Reducing Cd Uptake by Wheat Through Rhizosphere Soil N-C Cycling and Bacterial Community Modulation by Urease-Producing Bacteria and Organo-Fe Hydroxide Coprecipitates
Abstract
1. Introduction
2. Materials and Methods
2.1. Strain TJ6, Fh, and OFCs
2.2. Wheat Pot Experiment
2.3. Effects of Different Treatments on Dry Weight and Cd Content of Wheat Grains
2.4. Determination of Physicochemical Properties of Rhizosphere Soil
2.5. Determination of TOC and DOC Content
2.6. Determination of Bacterial Community Structure in Rhizosphere Soil
2.7. Statistical Analysis
3. Results
3.1. Dry Weight and Cd Content of Wheat Grain
3.2. Morphological Distribution of Cd in Wheat Rhizosphere Soil
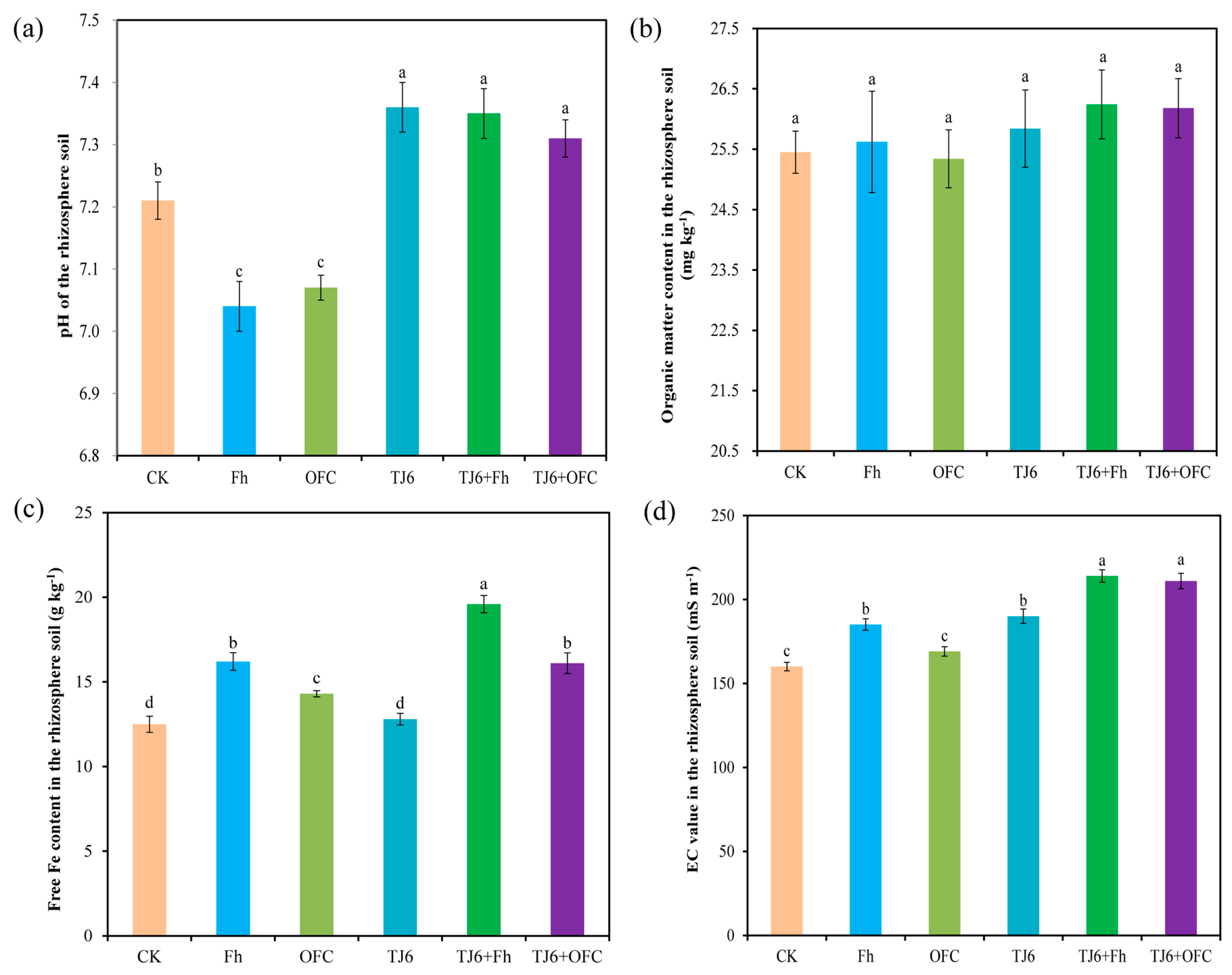
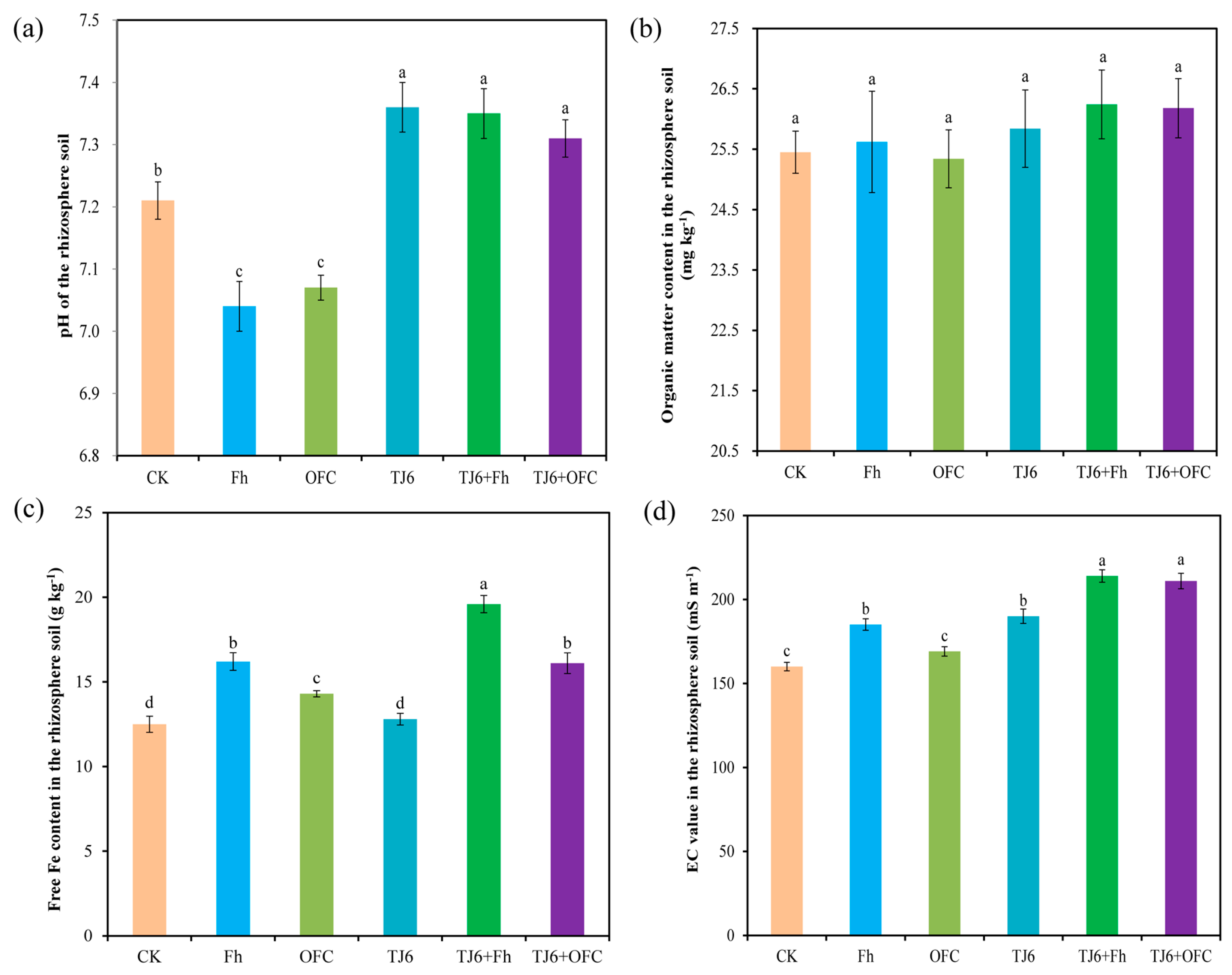
3.3. Effects of Different Treatments on Soil Properties
3.4. Contents of Total Organic Carbon and Dissoluble Organic Carbon in Rhizosphere Soil
3.5. NH4+ and NO3− Contents in the Rhizosphere Soil
3.6. Changes in Bacterial Community Structure in Wheat Rhizosphere Soil
3.7. Specific Bacterial Assemblages
3.8. Prediction of Rhizosphere Bacterial Community Functions
3.9. Correlation Analysis
4. Discussion
5. Conclusions
Author Contributions
Funding
Institutional Review Board Statement
Informed Consent Statement
Data Availability Statement
Conflicts of Interest
References
- Dawar, K.; Mian, I.A.; Khan, S.; Zaman, A.; Danish, S.; Liu, K.; Harrison, M.T.; Saud, S.; Hassan, S.; Nawaz, T.; et al. Alleviation of cadmium toxicity and fortification of zinc in wheat cultivars cultivated in Cd contaminated soil. S. Afr. J. Bot. 2023, 162, 611–621. [Google Scholar] [CrossRef]
- Sivakoff, F.S.; McLaughlin, R.; Gardiner, M.M. Cadmium soil contamination alters plant-pollinator interactions. Environ. Pollut. 2024, 356, 124316. [Google Scholar] [CrossRef]
- Wang, Y.; Xing, W.; Liang, X.; Xu, Y.; Wang, Y.; Huang, Q.; Li, L. Effects of exogenous additives on wheat Cd accumulation, soil Cd availability and physicochemical properties in Cd-contaminated agricultural soils: A meta-analysis. Sci. Total Environ. 2022, 808, 152090. [Google Scholar] [CrossRef]
- Li, Y.; Fan, G.; Gao, Y.; Chen, W.; Shi, G.; Tong, F.; Liu, L.; Zhou, D. Wheat tends to accumulate higher levels of cadmium in the grains than rice under a wide range of soil pH and Cd concentrations: A field study on rice-wheat rotation farmland. Environ. Pollut. 2025, 367, 125574. [Google Scholar] [CrossRef]
- Li, X.; Kong, H.; Huang, J.; Yan, J.; He, W.; Wang, H.; Pan, H.; Yang, Q.; Zhuge, Y.; Lou, Y. Intercropping wheat and rapeseed in Cd-polluted weakly alkaline soil: Crop productivity, Cd enrichment capacity, and rhizosphere soil characteristics. J. Agric. Food Res. 2025, 19, 101721. [Google Scholar] [CrossRef]
- Zhang, Y.; Chen, Y.; Jiao, R.-Q.; Gao, S.-S.; Li, B.L.; Li, Y.-Y.; Han, H.; Chen, Z.-J. Beneficial microbial consortia effectively alleviated plant stress caused by the synergistic toxicity of microplastics and cadmium. Ind. Crops Prod. 2025, 225, 120479. [Google Scholar] [CrossRef]
- Liu, N.; Zhao, J.; Du, J.; Hou, C.; Zhou, X.; Chen, J.; Zhang, Y. Non-phytoremediation and phytoremediation technologies of integrated remediation for water and soil heavy metal pollution: A comprehensive review. Sci. Total Environ. 2024, 948, 174237. [Google Scholar] [CrossRef]
- Wang, Y.; Shen, X.; Bian, R.; Liu, X.; Zheng, J.; Cheng, K.; Xuhui, Z.; Li, L.; Pan, G. Effect of pyrolysis temperature of biochar on Cd, Pb and As bioavailability and bacterial community composition in contaminated paddy soil. Ecotoxicol. Environ. Saf. 2022, 247, 114237. [Google Scholar] [CrossRef]
- Zhao, Q.; Wang, J.; Li, H.; Wang, Z.; Makar, R.S.; Yao, L.; Chen, Z.; Han, H. Phosphate-solubilizing bacteria reduce Cd accumulation in spinach by forming P–Ca adhesive films in the roots and altering the structure of soil macroaggregates. J. Hazard. Mater. 2025, 494, 138482. [Google Scholar] [CrossRef]
- Zare, L.; Ronaghi, A.; Ghasemi-Fasaei, R.; Zarei, M.; Sepehri, M. Sodium nitroprusside, a donor of nitric oxide, enhances arbuscular mycorrhizal fungi symbiosis with corn plant and mitigates Cd bioavailability in the rhizosphere. Rhizosphere 2024, 30, 100900. [Google Scholar] [CrossRef]
- Biswash, M.R.; Li, K.-w.; Xu, R.-k.; Uwiringiyimana, E.; Guan, P.; Lu, H.-l.; Li, J.-y.; Jiang, J.; Hong, Z.-n.; Shi, R.-y. Alteration of soil pH induced by submerging/drainage and application of peanut straw biochar and its impact on Cd(II) availability in an acidic soil to indica-japonica rice varieties. Environ. Pollut. 2024, 356, 124361. [Google Scholar] [CrossRef]
- Chen, Y.; Li, W.; Bu, H.; Yin, W.; Li, P.; Fang, Z.; Wu, J. Enhanced Cd(II) immobilization in sediment with zero-valent iron induced by hydrogenotrophic denitrification. J. Hazard. Mater. 2023, 441, 129833. [Google Scholar] [CrossRef]
- Zhao, Q.; Zhang, H.; Zhang, Z.; Chen, Z.; Han, H. Exogenous inoculation with heavy metal-immobilizing bacteria roused the key rhizosphere bacterial community and metabolites of wheat to inhibit cadmium absorption. J. Environ. Chem. Eng. 2024, 12, 113631. [Google Scholar] [CrossRef]
- Hou, S.; Zhang, M.; Hou, Y.; Yang, P. Mechanistic insight into the removal of aqueous Cd using an immobilized ZIF-8 and microflora cooperative composite. Chemosphere 2022, 293, 133582. [Google Scholar] [CrossRef]
- Dai, H.; Wei, S.; Noori, A. The mechanism of chelator improved the tolerance and accumulation of poplar to Cd explored through differential expression protein based on iTRAQ. J. Hazard. Mater. 2020, 393, 122370. [Google Scholar] [CrossRef]
- Rajasekar, A.; Wilkinson, S.; Moy, C.K.S. MICP as a potential sustainable technique to treat or entrap contaminants in the natural environment: A review. Environ. Sci. Ecotechnol. 2021, 6, 100096. [Google Scholar] [CrossRef]
- Mathivanan, K.; Chandirika, J.U.; Mathimani, T.; Rajaram, R.; Annadurai, G.; Yin, H. Production and functionality of exopolysaccharides in bacteria exposed to a toxic metal environment. Ecotoxicol. Environ. Saf. 2021, 208, 111567. [Google Scholar] [CrossRef]
- Yu, X.; Zhao, J.; Ding, Z.; Xiong, F.; Liu, X.; Tian, J.; Wu, N. Cadmium-absorptive Bacillus vietnamensis 151–6 reduces the grain cadmium accumulation in rice (Oryza sativa L.): Potential for cadmium bioremediation. Ecotoxicol. Environ. Saf. 2023, 254, 114760. [Google Scholar] [CrossRef]
- Han, H.; Zhang, H.; Qin, S.; Zhang, J.; Yao, L.; Chen, Z.; Yang, J. Mechanisms of Enterobacter bugandensis TJ6 immobilization of heavy metals and inhibition of Cd and Pb uptake by wheat based on metabolomics and proteomics. Chemosphere 2021, 276, 130157. [Google Scholar] [CrossRef]
- Rehman, M.Z.u.; Rizwan, M.; Hussain, A.; Saqib, M.; Ali, S.; Sohail, M.I.; Shafiq, M.; Hafeez, F. Alleviation of cadmium (Cd) toxicity and minimizing its uptake in wheat (Triticum aestivum) by using organic carbon sources in Cd-spiked soil. Environ. Pollut. 2018, 241, 557–565. [Google Scholar] [CrossRef]
- Zhou, G.; Chen, L.; Zhang, C.; Ma, D.; Zhang, J. Bacteria–Virus Interactions Are More Crucial in Soil Organic Carbon Storage than Iron Protection in Biochar-Amended Paddy Soils. Environ. Sci. Technol. 2023, 57, 19713–19722. [Google Scholar] [CrossRef]
- Tang, H.; Meng, G.; Jiang, W.; Ma, Y.; Duan, R.; Hassan, M.U.; Altihani, F.A.; Hashem, M. Co-application of iron modified biochar and metal resistant bacteria alleviates antimony toxicity in rice by modulating morpho-physiological and biochemical traits and soil microbial activities. Environ. Technol. Innov. 2025, 38, 104184. [Google Scholar] [CrossRef]
- Shen, X.; Zhu, H.; Wang, P.; Zheng, L.; Hu, S.; Liu, C. Mechanistic and modeling insights into the immobilization of Cd and organic carbon during abiotic transformation of ferrihydrite induced by Fe(II). J. Hazard. Mater. 2022, 436, 129216. [Google Scholar] [CrossRef]
- Chen, K.-Y.; Tzou, Y.-M.; Chan, Y.-T.; Wu, J.-J.; Teah, H.-Y.; Liu, Y.-T. Removal and simultaneous reduction of Cr(VI) by organo-Fe(III) composites produced during coprecipitation and coagulation processes. J. Hazard. Mater. 2019, 376, 12–20. [Google Scholar] [CrossRef]
- Qu, C.; Fein, J.B.; Chen, W.; Ma, M.; Cai, P.; Huang, Q. Mechanistic investigation and modeling of Cd immobilization by iron (hydr)oxide-humic acid coprecipitates. J. Hazard. Mater. 2021, 420, 126603. [Google Scholar] [CrossRef]
- Yang, J.; Xia, X.; Liu, J.; Wang, J.; Hu, Y. Molecular Mechanisms of Chromium(III) Immobilization by Organo–Ferrihydrite Co-precipitates: The Significant Roles of Ferrihydrite and Carboxyl. Environ. Sci. Technol. 2020, 54, 4820–4828. [Google Scholar] [CrossRef]
- Xia, X.; Yang, J.; Yan, Y.; Wang, J.; Hu, Y.; Zeng, X. Molecular Sorption Mechanisms of Cr(III) to Organo-Ferrihydrite Coprecipitates Using Synchrotron-Based EXAFS and STXM Techniques. Environ. Sci. Technol. 2020, 54, 12989–12997. [Google Scholar] [CrossRef]
- He, Y.; Wang, K.; Zhao, Y.; Chen, Z.; Han, H. Urease-producing bacteria enhance the adsorption of Cd on organo-Fe hydroxide coprecipitates. Sep. Purif. Technol. 2024, 344, 127266. [Google Scholar] [CrossRef]
- Wang, T.J.; Wang, S.L.; Tang, X.C.; Fan, X.P.; Yang, S.; Yao, L.G.; Li, Y.D.; Han, H. Isolation of urease-producing bacteria and their effects on reducing Cd and Pb accumulation in lettuce (Lactuca sativa L.). Environ. Sci. Pollut. Res. 2020, 27, 8707–8718. [Google Scholar] [CrossRef]
- GBW-08501; Standard Substance for Component Analysis of Peach Leaves. National Standard Material Center: Beijng, China, 2018.
- Tessier, A.; Campbell, P.G.C.; Bisson, M. Sequential extraction procedure for the speciation of particulate trace-metals. Anal. Chem. 1979, 51, 844–851. [Google Scholar] [CrossRef]
- GBW-07402; Soil Composition Standard Material—Chestnut Soil. National Standard Material Center: Beijng, China, 2018.
- SSICA. Physical and Chemical Analyses of Soils; Shanghai Academic Press: Shanghai, China, 1980. [Google Scholar]
- Salvado, J.A.; Tesi, T.; Andersson, A.; Ingri, J.; Dudarev, O.V.; Semiletov, I.P.; Gustafsson, O. Organic carbon remobilized from thawing permafrost is resequestered by reactive iron on the Eurasian Arctic Shelf. Geophys. Res. Lett. 2015, 42, 8122–8130. [Google Scholar] [CrossRef]
- Ankit, N.; Prakash, D.; Sheoran, S.; Yadav, P.K.; Kumari, M.; Kumar, S.; Prajapat, K.; Alamri, S.; Siddiqui, M.H.; Gupta, R.K. Different cropping systems impact soil health by improving soil biological activities and total organic carbon content. Arch. Agron. Soil Sci. 2024, 70, 1–24. [Google Scholar] [CrossRef]
- Chen, X.; Yang, S.; Ma, J.; Huang, Y.; Wang, Y.; Zeng, J.; Li, J.; Li, S.; Long, D.; Xiao, X.; et al. Manganese and copper additions differently reduced cadmium uptake and accumulation in dwarf Polish wheat (Triticum polonicum L.). J. Hazard. Mater. 2023, 448, 130998. [Google Scholar] [CrossRef]
- Wang, J.; Wang, M.; Yu, L.; Sun, X.; Qin, L.; Liu, J.; Han, Y.; Chen, S. Integrating rhizosphere bacterial structure and metabolites with soil Cd availability in different parent paddy soils. Sci. Total Environ. 2024, 955, 177096. [Google Scholar] [CrossRef]
- Blanco-Vargas, A.; Rodríguez-Gacha, L.M.; Sánchez-Castro, N.; Garzón-Jaramillo, R.; Pedroza-Camacho, L.D.; Poutou-Piñales, R.A.; Rivera-Hoyos, C.M.; Díaz-Ariza, L.A.; Pedroza-Rodríguez, A.M. Phosphate-solubilizing Pseudomonas sp., and Serratia sp., co-culture for Allium cepa L. growth promotion. Heliyon 2020, 6, e05218. [Google Scholar] [CrossRef]
- Li, Q.; Xing, Y.; Huang, B.; Chen, X.; Ji, L.; Fu, X.; Li, T.; Wang, J.; Chen, G.; Zhang, Q. Rhizospheric mechanisms of Bacillus subtilis bioaugmentation-assisted phytostabilization of cadmium-contaminated soil. Sci. Total Environ. 2022, 825, 154136. [Google Scholar] [CrossRef]
- Alves, A.R.A.; Yin, Q.; Oliveira, R.S.; Silva, E.F.; Novo, L.A.B. Plant growth-promoting bacteria in phytoremediation of metal-polluted soils: Current knowledge and future directions. Sci. Total Environ. 2022, 838, 156435. [Google Scholar] [CrossRef]
- Tian, J.; Du, Y.; Yu, C.; Liu, W.; Zou, R.; Zhao, Y.; Zhang, T.; Jiang, Y.; Tian, Z. The influences of heavy metals on soil microbial C, N, P cycling and heavy metal resistance under different fertilization regimes. Environ. Pollut. 2025, 370, 125915. [Google Scholar] [CrossRef]
- Chhetri, G.; Kim, H.-J.; Jeon, J.-M.; Yoon, J.-J. Isolation of Massilia species capable of degrading Poly(3-hydroxybutyrate) isolated from eggplant (Solanum melongena L.) field. Chemosphere 2024, 368, 143776. [Google Scholar] [CrossRef]
- Zhang, P.; Xu, L.; Su, J.; Zhao, B.; Liu, Y.; Li, X. Ferrous-driven efficient removal of nitrate and various heavy metals by Zoogloea sp. ZP7 under oligotrophic conditions: Kinetics and heavy metal stress responses. J. Water Process Eng. 2024, 67, 106148. [Google Scholar] [CrossRef]
- Bafana, A.; Krishnamurthi, K.; Patil, M.; Chakrabarti, T. Heavy metal resistance in Arthrobacter ramosus strain G2 isolated from mercuric salt-contaminated soil. J. Hazard. Mater. 2010, 177, 481–486. [Google Scholar] [CrossRef]
- Wu, L.; Yue, W.; Wu, J.; Cao, C.; Liu, H.; Teng, Y. Metal-mining-induced sediment pollution presents a potential ecological risk and threat to human health across China: A meta-analysis. J. Environ. Manag. 2023, 329, 117058. [Google Scholar] [CrossRef]
- Zhong, C.; Lin, Z.; Hu, W.; Xu, Z. Evaluating the long-term stability of iron oxide-adsorbed cadmium: The role of organic acids and microbial agents in re-mobilization dynamics. J. Environ. Chem. Eng. 2025, 13, 115502. [Google Scholar] [CrossRef]
- Han, B.; Liu, J.; Zhu, R.; Chen, Q. Clay minerals inhibit the release of Cd(II) during the phase transformation of Cd(II)-ferrihydrite coprecipitates. J. Hazard. Mater. 2024, 462, 132723. [Google Scholar] [CrossRef]
- Disi, Z.A.; Attia, E.; Ahmad, M.I.; Zouari, N. Immobilization of heavy metals by microbially induced carbonate precipitation using hydrocarbon-degrading ureolytic bacteria. Biotechnol. Rep. 2022, 35, e00747. [Google Scholar] [CrossRef]
- Taharia, M.; Dey, D.; Das, K.; Sukul, U.; Chen, J.-S.; Banerjee, P.; Dey, G.; Sharma, R.K.; Lin, P.-Y.; Chen, C.-Y. Microbial induced carbonate precipitation for remediation of heavy metals, ions and radioactive elements: A comprehensive exploration of prospective applications in water and soil treatment. Ecotoxicol. Environ. Saf. 2024, 271, 115990. [Google Scholar] [CrossRef]
- Sun, L.; Zhang, X.; Ouyang, W.; Yang, E.; Cao, Y.; Sun, R. Lowered Cd toxicity, uptake and expression of metal transporter genes in maize plant by ACC deaminase-producing bacteria Achromobacter sp. J. Hazard. Mater. 2022, 423, 127036. [Google Scholar] [CrossRef]
- Jia, M.; Ma, J.; Zhou, Q.; Liu, L.; Jie, X.; Liu, H.; Qin, S.; Li, C.; Sui, F.; Fu, H.; et al. Effect of calcium and phosphorus on ammonium and nitrate nitrogen adsorption onto iron (hydr)oxides surfaces: CD-MUSIC model and DFT computation. Chemosphere 2024, 357, 142070. [Google Scholar] [CrossRef]
- Liu, J.; Zhu, R.; Liang, X.; Ma, L.; Lin, X.; Zhu, J.; He, H.; Parker, S.C.; Molinari, M. Synergistic adsorption of Cd(II) with sulfate/phosphate on ferrihydrite: An in situ ATR-FTIR/2D-COS study. Chem. Geol. 2018, 477, 12–21. [Google Scholar] [CrossRef]
- He, B.; Zhang, W.; Diao, Y.; Sun, S.; Zhang, Y.; Zhao, W.; Wen, F.; Yang, G. Mechanistic study of the adsorption capabilities of heavy metals on the surface of ferrihydrite: Batch sorption, modeling, and density functional theory. RSC Adv. 2025, 15, 1072–1080. [Google Scholar] [CrossRef]
- Yang, J.; Jiang, L.; Guo, Z.; Sarkodie, E.K.; Li, K.; Shi, J.; Peng, Y.; Liu, H.; Liu, X. The Cd immobilization mechanisms in paddy soil through ureolysis-based microbial induced carbonate precipitation: Emphasis on the coexisting cations and metatranscriptome analysis. J. Hazard. Mater. 2024, 465, 133174. [Google Scholar] [CrossRef] [PubMed]
- Dong, Q.; Tang, W.; Wang, X.; Liu, Y.; Guo, Y.; Yin, Y.; Cai, Y.; Jiang, G. Chelating agents desorb soil acid-soluble and iron-manganese oxide-bound Cd into dissolved Cd-chelate complexes yet with low phytoavailability. J. Hazard. Mater. 2025, 491, 137927. [Google Scholar] [CrossRef] [PubMed]
- Islam, F.; Khan, M.S.S.; Ahmed, S.; Ikram, A.U.; Hannan, F.; Jan, M.; Sajid, M.; Shoaib, A.A.Z.; Liu, S.; Chen, J. Dynamic interplay of silica-coated iron oxide nanocomposite on soil-plant system to mitigate Cd toxicity in rice. J. Clean. Prod. 2024, 471, 143267. [Google Scholar] [CrossRef]
- Du, H.; Huang, Q.; Lei, M.; Tie, B. Sorption of Pb(II) by nanosized ferrihydrite organo-mineral composites formed by adsorption versus coprecipitation. ACS Earth Space Chem. 2018, 2, 556–564. [Google Scholar] [CrossRef]
- Cai, W.; Yan, Y.-T.; Fan, X.-D.; Zhang, H.; Lu, J.-L.; Wu, Y.-L.; Liu, J.; Zhang, W.-Y.; Wang, Y.-Y. A new multi-functional Cd(II)-organic framework as a platform for high selective fluorescence sensing and dye adsorption. J. Mol. Struct. 2024, 1302, 137528. [Google Scholar] [CrossRef]
- Wang, X.; Jia, P.; Hua, Y.; Xu, H.; Xi, M.; Jiang, Z. Natural organic matter changed the capacity and mechanism of Pb and Cd adsorptions on iron oxide modified biochars. Sep. Purif. Technol. 2023, 314, 123625. [Google Scholar] [CrossRef]
- Bao, Y.; Lai, J.; Wang, Y.; Fang, Z.; Su, Y.; Alessi, D.S.; Bolan, N.S.; Wu, X.; Zhang, Y.; Jiang, X.; et al. Effect of fulvic acid co-precipitation on biosynthesis of Fe(III) hydroxysulfate and its adsorption of lead. Environ. Pollut. 2022, 295, 118669. [Google Scholar] [CrossRef]
- Wang, P.; Lu, Y.; Hu, S.; Tian, L.; Liang, Y.; Shi, Z. Kinetics of Ni reaction with organic matter-ferrihydrite composites: Experiments and modeling. Chem. Eng. J. 2020, 379, 122306. [Google Scholar] [CrossRef]
- Chen, H.; Tan, W.; Lv, W.; Xiong, J.; Wang, X.; Yin, H.; Fang, L. Molecular Mechanisms of Lead Binding to Ferrihydrite–Bacteria Composites: ITC, XAFS, and μ-XRF Investigations. Environ. Sci. Technol. 2020, 54, 4016–4025. [Google Scholar] [CrossRef]
- Yu, Q.; Mishra, B.; Fein, J.B. Role of bacterial cell surface sulfhydryl sites in cadmium detoxification by Pseudomonas putida. J. Hazard. Mater. 2020, 391, 122209. [Google Scholar] [CrossRef]
- Zeng, W.; Li, F.; Wu, C.; Yu, R.; Wu, X.; Shen, L.; Liu, Y.; Qiu, G.; Li, J. Role of extracellular polymeric substance (EPS) in toxicity response of soil bacteria Bacillus sp. S3 to multiple heavy metals. Bioprocess Biosyst. Eng. 2020, 43, 153–167. [Google Scholar] [CrossRef] [PubMed]
- Galisteo, C.; Puente-Sánchez, F.; de la Haba, R.R.; Bertilsson, S.; Sánchez-Porro, C.; Ventosa, A. Metagenomic insights into the prokaryotic communities of heavy metal-contaminated hypersaline soils. Sci. Total Environ. 2024, 951, 175497. [Google Scholar] [CrossRef] [PubMed]
- Zhang, Q.; Chen, H.-F.; Huang, D.-Y.; Guo, X.-B.; Xu, C.; Zhu, H.-H.; Li, B.; Liu, T.-T.; Feng, R.-W.; Zhu, Q.-H. Sulfur fertilization integrated with soil redox conditions reduces Cd accumulation in rice through microbial induced Cd immobilization. Sci. Total Environ. 2022, 824, 153868. [Google Scholar] [CrossRef] [PubMed]
- Li, J.; Li, Q.; Liang, S.; Zhang, B.; Wang, J.; Yu, Y.; Xia, L.; Zhang, Y.; Wang, Y. Aging mechanism of biochar based on fluorescence spectroscopy: Assessing soil dissolved organic matter (DOM) dynamics and Cd bioavailability. Chem. Eng. J. 2025, 505, 159538. [Google Scholar] [CrossRef]
- Li, G.; Duan, R.; Liang, X.; Liu, H.; Qin, S.; Wang, L.; Fu, H.; Zhao, P.; Li, C. Zinc oxide nanoparticles and nano-hydroxyapatite enhanced Cd immobilization, activated antioxidant activity, improved wheat growth, and minimized dietary health risks in soil-wheat system. J. Environ. Chem. Eng. 2024, 12, 113574. [Google Scholar] [CrossRef]
- Feng, Y.; Yang, J.; Liu, W.; Yan, Y.; Wang, Y. Hydroxyapatite as a passivator for safe wheat production and its impacts on soil microbial communities in a Cd-contaminated alkaline soil. J. Hazard. Mater. 2021, 404, 124005. [Google Scholar] [CrossRef]
- Wang, X.-H.; Luo, W.-W.; Wang, Q.; He, L.-Y.; Sheng, X.-F. Metal(loid)-resistant bacteria reduce wheat Cd and As uptake in metal(loid)-contaminated soil. Environ. Pollut. 2018, 241, 529–539. [Google Scholar] [CrossRef]









Disclaimer/Publisher’s Note: The statements, opinions and data contained in all publications are solely those of the individual author(s) and contributor(s) and not of MDPI and/or the editor(s). MDPI and/or the editor(s) disclaim responsibility for any injury to people or property resulting from any ideas, methods, instructions or products referred to in the content. |
© 2025 by the authors. Licensee MDPI, Basel, Switzerland. This article is an open access article distributed under the terms and conditions of the Creative Commons Attribution (CC BY) license (https://creativecommons.org/licenses/by/4.0/).
Share and Cite
Zhang, J.; Tang, S.; Wei, H.; Yao, L.; Chen, Z.; Han, H.; Ji, M.; Yang, J. Reducing Cd Uptake by Wheat Through Rhizosphere Soil N-C Cycling and Bacterial Community Modulation by Urease-Producing Bacteria and Organo-Fe Hydroxide Coprecipitates. Microorganisms 2025, 13, 1412. https://doi.org/10.3390/microorganisms13061412
Zhang J, Tang S, Wei H, Yao L, Chen Z, Han H, Ji M, Yang J. Reducing Cd Uptake by Wheat Through Rhizosphere Soil N-C Cycling and Bacterial Community Modulation by Urease-Producing Bacteria and Organo-Fe Hydroxide Coprecipitates. Microorganisms. 2025; 13(6):1412. https://doi.org/10.3390/microorganisms13061412
Chicago/Turabian StyleZhang, Junqing, Shuangjiao Tang, Hao Wei, Lunguang Yao, Zhaojin Chen, Hui Han, Mingfei Ji, and Jianjun Yang. 2025. "Reducing Cd Uptake by Wheat Through Rhizosphere Soil N-C Cycling and Bacterial Community Modulation by Urease-Producing Bacteria and Organo-Fe Hydroxide Coprecipitates" Microorganisms 13, no. 6: 1412. https://doi.org/10.3390/microorganisms13061412
APA StyleZhang, J., Tang, S., Wei, H., Yao, L., Chen, Z., Han, H., Ji, M., & Yang, J. (2025). Reducing Cd Uptake by Wheat Through Rhizosphere Soil N-C Cycling and Bacterial Community Modulation by Urease-Producing Bacteria and Organo-Fe Hydroxide Coprecipitates. Microorganisms, 13(6), 1412. https://doi.org/10.3390/microorganisms13061412

