Common Serum Biomarkers and Combination Ratios in the Diagnosis of Periprosthetic Joint Infection Following Total Hip Arthroplasty
Abstract
1. Introduction
2. Materials and Methods
2.1. Patients
2.2. Measurements
2.3. Data Analyses
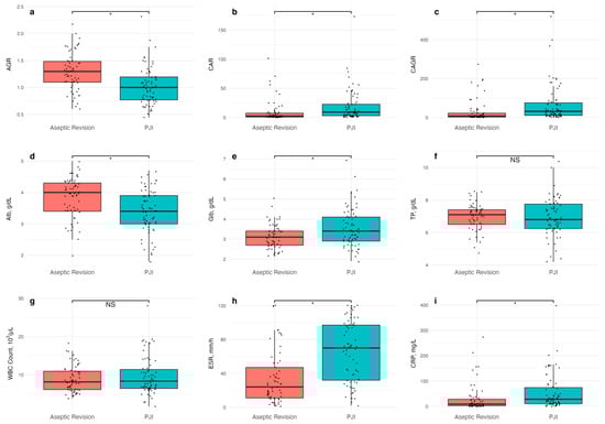
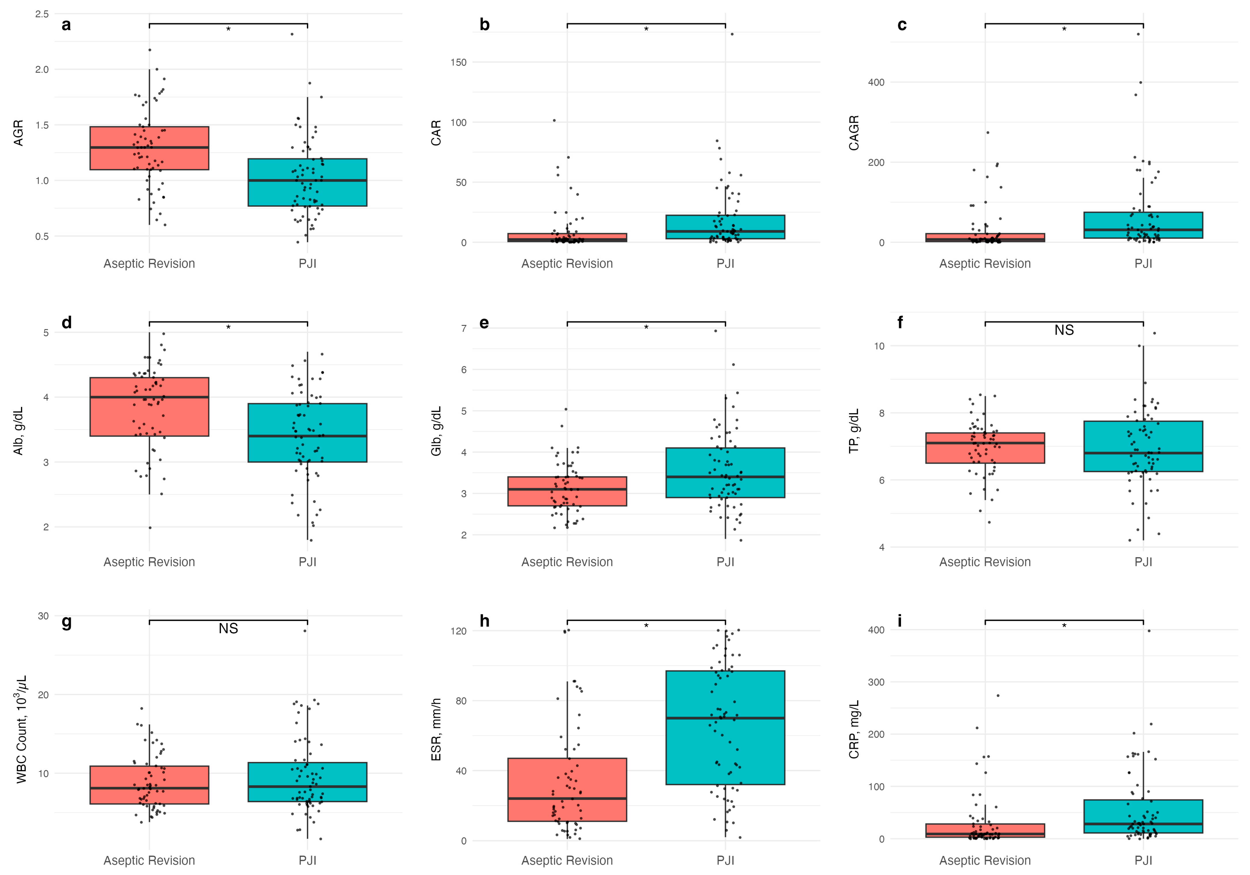
3. Results
3.1. Demographics, Clinical Characteristics, and Serum Biomarker Values
3.2. Accuracy of Single Serum Biomarkers in the Diagnosis of Periprosthetic Joint Infection
3.3. Accuracy of Combination Serum Biomarker Ratios in the Diagnosis of Periprosthetic Joint Infection
4. Discussion
5. Conclusions
Author Contributions
Funding
Institutional Review Board Statement
Informed Consent Statement
Data Availability Statement
Conflicts of Interest
References
- Gehrke, T.; Alijanipour, P.; Parvizi, J. The management of an infected total knee arthroplasty. Bone Jt. J. 2015, 97-B, 20–29. [Google Scholar] [CrossRef] [PubMed]
- Premkumar, A.; Kolin, D.A.; Farley, K.X.; Wilson, J.M.; McLawhorn, A.S.; Cross, M.B.; Sculco, P.K. Projected Economic Burden of Periprosthetic Joint Infection of the Hip and Knee in the United States. J. Arthroplast. 2021, 36, 1484–1489.e3. [Google Scholar] [CrossRef]
- Parvizi, J.; Pawasarat, I.M.; Azzam, K.A.; Joshi, A.; Hansen, E.N.; Bozic, K.J. Periprosthetic joint infection: The economic impact of methicillin-resistant infections. J. Arthroplast. 2010, 25, 103–107. [Google Scholar] [CrossRef]
- Parvizi, J.; Tan, T.L.; Goswami, K.; Higuera, C.; Della Valle, C.; Chen, A.F.; Shohat, N. The 2018 Definition of Periprosthetic Hip and Knee Infection: An Evidence-Based and Validated Criteria. J Arthroplast. 2018, 33, 1309–1314.e2. [Google Scholar] [CrossRef]
- Partridge, D.G.; Winnard, C.; Townsend, R.; Cooper, R.; Stockley, I. Joint aspiration, including culture of reaspirated saline after a ‘dry tap’, is sensitive and specific for the diagnosis of hip and knee prosthetic joint infection. Bone Jt. J. 2018, 100-B, 749–754. [Google Scholar] [CrossRef]
- Han, X.; Xie, K.; Jiang, X.; Wang, L.; Wu, H.; Qu, X.; Yan, M. Synovial fluid α-defensin in the diagnosis of periprosthetic joint infection: The lateral flow test is an effective intraoperative detection method. J. Orthop. Surg. Res. 2019, 14, 274. [Google Scholar] [CrossRef]
- Shih, L.Y.; Wu, J.J.; Yang, D.J. Erythrocyte sedimentation rate and C-reactive protein values in patients with total hip arthroplasty. Clin. Orthop. Relat. Res. 1987, 238–246. [Google Scholar] [CrossRef]
- Choe, H.; Kobayashi, N.; Abe, K.; Hieda, Y.; Tezuka, T.; Inaba, Y. Evaluation of Serum Albumin and Globulin in Combination With C-Reactive Protein Improves Serum Diagnostic Accuracy for Low-Grade Periprosthetic Joint Infection. J. Arthroplast. 2023, 38, 555–561. [Google Scholar] [CrossRef] [PubMed]
- Busher, J.T. Serum Albumin and Globulin. In Clinical Methods: The History, Physical, and Laboratory Examinations, 3rd ed.; Walker, H.K., Hall, W.D., Hurst, J.W., Eds.; Butterworths: Boston, MA, USA, 1990; Chapter 101. [Google Scholar]
- Tanaka, T.; Narazaki, M.; Kishimoto, T. IL-6 in inflammation, immunity, and disease. Cold Spring Harb. Perspect. Biol. 2014, 6, a016295. [Google Scholar] [CrossRef]
- Wang, H.; Zhou, H.; Jiang, R.; Qian, Z.; Wang, F.; Cao, L. Globulin, the albumin-to-globulin ratio, and fibrinogen perform well in the diagnosis of periprosthetic joint infection. BMC Musculoskelet. Disord. 2021, 22, 583. [Google Scholar] [CrossRef] [PubMed]
- Ji, W.; Liu, Z.; Lin, T. Diagnostic value of albumin/fibrinogen ratio and C-reactive protein/albumin/globulin ratio for periprosthetic joint infection: A retrospective study. PeerJ 2023, 11, e16662. [Google Scholar] [CrossRef]
- Quinlan, N.D.; Jennings, J.M. Joint aspiration for diagnosis of chronic periprosthetic joint infection: When, how, and what tests? Arthroplasty 2023, 5, 43. [Google Scholar] [CrossRef]
- Di Cesare, P.E.; Chang, E.; Preston, C.F.; Liu, C. Serum Interleukin-6 as a Marker of Periprosthetic Infection Following Total Hip and Knee Arthroplasty. J. Bone Jt. Surg. Am. 2005, 87, 1921–1927. [Google Scholar] [CrossRef]
- Jacovides, C.L.; Parvizi, J.; Adeli, B.; Jung, K.A. Molecular markers for diagnosis of periprosthetic joint infection. J. Arthroplast. 2011, 26, 99–103.e1. [Google Scholar] [CrossRef] [PubMed]
- Berbari, E.; Mabry, T.; Tsaras, G.; Spangehl, M.; Erwin, P.J.; Murad, M.H.; Osmon, D. Inflammatory blood laboratory levels as markers of prosthetic joint infection: A systematic review and meta-analysis. J. Bone Jt. Surg. Am. 2010, 92, 2102–2109. [Google Scholar] [CrossRef]
- Deirmengian, C.; Hallab, N.; Tarabishy, A.; Valle, C.D.; Jacobs, J.J.; Lonner, J.; Booth, R.E., Jr. Synovial Fluid Biomarkers for Periprosthetic Infection. Clin. Orthop. Relat. Res. 2010, 468, 2017–2023. [Google Scholar] [CrossRef]
- Hosmer, D.W.; Lemeshow, S. Applied Logistic Regression, 2nd ed.; Wiley: New York, NY, USA, 2000; pp. 1–408. [Google Scholar]
- R: The R Project for Statistical Computing. Available online: www.r-project.org (accessed on 12 May 2025).
- Youden, W.J. Index for rating diagnostic tests. Cancer 1950, 3, 32–35. [Google Scholar] [CrossRef]
- Parvizi, J.; Gehrke, T.; International Consensus Group on Periprosthetic Joint Infection. Definition of periprosthetic joint infection. J. Arthroplast. 2014, 29, 1331. [Google Scholar] [CrossRef] [PubMed]
- Workgroup Convened by the Musculoskeletal Infection Society. New definition for periprosthetic joint infection. J. Arthroplast. 2011, 26, 1136–1138. [Google Scholar] [CrossRef]
- Nam, J.H.; Cho, M.R.; Lee, S.H.; Song, S.-K.; Choi, W.-K. C-reactive protein course after classical complication free total knee arthroplasty using navigation. Knee Surg. Relat. Res. 2020, 32, 56. [Google Scholar] [CrossRef] [PubMed]
- Dong, M.; Wang, Y.; Fan, H.; Yang, D.; Wang, R.; Feng, Y. The Albumin to Globulin Ratio Performs Well for Diagnosing Periprosthetic Joint Infection: A Single-Center Retrospective Study. J. Arthroplast. 2024, 39, 229–235.e4. [Google Scholar] [CrossRef] [PubMed]
- Le, D.H.; Dayan, J.M.; Sarfraz, A.; Schwarzkopf, R.; Aggarwal, V.; Dayan, A.J. CReactive Protein Combination Ratios Outperform the Albumin Globulin Ratio in Diagnosing Periprosthetic Joint Infection After Total Knee Arthroplasty. J. Arthroplast. 2025. ahead of print. [Google Scholar] [CrossRef]
- Preobrazhensky, P.; Bozhkova, S.; Kochish, A.; Tikhilov, R.; Kazemirsky, A. Comparative analysis of pathogen structure in patients with PJI after primary total hip and knee arthroplasty. Arch. Orthop. Traum. Surg. 2021, 141, 1963–1969. [Google Scholar] [CrossRef] [PubMed]
- Fröschen, F.S.; Randau, T.M.; Franz, A.; Molitor, E.; Hischebeth, G.T.R. Microbiological Profiles of Patients with Periprosthetic Joint Infection of the Hip or Knee. Diagnostics 2022, 12, 1654. [Google Scholar] [CrossRef]
- Villa, J.M.; Pannu, T.S.; Theeb, I.; Buttaro, M.A.; Oñativia, J.I.; Carbo, L.; Kendoff, D.O. International Organism Profile of Periprosthetic Total Hip and Knee Infections. J. Arthroplast. 2021, 36, 274–278. [Google Scholar] [CrossRef]
- França, A.; Gaio, V.; Lopes, N.; Melo, L.D.R. Virulence Factors in Coagulase-Negative Staphylococci. Pathogens 2021, 10, 170. [Google Scholar] [CrossRef]
- Heilmann, C.; Ziebuhr, W.; Becker, K. Are coagulase-negative staphylococci virulent? Clin. Microbiol. Infect. 2019, 25, 1071–1080. [Google Scholar] [CrossRef]
- Cerca, N.; Jefferson, K.K.; Oliveira, R.; Pier, G.B.; Azeredo, J. Comparative Antibody-Mediated Phagocytosis of Staphylococcus epidermidis Cells Grown in a Biofilm or in the Planktonic State. Infect. Immun. 2006, 74, 4849–4855, Erratum in Infect. Immun. 2006, 74, 10. [Google Scholar] [CrossRef]
- Cerca, N.; Martins, S.; Cerca, F.; Jefferson, K.K.; Pier, G.B.; Oliveira, R.; Azeredo, J. Comparative assessment of antibiotic susceptibility of coagulase-negative staphylococci in biofilm versus planktonic culture as assessed by bacterial enumeration or rapid XTT colorimetry. J. Antimicrob. Chemother. 2005, 56, 331–336. [Google Scholar] [CrossRef] [PubMed]
- Seng, R.; Kitti, T.; Thummeepak, R.; Kongthai, P.; Leungtongkam, U.; Wannalerdsakun, S.; Sitthisak, S. Biofilm formation of methicillin-resistant coagulase negative staphylococci (MR-CoNS) isolated from community and hospital environments. PLoS ONE 2017, 12, e0184172. [Google Scholar] [CrossRef]
- König, C.; Schwank, S.; Blaser, J. Factors compromising antibiotic activity against biofilms of Staphylococcus epidermidis. Eur. J. Clin. Microbiol. Infect. Dis. 2001, 20, 20–26. [Google Scholar] [CrossRef] [PubMed]
- Bogut, A.; Niedźwiadek, J.; Kozioł-Montewka, M.; Strzelec-Nowak, D.; Blacha, J.; Mazurkiewicz, T.; Plewik, D. Characterization of Staphylococcus epidermidis and Staphyloccocus warneri small-colony variants associated with prosthetic-joint infections. J. Med. Microbiol. 2014, 63, 176–185. [Google Scholar] [CrossRef] [PubMed]



| Group | PJI (n = 67) | Aseptic Revisions (n = 61) | p-Value (Wilcoxon) |
|---|---|---|---|
| BMI (Range) | 30.8 (18–57) | 28.7 (18–52) | 0.052 |
| Age (Range) | 62.5 (29–85) | 66.1 (24–90) | 0.009 |
| Female (%) | 34.3% | 54.0% | 0.038 |
| Race (%) | 0.559 | ||
| White | 73% | 74% | |
| African American (Black) | 13% | 7% | |
| Other Race | 13% | 17% | |
| Patient Refused | N/A | 2% | |
| Smoking Status (%) | 0.438 | ||
| Never Smoker | 42% | 51% | |
| Former Smoker | 45% | 36% | |
| Current Smoker | 13% | 13% | |
| Serum Laboratory Data | PJI | Aseptic Revisions | p-Value (Student’s t-Test) |
|---|---|---|---|
| Inflammatory Markers | |||
| WBC Count, 103/µL | 9.64 (4.91) | 8.83 (3.41) | 0.279 |
| CRP, mg/L | 55.6 (70.5) | 31.02 (54.87) | <0.05 |
| ESR, mm/h | 65.3 (35.3) | 34.51 (31.73) | <0.0001 |
| Immune Markers | |||
| Alb, g/dL | 3.4 (0.69) | 3.87 (0.63) | <0.05 |
| Glb, g/dL | 3.55 (0.95) | 3.12 (0.61) | <0.05 |
| TP, g/dL | 6.95 (1.17) | 6.99 (0.79) | 0.807 |
| Combination Ratios | |||
| AGR | 1.02 (0.35) | 1.29 (0.35) | <0.0001 |
| CAR | 19.1 (27.7) | 9.96 (19.5) | <0.05 |
| CAGR | 68.6 (99.3) | 31.9 (58.7) | <0.05 |
| Diagnostic Accuracy | AUC | Cutoff | Sensitivity | Specificity | PPV | NPV |
|---|---|---|---|---|---|---|
| Inflammatory Markers | ||||||
| WBC Count (103/µL) | 0.53 (0.43–0.63) | 16.3 a | 0.13 (0.04–0.22) | 0.98 (0.82–1.00) | 0.90 (0.60–0.98) | 0.51 (0.56–0.60) |
| CRP (mg/L) | 0.69 (0.60–0.79) | 10.5 a | 0.76 (0.52–0.87) | 0.59 (0.38–0.72) | 0.67 (0.56–0.77) | 0.69 (0.56–0.80) |
| 6 b | 0.90 (0.80–0.95) | 0.34 (0.24–0.47) | 0.60 (0.50–0.69) | 0.75 (0.50–0.69) | ||
| 10 c | 0.76 (0.65–0.85) | 0.56 (0.43–0.67) | 0.65 (0.54–0.75) | 0.68 (0.54–0.79) | ||
| ESR (mm/h) | 0.75 (0.67–0.84) | 41.0 a | 0.70 (0.51–0.82) | 0.72 (0.52–0.84) | 0.72 (0.62–0.83) | 0.69 (0.57–0.79) |
| 30 c | 0.79 (0.68–0.87) | 0.57 (0.45–0.69) | 0.67 (0.56–0.76) | 0.71 (0.58–0.82) | ||
| Immune Markers | ||||||
| Alb (g/dL) | 0.69 (0.60–0.79) | 3.80 a | 0.69 (0.47–0.83) | 0.64 (0.46–0.76) | 0.35 (0.24–0.48) | 0.32 (0.22–0.44) |
| Glb (g/dL) | 0.63 (0.54–0.73) | 3.75 a | 0.34 (0.19–0.48) | 0.87 (0.69–0.97) | 0.74 (0.57–0.86) | 0.55 (0.45–0.64) |
| TP(g/dL) | 0.53 (0.42–0.63) | 6.95 a | 0.55 (0.37–0.66) | 0.61 (0.23–0.75) | 0.45 (0.33–0.57) | 0.39 (0.28–0.52) |
| Combination Ratios | ||||||
| 1 | 0.35 (0.25–0.48) | 0.26 (0.17–0.38) | 0.35 (0.25–0.47) | 0.27 (0.17–0.40) | ||
| AGR | 0.72 (0.64–0.81) | 1.1 a | 0.64 (0.39–0.76) | 0.75 (0.56–0.85) | 0.34 (0.24–0.46) | 0.26 (0.16–0.38) |
| 1.2 b | 0.25 (0.16–0.37) | 0.39 (0.28–0.52) | 0.31 (0.21–0.45) | 0.32 (0.23–0.44) | ||
| CAR | 0.70 (0.61–0.79) | 3.37 a | 0.73 (0.51–0.85) | 0.64 (0.44–0.75) | 0.69 (0.58–0.79) | 0.68 (0.56–0.79) |
| CAGR | 0.71 (0.62–0.80) | 10.9 a | 0.75 (0.49–0.87) | 0.66 (0.46–0.77) | 0.70 (0.59–0.80) | 0.70 (0.57–0.80) |
Disclaimer/Publisher’s Note: The statements, opinions and data contained in all publications are solely those of the individual author(s) and contributor(s) and not of MDPI and/or the editor(s). MDPI and/or the editor(s) disclaim responsibility for any injury to people or property resulting from any ideas, methods, instructions or products referred to in the content. |
© 2026 by the authors. Licensee MDPI, Basel, Switzerland. This article is an open access article distributed under the terms and conditions of the Creative Commons Attribution (CC BY) license.
Share and Cite
Dayan, J.M.; Le, D.H.; Sarfraz, A.; Treuheim, T.D.P.v.; Khury, F.; Yassin, S.; Aggarwal, V.K.; Schwarzkopf, R.; Dayan, A.J. Common Serum Biomarkers and Combination Ratios in the Diagnosis of Periprosthetic Joint Infection Following Total Hip Arthroplasty. Microorganisms 2026, 14, 461. https://doi.org/10.3390/microorganisms14020461
Dayan JM, Le DH, Sarfraz A, Treuheim TDPv, Khury F, Yassin S, Aggarwal VK, Schwarzkopf R, Dayan AJ. Common Serum Biomarkers and Combination Ratios in the Diagnosis of Periprosthetic Joint Infection Following Total Hip Arthroplasty. Microorganisms. 2026; 14(2):461. https://doi.org/10.3390/microorganisms14020461
Chicago/Turabian StyleDayan, Jason M., Don H. Le, Anzar Sarfraz, Theodor Di Pauli von Treuheim, Farouk Khury, Sallie Yassin, Vinay K. Aggarwal, Ran Schwarzkopf, and Alan J. Dayan. 2026. "Common Serum Biomarkers and Combination Ratios in the Diagnosis of Periprosthetic Joint Infection Following Total Hip Arthroplasty" Microorganisms 14, no. 2: 461. https://doi.org/10.3390/microorganisms14020461
APA StyleDayan, J. M., Le, D. H., Sarfraz, A., Treuheim, T. D. P. v., Khury, F., Yassin, S., Aggarwal, V. K., Schwarzkopf, R., & Dayan, A. J. (2026). Common Serum Biomarkers and Combination Ratios in the Diagnosis of Periprosthetic Joint Infection Following Total Hip Arthroplasty. Microorganisms, 14(2), 461. https://doi.org/10.3390/microorganisms14020461

