Screening and Genome Analysis of Potential Probiotic Lactiplantibacillus plantarum with Anti-Listeria monocytogenes Activity from Traditional Fermented Foods
Abstract
1. Introduction
2. Materials and Methods
2.1. Isolation and Identification of LAB with Antibacterial Activity
2.2. Surface Properties of Selected LAB Strains
2.2.1. Auto-Aggregation Analysis
2.2.2. Hydrophobicity Determination
2.3. Safety Assessment of Selected LAB Strains
2.3.1. Antibiotic Sensitivity Test
2.3.2. Hemolytic Activity
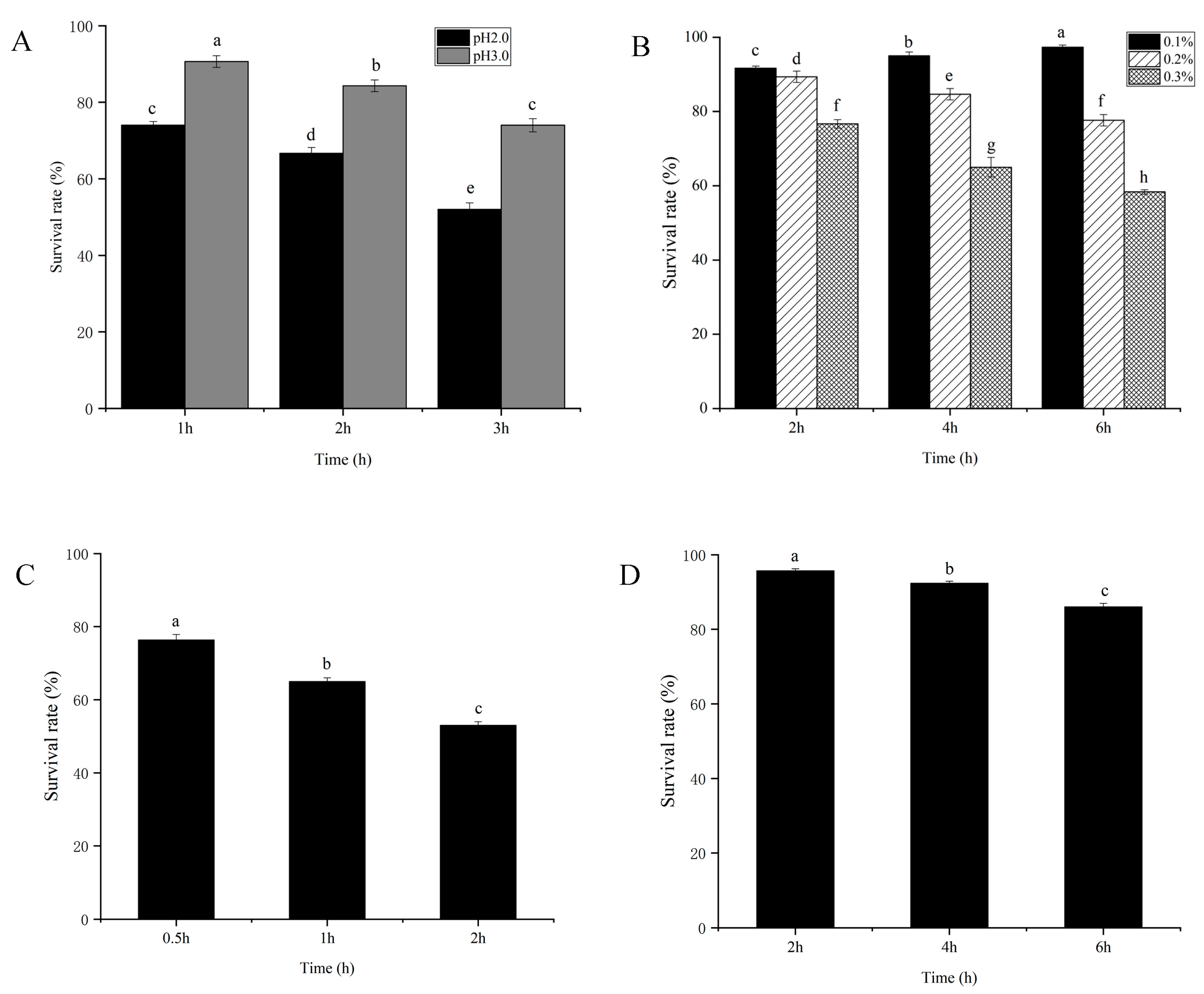
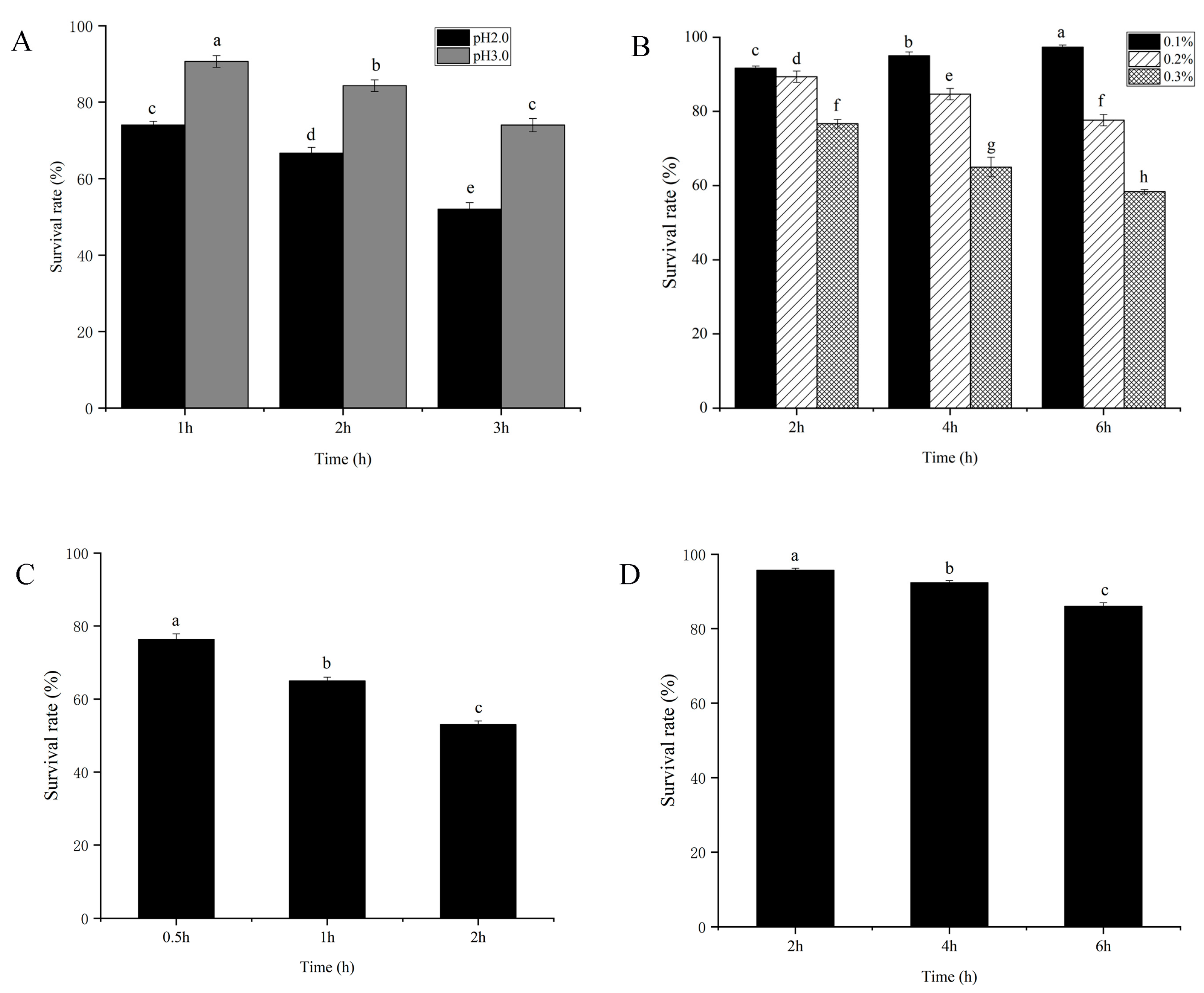
2.4. Probiotic Tolerance Assays of L. plantarum Z-5
2.4.1. Gastric Acid Tolerance
2.4.2. Bile Salt Tolerance
2.4.3. Simulated Gastrointestinal Tolerance
2.5. Growth Curve and Bacteriocin Production of L. plantarum Z-5
2.6. Extraction of Bacteriocin and Determination of Minimal Inhibitory Concentration (MIC)
2.7. Bacteriocin Stability Analysis
2.8. Whole-Genome Sequencing and Bioinformatics Analysis
2.8.1. Illumina Sequencing
2.8.2. Annotation of Protein-Coding Genes
2.8.3. Bacteriocin Gene Analysis
2.8.4. Safety Gene Annotation
2.9. Evaluation of Crude Bacteriocin Efficacy in Milk Preservation
2.10. Data Analysis
3. Results
3.1. Isolation, Screening, and Identification of Antimicrobial LAB
3.2. Auto-Aggregation
3.3. Hydrophobicity
3.4. Safety Evaluation
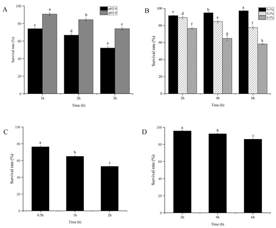
3.5. Probiotic Function of L. plantarum Z-5
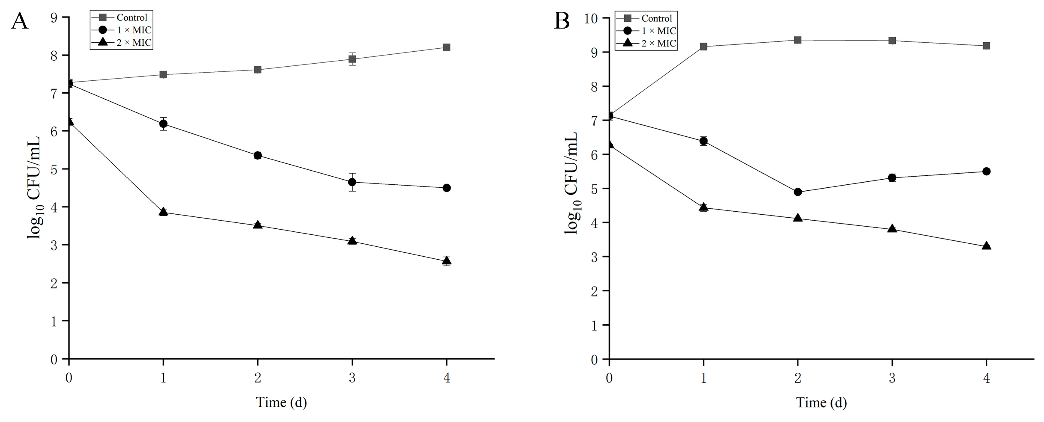
3.6. Growth Dynamics and Antibacterial Activity of L. plantarum Z-5
3.7. Stability of the Crude Bacteriocin
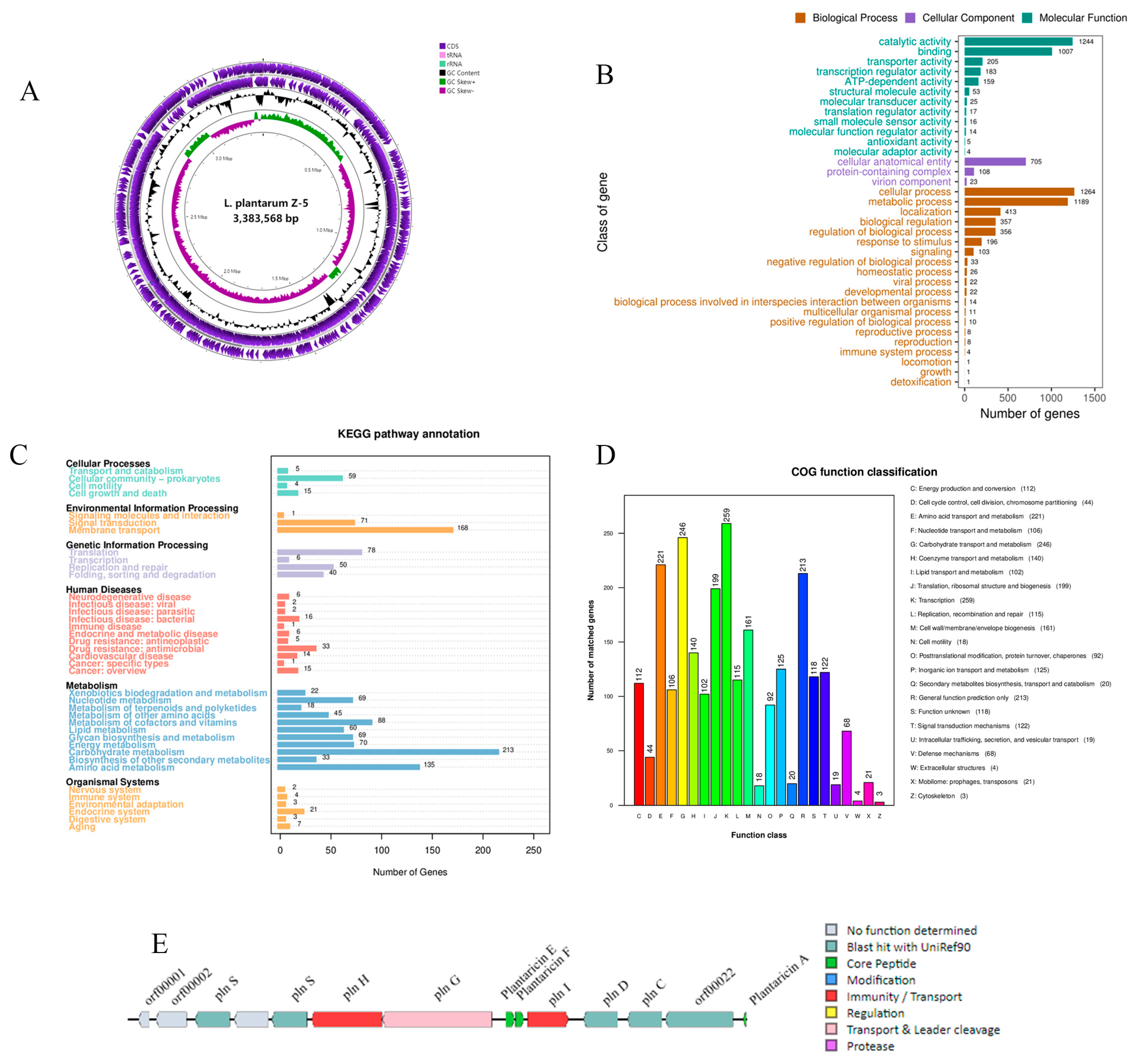
3.8. Genome Assembly and Characteristics
3.8.1. GO Functional Annotation
3.8.2. KEGG Pathway Annotation
3.8.3. COG Functional Annotation
3.8.4. Detection of Antibiotic Resistance and Virulence Genes
3.8.5. Bacteriocin Gene Analysis and Mining
3.9. The Preservation Effect of Crude Bacteriocin in Milk
4. Discussion
5. Conclusions
Author Contributions
Funding
Institutional Review Board Statement
Informed Consent Statement
Data Availability Statement
Conflicts of Interest
References
- Manville, E.; Kaya, E.C.; Yucel, U.; Boyle, D.; Trinetta, V. Evaluation of Listeria monocytogenes biofilms attachment and formation on different surfaces using a CDC biofilm reactor. Int. J. Food Microbiol. 2023, 399, 110251. [Google Scholar] [CrossRef] [PubMed]
- Park, Y.J.; Kim, Y.J.; Yu, H.H.; Lee, N.-K.; Paik, H.-D. Cell-free supernatants of Bacillus subtilis and Bacillus polyfermenticus inhibit Listeria monocytogenes biofilm formation. Food Control 2023, 144, 109387. [Google Scholar] [CrossRef]
- Martín, I.; Rodríguez, A.; Alía, A.; Martínez, R.; Córdoba, J.J. Selection and characterization of lactic acid bacteria with activity against Listeria monocytogenes from traditional RTE ripened foods. LWT 2022, 163, 113579. [Google Scholar] [CrossRef]
- Jakobsen, A.N.; Hoel, S. Controlling Listeria monocytogenes in ready-to-eat salmon products using bioprotective cultures of lactic acid bacteria: What hinders the transition from research to industrial application? Int. J. Food Microbiol. 2025, 443, 111400. [Google Scholar] [CrossRef]
- Yi, L.; Qi, T.; Hong, Y.; Deng, L.; Zeng, K. Screening of bacteriocin-producing lactic acid bacteria in Chinese homemade pickle and dry-cured meat, and bacteriocin identification by genome sequencing. LWT 2020, 125, 109177. [Google Scholar] [CrossRef]
- Liu, X.; Xia, X.; Liu, Y.; Li, Z.; Shi, T.; Zhang, H.; Dong, Q. Recent advances on the formation, detection, resistance mechanism, and control technology of Listeria monocytogenes biofilm in food industry. Food Res. Int. 2024, 180, 114067. [Google Scholar] [CrossRef]
- Nasrollahzadeh, A.; Mokhtari, S.; Khomeiri, M.; Saris, P.E.J. Antifungal Preservation of Food by Lactic Acid Bacteria. Foods 2022, 11, 395. [Google Scholar] [CrossRef]
- Panebianco, F.; Lovisolo, S.; Rubiola, S.; Civera, T.; Di Ciccio, P. Will Listeria monocytogenes biofilm in the food industry withstand the eco-friendly technologies? Recent findings on electrolyzed water, plasma-activated water, ozone, and enzymes. Curr. Opin. Food Sci. 2024, 56, 101126. [Google Scholar] [CrossRef]
- Darko, N.K.O.; Mills-Robertson, F.C. Probiotic potential and antimicrobial effects of lactic acid bacteria isolated from palm wine against foodborne pathogens in Ghana. Food Chem. Adv. 2025, 7, 101002. [Google Scholar] [CrossRef]
- Toushik, S.H.; Kim, K.; Ashrafudoulla, M.; Mizan, M.F.R.; Roy, P.K.; Nahar, S.; Kim, Y.; Ha, S.-D. Korean kimchi-derived lactic acid bacteria inhibit foodborne pathogenic biofilm growth on seafood and food processing surface materials. Food Control 2021, 129, 108276. [Google Scholar] [CrossRef]
- Guo, S.-J.; Li, C.-C.; Feng, Y.-T.; Zhou, Y.-R.; Liu, B.; Gao, Z.-P.; Guo, C.-F. Differences among Lactiplantibacillus plantarum strains isolated from different fermented foods in their potential cholesterol-lowering properties. Food Biosci. 2024, 59, 103847. [Google Scholar] [CrossRef]
- Zheng, X.; Liang, Q.; Zhao, B.; Song, X.; Zhang, Y. Whole genome sequencing and analysis of probiotic characteristics for Lactiplantibacillus plantarum EL2 isolated from yak yogurt. LWT 2024, 198, 116039. [Google Scholar] [CrossRef]
- Keska, P.; Zielinska, D.; Karbowiak, M.; Kruk, M.; Lisiecka, U.; Stadnik, J. The potential of cell-free supernatants from Lacticaseibacillus paracasei B1 and Lactiplantibacillus plantarum O24 as antioxidant and antimicrobial agents. Food Chem. 2025, 492, 145408. [Google Scholar] [CrossRef]
- Fiaz, Z.; Noor, F.; Ikram, A.; Chohan, T.A.; Aslam, M.Z.; Arshad, N. Identification of novel antimicrobial compounds in colostrum-associated Lactiplantibacillus plantarum ZFS 1 and 2 by integrating in vitro, machine learning and bioinformatics approaches. Food Biosci. 2024, 62, 105098. [Google Scholar] [CrossRef]
- Galvez, A.; Abriouel, H.; Lopez, R.L.; Ben Omar, N. Bacteriocin-based strategies for food biopreservation. Int. J. Food Microbiol. 2007, 120, 51–70. [Google Scholar] [CrossRef]
- Srinivash, M.; Krishnamoorthi, R.; Mahalingam, P.U.; Malaikozhundan, B.; Kaviyadharshini, M.; Keerthivasan, M.; Rajkannan, P.; Samy, K.K.; Gurushankar, K.; Chung, Y.-K.; et al. Antimicrobial, antioxidant and anticancer properties of bioactive bacteriocins produced by Lactococcus hircilactis CH4 and Lactobacillus delbrueckii GRIPUMSK isolated from homemade fermented dairy products. Int. Dairy J. 2025, 171, 106395. [Google Scholar] [CrossRef]
- Silva, S.P.M.; Teixeira, J.A.; Silva, C.C.G. Recent advances in the use of edible films and coatings with probiotic and bacteriocin-producing lactic acid bacteria. Food Biosci. 2023, 56, 103196. [Google Scholar] [CrossRef]
- Qiao, X.; Du, R.; Wang, Y.; Han, Y.; Zhou, Z. Purification, characterization and mode of action of enterocin, a novel bacteriocin produced by Enterococcus faecium TJUQ1. Int. J. Biol. Macromol. 2020, 144, 151–159. [Google Scholar] [CrossRef]
- Ismael, M.; Qayyum, N.; Gu, Y.; Zhezhe, Y.; Cui, Y.; Zhang, Y.; Lu, X. Protective effect of plantaricin bio-LP1 bacteriocin on multidrug-resistance Escherichia coli infection by alleviate the inflammation and modulate of gut-microbiota in BALB/c mice model. Int. J. Biol. Macromol. 2023, 246, 125700. [Google Scholar] [CrossRef]
- Du, H.; Chi, H.; Yao, H.; Lu, Z.; Bie, X.; Zhang, C.; Zhao, H.; Lu, F.; Chen, M. The antibacterial activity of plantaricin GZ1–27 against MRSA and its bio-preservative effect on chilled pork in combination with chitosan. Int. J. Food Microbiol. 2022, 365, 109539. [Google Scholar] [CrossRef] [PubMed]
- Chen, L.; Gu, Q.; Li, P.; Li, Y.; Song, D.; Yang, J. Purification and Characterization of Plantaricin ZJ316, a Novel Bacteriocin against Listeria monocytogenes from Lactobacillus plantarum ZJ316. J. Food Prot. 2018, 81, 1929–1935. [Google Scholar] [CrossRef]
- Wang, Y.; Qin, Y.; Zhang, Y.; Wu, R.; Li, P. Antibacterial mechanism of plantaricin LPL-1, a novel class IIa bacteriocin against Listeria monocytogenes. Food Control 2019, 97, 87–93. [Google Scholar] [CrossRef]
- Huang, X.; He, Y.; Zhong, C.; Zhao, K.; Shah, N.P.; Tao, X.; Wei, H. Screening of probiotic strains of Lactiplantibacillus plantarum from Hu sheep and its ability to inhibit Listeria monocytogenes in pasteurized milk. LWT 2023, 182, 114883. [Google Scholar] [CrossRef]
- Arrioja-Bretón, D.; Mani-López, E.; Palou, E.; López-Malo, A. Antimicrobial activity and storage stability of cell-free supernatants from lactic acid bacteria and their applications with fresh beef. Food Control 2020, 115, 107286. [Google Scholar] [CrossRef]
- Huang, H.; Peng, F.; Li, J.; Liu, Z.; Xie, M.; Xiong, T. Isolation and characteristics of lactic acid bacteria with antibacterial activity against Helicobacter pylori. Food Biosci. 2021, 44, 101446. [Google Scholar] [CrossRef]
- Sengun, I.Y.; Yalcin, H.T.; Kilic, G.; Ozturk, B.; Peker, A.K.; Terzi, Y.; Atlama, K. Identification of lactic acid bacteria found in traditional Shalgam juice using 16S rRNA sequencing and evaluation of their probiotic potential in vitro. Food Biosci. 2024, 60, 104300. [Google Scholar] [CrossRef]
- Shehata, M.G.; Masry, S.H.D.; Abd El-Aziz, N.M.; Ridouane, F.L.; Mirza, S.B.; El-Sohaimy, S.A. Probiotic potential of lactic acid bacteria isolated from honeybees stomach: Functional and technological insights. Ann. Agric. Sci. 2024, 69, 11–18. [Google Scholar] [CrossRef]
- Xu, Y.; Xiong, T.; Zhang, L.; Du, T.; Madjirebaye, P.; Zhao, M.; Kang, X. Novel lactic acid bacteria with anti-hyperglycaemic properties: In vitro screening and probiotic assessment. Food Biosci. 2025, 63, 105696. [Google Scholar] [CrossRef]
- Almeida, J.M.d.; Maffei, J.T.; Gebara, C.; Minafra, C.; Toledo-Silva, B.; Gonçalves, M.C.; Langoni, H.; Neto, A.T.; Souza, F.N.; Silva, N.C.C. Exploring probiotic potential and antimicrobial properties of lactic acid bacteria from cow’s milk. Appl. Food Res. 2024, 4, 100461. [Google Scholar] [CrossRef]
- Cong, S.; Zhang, X.; Ji, J.; Liu, X.; Hu, N. Isolation and identification of blueberry-derived lactic acid bacteria and their probiotic, antioxidant, and fermentation properties. Food Biosci. 2024, 62, 104497. [Google Scholar] [CrossRef]
- Pei, J.; Li, X.; Han, H.; Tao, Y. Purification and characterization of plantaricin SLG1, a novel bacteriocin produced by Lb. plantarum isolated from yak cheese. Food Control 2018, 84, 111–117. [Google Scholar] [CrossRef]
- Li, H.; Liu, T.; Zhang, X.; Xiong, Z.; Hong, Q.; Jia, S.; Lin, Y.; Wang, L.; Zhao, Y. Whole-genome sequencing and bacteriocin purification of Lactiplantibacillus plantarum HY41 confirms bactericidal and probiotic potential. Int. Biodeterior. Biodegrad. 2023, 185, 105685. [Google Scholar] [CrossRef]
- Qiao, Z.; Sun, H.; Zhou, Q.; Yi, L.; Wang, X.; Shan, Y.; Yi, Y.; Liu, B.; Zhou, Y.; Lü, X. Characterization and antibacterial action mode of bacteriocin BMP32r and its application as antimicrobial agent for the therapy of multidrug-resistant bacterial infection. Int. J. Biol. Macromol. 2020, 164, 845–854. [Google Scholar] [CrossRef] [PubMed]
- Zhao, D.; Wang, Q.; Lu, F.; Bie, X.; Zhao, H.; Lu, Z.; Lu, Y. A novel plantaricin 827 effectively inhibits Staphylococcus aureus and extends shelf life of skim milk. LWT 2022, 154, 112849. [Google Scholar] [CrossRef]
- Qi, T.; Wang, S.; Deng, L.; Yi, L.; Zeng, K. Controlling pepper soft rot by Lactobacillus paracasei WX322 and identification of multiple bacteriocins by complete genome sequencing. Food Control 2021, 121, 107629. [Google Scholar] [CrossRef]
- Li, L.; Zhang, L.; Zhang, T.; Liu, Y.; Lü, X.; Kuipers, O.P.; Yi, Y. (Meta)genomics -assisted screening of novel antibacterial lactic acid bacteria strains from traditional fermented milk from Western China and their bioprotective effects on cheese. LWT 2023, 175, 114507. [Google Scholar] [CrossRef]
- Fernández, M.; Hospital, X.F.; Caballero, N.; Jiménez, B.; Sánchez-Martín, V.; Morales, P.; Haza, A.I.; Hierro, E. Potential of selected bacteriocinogenic lactic acid bacteria to control Listeria monocytogenes in nitrite-reduced fermented sausages. Food Control 2023, 150, 109724. [Google Scholar] [CrossRef]
- Wen Fang Wu Wu, J.; Redondo-Solano, M.; Uribe, L.; WingChing-Jones, R.; Usaga, J.; Barboza, N. First characterization of the probiotic potential of lactic acid bacteria isolated from Costa Rican pineapple silages. PeerJ 2021, 9, e12437. [Google Scholar] [CrossRef]
- Ayyash, M.; Abushelaibi, A.; Al-Mahadin, S.; Enan, M.; El-Tarabily, K.; Shah, N. In-vitro investigation into probiotic characterisation of Streptococcus and Enterococcus isolated from camel milk. LWT 2018, 87, 478–487. [Google Scholar] [CrossRef]
- Peng, Y.-Y.; Zhong, S.-Y.; Xu, X.-L.; Liu, D.-M. Analysis of the safety and probiotic properties of Bifidobacterium longum B2-01 by complete genome sequencing combined with corresponding phenotypes. LWT 2023, 189, 115445. [Google Scholar] [CrossRef]
- Das, S.; Mishra, B.K.; Hati, S. Techno-functional characterization of indigenous Lactobacillus isolates from the traditional fermented foods of Meghalaya, India. Curr. Res. Food Sci. 2020, 3, 9–18. [Google Scholar] [CrossRef]
- de Albuquerque, T.M.R.; Garcia, E.F.; de Oliveira Araujo, A.; Magnani, M.; Saarela, M.; de Souza, E.L. In Vitro Characterization of Lactobacillus Strains Isolated from Fruit Processing By-Products as Potential Probiotics. Probiotics Antimicrob. Proteins 2018, 10, 704–716. [Google Scholar] [CrossRef]
- Zhang, B.; Wang, Y.; Tan, Z.; Li, Z.; Jiao, Z.; Huang, Q. Screening of Probiotic Activities of Lactobacilli Strains Isolated from Traditional Tibetan Qula, a Raw Yak Milk Cheese. Asian-Australas. J. Anim. Sci. 2016, 29, 1490–1499. [Google Scholar] [CrossRef]
- Vijayalakshmi, S.; Adeyemi, D.E.; Choi, I.Y.; Sultan, G.; Madar, I.H.; Park, M.-K. Comprehensive in silico analysis of lactic acid bacteria for the selection of desirable probiotics. LWT 2020, 130, 109617. [Google Scholar] [CrossRef]
- Wu, Y.-p.; Liu, D.-m.; Zhao, S.; Huang, Y.-y.; Yu, J.-j.; Zhou, Q.-y. Assessing the safety and probiotic characteristics of Bacillus coagulans 13002 based on complete genome and phenotype analysis. LWT 2022, 155, 112847. [Google Scholar] [CrossRef]
- Yi, L.; Dang, J.; Zhang, L.; Wu, Y.; Liu, B.; Lü, X. Purification, characterization and bactericidal mechanism of a broad spectrum bacteriocin with antimicrobial activity against multidrug-resistant strains produced by Lactobacillus coryniformis XN8. Food Control 2016, 67, 53–62. [Google Scholar] [CrossRef]
- Lv, X.; Lin, Y.; Jie, Y.; Sun, M.; Zhang, B.; Bai, F.; Zhao, H.; Li, J. Purification, characterization, and action mechanism of plantaricin DL3, a novel bacteriocin against Pseudomonas aeruginosa produced by Lactobacillus plantarum DL3 from Chinese Suan-Tsai. Eur. Food Res. Technol. 2017, 244, 323–331. [Google Scholar] [CrossRef]
- Lü, X.; Yi, L.; Dang, J.; Dang, Y.; Liu, B. Purification of novel bacteriocin produced by Lactobacillus coryniformis MXJ 32 for inhibiting bacterial foodborne pathogens including antibiotic-resistant microorganisms. Food Control 2014, 46, 264–271. [Google Scholar] [CrossRef]
- Tang, X.; Wu, S.; Wang, X.; Gu, Q.; Li, P. Antimicrobial activity and preliminary mode of action of PlnEF expressed in Escherichia coli against Staphylococci. Protein Expr. Purif. 2018, 143, 28–33. [Google Scholar] [CrossRef]
- Zhao, D.; Meng, F.; Zhou, L.; Lu, F.; Bie, X.; Sun, J.; Lu, Z.; Lu, Y. Maltose effective improving production and regulatory biosynthesis of plantaricin EF in Lactobacillus plantarum 163. Appl. Microbiol. Biotechnol. 2021, 105, 2713–2723. [Google Scholar] [CrossRef]
- Shu, H.; He, X.; Hong, Z.; Dong, K.; Zou, Y.; Cao, M.; Wang, R.; Xu, Y.; Liao, L.; Zuo, H.; et al. Screening and genome analysis of potential probiotic lactic acid bacteria with broad-spectrum antibacterial activity from Sichuan sun-dried vinegar grains (Cupei). LWT 2024, 202, 116288. [Google Scholar] [CrossRef]






| No. | Isolate Codes | Indicator | Source | No. | Isolate Codes | Indicator | Source |
|---|---|---|---|---|---|---|---|
| 1 | dx-1 | - | Jiang shui-1 | 52 | A-4 | - | Pickled cowpea |
| 2 | dx-2 | - | Jiang shui-1 | 53 | A-5 | ++ | Pickled cowpea |
| 3 | dx-3 | ++ | Jiang shui-1 | 54 | A-6 | - | Pickled cowpea |
| 4 | dx-4 | +++ | Jiang shui-1 | 55 | A-7 | +++ | Pickled cowpea |
| 5 | dx-5 | +++ | Jiang shui-1 | 56 | A-8 | +++ | Pickled cowpea |
| 6 | dx-6 | - | Jiang shui-1 | 57 | A-9 | - | Pickled cowpea |
| 7 | dx-7 | +++ | Jiang shui-1 | 58 | A-10 | - | Pickled cowpea |
| 8 | dx-8 | - | Jiang shui-1 | 59 | A-11 | - | Pickled cowpea |
| 9 | dx-9 | - | Jiang shui-1 | 60 | A-12 | +++ | Pickled cowpea |
| 10 | dx-10 | +++ | Jiang shui-1 | 61 | A-13 | - | Pickled cowpea |
| 11 | dx-11 | +++ | Jiang shui-1 | 62 | A-14 | - | Pickled cowpea |
| 12 | dx-12 | - | Jiang shui-1 | 63 | A-15 | +++ | Pickled cowpea |
| 13 | dx-13 | - | Jiang shui-1 | 64 | A-16 | - | Pickled cowpea |
| 14 | dx-14 | ++ | Jiang shui-1 | 65 | A-17 | +++ | Pickled cowpea |
| 15 | dx-15 | - | Jiang shui-1 | 66 | A-18 | - | Pickled cowpea |
| 16 | dx-16 | ++ | Jiang shui-1 | 67 | A-19 | - | Pickled cowpea |
| 17 | dx-17 | - | Jiang shui-1 | 68 | A-20 | - | Pickled cowpea |
| 18 | dx-18 | ++ | Jiang shui-1 | 69 | A-21 | - | Pickled cowpea |
| 19 | dx-19 | - | Jiang shui-1 | 70 | B-21 | - | Jiang shui-3 |
| 20 | dx-20 | - | Jiang shui-1 | 71 | B-22 | - | Jiang shui-3 |
| 21 | dx-21 | - | Jiang shui-1 | 72 | B-23 | - | Jiang shui-3 |
| 22 | dx-22 | - | Jiang shui-1 | 73 | B-24 | - | Jiang shui-3 |
| 23 | dx-23 | - | Jiang shui-1 | 74 | B-25 | - | Jiang shui-3 |
| 24 | dx-24 | +++ | Jiang shui-1 | 75 | B-27 | - | Jiang shui-3 |
| 25 | ln-1 | - | Jiang shui-2 | 76 | B-28 | - | Jiang shui-3 |
| 26 | ln-2 | - | Jiang shui-2 | 77 | B-29 | - | Jiang shui-3 |
| 27 | ln-3 | - | Jiang shui-2 | 78 | B-30 | - | Jiang shui-3 |
| 28 | ln-4 | - | Jiang shui-2 | 79 | B-31 | - | Jiang shui-3 |
| 29 | Z-1 | ++ | Pickled cabbage-1 | 80 | B-32 | - | Jiang shui-3 |
| 30 | Z-2 | - | Pickled cabbage-1 | 81 | B-33 | - | Jiang shui-3 |
| 31 | Z-3 | - | Pickled cabbage-1 | 82 | B-34 | - | Jiang shui-3 |
| 32 | Z-4 | ++++ | Pickled cabbage-1 | 83 | B-35 | - | Jiang shui-3 |
| 33 | Z-5 | ++++ | Pickled cabbage-1 | 84 | E-1 | ++ | Pickled cabbage-3 |
| 34 | Z-6 | - | Pickled cabbage-1 | 85 | E-2 | ++ | Pickled cabbage-3 |
| 35 | Z-7 | +++ | Pickled cabbage-1 | 86 | E-3 | ++ | Pickled cabbage-3 |
| 36 | Z-8 | - | Pickled cabbage-1 | 87 | E-4 | + | Pickled cabbage-3 |
| 37 | Z-9 | - | Pickled cabbage-1 | 88 | E-5 | ++ | Pickled cabbage-3 |
| 38 | Z-10 | +++ | Pickled cabbage-1 | 89 | E-6 | ++ | Pickled cabbage-3 |
| 39 | Z-11 | +++ | Pickled cabbage-1 | 90 | E-7 | + | Pickled cabbage-3 |
| 40 | Z-12 | - | Pickled cabbage-1 | 91 | E-9 | + | Pickled cabbage-3 |
| 41 | Z-13 | +++ | Pickled cabbage-1 | 92 | E-10 | ++ | Pickled cabbage-3 |
| 42 | Z-14 | - | Pickled cabbage-1 | 93 | E-11 | ++ | Pickled cabbage-3 |
| 43 | Z-15 | +++ | Pickled cabbage-1 | 94 | E-12 | ++ | Pickled cabbage-3 |
| 44 | Z-16 | - | Pickled cabbage-1 | 95 | E-13 | + | Pickled cabbage-3 |
| 45 | L-1 | +++ | Pickled cabbage-2 | 96 | E-14 | ++ | Pickled cabbage-3 |
| 46 | L-2 | - | Pickled cabbage-2 | 97 | E-15 | - | Pickled cabbage-3 |
| 47 | L-3 | ++ | Pickled cabbage-2 | 98 | E-16 | ++ | Pickled cabbage-3 |
| 48 | L-4 | ++++ | Pickled cabbage-2 | 99 | E-18 | - | Pickled cabbage-3 |
| 49 | A-1 | - | Pickled cowpea | 100 | E-19 | + | Pickled cabbage-3 |
| 50 | A-2 | - | Pickled cowpea | 101 | E-20 | ++ | Pickled cabbage-3 |
| 51 | A-3 | - | Pickled cowpea | 102 | E-21 | - | Pickled cabbage-3 |
| Strains | Antibiotic Resistance | Hemolytic Activity | |||||||
|---|---|---|---|---|---|---|---|---|---|
| P | CIP | CTM | CRO | CHL | AMP | TRC | ERY | ||
| L-4 | S | R | S | I | S | S | S | S | γ |
| Z-4 | S | R | S | I | S | S | S | S | γ |
| Z-5 | S | R | S | S | S | S | S | S | γ |
| Z-15 | I | R | S | I | S | S | S | S | γ |
| A-7 | S | R | R | S | S | S | S | I | γ |
| A-8 | S | R | S | S | S | S | S | S | γ |
| A-12 | S | R | S | S | S | S | S | S | γ |
| A-15 | S | R | S | S | S | S | S | S | γ |
| Treatment | Residual Inhibitory Activity (%) | |
|---|---|---|
| Heat | 60 °C, 20 min | 100% |
| 80 °C, 20 min | 100% | |
| 100 °C, 20 min | 91.2% | |
| 121 °C, 20 min | 88.2% | |
| pH | 2 | 74.4% |
| 4 | 76.2% | |
| 6 | 95.2% | |
| 8 | 97.6% | |
| 10 | 84.1% | |
| 12 | 84.9% | |
| Enzymes | Trypsin | 74.6% |
| Pepsin | 76.2% | |
| Papain | 85.7% | |
| Attributes | L. plantarum Z-5 |
|---|---|
| Genome Size | 3,383,568 bp |
| GC content | 44.38% |
| Genes | 3256 |
| tRNA | 67 |
| rRNA | 13 |
| sRNA | 2 |
| Bacteriocin | AA | Molecular Weight (KDa) |
|---|---|---|
| Plantaricin A | LQMGATAIKQVKKLFKKWGW | 2.36 |
| Plantaricin E | MLQFEKLQYSRLPQKKLAKISGGFNRGGYNFGKSVRHVVDAIGSVAGIRGILKSIR | 6.19 |
| Plantaricin F | MKKFLVLRDRELNAISGGVFHAYSARGVRNNYKSAVGPADWVISAVRGFIHG | 5.73 |
Disclaimer/Publisher’s Note: The statements, opinions and data contained in all publications are solely those of the individual author(s) and contributor(s) and not of MDPI and/or the editor(s). MDPI and/or the editor(s) disclaim responsibility for any injury to people or property resulting from any ideas, methods, instructions or products referred to in the content. |
© 2025 by the authors. Licensee MDPI, Basel, Switzerland. This article is an open access article distributed under the terms and conditions of the Creative Commons Attribution (CC BY) license (https://creativecommons.org/licenses/by/4.0/).
Share and Cite
Qiao, Z.; Guo, X.; Shan, Z.; Luo, S.; Mao, Y.; Ren, L.; Wang, T.; Ma, Y.; Liu, Y.; Liu, J. Screening and Genome Analysis of Potential Probiotic Lactiplantibacillus plantarum with Anti-Listeria monocytogenes Activity from Traditional Fermented Foods. Microorganisms 2025, 13, 2104. https://doi.org/10.3390/microorganisms13092104
Qiao Z, Guo X, Shan Z, Luo S, Mao Y, Ren L, Wang T, Ma Y, Liu Y, Liu J. Screening and Genome Analysis of Potential Probiotic Lactiplantibacillus plantarum with Anti-Listeria monocytogenes Activity from Traditional Fermented Foods. Microorganisms. 2025; 13(9):2104. https://doi.org/10.3390/microorganisms13092104
Chicago/Turabian StyleQiao, Zhu, Xing Guo, Zeying Shan, Shijie Luo, Yangyang Mao, Lu Ren, Tao Wang, Yan Ma, Yingying Liu, and Junhe Liu. 2025. "Screening and Genome Analysis of Potential Probiotic Lactiplantibacillus plantarum with Anti-Listeria monocytogenes Activity from Traditional Fermented Foods" Microorganisms 13, no. 9: 2104. https://doi.org/10.3390/microorganisms13092104
APA StyleQiao, Z., Guo, X., Shan, Z., Luo, S., Mao, Y., Ren, L., Wang, T., Ma, Y., Liu, Y., & Liu, J. (2025). Screening and Genome Analysis of Potential Probiotic Lactiplantibacillus plantarum with Anti-Listeria monocytogenes Activity from Traditional Fermented Foods. Microorganisms, 13(9), 2104. https://doi.org/10.3390/microorganisms13092104

