The Effects of a Microorganisms-Based Commercial Product on the Morphological, Biochemical and Yield of Tomato Plants under Two Different Water Regimes
Abstract
1. Introduction
2. Materials and Methods
2.1. Plant Material
2.2. Microorganisms
2.3. Experimental Design
2.4. Growth Measurements
2.5. Determination of Lycopene Content
2.6. DPPH Radical-Scavenging Activity
2.7. Determination of Total Phenol Content
2.8. Statistical Analysis
3. Results and Discussion
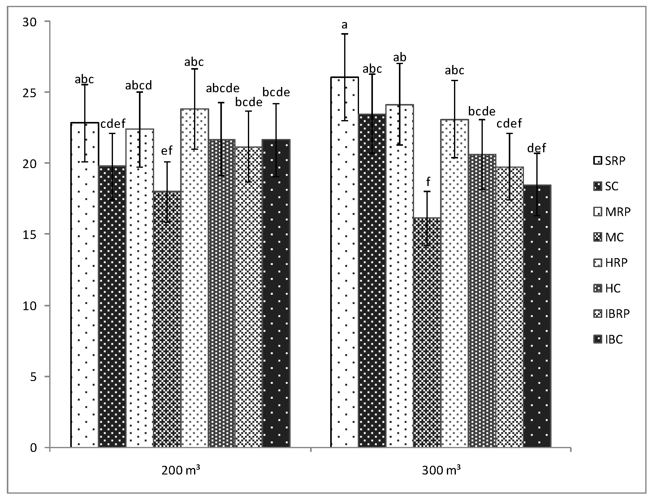
3.1. The Effect of Microorganisms’ Inoculation and Two Water Treatments on the Length of Tomato Plants
3.2. The Effect of Microorganisms’ Inoculation and Two Water Treatments on the Number of Fruits and Yield of Tomato Plants
3.3. The Effect of the Microorganisms’ Inoculation and the Two Water Treatments on the Lycopene, Polyphenols Content and Antioxidant Activity of Tomatoes
4. Conclusions
Author Contributions
Funding
Acknowledgments
Conflicts of Interest
References
- Christensen, J.H.; Hewitson, B.; Busuioc, A.; Chen, A.; Gao, X.; Held, I.; Jones, R.; Kolli, R.K.; Kwon, W.T.; Laprise, R. IPCC, 2007: Climate Change 2007: The Physical Science Basis; Contribution of Working Group I to the Fourth Assessment Report of the Intergovernmental Panel on Climate Change; Solomon, S., Qin, D., Manning, M., Chen, Z., Marquis, M., Averyt, K.B., Tignor, M., Miller, H.L., Eds.; Cambridge University Press: Cambridge, UK; New York, NY, USA, 2007; pp. 848–940. [Google Scholar]
- Golldack, D.; Li, C.; Mohan, H.; Probst, N. Tolerance to drought and salt stress in plants: Unraveling the signaling networks. Front. Plant Sci. 2014, 5, 151. [Google Scholar] [CrossRef] [PubMed]
- Stoleru, V.; Munteanu, N.; Sellitto, V.M. New Approach of Organic Vegetable Systems; AracneeEditrice: Rome, Italy, 2014. [Google Scholar]
- Stefan, M.; Munteanu, N.; Stoleru, V.; Mihasan, M.; Hritcu, L. Seed inoculation with plant growth promoting rhizobacteria enhances photosynthesis and yield of runner bean (Phaseolus coccineus L.). Sci. Hortic. 2013, 151, 22–29. [Google Scholar] [CrossRef]
- Raklami, A.; Bechtaoui, N.; Tahiri, A.-I.; Anli, M.; Meddich, A.; Oufdou, K. Use of rhizobacteria and mycorrhizae consortium in the open field as a strategy for improving crop nutrition, productivity and soil fertility. Front. Microbiol. 2019, 10, 1106. [Google Scholar] [CrossRef] [PubMed]
- Mihalache, G.; Zamfirache, M.M.; Stefan, M. Root associated bacteria—Friends or enemies? A review. Mem. Sci. Sect. Rom. Acad. 2015, 38, 27–54. [Google Scholar]
- Stefan, M.; Munteanu, N.; Stoleru, V.; Mihasan, M. Effects of inoculation with plant growth promoting rhizobacteria on photosynthesis, antioxidant status and yield of runner bean. Rom. Biotechnol. Lett. 2013, 18, 8132–8143. [Google Scholar]
- Lernaoud, J.; Potts, J.; Sampson, G.; Schlatter, B.; Huppe, G.; Voora, V.; Willer, H.; Wozniak, J. The state of sustainable markets: Statistics and emerging trends. In The World of Organic Agriculture, Statistics and Emerging Trends; Willer, H., Lernoud, J., Eds.; Research Insitute of Organic Agriculture (FiBL), Frick, and IFOAM—Organics International: Bonn, Germany, 2019; pp. 130–137. [Google Scholar]
- Tan, H.-L.; Thomas-Ahner, J.M.; Grainger, E.M.; Wan, L.; Francis, D.M.; Schwartz, S.J.; Erdman, J.W.; Clinton, S.K. Tomato-based food products for prostate cancer prevention: What have we learned? Cancer Metastasis Rev. 2010, 29, 553–568. [Google Scholar] [CrossRef] [PubMed]
- Hariprasad, P.; Venkateswaran, G.; Niranjana, S.R. Diversity of cultivable rhizobacteria across tomato growing regions of Karnataka. Biol. Control 2014, 72, 9–16. [Google Scholar] [CrossRef]
- Krishnamoorthy, R.; Manoharan, M.J.; Kim, K.; Lee, S.; Shagol, C.; Rangasamy, A.; Chung, J.; Islam, M.R.; Sa, T. Synergistic effects of arbuscular mycorrhizal fungi and plant growth promoting rhizobacteria for sustainable agricultural production. Korean Soc. Soil Sci. Fertil. 2011, 44, 637–649. [Google Scholar]
- Figueiredo, M.; Seldin, L.; Araujo, F.; Mariano, R. Plant growth promoting rhizobacteria: Fundamentals and applications. In Plant Growth and Health Promoting Bacteria; Maheshwari, D.K., Ed.; Springer: Berlin/Heidelberg, Germany, 2011; Volume 18, pp. 21–43. [Google Scholar]
- Butnariu, M.V.; Giuchici, C.V. The use of some nanoemulsions based on aqueous propolis and lycopene extract in the skin’s protective mechanisms against UVA radiation. J. Nanobiotechnol. 2011, 9, 3. [Google Scholar] [CrossRef] [PubMed]
- Sharma, S.K.; Le Maguer, M. Lycopene in tomatoes and tomato pulp fractions. Ital. J. Food Sci. 1996, 2, 107–113. [Google Scholar]
- Caruso, G.; Stoleru, V.; Munteanu, N.; Sellitto, V.M.; Teliban, G.C.; Burducea, M.; Tenu, I.; Morano, G.; Butnariu, M.V. Quality performances of sweet pepper under farming management. Not. Bot. Horti Agrobot. Cluj-Napoca 2018, 47, 458–464. [Google Scholar] [CrossRef][Green Version]
- Grajeda-Iglesias, C.; Salas, E.; Barouh, N.; Baréa, B.; Panya, A.; Figueroa-Espinoza, M.C. Antioxidant activity of protocatechuates evaluated by DPPH, ORAC, and CAT methods. Food Chem. 2016, 194, 749–757. [Google Scholar] [CrossRef] [PubMed]
- Singleton, V.L.; Orthofer, R.; Lamuela-Raventós, R.M. Analysis of total phenols and other oxidation substrates and antioxidants by means of folin-ciocalteu reagent. In Methods in Enzymology; Academic Press: Cambridge, MA, USA, 1999; Volume 299, pp. 152–178. [Google Scholar]
- Adesemoye, A.O.; Torbert, H.A.; Kloepper, J.W. Enhanced plant nutrient use efficiency with PGPR and AMF in an integrated nutrient management system. Can. J. Microbiol. 2008, 54, 876–886. [Google Scholar] [CrossRef] [PubMed]
- Gamalero, E.; Trotta, A.; Massa, N.; Copetta, A.; Martinotti, M.G.; Berta, G. Impact of two fluorescent pseudomonads and an arbuscularmycorrhizal fungus on tomato plant growth, root architecture and P acquisition. Mycorrhiza 2004, 14, 185–192. [Google Scholar] [CrossRef]
- Vafadar, F.; Amooaghaie, R.; Otroshy, M. Effects of plant-growth-promoting rhizobacteria and arbuscularmycorrhizal fungus on plant growth, stevioside, NPK, and chlorophyll content of Stevia rebaudiana. J. Plant Interact. 2014, 9, 128–136. [Google Scholar] [CrossRef]
- Roesti, D.; Gaur, R.; Johri, B.N.; Imfeld, G.; Sharma, S.; Kawaljeet, K.; Aragno, M. Plant growth stage, fertiliser management and bio-inoculation of arbuscularmycorrhizal fungi and plant growth promoting rhizobacteria affect the rhizobacterial community structure in rain-fed wheat fields. Soil Biol. Biochem. 2006, 38, 1111–1120. [Google Scholar] [CrossRef]
- Mohamed, I.; Eid, K.E.; Abbas, M.H.H.; Salem, A.A.; Ahmed, N.; Ali, M.; Shah, G.M.; Fang, C. Use of plant growth promoting rhizobacteria (PGPR) and mycorrhizae to improve the growth and nutrient utilization of common bean in a soil infected with white rot fungi. Ecotoxicol. Environ. Saf. 2019, 171, 539–548. [Google Scholar] [CrossRef]
- Pathak, D.; Lone, R.; Khan, S.; Koul, K.K. Isolation, screening and molecular characterization of free-living bacteria of potato (Solanum tuberosum L.) and their interplay impact on growth and production of potato plant under mycorrhizal association. Sci. Hortic. 2019, 252, 388–397. [Google Scholar] [CrossRef]
- Marulanda-Aguirre, A.; Azcón, R.; Ruiz-Lozano, J.M.; Aroca, R. Differential effects of a Bacillus megaterium strain on Lactuca sativa plant growth depending on the origin of the arbuscularmycorrhizal fungus coinoculated: Physiologic and biochemical traits. J. Plant Growth Regul. 2007, 27, 10. [Google Scholar] [CrossRef]
- Constantino, M.; Gomez-Alvarez, R.; Alvarez-Sol, J.D.; Geissen, V.; Huerta, E.; Barba, E. Effect of inoculation with rhizobacteria and arbuscularmycorrhizal fungi on growth and yield of Capsicum chinense Jacquin. J. Agric. Rural Dev. Trop. Subtrop. 2008, 109, 169–180. [Google Scholar]
- Gamalero, E.; Berta, G.; Massa, N.; Glick, B.R.; Lingua, G. Synergistic interactions between the ACC deaminase-producing bacterium Pseudomonas putida UW4 and the AM fungus Gigaspora rosea positively affect cucumber plant growth. Fems Microbiol. Ecol. 2008, 64, 459–467. [Google Scholar] [CrossRef]
- Sabannavar, S.J.; Lakshman, H.C. Effect of rock phosphate solubilizatio using mycorrhizal fungi and phosphobacteria on two high yielding varieties of Sesamum indicum L. World J. Agric. Sci. 2009, 5, 470–479. [Google Scholar]
- Arthurson, V.; Hjort, K.; Muleta, D.; Jaderlund, L.; Granhall, U. Effects on Glomus mosseae root colonization by Paenibacillus polymyxa and Paenibacillus brasilensis strains as related to soil P-availability in winter wheat. Appl. Environ. Soil Sci. 2011, 2011, 298097. [Google Scholar] [CrossRef][Green Version]
- Ruíz-Sánchez, M.; Armada, E.; Muñoz, Y.; García de Salamone, I.E.; Aroca, R.; Ruíz-Lozano, J.M.; Azcón, R. Azospirillum and arbuscularmycorrhizal colonization enhance rice growth and physiological traits under well-watered and drought conditions. J. Plant Physiol. 2011, 168, 1031–1037. [Google Scholar] [CrossRef]
- FAO. Water for Sustainable Food and Agriculture—A Report for the G20 Precidency of Germany; FAO: Rome, Italy, 2017. [Google Scholar]
- Todeschini, V.; AitLahmidi, N.; Mazzucco, E.; Marsano, F.; Gosetti, F.; Robotti, E.; Bona, E.; Massa, N.; Bonneau, L.; Marengo, E.; et al. Impact of beneficial microorganisms on strawberry growth, fruit production, nutritional quality, and volatilome. Front. Plant Sci. 2018, 9, 1611. [Google Scholar] [CrossRef]
- Bona, E.; Cantamessa, S.; Massa, N.; Manassero, P.; Marsano, F.; Copetta, A.; Lingua, G.; D’Agostino, G.; Gamalero, E.; Berta, G. Arbuscularmycorrhizal fungi and plant growth-promoting pseudomonads improve yield, quality and nutritional value of tomato: A field study. Mycorrhiza 2017, 27, 1–11. [Google Scholar] [CrossRef]
- Hart, M.; Ehret, D.L.; Krumbein, A.; Leung, C.; Murch, S.; Turi, C.; Franken, P. Inoculation with arbuscularmycorrhizal fungi improves the nutritional value of tomatoes. Mycorrhiza 2015, 25, 359–376. [Google Scholar] [CrossRef]
- Salvioli, A.; Zouari, I.; Chalot, M.; Bonfante, P. The arbuscularmycorrhizal status has an impact on the transcriptome profile and amino acid composition of tomato fruit. BMC Plant Biol. 2012, 12, 44. [Google Scholar] [CrossRef] [PubMed]
- Conversa, G.; Lazzizera, C.; Bonasia, A.; Elia, A. Yield and phosphorus uptake of a processing tomato crop grown at different phosphorus levels in a calcareous soil as affected by mycorrhizal inoculation under field conditions. Biol. Fertil. Soils 2013, 49, 691–703. [Google Scholar] [CrossRef]
- Fuentes-Ramirez, L.E.; Caballero-Mellado, J. Bacterial biofertilizers. In PGPR: Biocontrol and Biofertilization; Siddiqui, Z.A., Ed.; Springer: Dordrecht, The Netherlands, 2006; pp. 143–172. [Google Scholar]
- Martínez-Valverde, I.; Periago, M.J.; Provan, G.; Chesson, A. Phenolic compounds, lycopene and antioxidant activity in commercial varieties of tomato (Lycopersicum esculentum). J. Sci. Food Agric. 2002, 82, 323–330. [Google Scholar] [CrossRef]
- Agarwal, S.; Rao, A.V. Tomato lycopene and its role in human health and chronic diseases. CMAJ 2000, 163, 739–744. [Google Scholar]
- Brandt, S.; Pék, Z.; Barna, É.; Lugasi, A.; Helyes, L. Lycopene content and colour of ripening tomatoes as affected by environmental conditions. J. Sci. Food Agric. 2006, 86, 568–572. [Google Scholar] [CrossRef]
- Xu, F.; Yuan, Q.-P.; Zhu, Y. Improved production of lycopene and β-carotene by Blakeslea trispora with oxygen-vectors. Process Biochem. 2007, 42, 289–293. [Google Scholar] [CrossRef]
- Szabo, K.; Diaconeasa, Z.; Cătoi, A.F.; Vodnar, D.C. Screening of ten tomato varieties processing waste for bioactive components and their related antioxidant and antimicrobial activities. Antioxidants 2019, 8, 292. [Google Scholar] [CrossRef]
- Ordookhani, K.; Khavazi, K.; Moezzi, A.; Rejali, F. Influence of PGPR and AMF on the antioxidant activity, lycopene and potassium contents in tomato. Afr. J. Agric. Res. 2010, 5, 1108–1116. [Google Scholar]
- Nzanza, B.; Marais, D.; Soundy, P. Yield and nutrient content of tomato (Solanum lycopersicum L.) as influenced by Trichoderma harzianum and Glomus mosseae inoculation. Sci. Hortic. 2012, 144, 55–59. [Google Scholar] [CrossRef]
- Grolier, P.; Bartholin, G.; Caris-Veyrat, C.; Dadomo, M.; Dumas, Y.; Meddens, F.; Sandei, L.; Schuch, W. Antioxidants in tomato fruit. In Role and Control of Antioxidants in the Tomato Processing Industry; European Commission Concerted Action, FAIR. CT 97-3233, Seminar in Parma; European Commission: Brussels, Belgium, 1999; pp. 9–12. [Google Scholar]
- Atkinson, N.J.; Dew, T.P.; Orfila, C.; Urwin, P.E. Influence of combined biotic and abiotic stress on nutritional quality parameters in tomato (Solanum lycopersicum). J. Agric. Food Chem. 2011, 59, 9673–9682. [Google Scholar] [CrossRef] [PubMed]
- Vallverdú-Queralt, A.; Medina-Remón, A.; Casals-Ribes, I.; Lamuela-Raventos, R.M. Is there any difference between the phenolic content of organic and conventional tomato juices? Food Chem. 2012, 130, 222–227. [Google Scholar] [CrossRef]
- El-Marzouq, M. Analysis and antioxidant activity of phenolic compounds in olive and fig leaves juice. Banat. J. Biotechnol. 2013, 4, 47–53. [Google Scholar]
- Ordookhani, K.; Zare, M. Effects of Pseudomonas, Azotobacter and arbuscularmycorrhiza fungi on lycopene, antioxidant activity and total soluble solid in tomato (Lycopersicon esculentulm F1 hybrid, Delba). Adv. Environ. Biol. 2011, 5, 1290–1294. [Google Scholar]



| Treatment | Lycopene (mg·100 g−1 FW)472 nm | Polyphenol (mg·100 g−1 FW) | Antioxidant Activity (mmol Trol·100 g−1 FW) | 
|---|---|---|---|
| SRP 200 | 11.16 ± 0.7 de | 2283.38 ± 285.6 bcde | 81.39 ± 4.5 cdef | 
| SRP 300 | 11.63 ± 0.7 bcd | 2322.216 ± 410.8 bcd | 85.34 ± 4.5 cd | 
| SC 200 | 9.01 ± 0.1 h | 2165.28 ± 280.2 bcde | 76.63 ± 5.5 efg | 
| SC 300 | 9.81 ± 0.2 g | 2228.186 ± 362.5 bcde | 82.44 ± 1.9 cdef | 
| MRP 200 | 11.03 ± 0.1 def | 2805.128 ± 286.8 a | 87.563 ± 5.6 bc | 
| MRP 300 | 11.31 ± 0.3 de | 2820.385 ± 412.9 a | 94.887 ± 2.8 a | 
| MC 200 | 10.39 ± 0.5 fg | 1863.402 ± 141.2 de | 83.85 ± 3.8 cde | 
| MC 300 | 10.89 ± 0.1 ef | 1882.277 ± 96.4 de | 85.93 ± 4.6 cd | 
| HRP 200 | 12.09 ± 0.5 b | 2184.21 ± 157.4 bcde | 94.05 ± 4.1 ab | 
| HRP 300 | 13.02 ± 0.3 a | 2382.274 ± 449.2 abc | 93.97 ± 4.9 ab | 
| HC 200 | 11.09 ± 0.3 de | 1808.253 ± 88.2 e | 70.39 ± 2.5 gh | 
| HC 300 | 12 ± 0.4 bc | 1988.377 ± 156.7 bcde | 65.12 ± 4.8 h | 
| IBRP 200 | 11.5 ± 0.2 bcde | 2423.26 ± 306.2 ab | 86.96 ± 3.7 bc | 
| IBRP 300 | 13.12 ± 0.2 a | 2425.239 ± 352 ab | 83.92 ± 3.5 cde | 
| IBC 200 | 11.28 ± 0.3 de | 1926.223 ± 104.9 cde | 78.71 ± 7.1 def | 
| IBC 300 | 11.35 ± 0.6 cde | 1942.296 ± 108.9 cde | 75.94 ± 2.9 fg | 
© 2019 by the authors. Licensee MDPI, Basel, Switzerland. This article is an open access article distributed under the terms and conditions of the Creative Commons Attribution (CC BY) license (http://creativecommons.org/licenses/by/4.0/).
Share and Cite
Inculet, C.-S.; Mihalache, G.; Sellitto, V.M.; Hlihor, R.-M.; Stoleru, V. The Effects of a Microorganisms-Based Commercial Product on the Morphological, Biochemical and Yield of Tomato Plants under Two Different Water Regimes. Microorganisms 2019, 7, 706. https://doi.org/10.3390/microorganisms7120706
Inculet C-S, Mihalache G, Sellitto VM, Hlihor R-M, Stoleru V. The Effects of a Microorganisms-Based Commercial Product on the Morphological, Biochemical and Yield of Tomato Plants under Two Different Water Regimes. Microorganisms. 2019; 7(12):706. https://doi.org/10.3390/microorganisms7120706
Chicago/Turabian StyleInculet, Carmen-Simona, Gabriela Mihalache, Vincenzo Michele Sellitto, Raluca-Maria Hlihor, and Vasile Stoleru. 2019. "The Effects of a Microorganisms-Based Commercial Product on the Morphological, Biochemical and Yield of Tomato Plants under Two Different Water Regimes" Microorganisms 7, no. 12: 706. https://doi.org/10.3390/microorganisms7120706
APA StyleInculet, C.-S., Mihalache, G., Sellitto, V. M., Hlihor, R.-M., & Stoleru, V. (2019). The Effects of a Microorganisms-Based Commercial Product on the Morphological, Biochemical and Yield of Tomato Plants under Two Different Water Regimes. Microorganisms, 7(12), 706. https://doi.org/10.3390/microorganisms7120706
 
        



 
       