Study and Modification of the Polycyclic Aromatic Hydrocarbon Degradation Gene Cluster in Burkholderia sp. FM-2
Abstract
1. Introduction
2. Materials and Methods
2.1. Bacteria, Chemicals and Culture Media
2.2. Determination of PAHs Degradation Rate
2.3. Genome Sequencing and Assembly
2.4. RNA Extraction, Transcriptome Assembly and Analysis
2.5. Validation of RT-qPCR
2.6. Bioinformatics Analysis
2.7. Detection of Phenanthrene Degradation Intermediates
2.8. Construction and Electroporation of the nahG Expression Vector
3. Results
3.1. Degradation of PAHs by Burkholderia sp. FM-2
3.2. Genome Sequencing of Burkholderia sp. FM-2
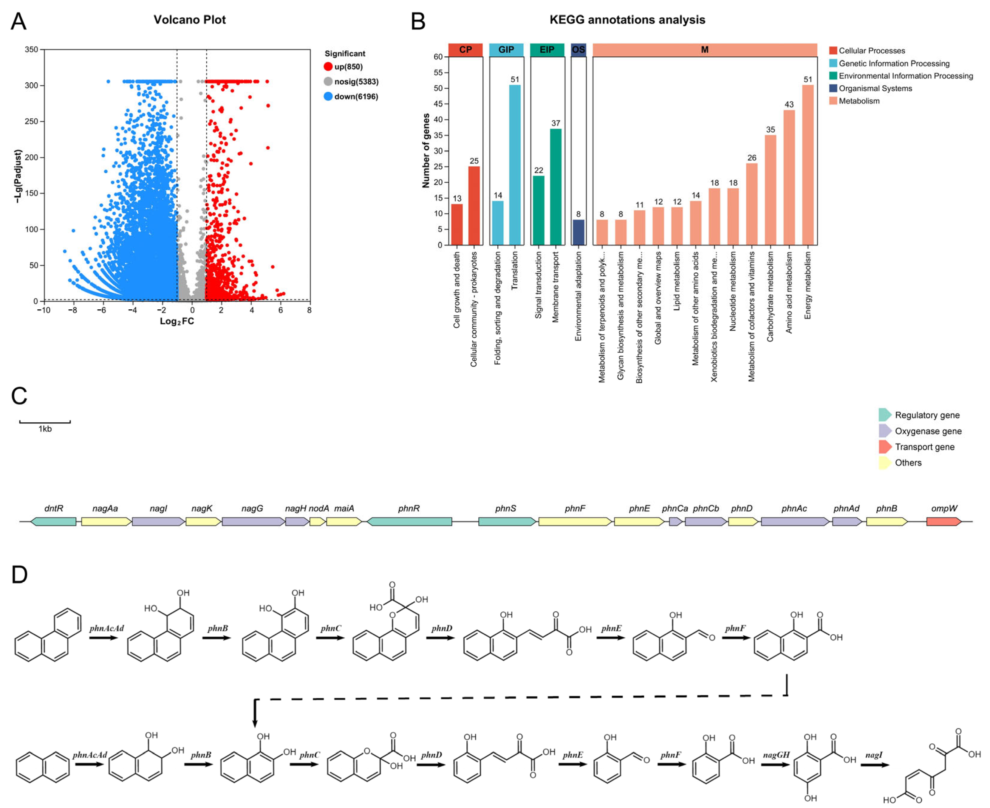
3.3. Transcriptome Sequences Assembly and Analysis
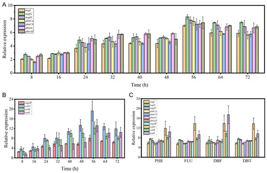
3.4. RT-qPCR Analysis
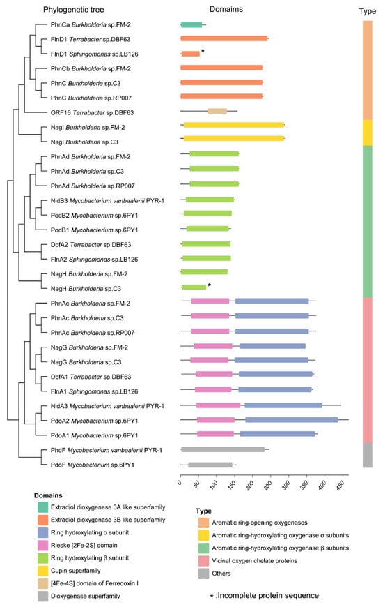
3.5. Dioxygenase of PAHs Degradation Pathway Analysis
3.6. PAHs Transporter Analysis
3.7. Heterologous Introduction of Salicylate Hydroxylase Gene
4. Discussion
4.1. The PAH Degradation Capability of FM-2
4.2. Analysis of PAH Degradation Gene Clusters in FM-2
4.3. Optimization of the PAH Degradation Pathway
5. Conclusions
Supplementary Materials
Author Contributions
Funding
Institutional Review Board Statement
Informed Consent Statement
Data Availability Statement
Conflicts of Interest
References
- Maria, K.; Eric, T.; Nicolas, B.; Dominique, P. Biodegradation of Polycyclic Aromatic Hydrocarbons: Using Microbial Bioelectrochemical Systems to Overcome an Impasse. Environ. Pollut. 2017, 231, 509–523. [Google Scholar] [CrossRef] [PubMed]
 - Almeida, F.; Danúbia, F.; Fabrício, M.; Fernandes, B.; Sávia, G. Bioremediation of Polycyclic Aromatic Hydrocarbons in Contaminated Mangroves: Understanding the Historical and Key Parameter Profiles. Mar. Pollut. Bull. 2021, 169, 112553. [Google Scholar] [CrossRef]
 - Tang, L.; Zhao, X.; Chen, X.; Jiang, Y. Distribution of Bound-PAH Residues and Their Correlations with the Bacterial Community at Different Depths of Soil from an Abandoned Chemical Plant Site. J. Hazard. Mater. 2023, 453, 131328. [Google Scholar] [CrossRef]
 - Laurie, A.D.; Lloyd-Jones, G. The Phn Genes of Burkholderia Sp. Strain RP007 Constitute a Divergent Gene Cluster for Polycyclic Aromatic Hydrocarbon Catabolism. J. Bacteriol. 1999, 181, 531–540. [Google Scholar] [CrossRef]
 - Kim, S.-J.; Kweon, O.; Jones, R.C.; Edmondson, R.D.; Cerniglia, C.E. Genomic Analysis of Polycyclic Aromatic Hydrocarbon Degradation in Mycobacterium Vanbaalenii PYR-1. Biodegradation 2008, 19, 859–881. [Google Scholar] [CrossRef]
 - Zhang, Z.; Li, H.; Han, H.; Qin, L. Degradation of Anthracene and Phenanthrene by Strain Streptomyces Sp. M-1 and Its Application in the Treatment of PAHs-Contaminated Water. J. Environ. Manag. 2025, 375, 124298. [Google Scholar] [CrossRef]
 - Zhang, Z.; Guo, H.; Sun, J.; Gong, X.; Wang, C.; Wang, H. Exploration of the Biotransformation Processes in the Biodegradation of Phenanthrene by a Facultative Anaerobe, Strain PheF2, with Fe(III) or O2 as an Electron Acceptor. Sci. Total Environ. 2021, 750, 142245. [Google Scholar] [CrossRef]
 - Haritash, A.; Kaushik, C. Biodegradation Aspects of Polycyclic Aromatic Hydrocarbons (PAHs): A Review. J. Hazard. Mater. 2009, 169, 1–15. [Google Scholar] [CrossRef] [PubMed]
 - Tittabutr, P.; Cho, I.K.; Li, Q.X. Phn and Nag-like Dioxygenases Metabolize Polycyclic Aromatic Hydrocarbons in Burkholderia Sp. C3. Biodegradation 2011, 22, 1119–1133. [Google Scholar] [CrossRef]
 - Liu, X.; Hu, X.; Cao, Y.; Pang, W.; Huang, J.; Guo, P.; Huang, L. Biodegradation of Phenanthrene and Heavy Metal Removal by Acid-Tolerant Burkholderia Fungorum FM-2. Front. Microbiol. 2019, 10, 408. [Google Scholar] [CrossRef] [PubMed]
 - Luo, R.; Liu, B.; Xie, Y.; Li, Z.; Huang, W.; Yuan, J.; He, G.; Chen, Y.; Pan, Q.; Liu, Y.; et al. SOAPdenovo2: An Empirically Improved Memory-Efficient Short-Read de Novo Assembler. Gigascience 2012, 1, 2047-217X-1-18. [Google Scholar] [CrossRef]
 - Wick, R.R.; Judd, L.M.; Gorrie, C.L.; Holt, K.E. Unicycler: Resolving Bacterial Genome Assemblies from Short and Long Sequencing Reads. PLoS Comput. Biol. 2017, 13, e1005595. [Google Scholar] [CrossRef]
 - Chen, S.; Zhou, Y.; Chen, Y.; Gu, J. Fastp: An Ultra-Fast All-in-One FASTQ Preprocessor. Bioinformatics 2018, 34, i884–i890. [Google Scholar] [CrossRef]
 - Delcher, A.L.; Bratke, K.A.; Powers, E.C.; Salzberg, S.L. Identifying Bacterial Genes and Endosymbiont DNA with Glimmer. Bioinformatics 2007, 23, 673–679. [Google Scholar] [CrossRef]
 - Borodovsky, M.; McIninch, J. GENMARK: Parallel Gene Recognition for Both DNA Strands. Comput. Chem. 1993, 17, 123–133. [Google Scholar] [CrossRef]
 - Love, M.I.; Huber, W.; Anders, S. Moderated Estimation of Fold Change and Dispersion for RNA-Seq Data with DESeq2. Genome Biol. 2014, 15, 550. [Google Scholar] [CrossRef]
 - Prakash, A.; Jeffryes, M.; Bateman, A.; Finn, R.D. The HMMER Web Server for Protein Sequence Similarity Search. Curr. Protoc. Bioinform. 2017, 60, 3–15. [Google Scholar] [CrossRef]
 - Blum, M.; Andreeva, A.; Florentino, L.C.; Chuguransky, S.R.; Grego, T.; Hobbs, E.; Pinto, B.L.; Orr, A.; Paysan-Lafosse, T.; Ponamareva, I.; et al. InterPro: The Protein Sequence Classification Resource in 2025. Nucleic Acids Res. 2025, 53, D444–D456. [Google Scholar] [CrossRef]
 - Abramson, J.; Adler, J.; Dunger, J.; Evans, R.; Green, T.; Pritzel, A.; Ronneberger, O.; Willmore, L.; Ballard, A.J.; Bambrick, J.; et al. Accurate Structure Prediction of Biomolecular Interactions with AlphaFold 3. Nature 2024, 630, 493–500. [Google Scholar] [CrossRef] [PubMed]
 - Jurcik, A.; Bednar, D.; Byska, J.; Marques, S.M.; Furmanova, K.; Daniel, L.; Kokkonen, P.; Brezovsky, J.; Strnad, O.; Stourac, J.; et al. CAVER Analyst 2.0: Analysis and Visualization of Channels and Tunnels in Protein Structures and Molecular Dynamics Trajectories. Bioinformatics 2018, 34, 3586–3588. [Google Scholar] [CrossRef]
 - Wang, C.; Huang, Y.; Zhang, Z.; Hao, H.; Wang, H. Absence of the nahG-like Gene Caused the Syntrophic Interaction between Marinobacter and Other Microbes in PAH-Degrading Process. J. Hazard. Mater. 2020, 384, 121387. [Google Scholar] [CrossRef]
 - Yesankar, P.J.; Patil, A.; Kapley, A.; Qureshi, A. Catalytic Resilience of Multicomponent Aromatic Ring-Hydroxylating Dioxygenases in Pseudomonas for Degradation of Polycyclic Aromatic Hydrocarbons. World J. Microbiol. Biotechnol. 2023, 39, 166. [Google Scholar] [CrossRef]
 - Kweon, O.; Kim, S.-J.; Freeman, J.P.; Song, J.; Baek, S.; Cerniglia, C.E. Substrate Specificity and Structural Characteristics of the Novel Rieske Nonheme Iron Aromatic Ring-Hydroxylating Oxygenases NidAB and NidA3B3 from Mycobacterium Vanbaalenii PYR-1. mBio 2010, 1, e00135-10. [Google Scholar] [CrossRef]
 - Gaur, N.; Narasimhulu, K.; Y, P. Recent Advances in the Bio-Remediation of Persistent Organic Pollutants and Its Effect on Environment. J. Clean. Prod. 2018, 198, 1602–1631. [Google Scholar] [CrossRef]
 - Philipp, B.; Schink, B. Different Strategies in Anaerobic Biodegradation of Aromatic Compounds: Nitrate Reducers versus Strict Anaerobes. Environ. Microbiol. Rep. 2012, 4, 469–478. [Google Scholar] [CrossRef]
 - Krivobok, S.; Kuony, S.; Meyer, C.; Louwagie, M.; Willison, J.C.; Jouanneau, Y. Identification of Pyrene-Induced Proteins in Mycobacterium Sp. Strain 6PY1: Evidence for Two Ring-Hydroxylating Dioxygenases. J. Bacteriol. 2003, 185, 3828–3841. [Google Scholar] [CrossRef]
 - Wattiau, P.; Bastiaens, L.; Van Herwijnen, R.; Daal, L.; Parsons, J.R.; Renard, M.-E.; Springael, D.; Cornelis, G.R. Fluorene Degradation by Sphingomonas Sp. LB126 Proceeds Through Protocatechuic Acid: A genetic analysis. Res. Microbiol. 2001, 152, 861–872. [Google Scholar] [CrossRef]
 - Habe, H.; Chung, J.-S.; Kato, H.; Ayabe, Y.; Kasuga, K.; Yoshida, T.; Nojiri, H.; Yamane, H.; Omori, T. Characterization of the Upper Pathway Genes for Fluorene Metabolism in Terrabacter Sp. Strain DBF63. J. Bacteriol. 2004, 186, 5938–5944. [Google Scholar] [CrossRef] [PubMed]
 - Kauppi, B.; Lee, K.; Carredano, E.; Parales, R.E.; Gibson, D.T.; Eklund, H.; Ramaswamy, S. Structure of an Aromatic-Ring-Hydroxylating Dioxygenase–Naphthalene 1,2-Dioxygenase. Structure 1998, 6, 571–586. [Google Scholar] [CrossRef] [PubMed]
 - Friemann, R.; Lee, K.; Brown, E.N.; Gibson, D.T.; Eklund, H.; Ramaswamy, S. Structures of the Multicomponent Rieske Non-Heme Iron Toluene 2,3-Dioxygenase Enzyme System. Biol. Crystallogr. 2009, 65, 24–33. [Google Scholar] [CrossRef] [PubMed]
 - Hong, H.; Patel, D.R.; Tamm, L.K.; Van Den Berg, B. The Outer Membrane Protein OmpW Forms an Eight-Stranded β-Barrel with a Hydrophobic Channel. J. Biol. Chem. 2006, 281, 7568–7577. [Google Scholar] [CrossRef] [PubMed]
 - Van Den Berg, B. Going Forward Laterally: Transmembrane Passage of Hydrophobic Molecules through Protein Channel Walls. ChemBioChem 2010, 11, 1339–1343. [Google Scholar] [CrossRef]
 - Hearn, E.M.; Patel, D.R.; Lepore, B.W.; Indic, M.; Van Den Berg, B. Transmembrane Passage of Hydrophobic Compounds through a Protein Channel Wall. Nature 2009, 458, 367–370. [Google Scholar] [CrossRef] [PubMed]
 - Liang, J.; Xu, J.; Zhao, W.; Wang, J.; Chen, K.; Li, Y.; Tian, Y. Benzo[a]Pyrene Might Be Transported by a TonB-Dependent Transporter in Novosphingobium Pentaromativorans US6-1. J. Hazard. Mater. 2021, 404, 124037. [Google Scholar] [CrossRef] [PubMed]
 - Balashova, N.; Stolz, A.; Knackmuss, H.; Kosheleva, I. Purification and Characterization of a Salicylate Hydroxylase Involved in 1-hydroxy-2-Naphthoic Acid Hydroxylation from the Naphthalene and Phenanthrene-Degrading Bacterial Strain Pseudomonas Putida BS202-P1. Biodegradation 2001, 12, 179–188. [Google Scholar] [CrossRef]
 - Dubrovskaya, E.V.; Pozdnyakova, N.N.; Muratova, A.Y.; Turkovskaya, O.V. Changes in Phytotoxicity of Polycyclic Aromatic Hydrocarbons in the Course of Microbial Degradation. Russ. J. Plant Physiol. 2016, 63, 172–179. [Google Scholar] [CrossRef]
 - You, I.S.; Ghosal, D.; Gunsalus, I.C. Nucleotide Sequence Analysis of the Pseudomonas Putida PpG7 Salicylate Hydroxylase Gene (nahG) and its 3’-Flanking Region. Biochemistry 1991, 30, 1635–1641. [Google Scholar] [CrossRef]
 - Ouyang, Q.; Wang, X.; Zhang, N.; Zhong, L.; Liu, J.; Ding, X.; Zhang, Y.; Bian, X. Promoter Screening Facilitates Heterologous Production of Complex Secondary Metabolites in Burkholderiales Strains. ACS Synth. Biol. 2020, 9, 457–460. [Google Scholar] [CrossRef]
 - Bankole, P.O.; Semple, K.T.; Jeon, B.-H.; Govindwar, S.P. Biodegradation of Fluorene by the Newly Isolated Marine-Derived fungus, Mucor Irregularis Strain Bpo1 Using Response Surface Methodology. Ecotoxicol. Environ. Saf. 2021, 208, 111619. [Google Scholar] [CrossRef]
 - Shi, S.; Qu, Y.; Ma, F.; Zhou, J. Bioremediation of Coking Wastewater Containing Carbazole, Dibenzofuran, Dibenzothiophene and Naphthalene by a Naphthalene-Cultivated Arthrobacter Sp. W1. Bioresour. Technol. 2014, 164, 28–33. [Google Scholar] [CrossRef]
 - Kong, X.; Dong, R.; King, T.; Chen, F.; Li, H. Biodegradation Potential of Bacillus Sp. PAH-2 on PAHs for Oil-Contaminated Seawater. Molecules 2022, 27, 687. [Google Scholar] [CrossRef]
 - Guo, L.; Ouyang, X.; Wang, W.; Qiu, X.; Zhao, Y.-L.; Xu, P.; Tang, H. Fine-Tuning an Aromatic Ring-Hydroxylating Oxygenase to Degrade High Molecular Weight Polycyclic Aromatic Hydrocarbon. J. Biol. Chem. 2024, 300, 107343. [Google Scholar] [CrossRef] [PubMed]
 - Peralta, H.; Aguilar, A.; Cancino-Díaz, J.C.; Cuevas-Rico, E.A.; Carmona-González, A.; Cruz-Maya, J.A.; Jan-Roblero, J. Determination of the Metabolic Pathways for Degradation of Naphthalene and Pyrene in Amycolatopsis Sp. Poz14. Comp. Biochem. Physiol. Part C Toxicol. Pharmacol. 2022, 254, 109268. [Google Scholar] [CrossRef] [PubMed]
 - Zhang, G.; Yang, X.; Zhao, Z.; Xu, T.; Jia, X. Artificial Consortium of Three E. Coli BL21 Strains with Synergistic Functional Modules for Complete Phenanthrene Degradation. ACS Synth. Biol. 2022, 11, 162–175. [Google Scholar] [CrossRef] [PubMed]
 







Disclaimer/Publisher’s Note: The statements, opinions and data contained in all publications are solely those of the individual author(s) and contributor(s) and not of MDPI and/or the editor(s). MDPI and/or the editor(s) disclaim responsibility for any injury to people or property resulting from any ideas, methods, instructions or products referred to in the content.  | 
© 2025 by the authors. Licensee MDPI, Basel, Switzerland. This article is an open access article distributed under the terms and conditions of the Creative Commons Attribution (CC BY) license (https://creativecommons.org/licenses/by/4.0/).
Share and Cite
Ma, J.; Zhai, Y.; Cui, Y.; Gao, G.; Ying, M.; Zhao, Y.; Antunes, A.; Huang, L.; Li, M. Study and Modification of the Polycyclic Aromatic Hydrocarbon Degradation Gene Cluster in Burkholderia sp. FM-2. Microorganisms 2025, 13, 2079. https://doi.org/10.3390/microorganisms13092079
Ma J, Zhai Y, Cui Y, Gao G, Ying M, Zhao Y, Antunes A, Huang L, Li M. Study and Modification of the Polycyclic Aromatic Hydrocarbon Degradation Gene Cluster in Burkholderia sp. FM-2. Microorganisms. 2025; 13(9):2079. https://doi.org/10.3390/microorganisms13092079
Chicago/Turabian StyleMa, Jiajun, Ying Zhai, Yumeng Cui, Guohui Gao, Ming Ying, Yihe Zhao, Agostinho Antunes, Lei Huang, and Meitong Li. 2025. "Study and Modification of the Polycyclic Aromatic Hydrocarbon Degradation Gene Cluster in Burkholderia sp. FM-2" Microorganisms 13, no. 9: 2079. https://doi.org/10.3390/microorganisms13092079
APA StyleMa, J., Zhai, Y., Cui, Y., Gao, G., Ying, M., Zhao, Y., Antunes, A., Huang, L., & Li, M. (2025). Study and Modification of the Polycyclic Aromatic Hydrocarbon Degradation Gene Cluster in Burkholderia sp. FM-2. Microorganisms, 13(9), 2079. https://doi.org/10.3390/microorganisms13092079
        
