Harnessing the Enzymatic Potential of Indigenous Yeast Strains: Screening and Evaluation for Biocontrol and Oenological Advancements
Abstract
1. Introduction
2. Materials and Methods
2.1. Yeast Strains and Phytopathogenic Fungal Strain
2.2. Cell Wall–Degrading Enzyme Assays
2.2.1. Chitinase Assays
2.2.2. β-1,3-Glucanase Assay
2.3. Glucoside Hydrolase Assays
2.4. β-Lyase Activity Assays
2.5. Qualitative Screening for Sulfite Reductase Activity
2.6. In Vitro Yeast-Mediated Fungal Mycelial Radial Growth Inhibition
2.7. Inhibitory Activity of Yeast-Emitted Antifungal Volatile Organic Compounds (VOCs)
2.8. Yeast Tolerance to Copper and Other Commercial Fungicides
2.9. Niche Overlap Index (NOI)
2.10. Grapevine Leaf Disc Infection Bioassay
2.11. A Field Trial Employing Selected Yeast in Combined Antifungal Strategies
2.11.1. Experimental Vineyard and Study Design
2.11.2. Visual Examination of Grey Mould
2.12. Statistical Analysis
3. Results and Discussion
3.1. Cell Wall-Degrading Enzyme Activities
3.2. Glucoside Hydrolase Activities
3.3. β-Lyase Activity
3.4. Sulfite Reductase Activity and H2S Production
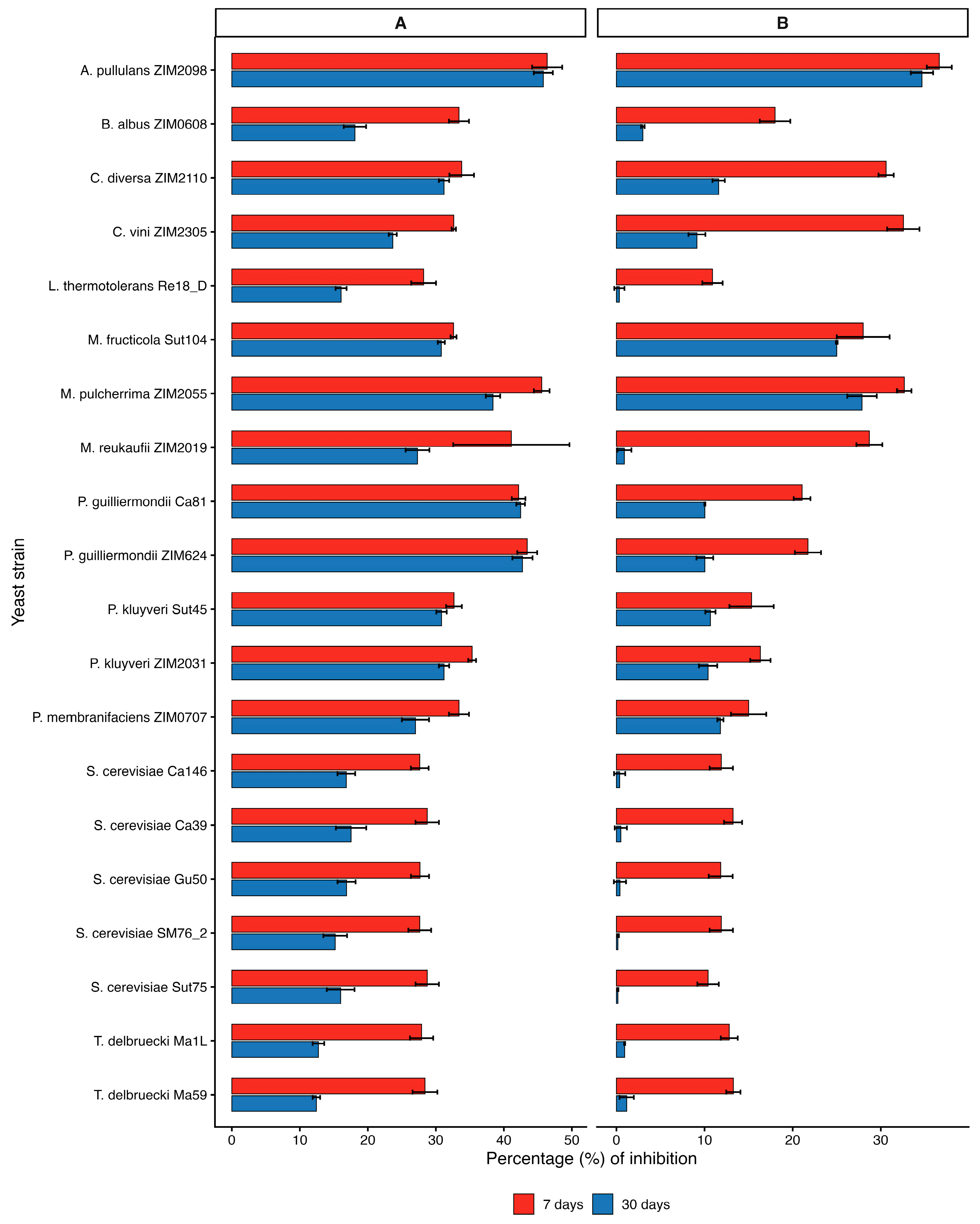
3.5. In Vitro Yeast-Mediated Fungal Mycelial Radial Growth Inhibition (Y-FMGRI)
3.6. Inhibitory Activity of Yeast-Modulated Antifungal Volatile Organic Compounds (VOCs)
3.7. Yeast Tolerance to Copper and Commercial Fungicides
3.8. Niche Overlap Index (NOI)
3.9. Leaf Disc Assay
3.10. Synthesis of Overall Functional Characteristics in the Best-Performing Strains
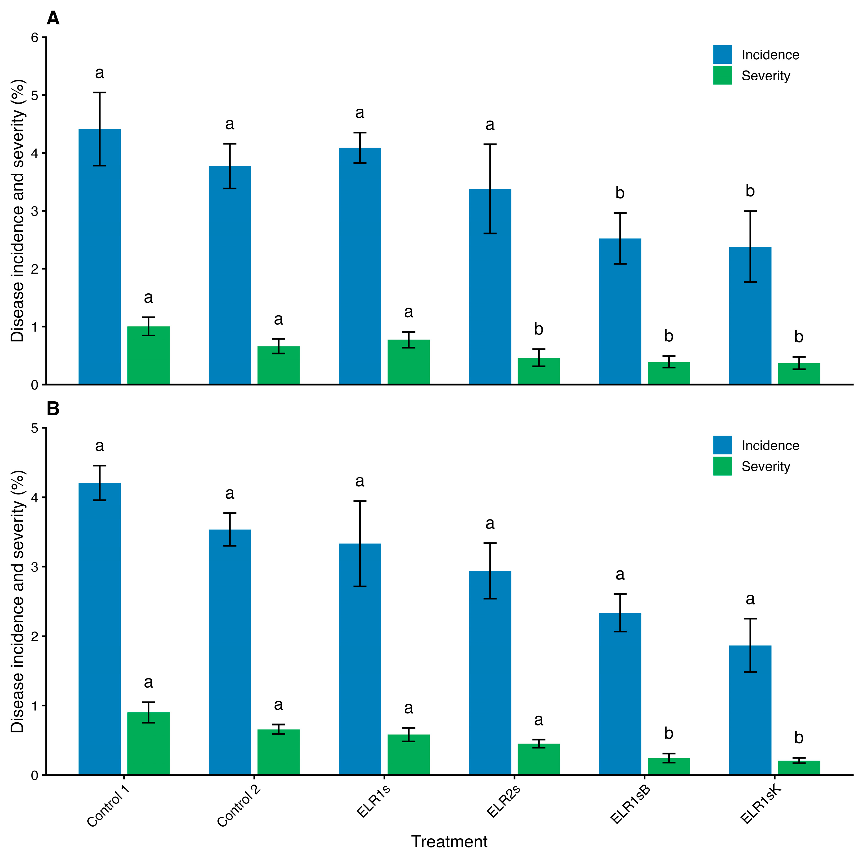
3.11. A Field Trial Employing Selected Yeast in Combined Antifungal Strategies
4. Conclusions
Supplementary Materials
Author Contributions
Funding
Institutional Review Board Statement
Informed Consent Statement
Data Availability Statement
Acknowledgments
Conflicts of Interest
References
- Varela, C. The Impact of Non-Saccharomyces Yeasts in the Production of Alcoholic Beverages. Appl. Microbiol. Biotechnol. 2016, 100, 9861–9874. [Google Scholar] [CrossRef] [PubMed]
- Bordet, F.; Joran, A.; Klein, G.; Roullier-Gall, C.; Alexandre, H. Yeast-Yeast Interactions: Mechanisms, Methodologies and Impact on Composition. Microorganisms 2020, 8, 600. [Google Scholar] [CrossRef] [PubMed]
- Zilelidou, E.A.; Nisiotou, A. Understanding Wine through Yeast Interactions. Microorganisms 2021, 9, 1620. [Google Scholar] [CrossRef] [PubMed]
- Álvarez, R.; Garces, F.; Louis, E.J.; Dequin, S.; Camarasa, C. Beyond S. cerevisiae for Winemaking: Fermentation-Related Trait Diversity in the Genus Saccharomyces. Food Microbiol. 2023, 113, 104270. [Google Scholar] [CrossRef]
- Griggs, R.G.; Steenwerth, K.L.; Mills, D.A.; Cantu, D.; Bokulich, N.A. Sources and Assembly of Microbial Communities in Vineyards as a Functional Component of Winegrowing. Front. Microbiol. 2021, 12, 673810. [Google Scholar] [CrossRef]
- Suárez-Lepe, J.A.; Morata, A. New Trends in Yeast Selection for Winemaking. Trends Food Sci. Technol. 2012, 23, 39–50. [Google Scholar] [CrossRef]
- Escribano, R.; González-Arenzana, L.; Garijo, P.; Berlanas, C.; López-Alfaro, I.; López, R.; Gutiérrez, A.R.; Santamaría, P. Screening of Enzymatic Activities within Different Enological Non-Saccharomyces Yeasts. J. Food Sci. Technol. 2017, 54, 1555–1564. [Google Scholar] [CrossRef]
- Masneuf-Pomarede, I.; Juquin, E.; Miot-Sertier, C.; Renault, P.; Laizet, Y.; Salin, F.; Alexandre, H.; Capozzi, V.; Cocolin, L.; Colonna-Ceccaldi, B.; et al. The Yeast Starmerella Bacillaris (Synonym Candida Zemplinina) Shows High Genetic Diversity in Winemaking Environments. FEMS Yeast Res. 2015, 15, fov045. [Google Scholar] [CrossRef]
- Maturano, Y.P.; Mestre, M.V.; Esteve-Zarzoso, B.; Nally, M.C.; Lerena, M.C.; Toro, M.E.; Vazquez, F.; Combina, M. Yeast Population Dynamics during Prefermentative Cold Soak of Cabernet Sauvignon and Malbec Wines. Int. J. Food Microbiol. 2015, 199, 23–32. [Google Scholar] [CrossRef]
- Morata, A.; Escott, C.; Bañuelos, M.; Loira, I.; Del Fresno, J.; González, C.; Suárez-Lepe, J. Contribution of Non-Saccharomyces Yeasts to Wine Freshness. A Review. Biomolecules 2019, 10, 34. [Google Scholar] [CrossRef]
- Martín, M.; Prendes, L.; Morata, V.; Merín, M. Biocontrol and Enzymatic Activity of Non-Saccharomyces Wine Yeasts: Improvements in Winemaking. Fermentation 2024, 10, 218. [Google Scholar] [CrossRef]
- García, M.; Esteve-Zarzoso, B.; Arroyo, T.; García, M.; Esteve-Zarzoso, B.; Arroyo, T. Non-Saccharomyces Yeasts: Biotechnological Role for Wine Production. In Grape and Wine Biotechnology; IntechOpen: London, UK, 2016. [Google Scholar]
- Gonzalez, R.; Morales, P. Truth in Wine Yeast. Microb. Biotechnol. 2022, 15, 1339–1356. [Google Scholar] [CrossRef] [PubMed]
- Comitini, F.; Canonico, L.; Agarbati, A.; Ciani, M. Biocontrol and Probiotic Function of Non-Saccharomyces Yeasts: New Insights in Agri-Food Industry. Microorganisms 2023, 11, 1450. [Google Scholar] [CrossRef] [PubMed]
- Dmytruk, O.; Yemets, A.; Dmytruk, K. Yeasts as Biofertilizers and Biocontrol Agents: Mechanisms and Applications. Biotechnol. Appl. Biochem. 2025, bab.70029. [Google Scholar] [CrossRef]
- Liu, J.; Sui, Y.; Wisniewski, M.; Droby, S.; Liu, Y. Review: Utilization of Antagonistic Yeasts to Manage Postharvest Fungal Diseases of Fruit. Int. J. Food Microbiol. 2013, 167, 153–160. [Google Scholar] [CrossRef]
- Cordero-Bueso, G.; Mangieri, N.; Maghradze, D.; Foschino, R.; Valdetara, F.; Cantoral, J.M.; Vigentini, I. Wild Grape-Associated Yeasts as Promising Biocontrol Agents against Vitis vinifera Fungal Pathogens. Front. Microbiol. 2017, 8, 2025. [Google Scholar] [CrossRef]
- Freimoser, F.M.; Rueda-Mejia, M.P.; Tilocca, B.; Migheli, Q. Biocontrol Yeasts: Mechanisms and Applications. World J. Microbiol. Biotechnol. 2019, 35, 154. [Google Scholar] [CrossRef]
- Esteves, M.; Lage, P.; Sousa, J.; Centeno, F.; De Fátima Teixeira, M.; Tenreiro, R.; Mendes-Ferreira, A. Biocontrol Potential of Wine Yeasts against Four Grape Phytopathogenic Fungi Disclosed by Time-Course Monitoring of Inhibitory Activities. Front. Microbiol. 2023, 14, 1146065. [Google Scholar] [CrossRef]
- Fillinger, S. Botrytis—The Fungus, the Pathogen and Its Management in Agricultural Systems; Fillinger, S., Elad, Y., Eds.; Springer International Publishing: Cham, Switzerland, 2016. [Google Scholar]
- Padilla-Agudelo, J.L.; Palencia Mulero, E.; Cardinali, G.; Cantoral, J.M.; Cordero-Bueso, G.; Vigentini, I. Misconceptions and Advances in Sustainable Biocontrol of Botrytis Cinerea in Grapevines. A Review. Crop Prot. 2026, 202, 107515. [Google Scholar] [CrossRef]
- Sternad Lemut, M.; Sivilotti, P.; Butinar, L.; Vrhovšek, U. Controlling Microbial Infection by Managing Grapevine Canopy. In Proceedings of the 46th Croatian and 6th International Symposium on Agriculture; University of Zagreb: Zagreb, Croatia, 2011; pp. 984–987. [Google Scholar]
- Sternad Lemut, M.; Sivilotti, P.; Butinar, L.; Laganis, J.; Vrhovsek, U. Pre-Flowering Leaf Removal Alters Grape Microbial Population and Offers Good Potential for a More Sustainable and Cost-Effective Management of a Pinot Noir Vineyard. Aust. J. Grape Wine Res. 2015, 21, 439–450. [Google Scholar] [CrossRef]
- Sternad Lemut, M.; Trost, K.; Sivilotti, P.; Arapitsas, P.; Vrhovsek, U. Early versus Late Leaf Removal Strategies for Pinot Noir (Vitis vinifera L.): Effect on Colour-related Phenolics in Young Wines Following Alcoholic Fermentation. J. Sci. Food Agric. 2013, 93, 3670–3681. [Google Scholar] [CrossRef]
- Topić Božič, J.; Butinar, L.; Albreht, A.; Vovk, I.; Korte, D.; Vodopivec, B.M. The Impact of Saccharomyces and Non-Saccharomyces Yeasts on Wine Colour: A Laboratory Study of Vinylphenolic Pyranoanthocyanin Formation and Anthocyanin Cell Wall Adsorption. LWT 2020, 123, 109072. [Google Scholar] [CrossRef]
- Topić Božič, J.; Butinar, L.; Antalick, G.; Sternad Lemut, M.; Martelanc, M.; Albreht, A.; Korte, D.; Mozetič Vodopivec, B. The Influence of Selected Indigenous Yeasts on Pinot Noir Wine Colour Properties. J. Sci. Food Agric. 2022, 102, 664–672. [Google Scholar] [CrossRef] [PubMed]
- Di Canito, A.; Mateo-Vargas, M.A.; Mazzieri, M.; Cantoral, J.; Foschino, R.; Cordero-Bueso, G.; Vigentini, I. The Role of Yeasts as Biocontrol Agents for Pathogenic Fungi on Postharvest Grapes: A Review. Foods 2021, 10, 1650. [Google Scholar] [CrossRef] [PubMed]
- Olana, R.C.; Haituk, S.; Karunarathna, A.; Cumagun, C.J.R. Review: Elucidating the Efficacy of Antagonistic Yeasts by Using Multiple Mechanisms in Controlling Fungal Phytopathogens. J. Phytopathol. 2025, 173, e70097. [Google Scholar] [CrossRef]
- Muccilli, S.; Restuccia, C. Bioprotective Role of Yeasts. Microorganisms 2015, 3, 588–611. [Google Scholar] [CrossRef]
- Nicot, P.C.; Stewart, A.; Bardin, M.; Elad, Y. Biological Control and Biopesticide Suppression of Botrytis-Incited Diseases. In Botrytis—The Fungus, the Pathogen and Its Management in Agricultural Systems; Fillinger, S., Elad, Y., Eds.; Springer International Publishing: Cham, Switzerland, 2016; pp. 165–187, Erratum in Botrytis—The Fungus, the Pathogen and Its Management in Agricultural Systems; Fillinger, S., Elad, Y., Eds.; Springer International Publishing: Cham, Switzerland, 2016; pp. E1. [Google Scholar]
- Pretscher, J.; Fischkal, T.; Branscheidt, S.; Jäger, L.; Kahl, S.; Schlander, M.; Thines, E.; Claus, H. Yeasts from Different Habitats and Their Potential as Biocontrol Agents. Fermentation 2018, 4, 31. [Google Scholar] [CrossRef]
- Spadaro, D.; Gullino, M.L. State of the Art and Future Prospects of the Biological Control of Postharvest Fruit Diseases. Int. J. Food Microbiol. 2004, 91, 185–194. [Google Scholar] [CrossRef]
- Suzzi, G.; Romano, P.; Ponti, I.; Montuschi, C. Natural Wine Yeasts as Biocontrol Agents. J. Appl. Bacteriol. 1995, 78, 304–308. [Google Scholar] [CrossRef]
- Nally, M.C.; Pesce, V.M.; Maturano, Y.P.; Rodriguez Assaf, L.A.; Toro, M.E.; Castellanos De Figueroa, L.I.; Vazquez, F. Antifungal Modes of Action of Saccharomyces and Other Biocontrol Yeasts against Fungi Isolated from Sour and Grey Rots. Int. J. Food Microbiol. 2015, 204, 91–100. [Google Scholar] [CrossRef]
- Flores, C.B.; Pedrozo, L.P.; Pesce, V.M.; Vazquez, F.; Nally, M.C. Preventive and Curative Effects of Native Yeasts on Different Botrytis Cinerea Strains in “Superior Seedless” (Vitis vinifera L.) Table Grape Cultured in Argentina. Rev. de la Fac. de Cienc. Agrar. UNCuyo 2025, 57, 103–114. [Google Scholar] [CrossRef]
- Martelanc, M.; Vukajlović, T.R.; Sternad Lemut, M.; Žežlina, L.; Butinar, L. Identification of Volatile Organic Compounds as Natural Antifungal Agents Against Botrytis Cinerea in Grape-Based Systems. Foods 2026, 15, 119. [Google Scholar] [CrossRef] [PubMed]
- Morath, S.U.; Hung, R.; Bennett, J.W. Fungal Volatile Organic Compounds: A Review with Emphasis on Their Biotechnological Potential. Fungal Biol. Rev. 2012, 26, 73–83. [Google Scholar] [CrossRef]
- Fay, J.C.; Miller, J.H.; Dashko, S.; Hyma, K.E.; Liu, P.; Volk, H.; Cohen, H.; Rahman, N.F.; Tang, K.; Longan, E.R.; et al. Distribution of Yeast Species and Their Resistance to Copper and Sulfite across Arboreal and Viticulture Habitats. FEMS Yeast Res. 2026, 26, foaf074. [Google Scholar] [CrossRef] [PubMed]
- Magoye, E.; Hilber-Bodmer, M.; Pfister, M.; Freimoser, F.M. Unconventional Yeasts Are Tolerant to Common Antifungals, and Aureobasidium Pullulans Has Low Baseline Sensitivity to Captan, Cyprodinil, and Difenoconazole. Antibiotics 2020, 9, 602. [Google Scholar] [CrossRef] [PubMed]
- Card, S.; Johnson, L.; Teasdale, S.; Caradus, J. Deciphering Endophyte Behaviour: The Link between Endophyte Biology and Efficacious Biological Control Agents. FEMS Microbiol. Ecol. 2016, 92, fiw114. [Google Scholar] [CrossRef]
- Lamenew, F.; Mekonnen, H.; Gashaw, T. Biocontrol Potential of Trichoderma and Yeast against Post Harvest Fruit Fungal Diseases: A Review. World News Nat. Sci. 2019, 8, 153–173. [Google Scholar]
- Maicas, S.; Mateo, J.J. Microbial Glycosidases for Wine Production. Beverages 2016, 2, 20. [Google Scholar] [CrossRef]
- Ruiz, J.; Belda, I.; Beisert, B.; Navascués, E.; Marquina, D.; Calderón, F.; Rauhut, D.; Santos, A.; Benito, S. Analytical Impact of Metschnikowia pulcherrima in the Volatile Profile of Verdejo White Wines. Appl. Microbiol. Biotechnol. 2018, 102, 8501–8509. [Google Scholar] [CrossRef]
- Hamid, R.; Khan, M.A.; Ahmad, M.; Ahmad, M.M.; Abdin, M.Z.; Musarrat, J.; Javed, S. Chitinases: An Update. J. Pharm. Bioallied Sci. 2013, 5, 21–29. [Google Scholar] [CrossRef]
- Belda, I.; Ruiz, J.; Navascués, E.; Marquina, D.; Santos, A. Improvement of Aromatic Thiol Release through the Selection of Yeasts with Increased β-Lyase Activity. Int. J. Food Microbiol. 2016, 225, 1–8. [Google Scholar] [CrossRef] [PubMed]
- Belda, I.; Ruiz, J.; Alastruey-Izquierdo, A.; Navascués, E.; Santos, A. Unraveling the Enzymatic Basis of Wine “Flavorome”: A Phylo-Functional Study of Wine Related Yeast Species. Front. Microbiol. 2016, 7, 12. [Google Scholar] [CrossRef] [PubMed]
- Dashko, S.; Liu, P.; Volk, H.; Butinar, L.; Piškur, J.; Fay, J.C. Changes in the Relative Abudance of two Saccharomyces Species from Oak Forests to Wine Fermentations. Front. Microbiol. 2016, 7, 215. [Google Scholar] [CrossRef] [PubMed]
- Raspor, P.; Miklić-Milek, D.; Avbelj, M.; Čadež, N. Biocontrol of Grey Mould Disease on Grape Caused by Botrytis Cinerea 1452 with Autochthonous Wine Yeasts. Food Technol. Biotechnol. 2010, 48, 336–343. [Google Scholar]
- Agrawal, T.; Kotasthane, A. Chitinolytic Assay of Indigenous Trichoderma Isolates Collected from Different Geographical Locations of Chhattisgarh in Central India. SpringerPlus 2012, 1, 73. [Google Scholar] [CrossRef]
- Rowland, A.A. Exploration of Yeast Biodiversity Potential for Development of Alternative Biofungicides in Viticulture. Ph.D. Thesis, University of Nova Gorica, Nova Gorica, Slovenia, 2022. [Google Scholar]
- Roberts, W.K.; Selitrennikoff, C.P. Plant and Bacterial Chitinases Differ in Antifungal Activity. Microbiology 1988, 134, 169–176. [Google Scholar] [CrossRef]
- Jijakli, M.H.; Lepoivre, P. Characterization of an Exo-β-1,3-Glucanase Produced by Pichia Anomala Strain K, Antagonist of Botrytis Cinerea on Apples. Phytopathology 1998, 88, 335–343. [Google Scholar] [CrossRef]
- Lilly, V.G.; Barnet, H.L. Physiology of the Fungi; McGraw-Hill Book Company: New York, NY, USA, 1951. [Google Scholar]
- Abeles, F.B.; Bosshart, R.P.; Forrence, L.E.; Habig, W.H. Preparation and Purification of Glucanase and Chitinase from Bean Leaves. Plant Physiol. 1971, 47, 129–134. [Google Scholar] [CrossRef]
- Cabib, E.; Bowers, B. Chitin and Yeast Budding. J. Biol. Chem. 1971, 246, 152–159. [Google Scholar] [CrossRef]
- Zhang, D.; Spadaro, D.; Garibaldi, A.; Gullino, M.L. Potential Biocontrol Activity of a Strain of Pichia guilliermondii against Grey Mold of Apples and Its Possible Modes of Action. Biol. Control 2011, 57, 193–201. [Google Scholar] [CrossRef]
- Masih, E.I.; Paul, B. Secretion of β-1,3-Glucanases by the Yeast Pichia Membranifaciens and Its Possible Role in the Biocontrol of Botrytis Cinerea Causing Grey Mold Disease of the Grapevine. Curr. Microbiol. 2002, 44, 391–395. [Google Scholar] [CrossRef] [PubMed]
- Fan, Q. Production of β-1,3-Glucanase and Chitinase of Two Biocontrol Agents and Their Possible Modes of Action. Chin. Sci. Bull. 2002, 47, 292. [Google Scholar] [CrossRef]
- Hernández, L.F.; Espinosa, J.C.; Fernández-González, M.; Briones, A. β-Glucosidase Activity in a Saccharomyces cerevisiae Wine Strain. Int. J. Food Microbiol. 2003, 80, 171–176. [Google Scholar] [CrossRef] [PubMed]
- Daenen, L.; Saison, D.; Sterckx, F.; Delvaux, F.R.; Verachtert, H.; Derdelinckx, G. Screening and Evaluation of the Glucoside Hydrolase Activity in Saccharomyces and Brettanomyces Brewing Yeasts. J. Appl. Microbiol. 2008, 104, 478–488. [Google Scholar] [CrossRef]
- Swiegers, J.H.; Capone, D.L.; Pardon, K.H.; Elsey, G.M.; Sefton, M.A.; Francis, I.L.; Pretorius, I.S. Engineering Volatile Thiol Release in Saccharomyces cerevisiae for Improved Wine Aroma. Yeast 2007, 24, 561–574. [Google Scholar] [CrossRef]
- Belda, I.; Navascués, E.; Marquina, D.; Santos, A.; Calderon, F.; Benito, S. Dynamic Analysis of Physiological Properties of Torulaspora Delbrueckii in Wine Fermentations and Its Incidence on Wine Quality. Appl. Microbiol. Biotechnol. 2015, 99, 1911–1922. [Google Scholar] [CrossRef]
- Linderholm, A.L.; Findleton, C.L.; Kumar, G.; Hong, Y.; Bisson, L.F. Identification of Genes Affecting Hydrogen Sulfide Formation in Saccharomyces cerevisiae. Appl. Environ. Microbiol. 2008, 74, 1418–1427. [Google Scholar] [CrossRef]
- Spadaro, D.; Ciavorella, A.; Dianpeng, Z.; Garibaldi, A.; Gullino, M.L. Effect of Culture Media and pH on the Biomass Production and Biocontrol Efficacy of a Metschnikowia pulcherrima Strain to Be Used as a Biofungicide for Postharvest Disease Control. Can. J. Microbiol. 2010, 56, 128–137. [Google Scholar] [CrossRef]
- Fugelsang, C.; Edwards, G.C. Media Preparation and Culture Techniques. In Wine Microbiology, Practical Applications and Procedures; Springer: Boston, MA, USA, 2007. [Google Scholar]
- Di Francesco, A.; Roberti, R.; Martini, C.; Baraldi, E.; Mari, M. Activities of Aureobasidium Pullulans Cell Filtrates against Monilinia Laxa of Peaches. Microbiol. Res. 2015, 181, 61–67. [Google Scholar] [CrossRef]
- Ruiz-Moyano, S.; Hernández, A.; Galvan, A.I.; Córdoba, M.G.; Casquete, R.; Serradilla, M.J.; Martín, A. Selection and Application of Antifungal VOCs-Producing Yeasts as Biocontrol Agents of Grey Mould in Fruits. Food Microbiol. 2020, 92, 103556. [Google Scholar] [CrossRef]
- La Penna, M.; Nesci, A.; Etcheverry, M. In Vitro Studies on the Potential for Biological Control on Aspergillus Section Flavi by Kluyveromyces spp. Lett. Appl. Microbiol. 2004, 38, 257–264. [Google Scholar] [CrossRef] [PubMed]
- Wilson, M.; Lindow, S.E. Ecological Similarity and Coexistence of Epiphytic Ice-Nucleating (Ice+) Pseudomonas Syringae Strains and a Non-Ice-Nucleating (Ice−) Biological Control Agent. Appl. Environ. Microbiol. 1994, 60, 3128–3137. [Google Scholar] [CrossRef] [PubMed]
- Asselbergh, B.; Curvers, K.; França, S.C.; Audenaert, K.; Vuylsteke, M.; Van Breusegem, F.; Höfte, M. Resistance to Botrytis Cinerea in Sitiens, an Abscisic Acid-Deficient Tomato Mutant, Involves Timely Production of Hydrogen Peroxide and Cell Wall Modifications in the Epidermis. Plant Physiol. 2007, 144, 1863–1877. [Google Scholar] [CrossRef] [PubMed]
- Sternad Lemut, M.; Sivilotti, P.; Franceschi, P.; Wehrens, R.; Vrhovsek, U. Use of Metabolic Profiling to Study Grape Skin Polyphenol Behavior as a Result of Canopy Microclimate Manipulation in a ‘Pinot Noir’ Vineyard. J. Agric. Food Chem. 2013, 61, 8976–8986. [Google Scholar] [CrossRef]
- Poni, S.; Bernizzoni, F.; Civardi, S.; Libelli, N. Effects of Pre-Bloom Leaf Removal on Growth of Berry Tissues and Must Composition in Two Red Vitis vinifera L. Cultivars. Aust. J. Grape Wine Res. 2009, 15, 185–193. [Google Scholar] [CrossRef]
- Cañamás, T.P.; Viñas, I.; Torres, R.; Usall, J.; Solsona, C.; Teixidó, N. Field Applications of Improved Formulations of Candida Sake CPA-1 for Control of Botrytis Cinerea in Grapes. Biol. Control 2011, 56, 150–158. [Google Scholar] [CrossRef]
- Normes OEPP (Organisation Européenne et Méditerranéenne Pour La Pro-Tection Des Plantes). Vol II: Directives Pour l’evaluation Biologique Des Produits Phytosanitaires; OEPP: Paris, France, 1997.
- Hoell, I.A.; Vaaje-Kolstad, G.; Eijsink, V.G.H. Structure and Function of Enzymes Acting on Chitin and Chitosan. Biotechnol. Genet. Eng. Rev. 2010, 27, 331–366. [Google Scholar] [CrossRef]
- Kitamura, E.; Kamei, Y. Molecular Cloning, Sequencing and Expression of the Gene Encoding a Novel Chitinase A from a Marine Bacterium, Pseudomonas sp. PE2, and Its Domain Structure. Appl. Microbiol. Biotechnol. 2003, 61, 140–149. [Google Scholar] [CrossRef]
- Sugiprihatini, D.; Wiyono, S.; Widodo, W. Selection of Yeasts Antagonists as Biocontrol Agent of Mango Fruit Rot Caused by Botryodiplodia Theobromae. Microbiol. Indones. 2011, 5, 154–159. [Google Scholar] [CrossRef]
- Khunnamwong, P.; Lertwattanasakul, N.; Jindamorakot, S.; Suwannarach, N.; Matsui, K.; Limtong, S. Evaluation of Antagonistic Activity and Mechanisms of Endophytic Yeasts against Pathogenic Fungi Causing Economic Crop Diseases. Folia Microbiol. 2020, 65, 573–590. [Google Scholar] [CrossRef]
- Sipiczki, M. Metschnikowia pulcherrima and Related Pulcherrimin-Producing Yeasts: Fuzzy Species Boundaries and Complex Antimicrobial Antagonism. Microorganisms 2020, 8, 1029. [Google Scholar] [CrossRef] [PubMed]
- Minguet-Lobato, M.; Cervantes, F.V.; Míguez, N.; Plou, F.J.; Fernández-Lobato, M. Chitinous Material Bioconversion by Three New Chitinases from the Yeast Mestchnikowia Pulcherrima. Microb. Cell Fact. 2024, 23, 31. [Google Scholar] [CrossRef] [PubMed]
- Madbouly, A.K.; Abo Elyousr, K.A.M.; Ismail, I.M. Biocontrol of Monilinia fructigena, Causal Agent of Brown Rot of Apple Fruit, by Using Endophytic Yeasts. Biol. Control 2020, 144, 104239. [Google Scholar] [CrossRef]
- Delali, K.I.; Chen, O.; Wang, W.; Yi, L.; Deng, L.; Zeng, K. Evaluation of Yeast Isolates from Kimchi with Antagonistic Activity against Green Mold in Citrus and Elucidating the Action Mechanisms of Three Yeast: P. kudriavzevii, K. marxianus, and Y. lipolytica. Postharvest Biol. Technol. 2021, 176, 111495. [Google Scholar] [CrossRef]
- Lutz, M.C.; Lopes, C.A.; Rodriguez, M.E.; Sosa, M.C.; Sangorrín, M.P. Efficacy and Putative Mode of Action of Native and Commercial Antagonistic Yeasts against Postharvest Pathogens of Pear. Int. J. Food Microbiol. 2013, 164, 166–172. [Google Scholar] [CrossRef]
- Baek, J.-M.; Howell, C.R.; Kenerley, C.M. The Role of an Extracellular Chitinase from Trichoderma Virens Gv29-8 in the Biocontrol of Rhizoctonia Solani. Curr. Genet. 1999, 35, 41–50. [Google Scholar] [CrossRef]
- Dukariya, G.; Kumar, A. Distribution and Biotechnological Applications of Chitinase: A Review. Int. J. Biochem. Biophys. 2020, 8, 17–29. [Google Scholar] [CrossRef]
- Deng, J.-J.; Shi, D.; Mao, H.; Li, Z.; Liang, S.; Ke, Y.; Luo, X. Heterologous Expression and Characterization of an Antifungal Chitinase (Chit46) from Trichoderma Harzianum GIM 3.442 and Its Application in Colloidal Chitin Conversion. Int. J. Biol. Macromol. 2019, 134, 113–121. [Google Scholar] [CrossRef]
- Dolatabad, H.K.; Javan-Nikkhah, M.; Shier, W.T. Evaluation of Antifungal, Phosphate Solubilisation, and Siderophore and Chitinase Release Activities of Endophytic Fungi from Pistacia Vera. Mycol. Prog. 2017, 16, 777–790. [Google Scholar] [CrossRef]
- Farag, A.M.; Abd-Elnabey, H.M.; Ibrahim, H.A.H.; El-Shenawy, M. Purification, Characterization and Antimicrobial Activity of Chitinase from Marine-Derived Aspergillus Terreus. Egypt. J. Aquat. Res. 2016, 42, 185–192. [Google Scholar] [CrossRef]
- Poria, V.; Rana, A.; Kumari, A.; Grewal, J.; Pranaw, K.; Singh, S. Current Perspectives on Chitinolytic Enzymes and Their Agro-Industrial Applications. Biology 2021, 10, 1319. [Google Scholar] [CrossRef]
- Lorito, M.; Woo, S.L.; Fernandez, I.G.; Colucci, G.; Harman, G.E.; Pintor-Toro, J.A.; Filippone, E.; Muccifora, S.; Lawrence, C.B.; Zoina, A.; et al. Genes from Mycoparasitic Fungi as a Source for Improving Plant Resistance to Fungal Pathogens. Proc. Natl. Acad. Sci. USA 1998, 95, 7860–7865. [Google Scholar] [PubMed]
- Robbins, P.W.; Albright, C.; Benfield, B. Cloning and Expression of a Streptomyces Plicatus Chitinase (Chitinase-63) in Escherichia coli. J. Biol. Chem. 1988, 263, 443–447. [Google Scholar] [CrossRef] [PubMed]
- Felse, P.A.; Panda, T. Production of Microbial Chitinases—A Revisit. Bioprocess Eng. 2000, 23, 127–134. [Google Scholar] [CrossRef]
- Chan, Z.; Tian, S. Interaction of Antagonistic Yeasts against Postharvest Pathogens of Apple Fruit and Possible Mode of Action. Postharvest Biol. Technol. 2005, 36, 215–223. [Google Scholar] [CrossRef]
- Zepeda-Giraud, L.F.; Olicón-Hernandez, D.R.; Martínez-López, C.; Guerra-Sánchez, G. Study of the Action Mode of Wickerhamomyces Anomalus against Colletotrichum Gloeosporioides. J. Agric. Sci. Technol. B 2016, 6, 341–349. [Google Scholar] [CrossRef]
- Wisniewski, M.; Biles, C.; Droby, S.; McLaughlin, R.; Wilson, C.; Chalutz, E. Mode of Action of the Postharvest Biocontrol Yeast, Pichia Guilliermondii. I. Characterization of Attachment to Botrytis Cinerea. Physiol. Mol. Plant Pathol. 1991, 39, 245–258. [Google Scholar] [CrossRef]
- Gao, P.; Sam, F.E.; Zhang, B.; Peng, S.; Li, M.; Wang, J. Enzymatic Characterization of Purified β-Glucosidase from Non-Saccharomyces Yeasts and Application on Chardonnay Aging. Foods 2022, 11, 852. [Google Scholar] [CrossRef]
- Liang, Z.; Fang, Z.; Pai, A.; Luo, J.; Gan, R.; Gao, Y.; Lu, J.; Zhang, P. Glycosidically Bound Aroma Precursors in Fruits: A Comprehensive Review. Crit. Rev. Food Sci. Nutr. 2022, 62, 215–243. [Google Scholar] [CrossRef]
- Wang, Y.; Kang, W.; Xu, Y.; Li, J. Effect of Different Indigenous Yeast β-Glucosidases on the Liberation of Bound Aroma Compounds. J. Inst. Brew. 2011, 117, 230–237. [Google Scholar] [CrossRef]
- Lin, M.M.-H.; Boss, P.K.; Walker, M.E.; Sumby, K.M.; Grbin, P.R.; Jiranek, V. Evaluation of Indigenous Non-Saccharomyces Yeasts Isolated from a South Australian Vineyard for Their Potential as Wine Starter Cultures. Int. J. Food Microbiol. 2020, 312, 108373. [Google Scholar] [CrossRef] [PubMed]
- López-Enríquez, L.; Vila-Crespo, J.; Rodríguez-Nogales, J.M.; Fernández-Fernández, E.; Ruipérez, V. Non-Saccharomyces Yeasts from Organic Vineyards as Spontaneous Fermentation Agents. Foods 2023, 12, 3644. [Google Scholar] [CrossRef] [PubMed]
- Kurtzman, C.P.; Fell, J.W.; Boekhout, T.; Robert, V. Methods for Isolation, Phenotypic Characterization and Maintenance of Yeasts. In The Yeasts; Elsevier: Amsterdam, The Netherlands, 2011; pp. 87–110. [Google Scholar]
- Fia, G.; Giovani, G.; Rosi, I. Study of Beta-Glucosidase Production by Wine-Related Yeasts during Alcoholic Fermentation. A New Rapid Fluorimetric Method to Determine Enzymatic Activity. J. Appl. Microbiol. 2005, 99, 509–517. [Google Scholar] [CrossRef] [PubMed]
- Quatrini, P.; Marineo, S.; Puglia, A.M.; Restuccia, C.; Caggia, C.; Randazzo, C.L.; Barbagallo, R.N.; Palmeri, R.; Giudici, P. Partial Sequencing of the B-Glucosidase-Encoding Gene of Yeast Strains Isolated from Musts and Wines. Ann. Microbiol. 2008, 58, 255–260. [Google Scholar] [CrossRef]
- Zhang, P.; Zhang, R.; Sirisena, S.; Gan, R.; Fang, Z. Beta-Glucosidase Activity of Wine Yeasts and Its Impacts on Wine Volatiles and Phenolics: A Mini-Review. Food Microbiol. 2021, 100, 103859. [Google Scholar] [CrossRef]
- Mateo, J.J.; Di Stefano, R. Description of the β-Glucosidase Activity of Wine Yeasts. Food Microbiol. 1997, 14, 583–591. [Google Scholar] [CrossRef]
- Restuccia, C.; Pulvirenti, A.; Caggia, C.; Giudici, P. A β-Glucosidase Positive Strain of Saccharomyces cerevisiae Isolated from Grape Must. Ann. Microbiol. 2002, 52, 227–234. [Google Scholar]
- Rosi, I.; Vinella, M.; Domizio, P. Characterization of Β-glucosidase Activity in Yeasts of Oenological Origin. J. Appl. Bacteriol. 1994, 77, 519–527. [Google Scholar] [CrossRef]
- Nebreda, A.R.; Villa, T.G.; Villanueva, J.R.; del Rey, F. Cloning of Genes Related to Exo-β-Glucanase Production in Saccharomyces Cerevislae: Characterization of an Exo-β-Glucanase Structural Gene. Gene 1986, 47, 245–259. [Google Scholar] [CrossRef]
- Olivero, I.; Hernandez, L.M.; Larriba, G. Regulation of β-Exoglucanase Activity Production by Saccharomyces cerevisiae in Batch and Continuous Culture. Arch. Microbiol. 1985, 143, 143–146. [Google Scholar] [CrossRef]
- Cid, V.J.; Durán, A.; del Rey, F.; Snyder, M.P.; Nombela, C.; Sánchez, M. Molecular Basis of Cell Integrity and Morphogenesis in Saccharomyces cerevisiae. Microbiol. Rev. 1995, 59, 345–386. [Google Scholar] [CrossRef] [PubMed]
- Alexandre, H.; Guilloux-Benatier, M. Yeast Autolysis in Sparkling Wine—A Review. Aust. J. Grape Wine Res. 2006, 12, 119–127. [Google Scholar] [CrossRef]
- Cosme, F.; Inês, A.; Vilela, A. Microbial and Commercial Enzymes Applied in the Beverage Production Process. Fermentation 2023, 9, 385. [Google Scholar] [CrossRef]
- Kulshreshtha, S.; Sharma, V. Beta-Glucanases: Sources and Production from Fungi. In Microbial Beta Glucanases: Molecular Structure, Functions and Applications; Pradeep, N.S., Edison, L.K., Eds.; Springer Nature: Singapore, 2022; pp. 51–71. [Google Scholar]
- Enrique, M.; Ibáñez, A.; Marcos, J.F.; Yuste, M.; Martínez, M.; Vallés, S.; Manzanares, P. β-Glucanases as a Tool for the Control of Wine Spoilage Yeasts. J. Food Sci. 2010, 75, M41–M45. [Google Scholar] [CrossRef]
- Escott, C.; Loira, I.; Morata, A.; Bañuelos, M.; Suárez-Lepe, J. Wine Spoilage Yeasts: Control Strategy. In Red Wine Technology; IntechOpen: London, UK, 2017. [Google Scholar]
- Arevalo Villena, M.; Ubeda Iranzo, J.F.; Cordero Otero, R.R.; Briones Perez, A.I. Optimization of a Rapid Method for Studying the Cellular Location of Beta-Glucosidase Activity in Wine Yeasts. J. Appl. Microbiol. 2005, 99, 558–564. [Google Scholar] [CrossRef]
- Graf, F.M.R.; Weber, H.E.; Buchhaupt, M. Investigation of Non-Saccharomyces Yeasts with Intracellular β-Glycosidase Activity for Wine Aroma Modification. J. Food Sci. 2022, 87, 4868–4877. [Google Scholar] [CrossRef]
- Padilla, B.; Gil, J.V.; Manzanares, P. Past and Future of Non-Saccharomyces Yeasts: From Spoilage Microorganisms to Biotechnological Tools for Improving Wine Aroma Complexity. Front. Microbiol. 2016, 7, 411. [Google Scholar] [CrossRef]
- Vernocchi, P.; Ndagijimana, M.; Serrazanetti, D.I.; López, C.C.; Fabiani, A.; Gardini, F.; Elisabetta Guerzoni, M.; Lanciotti, R. Use of Saccharomyces cerevisiae Strains Endowed with β-Glucosidase Activity for the Production of Sangiovese Wine. World J. Microbiol. Biotechnol. 2011, 27, 1423–1433. [Google Scholar] [CrossRef]
- Ferreira, A.M.; Clímaco, M.C.; Faia, A.M. The Role of Non-Saccharomyces Species in Releasing Glycosidic Bound Fraction of Grape Aroma Components—A Preliminary Study. J. Appl. Microbiol. 2001, 91, 67–71. [Google Scholar]
- Zhang, W.; Zhuo, X.; Hu, L.; Zhang, X. Effects of Crude β-Glucosidases from Issatchenkia Terricola, Pichia Kudriavzevii, Metschnikowia pulcherrima on the Flavor Complexity and Characteristics of Wines. Microorganisms 2020, 8, 953. [Google Scholar] [CrossRef]
- Charoenchai, C.; Fleet, G.H.; Henschke, P.A.; Todd, B.E.N. Screening of Non-Saccharomyces Wine Yeasts for the Presence of Extracellular Hydrolytic Enzymes. Aust. J. Grape Wine Res. 1997, 3, 2–8. [Google Scholar] [CrossRef]
- Muradova, M.; Proskura, A.; Canon, F.; Aleksandrova, I.; Schwartz, M.; Heydel, J.-M.; Baranenko, D.; Nadtochii, L.; Neiers, F. Unlocking Flavor Potential Using Microbial β-Glucosidases in Food Processing. Foods 2023, 12, 4484. [Google Scholar] [CrossRef] [PubMed]
- Testa, B.; Lombardi, S.J.; Iorizzo, M.; Letizia, F.; Di Martino, C.; Di Renzo, M.; Strollo, D.; Tremonte, P.; Pannella, G.; Ianiro, M.; et al. Use of Strain Hanseniaspora Guilliermondii BF1 for Winemaking Process of White Grapes Vitis vinifera Cv Fiano. Eur. Food Res. Technol. 2020, 246, 549–561. [Google Scholar] [CrossRef]
- Qin, T.; Liao, J.; Zheng, Y.; Zhang, W.; Zhang, X. Oenological Characteristics of Four Non-Saccharomyces Yeast Strains with β-Glycosidase Activity. Front. Microbiol. 2021, 12, 626920. [Google Scholar] [CrossRef]
- Rompkovksi, C.; Agustini, B.C.; Deffert, F.; Stadtlober, M.G.A.; Brand, D.; da Silva, G.A.; Bonfim, T.M.B. Microbial Dynamics in Industrial-Scale Wine Fermentation Employing Hanseniaspora Uvarum β-Glucosidase-Producer Strain. J. Food Sci. Technol. 2022, 59, 1570–1576. [Google Scholar] [CrossRef]
- Roland, A.; Schneider, R.; Charrier, F.; Cavelier, F.; Rossignol, M.; Razungles, A. Distribution of Varietal Thiol Precursors in the Skin and the Pulp of Melon B. and Sauvignon Blanc Grapes. Food Chem. 2011, 125, 139–144. [Google Scholar] [CrossRef]
- Coetzee, C. Wines & Vines—Grape-Derived Fruity Volatile Thiols. Available online: https://winebusinessanalytics.com/sections/printout_article.cfm?content=197002&article=feature (accessed on 20 March 2024).
- Li, H.-K.; Chang, C.-F.; Lin, H.-J.; Lin, J.-L.; Lee, Y.-T.; Wu, Y.-H.; Liu, C.-Y.; Lin, T.-C.; Hsu, P.-H.; Lin, H.-T.V. Conversion of a Thiol Precursor into Aroma Compound 4-Mercapto-4-Methyl-2-Pentanone Using Microbial Cell Extracts. Fermentation 2021, 7, 129. [Google Scholar] [CrossRef]
- Dubourdieu, D.; Tominaga, T.; Masneuf, I.; Peyrot Des Gachons, C.; Murat, M.L. The Role of Yeasts in Grape Flavor Development during Fermentation: The Example of Sauvignon Blanc. Am. J. Enol. Vitic. 2006, 57, 81–88. [Google Scholar] [CrossRef]
- Swiegers, J.H.; Kievit, R.L.; Siebert, T.; Lattey, K.A.; Bramley, B.R.; Francis, I.L.; King, E.S.; Pretorius, I.S. The Influence of Yeast on the Aroma of Sauvignon Blanc Wine. Food Microbiol. 2009, 26, 204–211. [Google Scholar] [CrossRef]
- Cordente, A.G.; Curtin, C.D.; Solomon, M.; Kulcsar, A.C.; Watson, F.; Pisaniello, L.; Schmidt, S.A.; Espinase Nandorfy, D. Modulation of Volatile Thiol Release during Fermentation of Red Musts by Wine Yeast. Processes 2022, 10, 502. [Google Scholar] [CrossRef]
- Breia, R.; Marques, G.; Barbosa, C.; Gerós, H.; Martins, V. Biotechnological Phenomics of Autochthonous Grape Yeasts from Douro Wine Region. Food Biosci. 2025, 73, 107712. [Google Scholar] [CrossRef]
- Bonnaffoux, H.; Roland, A.; Schneider, R.; Cavelier, F. Spotlight on Release Mechanisms of Volatile Thiols in Beverages. Food Chem. 2021, 339, 127628. [Google Scholar] [CrossRef] [PubMed]
- Murat, M.-L.; Masneuf, I.; Darriet, P.; Lavigne, V.; Tominaga, T.; Dubourdieu, D. Effect of Saccharomyces cerevisiae Yeast Strains on the Liberation of Volatile Thiols in Sauvignon Blanc Wine. Am. J. Enol. Vitic. 2001, 52, 136–139. [Google Scholar] [CrossRef]
- Anfang, N.; Brajkovich, M.; Goddard, M.R. Co-Fermentation with Pichia Kluyveri Increases Varietal Thiol Concentrations in Sauvignon Blanc. Aust. J. Grape Wine Res. 2009, 15, 1–8. [Google Scholar] [CrossRef]
- Zott, K.; Thibon, C.; Bely, M.; Lonvaud-Funel, A.; Dubourdieu, D.; Masneuf-Pomarede, I. The Grape Must Non-Saccharomyces Microbial Community: Impact on Volatile Thiol Release. Int. J. Food Microbiol. 2011, 151, 210–215. [Google Scholar] [CrossRef]
- Butinar, L.; Ploj-Jesenko, P.; Antalick, G.; Sternad Lemut, M.; Martelanc, M.; Šuklje, K.; Vanzo, A.; Lisjak, K. The Impact of Non-Saccharomyces Yeasts on the White Wine Quality. In Proceedings of the OENO Macrowine 2023 Book of Abstracts; 679 Bordeaux KEDGE Bussines School: Talance, France, 2023; p. 344. [Google Scholar]
- Swiegers, J.H.; Bartowsky, E.J.; Henschke, P.A.; Pretorius, I.S. Yeast and Bacterial Modulation of Wine Aroma and Flavour. Aust. J. Grape Wine Res. 2005, 11, 139–173. [Google Scholar] [CrossRef]
- Swiegers, J.H.; Pretorius, I.S. Modulation of Volatile Sulfur Compounds by Wine Yeast. Appl. Microbiol. Biotechnol. 2007, 74, 954–960. [Google Scholar] [CrossRef]
- Siebers, T.E.; Walker, M.; Solomon, M.R. Hydrogen Sulfide: Aroma Detection Threshold Study in Red and White Wine. AWRI Tech. Rev. 2009, 138, 14–16. [Google Scholar]
- Siebert, T.E.; Solomon, M.R.; Pollnitz, A.P.; Jeffery, D.W. Selective Determination of Volatile Sulfur Compounds in Wine by Gas Chromatography with Sulfur Chemiluminescence Detection. J. Agric. Food Chem. 2010, 58, 9454–9462. [Google Scholar] [CrossRef]
- Huang, C.-W.; Walker, M.E.; Fedrizzi, B.; Gardner, R.C.; Jiranek, V. Hydrogen Sulfide and Its Roles in Saccharomyces cerevisiae in a Winemaking Context. FEMS Yeast Res. 2017, 17, fox058. [Google Scholar] [CrossRef]
- Hallinan, C.P.; Saul, D.J.; Jiranek, V. Differential Utilisation of Sulfur Compounds for H2S Liberation by Nitrogen-Starved Wine Yeasts. Aust. J. Grape Wine Res. 1999, 5, 82–90. [Google Scholar] [CrossRef]
- Tzamourani, A.P.; Taliadouros, V.; Dimopoulou, M. Developing a Novel Selection Method for Alcoholic Fermentation Starters by Exploring Wine Yeast Microbiota from Greece. Front. Microbiol. 2023, 14, 1301325. [Google Scholar] [CrossRef] [PubMed]
- Ge, X.; Wang, J.; Wang, X.; Liu, Y.; Dang, C.; Suo, R.; Sun, J. Evaluation of Indigenous Yeasts Screened from Chinese Vineyards as Potential Starters for Improving Wine Aroma. Foods 2023, 12, 3073. [Google Scholar] [CrossRef] [PubMed]
- Sipiczki, M.; Romano, P.; Lipani, G.; Miklos, I.; Antunovics, Z. Analysis of Yeasts Derived from Natural Fermentation in a Tokaj Winery. Antonie van Leeuwenhoek 2001, 79, 97–105. [Google Scholar] [CrossRef] [PubMed]
- Cordente, A.G.; Heinrich, A.; Pretorius, I.S.; Swiegers, J.H. Isolation of Sulfite Reductase Variants of a Commercial Wine Yeast with Significantly Reduced Hydrogen Sulfide Production. FEMS Yeast Res. 2009, 9, 446–459. [Google Scholar] [CrossRef]
- Mendes-Ferreira, A.; Mendes-Faia, A.; Leão, C. Survey of Hydrogen Sulphide Production by Wine Yeasts. J. Food Prot. 2002, 65, 1033–1037. [Google Scholar] [CrossRef]
- Nowak, A.; Kusewicz, D.; Kalinowska, H.; Turkiewicz, M.; Patelski, P. Production of H2S and Properties of Sulfite Reductase from Selected Strains of Wine-Producing Yeasts. Eur. Food Res. Technol. 2004, 219, 84–89. [Google Scholar] [CrossRef]
- Castoria, R.; De Curtis, F.; Lima, G.; Caputo, L.; Pacifico, S.; De Cicco, V. Aureobasidium Pullulans (LS-30) an Antagonist of Postharvest Pathogens of Fruits: Study on Its Modes of Action. Postharvest Biol. Technol. 2001, 22, 7–17. [Google Scholar] [CrossRef]
- Maluleke, E.; Jolly, N.P.; Patterton, H.G.; Setati, M.E. Antifungal Activity of Non-Conventional Yeasts against Botrytis Cinerea and Non-Botrytis Grape Bunch Rot Fungi. Front. Microbiol. 2022, 13, 986229. [Google Scholar] [CrossRef]
- Adamo, G.M.; Brocca, S.; Passolunghi, S.; Salvato, B.; Lotti, M. Laboratory Evolution of Copper Tolerant Yeast Strains. Microb. Cell Fact. 2012, 11, 1. [Google Scholar] [CrossRef]
- Bååth, E. Tolerance of Copper by Entomogenous Fungi and the Use of Copper-Amended Media for Isolation of Entomogenous Fungi from Soil. Mycol. Res. 1991, 95, 1140–1142. [Google Scholar] [CrossRef]
- Grangeteau, C.; David, V.; Hervé, A.; Guilloux-Benatier, M.; Rousseaux, S. The Sensitivity of Yeasts and Yeasts-like Fungi to Copper and Sulfur Could Explain Lower Yeast Biodiversity in Organic Vineyards. FEMS Yeast Res. 2017, 17, fox092. [Google Scholar] [CrossRef] [PubMed]
- Vadkertiová, R.; Sláviková, E. Metal Tolerance of Yeasts Isolated from Water, Soil and Plant Environments. J. Basic Microbiol. 2006, 46, 145–152. [Google Scholar] [CrossRef] [PubMed]
- Zhao, Y.; Strope, P.K.; Kozmin, S.G.; McCusker, J.H.; Dietrich, F.S.; Kokoska, R.J.; Petes, T.D. Structures of Naturally Evolved CUP1 Tandem Arrays in Yeast Indicate That These Arrays Are Generated by Unequal Nonhomologous Recombination. G3 2014, 4, 2259–2269. [Google Scholar] [CrossRef] [PubMed]
- Sumby, K.M.; Caliani, N.S.; Jiranek, V. Yeast Diversity in the Vineyard: How It Is Defined, Measured and Influenced by Fungicides. Aust. J. Grape Wine Res. 2021, 27, 169–193. [Google Scholar] [CrossRef]
- Česnik, U. Yeasts as Promising Biocontrol Agents (BCAs) Against Phytopathogenic Fungi in Viticulture. Master’s Thesis, University of Nova Gorica, Nova Gorica, Slovenia, 2019. [Google Scholar]
- Poni, S.; Bernizzoni, F.; Briola, G.; Cenni, A. Effects of Early Leaf Removal on Cluster Morphology, Shoot Efficiency and Grape Quality in Two Vitis vinifera Cultivars. Acta Hortic. 2005, 689, 217–226. [Google Scholar] [CrossRef]
- Sternad Lemut, M.; Butinar, L.; Rowland, A.; Česnik, U.; Jug, T.; Sivilotti, P.; Vrhovšek, U. Facilitating Green Care Improvements in Viticulture. In Proceedings of the June 5th World Environment Day; University of Bihać, Bosnia and Hercegovina: Bihać, Bosnia and Hercegovina, 2018; Volume 6, pp. 1–12. [Google Scholar]
- Molitor, D.; Rothmeier, M.; Behr, M.; Fischer, S.; Hoffmann, L.; Evers, D. Crop Cultural and Chemical Methods to Control Grey Mould on Grapes. Vitis 2011, 50, 81–87. [Google Scholar]
- VanderWeide, J.; Frioni, T.; Ma, Z.; Stoll, M.; Poni, S.; Sabbatini, P. Early Leaf Removal as a Strategy to Improve Ripening and Lower Cluster Rot in Cool Climate (Vitis vinifera L.) Pinot Grigio. Am. J. Enol. Vitic. 2020, 71, 70–79. [Google Scholar] [CrossRef]
- Mosetti, D.; Herrera, J.C.; Sabbatini, P.; Green, A.; Alberti, G.; Peterlunger, E.; Lisjak, K.; Castellarin, S.D. Impact of Leaf Removal after Berry Set on Fruit Composition and Bunch Rot in “Sauvignon Blanc.”. Vitis 2016, 55, 57–64. [Google Scholar] [CrossRef]
- Acimovic, D.; Tozzini, L.; Green, A.; Sivilotti, P.; Sabbatini, P. Identification of a Defoliation Severity Threshold for Changing Fruitset, Bunch Morphology and Fruit Composition in Pinot Noir: Early Defoliation Threshold in Winegrapes. Aust. J. Grape Wine Res. 2016, 22, 399–408. [Google Scholar] [CrossRef]
- Sternad Lemut, M.; Paolo, S.; Šuklje, K.; Janež, L.; Lisjak, K. Early Leaf Removal: Influence on Quality Parameters of Pinela and Pinot Gris Grapevine Cultivars. In Proceedings of the Vinarski Dan Symposium; Kmetijski Inštitut Slovenije: Ljubljana, Slovenia, 2011; pp. 135–144. [Google Scholar]
- Palliotti, A.; Tombesi, S.; Frioni, T.; Famiani, F.; Silvestroni, O.; Zamboni, M.; Poni, S. Morpho-Structural and Physiological Response of Container-Grown Sangiovese and Montepulciano Cvv. (Vitis vinifera) to Re-Watering after a Pre-Veraison Limiting Water Deficit. Funct. Plant Biol. 2014, 41, 634–647. [Google Scholar] [CrossRef]
- Pastore, C.; Allegro, G.; Valentini, G.; Muzzi, E.; Filippetti, I. Anthocyanin and Flavonol Composition Response to Veraison Leaf Removal on Cabernet Sauvignon, Nero d’Avola, Raboso Piave and Sangiovese Vitis vinifera L. Cultivars. Sci. Hortic. 2017, 218, 147–155. [Google Scholar] [CrossRef]










| Yeast Species | n | Ch | GHA | GHC | GHE | GHS | GH4-MUG | βL | H2S |
|---|---|---|---|---|---|---|---|---|---|
| A. pullulans | 1 | − | + | + | + | + | w | + | − |
| B. albus | 1 | + | + | + | + | + | − | + | − |
| C. diversa | 1 | − | + | + | + | + | − | − | − |
| C. oleophila | 1 | − | + | + | + | + | + | − | − |
| C. vini | 1 | − | + | + | + | + | + | − | − |
| C. sake | 1 | − | + | + | + | + | + | + | − |
| C. zemplinina | 1 | − | − | − | − | − | + | − | − |
| D. hansenii | 1 | − | w | + | + | w | + | + | − |
| H. opuntiae | 1 | − | + | w | + | + | + | + | − |
| H. uvarum | 11 | − | + | + | + | + | + | +(9/11)/n.d. | −(8/11)/w/n.d. |
| K. servazzii (S. servazzii) | 2 | − | −/w | −/w | −/w | −/w | +/− | +/− | − |
| K. dobzhanskii | 1 | − | + | + | + | + | + | + | − |
| K. fluxuum | 1 | − | + | + | + | + | + | + | − |
| K. ohmeri | 1 | − | + | + | + | w | + | n.d. | n.d. |
| L. thermotolerans | 8 | − | +(6/8)/v | +(6/8)/w | +(7/8)/w | v | +(7/8)/− | +(6/8)/n.d. | −(5/8)/w |
| M. fructicola | 1 | − | + | + | + | + | + | + | − |
| M. pulcherrima | 2 | −/w | +/w | +/w | + | +/w | +/w | w/n.d. | −/n.d. |
| M. reukaufii | 1 | − | + | + | + | + | + | + | − |
| P. guilliermondii | 2 | + | + | + | + | + | + | + | − |
| P. kluyveri | 3 | − | + | +(2/3)/− | + | +(2/3)/− | v | +(2/3)/n.d. | −(2/3)/n.d. |
| P. kudriavzevii | 3 | −(2/3)/w | +(2/3)/w | + | w(2/3)/+ | + | + | v | −(2/3)/n.d. |
| P. manshurica | 14 | − | +(13/14)/− | +(13/14)/− | +(13/14)/− | +(13/14)/− | +(13/14)/− | +(13/14)/− | v |
| P. membranifaciens | 1 | − | + | + | + | + | + | + | − |
| H. valbyensis | 1 | − | + | + | + | + | n.d. | n.d. | n.d. |
| S. bayanus | 1 | − | − | − | + | − | + | − | w |
| S. cerevisiae | 17 | − | +(16/17)/w | +(16/17)/w | +(15/17)/w | +(15/17)/w | +(16/17)/w | +(16/17)/w | −(16/17)/w |
| S. kudriavzevii | 7 | − | + | + | + | + | + | + | − |
| S. paradoxus | 21 | − | +(20/21)/w | +(20/21)/w | +(20/21)/w | +(20/21)/w | +(20/21)/w | +(20/21)/− | − |
| T. delbrueckii | 7 | − | +(6/7)/− | +(6/7)/w | +(6/7)/w | +(6/7)/w | + | + | − |
| W. anomalus | 1 | + | + | + | + | + | + | n.d. | n.d. |
Disclaimer/Publisher’s Note: The statements, opinions and data contained in all publications are solely those of the individual author(s) and contributor(s) and not of MDPI and/or the editor(s). MDPI and/or the editor(s) disclaim responsibility for any injury to people or property resulting from any ideas, methods, instructions or products referred to in the content. |
© 2026 by the authors. Licensee MDPI, Basel, Switzerland. This article is an open access article distributed under the terms and conditions of the Creative Commons Attribution (CC BY) license.
Share and Cite
Adesida, R.A.; Reščič, J.; Butinar, L.; Sternad Lemut, M. Harnessing the Enzymatic Potential of Indigenous Yeast Strains: Screening and Evaluation for Biocontrol and Oenological Advancements. Microorganisms 2026, 14, 705. https://doi.org/10.3390/microorganisms14030705
Adesida RA, Reščič J, Butinar L, Sternad Lemut M. Harnessing the Enzymatic Potential of Indigenous Yeast Strains: Screening and Evaluation for Biocontrol and Oenological Advancements. Microorganisms. 2026; 14(3):705. https://doi.org/10.3390/microorganisms14030705
Chicago/Turabian StyleAdesida, Rowland Adetayo, Jan Reščič, Lorena Butinar, and Melita Sternad Lemut. 2026. "Harnessing the Enzymatic Potential of Indigenous Yeast Strains: Screening and Evaluation for Biocontrol and Oenological Advancements" Microorganisms 14, no. 3: 705. https://doi.org/10.3390/microorganisms14030705
APA StyleAdesida, R. A., Reščič, J., Butinar, L., & Sternad Lemut, M. (2026). Harnessing the Enzymatic Potential of Indigenous Yeast Strains: Screening and Evaluation for Biocontrol and Oenological Advancements. Microorganisms, 14(3), 705. https://doi.org/10.3390/microorganisms14030705

