Bacterial Community Structure and Environmental Adaptation in the Endorhizosphere and Rhizosphere Soils of Aeluropus sinensis from Saline Lands Across Coastal and Inland Regions of China
Abstract
1. Introduction
2. Materials and Methods
2.1. Sampling Sites
2.2. Soil Sample Collection
2.3. Physical and Chemical Property Measurements
2.4. Extraction and Sequencing of Soil Total DNA
2.5. Data Analysis
2.6. Isolation, Purification and Identification of Salt-Tolerant Bacteria in Rh
2.7. Maize Cultivation and Physicochemical Indicators Determination
3. Results
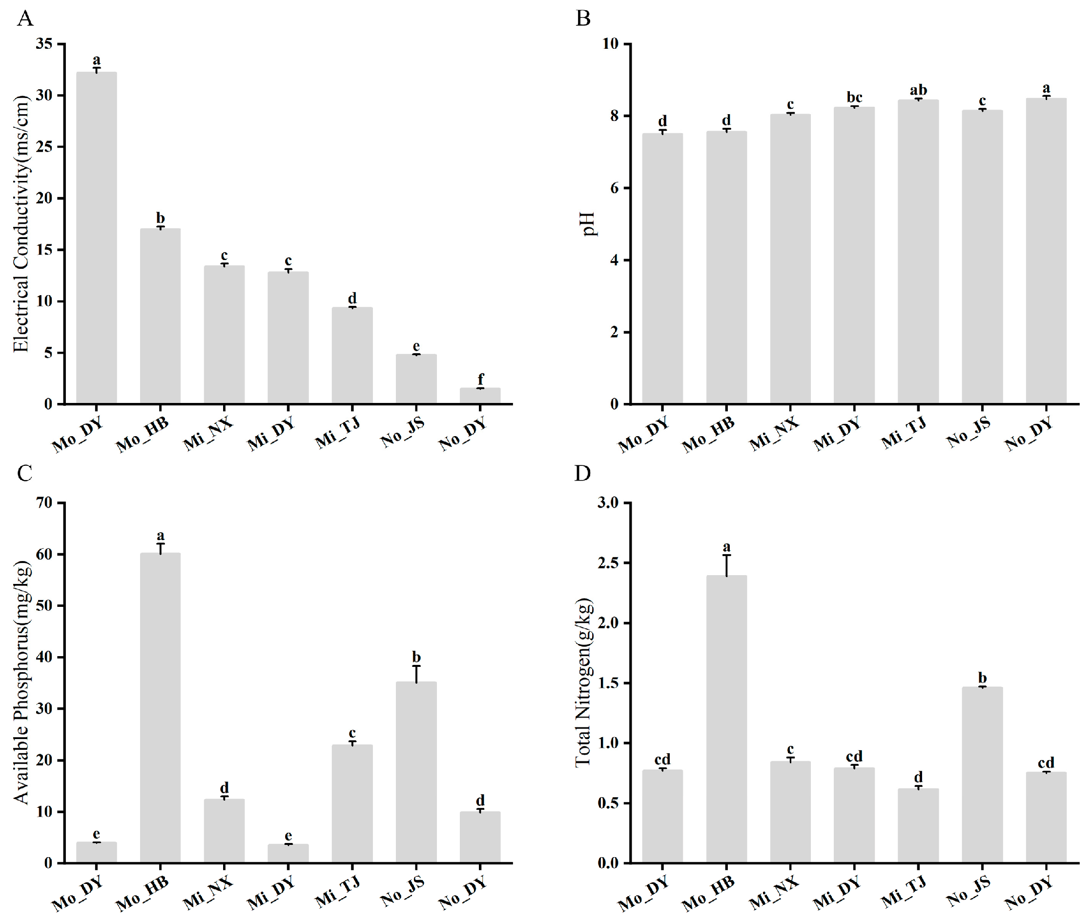
3.1. Environmental Variables of Sampling Sites
3.2. Bacterial Community Composition and Structure of Endorhizal Tissue and Rhizosphere Soil
3.3. Associations Between Bacterial Communities and Environmental Factors
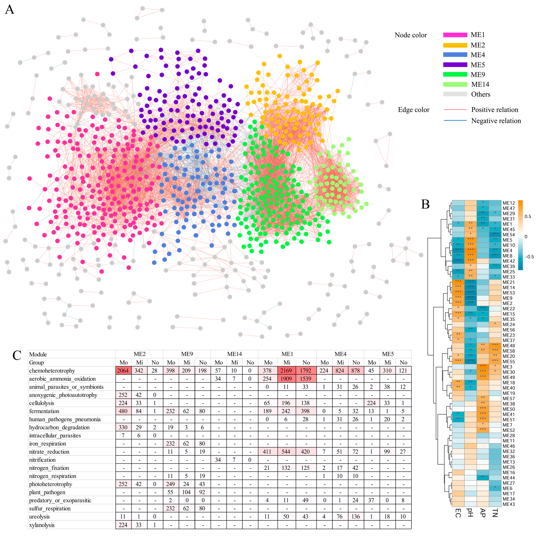
3.4. Co-Occurrence Network Analysis of Bacterial Communities in the Medium-Salinity Soil
3.5. Isolation of Salt-Tolerant Bacterial Strains and Irrigation Experiments on Maize
4. Discussion
4.1. Diversity of Soil Physicochemical Properties
4.2. Bacterial Composition and Diversity Differences in Rhizosphere Soil
4.3. Differences in the Composition of Rhizosphere and Endorhizosphere Bacterial Communities and Their Influencing Factors
4.4. The Co-Occurrence Patterns of A. sinensis Rhizosphere Microbiome
4.5. Isolation of Salt-Tolerant Rhizosphere Bacteria from A. sinensis
5. Conclusions
Supplementary Materials
Author Contributions
Funding
Institutional Review Board Statement
Informed Consent Statement
Data Availability Statement
Acknowledgments
Conflicts of Interest
References
- Liu, J.; Zhao, X.; Niu, Y.; Ren, Y.; Wang, M.; Han, B.; Wang, C.; Ma, H. Plant growth-promoting rhizobacteria Halomonas alkaliantarcticae M23 promotes the salt-tolerance of maize by increasing the K+/Na+ ratio, antioxidant levels, and ABA levels and changing the rhizosphere bacterial community. BMC Plant Biol. 2025, 25, 727. [Google Scholar] [CrossRef]
- Lareen, A.; Burton, F.; Schäfer, P. Plant root-microbe communication in shaping root microbiomes. Plant Mol. Biol. 2016, 90, 575–587. [Google Scholar] [CrossRef]
- Lau, J.A.; Lennon, J.T. Rapid responses of soil microorganisms improve plant fitness in novel environments. Proc. Natl. Acad. Sci. USA 2012, 109, 14058–14062, Erratum in Proc. Natl. Acad. Sci. USA 2021, 118, e2118690118. [Google Scholar] [CrossRef] [PubMed]
- Ding, W.; Liu, J.; Wu, D.; Wang, Y.; Chang, C.; Wang, R. Salinity stress modulates habitat selection in the clonal plant Aeluropus sinensis subjected to crude oil deposition1,2. J. Torrey Bot. Soc. 2011, 138, 262–271. [Google Scholar] [CrossRef]
- Jing, J. Effects of Planting Different Energy Plants on Microorganisms in Saline-Alkali Soil. Doctoral Dissertation, Shandong Normal University, Jinan, China, 2013. [Google Scholar]
- Rathore, A.P.; Chaudhary, D.R.; Jha, B. Seasonal patterns of microbial community structure and enzyme activities in coastal saline soils of perennial halophytes. Land Degrad. Dev. 2017, 28, 1779–1790. [Google Scholar] [CrossRef]
- Kaur, G.; Patel, A.; Dwibedi, V.; Rath, S.K. Harnessing the action mechanisms of microbial endophytes for enhancing plant performance and stress tolerance: Current understanding and future perspectives. Arch. Microbiol. 2023, 205, 303. [Google Scholar] [CrossRef]
- Ercole, T.G.; Bonotto, D.R.; Hungria, M.; Kava, V.M.; Galli, L.V. The role of endophytic bacteria in enhancing plant growth and health for sustainable agriculture. Antonie Van Leeuwenhoek 2025, 118, 88. [Google Scholar] [CrossRef] [PubMed]
- Fan, K.; Cardona, C.; Li, Y.; Shi, Y.; Xiang, X.; Shen, C.; Wang, H.; Gilbert, J.A.; Chu, H. Rhizosphere-associated bacterial network structure and spatial distribution differ significantly from bulk soil in wheat crop fields. Soil Biol. Biochem. 2017, 113, 275–284. [Google Scholar] [CrossRef]
- Huang, C.-L.; Sarkar, R.; Hsu, T.-W.; Yang, C.-F.; Chien, C.-H.; Chang, W.-C.; Chiang, T.-Y. Endophytic microbiome of biofuel plant Miscanthus sinensis (Poaceae) interacts with environmental gradients. Microb. Ecol. 2020, 80, 133–144. [Google Scholar] [CrossRef]
- Patel, J.K.; Agrawal, R.; Sidhdhapara, R. Root associated bacterial endophytes from Poaceae plants: Identification, characterization and plant growth promotion. J. Microbiol. Biotechnol. Food Sci. 2020, 10, 478–483. [Google Scholar] [CrossRef]
- Wemheuer, F.; Kaiser, K.; Karlovsky, P.; Daniel, R.; Vidal, S.; Wemheuer, B. Bacterial endophyte communities of three agricultural important grass species differ in their response towards management regimes. Sci. Rep. 2017, 7, 40914. [Google Scholar] [CrossRef]
- Fouladvand, S.; Soltani, J. Halophytic Bacterial Endophyte Microbiome from Coastal Desert-Adapted Wild Poaceae Alleviates Salinity Stress in the Common Wheat Triticum aestivum L. Curr. Microbiol. 2024, 81, 132. [Google Scholar] [CrossRef]
- Li, Y.; Yang, R.; Häggblom, M.M.; Li, M.; Guo, L.; Li, B.; Kolton, M.; Cao, Z.; Soleimani, M.; Chen, Z. Characterization of diazotrophic root endophytes in Chinese silvergrass (Miscanthus sinensis). Microbiome 2022, 10, 186, Erratum in Microbiome 2022, 10, 232. [Google Scholar] [CrossRef]
- Patel, J.K.; Archana, G. Diverse culturable diazotrophic endophytic bacteria from Poaceae plants show cross-colonization and plant growth promotion in wheat. Plant Soil 2017, 417, 99–116. [Google Scholar] [CrossRef]
- Zhao, K.; Feng, L. Chinese Halophyte Resources; Science Press: Beijing, China, 2001. [Google Scholar]
- Yang, C.; Zhu, F.; Guo, K.; Feng, X.; Liu, X.; Bezemer, T.M. Spatial patterning and species coexistence: A case study using concentric circular vegetation patches in saline land. Sci. Total Environ. 2024, 951, 175483. [Google Scholar] [CrossRef] [PubMed]
- Zhao, Y.; Li, T.; Shao, P.; Sun, J.; Xu, W.; Zhang, Z. Variation in bacterial community structure in rhizosphere and bulk soils of different halophytes in the yellow river delta. Front. Ecol. Evol. 2022, 9, 816918. [Google Scholar] [CrossRef]
- Ding, X.; Jing, R.; Huang, Y. Bacterial structure and diversity of four plantations in the Yellow River Delta by high-throughput sequencing. Sci. Silvae Sin. 2018, 38, 5857–5864. [Google Scholar] [CrossRef]
- Kuang, S.; Dong, Z.; Wang, B.; Wang, H.; Li, J.; Shao, H. Changes of sensitive microbial community in oil polluted soil in the coastal area in Shandong, China for ecorestoration. Ecotoxicol. Environ. Saf. 2021, 207, 111551. [Google Scholar] [CrossRef] [PubMed]
- Li, X.; Dong, J.; Li, P. Rainfall and rainfall time jointly regulate soil carbon mineralization in typical salt marsh wetlands in the Yellow River Delta. Chin. J. Appl. Ecol. 2021, 32, 581–590. [Google Scholar] [CrossRef]
- Yang, C.; Lv, D.; Jiang, S.; Lin, H.; Sun, J.; Li, K.; Sun, J. Soil salinity regulation of soil microbial carbon metabolic function in the Yellow River Delta, China. Sci. Total Environ. 2021, 790, 148258. [Google Scholar] [CrossRef]
- Zhao, H.; Gao, Y.; Zhao, Q. Distribution characteristics of soil dissolved organic carbon in wetlands in the Yellow River Delta under different hydrological conditions. J. Beijing Norm. Univ. (Nat. Sci. Ed.) 2021, 57, 51–58. [Google Scholar] [CrossRef]
- Wang, Z. Chinese Saline Soil; Science Press: Beijing, China, 1993; p. 132. [Google Scholar]
- Hong, B.Y.; Driscoll, M.; Gratalo, D.; Jarvie, T.; Weinstock, G.M. Improved DNA Extraction and Amplification Strategy for 16S rRNA Gene Amplicon-Based Microbiome Studies. Int. J. Mol. Sci. 2024, 25, 2966. [Google Scholar] [CrossRef] [PubMed]
- Ren, F.; Dong, W.; Yan, D.-H. Organs, Cultivars, Soil, and Fruit Properties Affect Structure of Endophytic Mycobiota of Pinggu Peach Trees. Microorganisms 2019, 7, 322. [Google Scholar] [CrossRef]
- Li, H.; La, S.; Zhang, X.; Gao, L.; Tian, Y. Salt-induced recruitment of specific root-associated bacterial consortium capable of enhancing plant adaptability to salt stress. ISME J. 2021, 15, 2865–2882. [Google Scholar] [CrossRef]
- Liu, F.; Mo, X.; Kong, W.; Song, Y. Soil bacterial diversity, structure, and function of Suaeda salsa in rhizosphere and non-rhizosphere soils in various habitats in the Yellow River Delta, China. Sci. Total Environ. 2020, 740, 140144. [Google Scholar] [CrossRef]
- Gonze, D.; Coyte, K.Z.; Lahti, L.; Faust, K. Microbial communities as dynamical systems. Curr. Opin. Microbiol. 2018, 44, 41–49. [Google Scholar] [CrossRef] [PubMed]
- Zhou, Z.; Gao, T.; Zhu, Q.; Yan, T.; Li, D.; Xue, J.; Wu, Y. Increases in bacterial community network complexity induced by biochar-based fertilizer amendments to karst calcareous soil. Geoderma 2019, 337, 691–700. [Google Scholar] [CrossRef]
- Wang, Y.; Guo, D. Response of Soil Fungi Community Structure to Salt Vegetation Succession in the Yellow River Delta. Curr. Microbiol. 2016, 73, 595–601. [Google Scholar] [CrossRef]
- Faust, K.; Raes, J. CoNet app: Inference of biological association networks using Cytoscape. F1000Research 2016, 5, 1519. [Google Scholar] [CrossRef]
- Lima-Mendez, G.; Faust, K.; Henry, N. Ocean plankton. Determinants of community structure in the global plankton interactome. Science 2015, 348, 1262073. [Google Scholar] [CrossRef]
- Ma, B.; Wang, H.; Dsouza, M.; Lou, J.; He, Y.; Dai, Z.; Brookes, P.C.; Xu, J.; Gilbert, J.A. Geographic patterns of co-occurrence network topological features for soil microbiota at continental scale in eastern China. ISME J. 2016, 10, 1891–1901. [Google Scholar] [CrossRef]
- Zhou, L.; Liu, Y.H.; Niu, H.J.; Sun, H.Y.; He, Y.X.; Zhang, X.X.; Zhang, Z.Y.; Huang, Y.L. Isolation and identification of salt-tolerant growth-promoting bacteria capable of remediating secondary salinized soils of greenhouses. Microbiol. China 2024, 51, 3454–3467. [Google Scholar] [CrossRef]
- Haas, B.J.; Gevers, D.; Earl, A.M.; Feldgarden, M.; Ward, D.V.; Giannoukos, G.; Ciulla, D.; Tabbaa, D.; Highlander, S.K.; Sodergren, E. Chimeric 16S rRNA sequence formation and detection in Sanger and 454-pyrosequenced PCR amplicons. Genome Res. 2011, 21, 494–504. [Google Scholar] [CrossRef]
- Liu, P.; Li, M. Plant Physiology Experiment Technology; Science Press: Beijing, China, 2007. [Google Scholar]
- Zhang, Z.; Qu, W. Plant Physiology Experimental Guide; Higher Education Press: Beijing, China, 2003. [Google Scholar]
- Gu, Y.; Wang, J.; Cai, W.; Li, G.; Mei, Y.; Yang, S. Different amounts of nitrogen fertilizer applications alter the bacterial diversity and community structure in the rhizosphere soil of sugarcane. Front. Microbiol. 2021, 12, 721441. [Google Scholar] [CrossRef]
- Zhang, B.-H.; Hong, J.-P.; Zhang, Q.; Jin, D.-S.; Gao, C.-H. Contrast in soil microbial metabolic functional diversity to fertilization and crop rotation under rhizosphere and non-rhizosphere in the coal gangue landfill reclamation area of Loess Hills. PLoS ONE 2020, 15, e0229341. [Google Scholar] [CrossRef]
- Ji, M.; Kong, W.; Yue, L.; Wang, J.; Deng, Y.; Zhu, L. Salinity reduces bacterial diversity, but increases network complexity in Tibetan Plateau lakes. FEMS Microbiol. Ecol. 2019, 95, fiz190. [Google Scholar] [CrossRef]
- Li, X.; Wang, A.; Wan, W.; Luo, X.; Zheng, L.; He, G.; Huang, D.; Chen, W.; Huang, Q. High salinity inhibits soil bacterial community mediating nitrogen cycling. Appl. Environ. Microbiol. 2021, 87, e01366-21. [Google Scholar] [CrossRef]
- Zhao, Q.; Bai, J.; Gao, Y.; Zhao, H.; Zhang, G.; Cui, B. Shifts in the soil bacterial community along a salinity gradient in the Yellow River Delta. Land Degrad. Dev. 2020, 31, 2255–2267. [Google Scholar] [CrossRef]
- Rath, K.M.; Fierer, N.; Murphy, D.V.; Rousk, J. Linking bacterial community composition to soil salinity along environmental gradients. ISME J. 2019, 13, 836–846. [Google Scholar] [CrossRef]
- Rath, K.M.; Rousk, J. Salt effects on the soil microbial decomposer community and their role in organic carbon cycling: A review. Soil Biol. Biochem. 2015, 81, 108–123. [Google Scholar] [CrossRef]
- Berg, G.; Smalla, K. Plant species and soil type cooperatively shape the structure and function of microbial communities in the rhizosphere. FEMS Microbiol. Ecol. 2009, 68, 1–13. [Google Scholar] [CrossRef]
- Ma, Z.; Liu, J.; Wu, N. Effects of deep rotary tillage with organic fertilizer on bacterial community structure and function in maize rhizosphere soil of saline-alkali land. Chin. J. Agrometeorol. 2023, 44, 479. [Google Scholar] [CrossRef]
- Pan, L.; Cao, R.; Jiao, D. Effect of petroleum pollution on composition and diversity of bacterial communities in Phragmites australis rhizosphere. Sci. Soil Water Conserv. 2022, 20, 131–138. [Google Scholar] [CrossRef]
- Yue, H.; Guo, C.; Su, F. Analysis of microbial community structure and diversity in rhizosphere soil under different vegetation types in Liaohe Estuary wetland. Ecol. Environ. Sci. 2025, 34, 222. [Google Scholar] [CrossRef]
- Zhou, Y.; He, Z.; Lin, Q.; Lin, Y.; Long, K.; Xie, Z.; Hu, W. Salt stress affects the bacterial communities in rhizosphere soil of rice. Front. Microbiol. 2024, 15, 1505368. [Google Scholar] [CrossRef]
- Zhou, Z.; Tran, P.Q.; Kieft, K.; Anantharaman, K. Genome diversification in globally distributed novel marine Proteobacteria is linked to environmental adaptation. ISME J. 2020, 14, 2060–2077. [Google Scholar] [CrossRef]
- Mußmann, M.; Pjevac, P.; Krüger, K.; Dyksma, S. Genomic repertoire of the Woeseiaceae/JTB255, cosmopolitan and abundant core members of microbial communities in marine sediments. ISME J. 2017, 11, 1276–1281. [Google Scholar] [CrossRef]
- Garrido-Oter, R.; Nakano, R.T.; Dombrowski, N.; Ma, K.W.; McHardy, A.C.; Schulze-Lefert, P. Modular Traits of the Rhizobiales Root Microbiota and Their Evolutionary Relationship with Symbiotic Rhizobia. Cell Host Microbe 2018, 24, 155–167.e5. [Google Scholar] [CrossRef]
- Siddikee, M.A.; Chauhan, P.S.; Anandham, R. Isolation, characterization, and use for plant growth promotion under salt stress, of ACC deaminase-producing halotolerant bacteria derived from coastal soil. J. Microbiol. Biotechnol. 2010, 20, 1577–1584, Erratum in J. Microbiol. Biotechnol. 2017, 27, 1724. https://doi.org/10.4014/jmb.2017.2709.1724. [Google Scholar] [CrossRef]
- Aslam, F.; Ali, B. Halotolerant bacterial diversity associated with Suaeda fruticosa (L.) forssk. improved growth of maize under salinity stress. Agronomy 2018, 8, 131. [Google Scholar] [CrossRef]
- Pishchik, V.N.; Chizhevskaya, E.P.; Chebotar, V.K.; Mirskaya, G.V.; Khomyakov, Y.V.; Vertebny, V.E.; Kononchuk, P.Y.; Kudryavtcev, D.V.; Bortsova, O.A.; Lapenko, N.G. PGPB Isolated from Drought-Tolerant Plants Help Wheat Plants to Overcome Osmotic Stress. Plants 2024, 13, 3381. [Google Scholar] [CrossRef]
- Wang, Y.; Peng, B.; Zhao, S.; Zhou, J.; Tian, C. Salinity stress reveals keystone metabolites linking rhizosphere metabolomes and microbiomes in Halophyte Suaeda salsa. Plant Soil 2025, 514, 1219–1239. [Google Scholar] [CrossRef]






| Name | Collection Site | Latitude | Longitude | Altitude |
|---|---|---|---|---|
| Mo_DY | Shandong, Dongying, Hekou | 38°3′5″ N | 118°45′2″ E | −4 m |
| Mo_HB | Hebei, Hengshui, Jizhou | 37°32′48″ N | 115°31′20″ E | 22 m |
| Mi_NX | Ningxia, Shizuishan, Pingluo | 38°49′58″ N | 106°23′1″ E | 1099 m |
| Mi_DY | Shandong, Dongying, Kenli | 37°45′43″ N | 119°5′52″ E | 2 m |
| Mi_TJ | Tianjin, Binhai NewArea | 38°39′52″ N | 117°32′17″ E | 9 m |
| No_JS | Jiangsu, Yancheng, Sheyang | 33°39′30″ N | 120°26′52″ E | 5 m |
| No_DY | Shandong, Binzhou, Wudi | 38°15′36″ N | 117°51′58″ E | 27 m |
| Name | OTUs | Chao1 | Shannon | Simpson | |
|---|---|---|---|---|---|
| Rh | Mo_DY | 3706 ± 39.39 A | 4795.08 ± 56.96 A | 6.69 ± 0 AB | 0.007 ± 0 B |
| Mo_HB | 2623.33 ± 196.66 C | 3681.83 ± 117.38 B | 5.61 ± 0.2 C | 0.017 ± 0.2 B | |
| Mi_NX | 2946.66 ± 62.97 BC | 3820.55 ± 63.68 B | 6.66 ± 0.02 AB | 0.003 ± 0.02 B | |
| Mi_DY | 4068.33 ± 157.82 A | 5255.9 ± 152.49 A | 7.03 ± 0.01 A | 0.003 ± 0.01 B | |
| Mi_TJ | 2981 ± 197.3 BC | 3733.99 ± 202.79 B | 6.34 ± 0.02 B | 0.007 ± 0.02 B | |
| No_JS | 2080.33 ± 529.13 D | 3044.07 ± 358.37 C | 4.11 ± 0.59 D | 0.12 ± 0.59 A | |
| No_DY | 3153 ± 89.71 B | 4026.94 ± 25.99 B | 6.74 ± 0 AB | 0.003 ± 0 B | |
| Ri | Mo_DY | 138.66 ± 57.5 b | 168.49 ± 36.58 b | 3.26 ± 0.26 bc | 0.065 ± 0.01 b |
| Mo_HB | 476 ± 34.11 a | 725.46 ± 16.56 a | 4.54 ± 0.22 a | 0.036 ± 0.01 b | |
| Mi_NX | 234.33 ± 40.12 b | 277.64 ± 31.36 b | 3.75 ± 0.19 ab | 0.067 ± 0.01 b | |
| Mi_DY | 243 ± 62.52 b | 303.56 ± 50.95 b | 3.88 ± 0.21 ab | 0.044 ± 0 b | |
| Mi_TJ | 211.33 ± 85.12 b | 297.37 ± 74.2 b | 3.43 ± 0.49 bc | 0.078 ± 0.03 b | |
| No_JS | 190 ± 116.5 b | 314.09 ± 91.39 b | 2.45 ± 0.48 c | 0.228 ± 0.06 a | |
| No_DY | 184.33 ± 18.14 b | 261.02 ± 36.54 b | 3.4 ± 0.05 bc | 0.06 ± 0 b | |
| Strain Name | Fresh Weight | Dry Weight | Chlorophyll | Proline | Sort |
|---|---|---|---|---|---|
| Aes1 | 0.224 | 0.128 | 0.352 | 0.813 | 7 |
| Aes2 | 0.557 | 0.347 | 0.497 | 0.626 | 1 |
| Aes3 | 0 | 0 | 0.277 | 0.845 | 11 |
| Aes4 | 0.503 | 0.404 | 0.557 | 0.545 | 2 |
| Aes5 | 0.34 | 0.203 | 0.388 | 1 | 3 |
| Aes6 | 0.306 | 0.172 | 0.149 | 0.976 | 5 |
| Aes7 | 0.326 | 0.306 | 0.454 | 0.457 | 6 |
| Aes8 | 0.394 | 0.222 | 0.006 | 0.852 | 8 |
| Aes9 | 0.102 | 0.23 | 0.098 | 0.791 | 10 |
| Aes10 | 0.061 | 0.243 | 0 | 0.996 | 9 |
| Aes11 | 0.231 | 0.333 | 0.593 | 0.523 | 4 |
Disclaimer/Publisher’s Note: The statements, opinions and data contained in all publications are solely those of the individual author(s) and contributor(s) and not of MDPI and/or the editor(s). MDPI and/or the editor(s) disclaim responsibility for any injury to people or property resulting from any ideas, methods, instructions or products referred to in the content. |
© 2026 by the authors. Licensee MDPI, Basel, Switzerland. This article is an open access article distributed under the terms and conditions of the Creative Commons Attribution (CC BY) license.
Share and Cite
Zhang, L.; Han, S.; Guo, X.; Wang, L.; Fan, Y.; Zhang, X.; Fan, S. Bacterial Community Structure and Environmental Adaptation in the Endorhizosphere and Rhizosphere Soils of Aeluropus sinensis from Saline Lands Across Coastal and Inland Regions of China. Microorganisms 2026, 14, 165. https://doi.org/10.3390/microorganisms14010165
Zhang L, Han S, Guo X, Wang L, Fan Y, Zhang X, Fan S. Bacterial Community Structure and Environmental Adaptation in the Endorhizosphere and Rhizosphere Soils of Aeluropus sinensis from Saline Lands Across Coastal and Inland Regions of China. Microorganisms. 2026; 14(1):165. https://doi.org/10.3390/microorganisms14010165
Chicago/Turabian StyleZhang, Luoyan, Saiyu Han, Xiuxiu Guo, Lijie Wang, Yilin Fan, Xuejie Zhang, and Shoujin Fan. 2026. "Bacterial Community Structure and Environmental Adaptation in the Endorhizosphere and Rhizosphere Soils of Aeluropus sinensis from Saline Lands Across Coastal and Inland Regions of China" Microorganisms 14, no. 1: 165. https://doi.org/10.3390/microorganisms14010165
APA StyleZhang, L., Han, S., Guo, X., Wang, L., Fan, Y., Zhang, X., & Fan, S. (2026). Bacterial Community Structure and Environmental Adaptation in the Endorhizosphere and Rhizosphere Soils of Aeluropus sinensis from Saline Lands Across Coastal and Inland Regions of China. Microorganisms, 14(1), 165. https://doi.org/10.3390/microorganisms14010165

