mol. Biol. Cell 2000, 11, 4241–4257. [Google Scholar] [CrossRef]
- Fleischmann, R.D.; Adams, M.D.; White, O.; Clayton, R.A.; Kirkness, E.F.; Kerlavage, A.R.; Bult, C.J.; Tomb, J.F.; Dougherty, B.A.; Merrick, J.M.; et al. Whole-genome random sequencing and assembly of Haemophilus influenzae Rd. Science 1995, 269, 496–512. [Google Scholar] [CrossRef]
- Blattner, F.R.; Plunkett, G., III; Bloch, C.A.; Perna, N.T.; Burland, V.; Riley, M.; Collado-Vides, J.; Glasner, J.D.; Rode, C.K.; Mayhew, G.F.; et al. The complete genome sequence of Escherichia coli K-12. Science 1997, 277, 1453–1462. [Google Scholar] [CrossRef]
- Edwards, J.S.; Palsson, B.O. Systems properties of the Haemophilus influenzae Rd metabolic genotype. J. Biol. Chem. 1999, 274, 17410–17416. [Google Scholar] [CrossRef]
- Edwards, J.S.; Palsson, B.O. The Escherichia coli MG1655 in silico metabolic genotype: Its definition, characteristics, and capabilities. Proc. Natl. Acad. Sci. USA 2000, 97, 5528–5533. [Google Scholar] [CrossRef]
- Yan, Q.; Fong, S.S. Challenges and advances for genetic engineering of non-model bacteria and uses in consolidated bioprocessing. Front. Microbiol. 2017, 8, 2060. [Google Scholar] [CrossRef]
- Reed, J.L.; Palsson, B.Ø. Thirteen Years of building constraint-based In silico models of Escherichia coli. J. Bacteriol. 2003, 185, 2692–2699. [Google Scholar] [CrossRef]
- Majewski, R.A.; Domach, M.M. Simple constrained-optimization view of acetate overflow in E. coli. Biotechnol. Bioeng. 1990, 35, 732–738. [Google Scholar] [CrossRef]
- Savinell, J.M.; Palsson, B.O. Network analysis of intermediary metabolism using linear optimization. I. Development of mathematical formalism. J. Theor. Biol. 1992, 154, 421–454. [Google Scholar] [CrossRef]
- Varma, A.; Boesch, B.W.; Palsson, B.O. Stoichiometric interpretation of Escherichia coli glucose catabolism under various oxygenation rates. Appl. Environ. Microbiol. 1993, 59, 2465–2473. [Google Scholar] [CrossRef]
- Varma, A.; Palsson, B.O. Stoichiometric flux balance models quantitatively predict growth and metabolic by-product secretion in wild-type Escherichia coli W3110. Appl. Environ. Microbiol. 1994, 60, 3724–3731. [Google Scholar] [CrossRef]
- Pramanik, J.; Keasling, J.D. Stoichiometric model of Escherichia coli metabolism: Incorporation of growth-rate dependent biomass composition and mechanistic energy requirements. Biotechnol. Bioeng. 1997, 56, 398–421. [Google Scholar] [CrossRef]
- Pramanik, J.; Keasling, J.D. Effect of Escherichia coli biomass composition on central metabolic fluxes predicted by a stoichiometric model. Biotechnol. Bioeng. 1998, 60, 230–238. [Google Scholar] [CrossRef]
- Schilling, C.H.; Edwards, J.S.; Palsson, B.O. Toward metabolic phenomics: Analysis of genomic data using flux balances. Biotechnol. Prog. 1999, 15, 288–295. [Google Scholar] [CrossRef]
- Schilling, C.H.; Schuster, S.; Palsson, B.O.; Heinrich, R. Metabolic pathway analysis: Basic concepts and scientific applications in the post-genomic era. Biotechnol. Prog. 1999, 15, 296–303. [Google Scholar] [CrossRef]
- Palsson, B.O. Systems Biology: Properties of Reconstructed Networks; Cambridge University Press: Cambridge, UK, 2006. [Google Scholar]
- Palsson, B.Ø. Systems Biology: Simulation of Dynamic Network States; Cambridge University Press: Cambridge, UK, 2011. [Google Scholar]
- Covert, M.W.; Palsson, B.O. Transcriptional regulation in constraints-based metabolic models of Escherichia coli. J. Biol. Chem. 2002, 277, 28058–28064. [Google Scholar] [CrossRef]
- Monk, J.M.; Lloyd, C.J.; Brunk, E.; Mih, N.; Sastry, A.; King, Z.; Takeuchi, R.; Nomura, W.; Zhang, Z.; Mori, H.; et al. iML1515, a knowledgebase that computes Escherichia coli traits. Nat. Biotechnol. 2017, 35, 904–908. [Google Scholar] [CrossRef]
- Karr, J.R.; Sanghvi, J.C.; Macklin, D.N.; Gutschow, M.V.; Jacobs, J.M.; Bolival, B., Jr.; Assad-Garcia, N.; Glass, J.I.; Covert, M.W. A whole-cell computational model predicts phenotype from genotype. Cell 2012, 150, 389–401. [Google Scholar] [CrossRef]
- Edwards, J.S.; Ibarra, R.U.; Palsson, B.O. In silico predictions of Escherichia coli metabolic capabilities are consistent with experimental data. Nat. Biotechnol. 2001, 19, 125–130. [Google Scholar] [CrossRef]
- Kauffman, K.J.; Prakash, P.; Edwards, J.S. Edwards, Advances in flux balance analysis. Curr. Opin. Biotechnol. 2003, 14, 491–496. [Google Scholar] [CrossRef]
- Becker, S.A.; Feist, A.M.; Mo, M.L.; Hannum, G.; Palsson, B.Ø.; Herrgard, M.J. Quantitative prediction of cellular metabolism with constraint-based models: The COBRA Toolbox. Nat. Protoc. 2007, 2, 727–738. [Google Scholar] [CrossRef] [PubMed]
- Segrè, D.; Zucker, J.; Katz, J.; Lin, X.; D’Haeseleer, P.; Rindone, W.P.; Kharchenko, P.; Nguyen, D.H.; Wright, M.A.; Church, G.M. From annotated genomes to metabolic flux models and kinetic parameter fitting. OMICS 2003, 7, 301–316. [Google Scholar] [CrossRef] [PubMed]
- Heirendt, L.; Arreckx, S.; Pfau, T.; Mendoza, S.N.; Richelle, A.; Heinken, A.; Haraldsdóttir, H.S.; Wachowiak, J.; Keating, S.M.; Vlasov, V.; et al. Creation and analysis of biochemical constraint-based models using the COBRA Toolbox v3.0. Nat. Protoc. 2019, 14, 639–702. [Google Scholar] [CrossRef] [PubMed]
- Ebrahim, A.; Lerman, J.A.; Palsson, B.O.; Hyduke, D.R. Hyduke, COBRApy: COnstraints-Based Reconstruction and Analysis for Python. BMC Syst. Biol. 2013, 7, 74. [Google Scholar] [CrossRef]
- Kulyashov, M.; Peltek, S.E.; Akberdin, I.R. A genome-scale metabolic MODEL of 2, 3-butanediol production by thermophilic Bacteria Geobacillus icigianus. Microorganisms 2020, 8, 1002. [Google Scholar] [CrossRef]
- Stephanopoulos, G.; Aristidou, A.A.; Nielsen, J. Metabolic Engineering: Principles and Methodologies; Elsevier: Amsterdam, The Netherlands, 1998. [Google Scholar]
- Mahadevan, R.; Edwards, J.S.; Doyle, F.J., III. Dynamic flux balance analysis of diauxic growth in Escherichia coli. Biophys. J. 2002, 83, 1331–1340. [Google Scholar] [CrossRef]
- Hanly, T.J.; Henson, M.A. Dynamic flux balance modeling of microbial co-cultures for efficient batch fermentation of glucose and xylose mixtures. Biotechnol. Bioeng. 2011, 108, 376–385. [Google Scholar] [CrossRef]
- Lisha, K.P.; Sarkar, D. Dynamic flux balance analysis of batch fermentation: Effect of genetic manipulations on ethanol production. Bioprocess. Biosyst. Eng. 2014, 37, 617–627. [Google Scholar] [CrossRef]
- von Wulffen, J.; RecogNice, T.; Sawodny, O.; Feuer, R. Transition of an anaerobic Escherichia coli culture to aerobiosis: Balancing mRNA and protein levels in a demand-directed dynamic flux balance analysis. PLoS ONE 2016, 11, e0158711. [Google Scholar] [CrossRef]
- Meadows, A.L.; Karnik, R.; Lam, H.; Forestell, S.; Snedecor, B. Application of dynamic flux balance analysis to an industrial Escherichia coli fermentation. Metab. Eng. 2010, 12, 150–160. [Google Scholar] [CrossRef]
- Feng, X.; Xu, Y.; Chen, Y.; Tang, Y.J. Integrating flux balance analysis into kinetic models to decipher the dynamic metabolism of Shewanella oneidensis MR-1. PLoS Comput. Biol. 2012, 8, e1002376. [Google Scholar] [CrossRef]
- Muthuraj, M.; Palabhanvi, B.; Misra, S.; Kumar, V.; Sivalingavasu, K.; Das, D. Flux balance analysis of Chlorella sp. FC2 IITG under photoautotrophic and heterotrophic growth conditions. Photosynth. Res. 2013, 118, 167–179. [Google Scholar] [CrossRef]
- Villaverde, A.; Bongard, S.; Mauch, K.; Balsa-Canto, E.; Banga, J.R. Metabolic engineering with multi-objective optimization of kinetic models. J. Biotechnol. 2016, 222, 1–8. [Google Scholar] [CrossRef]
- Saitua, F.; Torres, P.; Pérez-Correa, J.R.; Agosin, E. Dynamic genome-scale metabolic modeling of the yeast Pichia pastoris. BMC Syst. Biol. 2017, 11, 27. [Google Scholar] [CrossRef]
- Upton, D.J.; McQueen-Mason, S.J.; Wood, A.J. An accurate description of Aspergillus niger organic acid batch fermentation through dynamic metabolic modelling. Biotechnol. Biofuels 2017, 10, 258. [Google Scholar] [CrossRef]
- Wang, C.; Liu, J.; Liu, H.; Wang, J.; Wen, J. A genome-scale dynamic flux balance analysis model of Streptomyces tsukubaensis NRRL18488 to predict the targets for increasing FK506 production. Biochem. Eng. J. 2017, 123, 45–56. [Google Scholar] [CrossRef]
- Covert, M.W.; Xiao, N.; Chen, T.J.; Karr, J. Integrating metabolic, transcriptional regulatory and signal transduction models in Escherichia coli. Bioinformatics 2008, 24, 2044–2050. [Google Scholar] [CrossRef]
- Jensen, P.A.; Lutz, K.A.; Papin, J.A. TIGER: Toolbox for integrating genome-scale metabolic models, expression data, and transcriptional regulatory networks. BMC Syst. Biol. 2011, 5, 147. [Google Scholar] [CrossRef]
- Thiele, I.; Jamshidi, N.; Fleming, R.M.; Palsson, B.O. Genome-scale reconstruction of Escherichia coli’s transcriptional and translational machinery: A knowledge base, its mathematical formulation, and its functional characterization. PLoS Comput. Biol. 2009, 5, e1000312. [Google Scholar] [CrossRef]
- Lerman, J.; Hyduke, D.R.; Latif, H.; Portnoy, V.A.; Lewis, N.; Orth, J.D.; Rutledge, A.; Smith, R.; Adkins, J.; Zengler, K.; et al. In silico method for modelling metabolism and gene product expression at genome scale. Nat. Commun. 2012, 3, 929. [Google Scholar] [CrossRef]
- Thiele, I.; Fleming, R.M.T.; Que, R.; Bordbar, A.; Diep, D.; Palsson, B.O. Multiscale modeling of metabolism and macromolecular synthesis in E. coli and its application to the evolution of codon usage. PLoS ONE 2012, 7, e45635. [Google Scholar] [CrossRef]
- Liu, J.K.; O’Brien, E.J.; Lerman, J.A.; Zengler, K.; Palsson, B.O.; Feist, A.M. Reconstruction and modeling protein translocation and compartmentalization in Escherichia coli at the genome-scale. BMC Syst. Biol. 2014, 8, 110. [Google Scholar] [CrossRef]
- Yang, L.; Ma, D.; Ebrahim, A.; Lloyd, C.J.; Saunders, M.A.; Palsson, B.O. solveME: Fast and reliable solution of nonlinear ME models. BMC Bioinform. 2016, 17, 391. [Google Scholar] [CrossRef]
- Lloyd, C.J.; Ebrahim, A.; Yang, L.; King, Z.; Catoiu, E.; O’Brien, E.J.; Liu, J.K.; Palsson, B.O. COBRAme: A computational framework for genome-scale models of metabolism and gene expression. PLoS Comput. Biol. 2018, 14, e1006302. [Google Scholar] [CrossRef]
- Liu, J.K.; Lloyd, C.; Al-Bassam, M.M.; Ebrahim, A.; Kim, J.-N.; Olson, C.; Aksenov, A.; Dorrestein, P.; Zengler, K. Predicting proteome allocation, overflow metabolism, and metal requirements in a model acetogen. PLoS Comput. Biol. 2019, 15, e1006848. [Google Scholar] [CrossRef]
- Ebrahim, A.; Brunk, E.; Tan, J.; O’Brien, E.J.; Kim, D.; Szubin, R.; Lerman, J.A.; Lechner, A.; Sastry, A.; Bordbar, A.; et al. Multi-omic data integration enables discovery of hidden biological regularities. Nat. Commun. 2016, 7, 13091. [Google Scholar] [CrossRef]
- Yang, L.; Mih, N.; Anand, A.; Park, J.H.; Tan, J.; Yurkovich, J.T.; Monk, J.M.; Lloyd, C.J.; Sandberg, T.E.; Seo, S.W.; et al. Cellular responses to reactive oxygen species are predicted from molecular mechanisms. Proc. Natl. Acad. Sci. USA 2019, 116, 14368–14373. [Google Scholar] [CrossRef]
- Gibson, D.G.; Benders, G.A.; Andrews-Pfannkoch, C.; Denisova, E.A.; Baden-Tillson, H.; Zaveri, J.; Stockwell, T.B.; Brownley, A.; Thomas, D.W.; Algire, M.A.; et al. Complete chemical synthesis, assembly, and cloning of a Mycoplasma genitalium genome. Science 2008, 319, 1215–1220. [Google Scholar] [CrossRef]
- Karr, J.R.; Takahashi, K.; Funahashi, A. The principles of whole-cell modeling. Curr. Opin. Microbiol. 2015, 27, 18–24. [Google Scholar] [CrossRef]
- Hartwell, L.H.; Hopfield, J.J.; Leibler, S.; Murray, A.W. From molecular to modular cell biology. Nature 1999, 402, C47. [Google Scholar] [CrossRef]
- Covert, M. Simultaneous cross-evaluation of heterogeneous E. coli datasets via mechanistic simulation. Biophys. J. 2019, 116, 451a. [Google Scholar] [CrossRef]
- O’Brien, E.J.; Palsson, B.O. Computing the functional proteome: Recent progress and future prospects for genome-scale models. Curr. Opin. Biotechnol. 2015, 34, 125–134. [Google Scholar] [CrossRef] [PubMed][Green Version]
- Keyfitz, B.L.; Keyfitz, N. The McKendrick partial differential equation and its uses in epidemiology and population study. In Mathematical and Computer Modelling; Elsevier Science Ltd.: Amsterdam, The Netherlands, 1997; pp. 1–9. [Google Scholar]
- Collins, J.F.; Richmond, M.H. Rate of growth of Bacillus cereus between divisions. J. Gen. Microbiol. 1962, 28, 15–33. [Google Scholar] [CrossRef] [PubMed]
- Wang, P.; Robert, L.; Pelletier, J.; Dang, W.L.; Taddei, F.; Wright, A.; Jun, S. Robust growth of Escherichia coli. Curr. Biol. 2010, 20, 1099–1103. [Google Scholar] [CrossRef] [PubMed]
- Wallden, M.; Fange, D.; Lundius, E.G.; Baltekin, O.; Elf, J. The synchronization of replication and division cycles in individual E. coli cells. Cell 2016, 166, 729–739. [Google Scholar] [CrossRef]
- Osella, M.; Tans, S.J.; Cosentino Lagomarsino, M. Step by step, cell by cell: Quantification of the bacterial cell cycle. Trends Microbiol. 2017, 25, 250–256. [Google Scholar] [CrossRef]
- Kleckner, N.E.; Chatzi, K.; White, M.A.; Fisher, J.K.; Stouf, M. Coordination of growth, chromosome replication/segregation, and cell division in E. coli. Front. Microbiol. 2018, 9, 1469. [Google Scholar] [CrossRef]
- Lee, S.; Wu, L.J.; Errington, J. Microfluidic time-lapse analysis and reevaluation of the Bacillus subtilis cell cycle. Microbiologyopen 2019, 8, e876. [Google Scholar] [CrossRef]
- Hui, S.; Silverman, J.M.; Chen, S.S.; Erickson, D.W.; Basan, M.; Wang, J.; Hwa, T.; Williamson, J.R. Quantitative proteomic analysis reveals a simple strategy of global resource allocation in bacteria. Mol. Syst. Biol. 2015, 11, 784. [Google Scholar] [CrossRef]
- Scott, M.; Gunderson, C.W.; Mateescu, E.M.; Zhang, Z.; Hwa, T. Interdependence of cell growth and gene expression: Origins and consequences. Science 2010, 330, 1099–1102. [Google Scholar] [CrossRef]
- Battesti, A.; Majdalani, N.; Gottesman, S. The RpoS-mediated general stress response in Escherichia coli. Annu. Rev. Microbiol. 2011, 65, 189–213. [Google Scholar] [CrossRef]
- Basan, M. Resource allocation and metabolism: The search for governing principles. Curr. Opin. Microbiol. 2018, 45, 77–83. [Google Scholar] [CrossRef]
- Davidi, D.; Milo, R. Lessons on enzyme kinetics from quantitative proteomics. Curr. Opin. Biotechnol. 2017, 46, 81–89. [Google Scholar] [CrossRef]
- Davidi, D.; Noor, E.; Liebermeister, W.; Bar-Even, A.; Flamholz, A.; Tummler, K.; Barenholz, U.; Goldenfeld, M.; Shlomi, T.; Milo, R. Global characterization of in vivo enzyme catalytic rates and their correspondence to in vitro kcat measurements. Proc. Natl. Acad. Sci. USA 2016, 113, 3401–3406. [Google Scholar] [CrossRef]
- Bennett, B.D.; Kimball, E.H.; Gao, M.; Osterhout, R.; van Dien, S.J.; Rabinowitz, J.D. Absolute metabolite concentrations and implied enzyme active site occupancy in Escherichia coli. Nat. Chem. Biol. 2009, 5, 593–599. [Google Scholar] [CrossRef]
- Bennett, B.D.; Yuan, J.; Kimball, E.H.; Rabinowitz, J.D. Absolute quantitation of intracellular metabolite concentrations by an isotope ratio-based approach. Nat. Protoc. 2008, 3, 1299–1311. [Google Scholar] [CrossRef]
- Neidhardt, F.C. Escherichia coli and Salmonella: Cellular and Molecular Biology; ASM Press: Washington, DC, USA, 1996; Volume 1. [Google Scholar]
- Watson, J.D. Molecular Biology of the Gene; Pearson Education India: Noida, India, 2004. [Google Scholar]
- Heckmann, D.; Campeau, A.; Lloyd, C.J.; Phaneuf, P.V.; Hefner, Y.; Carrillo-Terrazas, M.; Feist, A.M.; Gonzalez, D.J.; Palsson, B.O. Kinetic profiling of metabolic specialists demonstrates stability and consistency of in vivo enzyme turnover numbers. Proc. Natl. Acad. Sci. USA 2020, 117, 23182–23190. [Google Scholar] [CrossRef]
- Niewerth, H.; Schuldes, J.; Parschat, K.; Kiefer, P.; Vorholt, J.A.; Daniel, R.; Fetzner, S. Complete genome sequence and metabolic potential of the quinaldine-degrading bacterium Arthrobacter sp. Rue61a. BMC Genom. 2012, 13, 534. [Google Scholar] [CrossRef]
- Ferenci, T. Adaptation to life at micromolar nutrient levels: The regulation of Escherichia coli glucose transport by endoinduction and cAMP. FEMS Microbiol. Rev. 1996, 18, 301–317. [Google Scholar] [CrossRef]
- Andersen, C.; Jordy, M.; Benz, R. Evaluation of the rate constants of sugar transport through maltoporin (LamB) of Escherichia coli from the sugar-induced current noise. J. Gen. Physiol. 1995, 105, 385–401. [Google Scholar] [CrossRef]
- Boles, E.; Hollenberg, C.P. The molecular genetics of hexose transport in yeasts. FEMS Microbiol. Rev. 1997, 21, 85–111. [Google Scholar] [CrossRef]
- Monk, J.M.; Charusanti, P.; Aziz, R.K.; Lerman, J.A.; Premyodhin, N.; Orth, J.D.; Feist, A.M.; Palsson, B.O. Genome-scale metabolic reconstructions of multiple Escherichia coli strains highlight strain-specific adaptations to nutritional environments. Proc. Natl. Acad. Sci. USA 2013, 110, 20338–20343. [Google Scholar] [CrossRef]
- Koonin, E.V. The Clusters of Orthologous Groups (COGs) Database: Phylogenetic classification of proteins from complete genomes. In The NCBI Handbook; National Center for Biotechnology Information (US): Bethesda, MD, USA, 2002. [Google Scholar]
- Schmidt, A.; Kochanowski, K.; Vedelaar, S.; Ahrne, E.; Volkmer, B.; Callipo, L.; Knoops, K.; Bauer, M.; Aebersold, R.; Heinemann, M. The quantitative and condition-dependent Escherichia coli proteome. Nat. Biotechnol. 2016, 34, 104–110. [Google Scholar] [CrossRef]
- Button, D. Kinetics of nutrient-limited transport and microbial growth. Microbiol. Rev. 1985, 49, 270–297. [Google Scholar] [CrossRef]
- Wick, L.M.; Quadroni, M.; Egli, T. Short-and long-term changes in proteome composition and kinetic properties in a culture of Escherichia coli during transition from glucose-excess to glucose-limited growth conditions in continuous culture and vice versa. Environ. Microbiol. 2001, 3, 588–599. [Google Scholar] [CrossRef]
- Vazquez, A. Optimal cytoplasmatic density and flux balance model under macromolecular crowding effects. J. Theor. Biol. 2010, 264, 356–359. [Google Scholar] [CrossRef]
- Gabashvili, I.S.; Agrawal, R.K.; Spahn, C.M.; Grassucci, R.A.; Svergun, D.I.; Frank, J.; Penczek, P. Solution structure of the E. coli 70S ribosome at 11.5 A resolution. Cell 2000, 100, 537–549. [Google Scholar] [CrossRef]
- Klumpp, S.; Scott, M.; Pedersen, S.; Hwa, T. Molecular crowding limits translation and cell growth. Proc. Natl. Acad. Sci. USA 2013, 110, 16754–16759. [Google Scholar] [CrossRef]
- Ellis, R.J. Macromolecular crowding: Obvious but underappreciated. Trends Biochem. Sci. 2001, 26, 597–604. [Google Scholar] [CrossRef]
- Vazquez, A.; Beg, Q.K.; de Menezes, M.A.; Ernst, J.; Bar-Joseph, Z.; Barabási, A.-L.; Boros, L.G.; Oltvai, Z.N. Impact of the solvent capacity constraint on E. coli metabolism. BMC Syst. Biol. 2008, 2, 7. [Google Scholar] [CrossRef]
- Weiss, M. Crowding, diffusion, and biochemical reactions. Int. Rev. Cell Mol. Biol. 2014, 307, 383–417. [Google Scholar] [PubMed]







| P-Components | U-Components |
|---|---|
| Related to the primary metabolism, required for intensive growth | Related to the secondary metabolism, improve stress resistance |
| Upregulated under optimal growth conditions | Downregulated under optimal conditions |
| Ribosomes (rRNA and r-proteins), enzymes involved in translation, and other key cellular processes | Protective pigments, C-storage (glycogen and PHB), antioxidants, high-affinity transporters, enzymes of drug resistance, and antibiotics formation |
| Phenomena | Traditional Interpretation | SCM-Based Clarification |
|---|---|---|
| Lag-phase (τ) in batch culture | Metabolic adjustment (poorly predictable) | Lag-phase is predicted based on r-state of inoculum (r0); the higher r0 the shorter is τ. |
| The stationary phase in batch culture limited by the C-source | The balance between true growth and cell death | There is no steady-state, dx/dt < 0, but starving cells differentiate into the active and dormant (VBNC) subpopulations. The cryptic growth is accompanied by upregulation of the U-components improving survival |
| The death phase | Death rate exceeds growth | |
| Batch growth limited by the anabolic (conserved) substrates | No explanations to the phenomenon of growth without uptake of deficient element from medium | The total amount of deficient element in the culture remains constant but σP progressively declines over time being shared between mother and daughter cells |
| Shift-up and shift-down in chemostat culture (rise or drop of D) | The observed overshoots and undershoots are vaguely attributed to the biological inertia. Prediction is not available | The SCM reproduces inertia by allowing cells to reconfigure their MMCC (proteome profile, ribosomes number). Time delay is automatically generated by Equation (A24) since the pace of r change depends on SGR |
| VBNC formation | A hypothetical ontogenetic stage in the natural life cycle of some bacteria | Ribosome-free cells produced under chronic starvation because of asymmetric distribution of rare ribosomes between mother and daughter cells |
| Cells response to starvation, the impact of maintenance | Cells dye when the energy supply is below the m-level. The maintenance coefficient is constant | Cells survive under deep energy source limitation by adaptive reducing maintenance requirements. Growth becomes slow but never stops |
| Inverse relationship between SGR and stress resistance | Reasons unknown, interpreted as a descriptive knowledge | Follows immediately from the P- and U-components definition and conservation condition P + U = 1 |
Publisher’s Note: MDPI stays neutral with regard to jurisdictional claims in published maps and institutional affiliations. |
© 2021 by the author. Licensee MDPI, Basel, Switzerland. This article is an open access article distributed under the terms and conditions of the Creative Commons Attribution (CC BY) license (https://creativecommons.org/licenses/by/4.0/).
Share and Cite
Panikov, N.S. Genome-Scale Reconstruction of Microbial Dynamic Phenotype: Successes and Challenges. Microorganisms 2021, 9, 2352. https://doi.org/10.3390/microorganisms9112352
Panikov NS. Genome-Scale Reconstruction of Microbial Dynamic Phenotype: Successes and Challenges. Microorganisms. 2021; 9(11):2352. https://doi.org/10.3390/microorganisms9112352
Chicago/Turabian StylePanikov, Nicolai S. 2021. "Genome-Scale Reconstruction of Microbial Dynamic Phenotype: Successes and Challenges" Microorganisms 9, no. 11: 2352. https://doi.org/10.3390/microorganisms9112352
APA StylePanikov, N. S. (2021). Genome-Scale Reconstruction of Microbial Dynamic Phenotype: Successes and Challenges. Microorganisms, 9(11), 2352. https://doi.org/10.3390/microorganisms9112352














