How Long Until Agricultural Carbon Peaks in the Three Gorges Reservoir? Insights from 18 Districts and Counties
Abstract
1. Introduction
2. Global Agricultural Emissions: Models, Projections, and Policy Frameworks
2.1. Institutional and Technological Divergences in Regional Emission Patterns
2.2. Emission Scenario Projections and Policy Framework Development
3. Materials and Methods
3.1. Overview of the Study Area
3.2. Research Methods
3.2.1. IPCC Emission Factor Method
- (1)
- CH4 calculation method
- A.
- Emissions from rice cultivation
- B.
- Animal intestinal fermentation emissions [46]
- C.
- Animal waste management [46]
- (2)
- N2O calculation method
- A.
- Application of fertilizer emissions [46]
- B.
- Animal manure discharge [46]
- C.
- Cash crop straw is returned to the field [46]
- D.
- Atmospheric deposition and leaching N2O emissions [46]
- (3)
- GWP calculation method
3.2.2. Driver Analysis
3.2.3. Scenario Analysis
4. Results
4.1. Temporal and Spatial Distribution of GHG from Agricultural Sources in the Three Gorges Reservoir
4.1.1. Time Trend of GHG Emissions from Agricultural Sources in the Three Gorges Reservoir
4.1.2. Spatial Emission Trend of GHG from Agricultural Sources in the Three Gorges Reservoir
- (1)
- Spatial Distribution Patterns of Agricultural CH4 Emissions
- (2)
- Spatial Distribution Patterns of Agricultural N2O Emissions
4.2. GHG Composition and Driving Factors of Agricultural Sources in the Three Gorges Reservoir
4.2.1. Analysis of the Composition of GHG Emissions from Agricultural Sources in the Three Gorges Reservoir
- (1)
- Composition Analysis of CH4 Emissions
- (2)
- Composition Analysis of N2O Emissions
4.2.2. Analysis of the Composition of Emission Sources at the County Level in the Three Gorges Reservoir
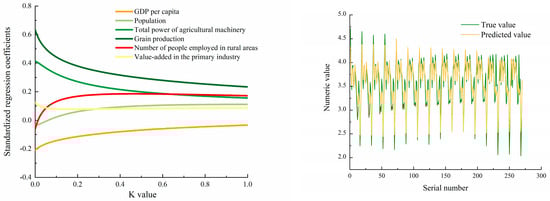
4.3. Driving Factors of GHG from Agricultural Sources in the Three Gorges Reservoir
4.4. Prediction of the Peak Trend of GHG Carbon from Agricultural Sources in the Three Gorges Reservoir
5. Discussion
- (1)
- Spatial Patterns and Policy Implications
- (2)
- Sectoral Contributions and Mitigation Pathways
- (3)
- Agricultural Carbon Dynamics in the Three Gorges Reservoir: Multidimensional Drivers and Decarbonization Pathways
- (4)
- Scenario-Driven Disparities in Agricultural Emission Peaks: Predictive Complexities and Policy Imperatives
6. Conclusions
- (1)
- Spatiotemporal Characteristics of GHG Emissions
- (2)
- Emission Source Composition
- (3)
- Driving Mechanism Analysis
- (4)
- Multi-Scenario Peaking Projections
Author Contributions
Funding
Data Availability Statement
Conflicts of Interest
References
- SaberiKamarposhti, M.; Ng, K.W.; Yadollahi, M.; Kamyab, H.; Cheng, J.; Khorami, M. Cultivating a sustainable future in the artificial intelligence era: A comprehensive assessment of greenhouse gas emissions and removals in agriculture. Environ. Res. 2024, 250, 118528. [Google Scholar] [CrossRef] [PubMed]
- Han, X.; Yao, N.N.; Wang, X.J.; Deng, H.H.; Liao, H.X.; Fan, S.Q.; Chen, B.M. Short-term effects of asymmetric day and night warming on soil N2O, CO2, and CH4 emissions: A field experiment with an invasive and native plant. Appl. Soil. Ecol. 2023, 187, 104831. [Google Scholar] [CrossRef]
- Mulatu, K.A.; Nyawira, S.S.; Herold, M.; Carter, S.; Verchot, L. Nationally determined contributions to the 2015 Paris Agreement goals: Transparency in communications from developing country Parties. Clim. Policy 2024, 24, 211–227. [Google Scholar] [CrossRef]
- Liu, T. Challenges and Countermeasures for China’s Participation in International Cooperation on Climate Change under the Framework of the Paris Agreement—Take Paragraph 2 of Article 6 of the Paris Agreement as an Example. Sci. Law. J. 2024, 3. [Google Scholar] [CrossRef]
- Purba, S.F.; Djaenudin, D.; Astana, S.; Hariyadi, H.; Yulianti, A.; Yuniati, D.; Sari, U.K. The impact of oil palm and paddy production on greenhouse gas (GHG) emissions in Indonesia’s agricultural sector. IOP Conf. Ser. Earth Environ. Sci. 2023, 1266, 012042. [Google Scholar] [CrossRef]
- Smith, P.; Clark, H.; Dong, H.; Elsiddig, E.A.; Haberl, H.; Harper, R.; Tubiello, F. Chapter 11—Agriculture, forestry and other land use (AFOLU). In Climate Change 2014: Mitigation of Climate Change, IPCC Working Group III Contribution to AR5; Cambridge University Press: Cambridge, UK; New York, NY, USA, 2014. [Google Scholar]
- FAO. Work on Dimate Change: United Nations Climate Change Conference; Roman Food and Agriculture Organization of the United Nations: Marrakech, Morocco, 2006. [Google Scholar]
- Bouwman, A.F. Soils and the Greenhouse Effect; John Wiley & Son: Chichester, UK, 1990. [Google Scholar]
- Smith, P.; Martino, D.; Cai, Z.; Gwary, D.; Janzen, H.; Kumar, P.; Smith, J. Greenhouse gas mitigation in agriculture. Philos. Trans. R. Soc. Lond. 2008, 363, 789–813. [Google Scholar] [CrossRef] [PubMed]
- IPCC. Climate Change 2007: Mitigation of Climate Change. Contribution of Working Group Ⅲ to the Fourth Assessment Report of the Intergovernmental Panel on Climate Change; Cambridge University Press: Cambridge, UK; New York, NY, USA, 2007. [Google Scholar]
- Crippa, M.; Solazzo, E.; Guizzardi, D.; Monforti-Ferrario, F.; Tubiello, F.N.; Leip, A.J.N.F. Food systema are responsible for a third of global anthropogenic GHG emissions. Nat. Food 2021, 2, 198–209. [Google Scholar] [CrossRef]
- Fan, Z.; Qi, X.B.; Zeng, L.; Wu, F. Accounting of greenhouse gas emissions in the Chinese agricultural system from 1980 to 2020. Acta Ecol. Sin. 2022, 42, 9470–9482. [Google Scholar]
- Wang, C.; Qing, J.X.; Wen, C.H.; Luo, Y.C. Analysis of obstacles, causes and countermeasures of agricultural ecology development in the Three Gorges Reservoir. Yangtze River Technol. Econ. 2022, 6, 32–36. [Google Scholar]
- Hörtenhuber, S.J.; Größbacher, V.; Schanz, L.; Zollitsch, W.J. Implementing IPCC 2019 Guidelines into a National Inventory: Impacts of Key Changes in Austrian Cattle and Pig Farming. Sustainability 2023, 15, 4814. [Google Scholar] [CrossRef]
- Dioha, M.O.; Kumar, A. Exploring greenhouse gas mitigation strategies for agriculture in Africa: The case of Nigeria. Ambio 2020, 49, 1549–1566. [Google Scholar] [CrossRef] [PubMed]
- Singh, A.K.; Singh, U.; Panigrahi, D.C.; Singh, J. Updated greenhouse gas inventory estimates for Indian underground coal mining based on the 2019 IPCC refinements. iScience 2022, 25, 104946. [Google Scholar] [CrossRef] [PubMed]
- Zhang, L.H.; Yang, L.H.; Nan, J.; Cheng, Y. Assessment method and empirical evidence of greenhouse gas emissions from city-scale paddy field system based on LCA: A case study of Taizhou City. J. Earth Environ. 2023, 14, 796–808. [Google Scholar]
- Su, M.; Xia, L.L. Analysis of the influencing mechanism of spatiotemporal heterogeneity of agricultural greenhouse gas emissions in China. Environ. Sci. 2024, 45, 6775–6782. [Google Scholar]
- Huo, R.; Xi, X.; Zhang, Y.; Zhang, B.; Qu, J.; Zhang, R. Current situation and development trend of agricultural carbon emissions in China under the background of carbon neutrality. Chin. J. Agric. Mech. 2023, 44, 151–161. [Google Scholar] [CrossRef]
- Tang, B.W. China’s agricultural greenhouse gas emission reduction path from international experience. World Agric. 2022, 3, 18–24. [Google Scholar]
- Han, J.; Qu, J.; Maraseni, T.N.; Xu, L.; Zeng, J.; Li, H. A critical assessment of provincial-level variation in agricultural GHG emissions in China. J. Environ. Manag. 2021, 296, 113190. [Google Scholar] [CrossRef]
- Fang, F.; Sun, Z.W.; Gao, H.T.; Guo, J.S.; Li, Z. Research on soil N2O emission and denitrification in the subsidence zone of the Three Gorges Reservoir. Resour. Environ. Yangtze River Basin 2014, 23, 287–293. [Google Scholar]
- Li, R.; Lei, L.G.; Jiang, C.S.; Chai, X.S.; Huang, Z.; Fan, Z.W.; Hao, Q.J. N2O emissions and influencing factors in the subsidence zone of the Three Gorges Reservoir. Environ. Sci. 2016, 37, 2721–2730. [Google Scholar]
- Zhang, J.Y.; Su, W.Z. Agricultural development status and farmland CH4 and N2O emission and emission reduction countermeasures in the Three Gorges Reservoir. Chin. J. Soil. Sci. 2012, 43, 501–505. [Google Scholar]
- Yuxiao, W. Study on the Variation Characteristics of CO2 and CH4 Fluxes in the Mainstream and Typical Tributaries of Wanzhou Section of the Three Gorges Reservoir. Master’s Thesis, Chongqing Jiaotong University, Chongqing, China, 2020. [Google Scholar]
- Huang, C.; Zhao, D.; Fan, X.; Liu, C.; Zhao, G. Landscape dynamics facilitated non-point source pollution control and regional water security of the Three Gorges Reservoir, China. Environ. Impact Assess. Rev. 2022, 92, 106696. [Google Scholar] [CrossRef]
- Wang, L.; Wang, Y.C.; Duan, Y.J.; Chen, X.; Chen, Y.; Wang, Y.; Zhang, Y.; Zhang, Y.; Wang, Y. N2O quantity characteristics of water-gas interface in Xiangxi River Reservoir Bay of Three Gorges Reservoir. J. China Three Gorges Univ. (Nat. Sci. Ed.) 2012, 34, 14–18. [Google Scholar]
- Huo, P.; Li, H.; Huang, X.; Ma, X.; Liu, L.; Ji, W.; Liu, Y.; Gao, P. Dissolved greenhouse gas emissions from agricultural groundwater irrigation in the Guanzhong Basin of China. Environ. Pollut. 2022, 309, 119714. [Google Scholar] [CrossRef]
- Zhang, X.Z.; Wang, J.Y.; Zhang, T.L.; Li, B.L.; Yan, L. Assessment of nitrous oxide emissions from Chinese agricultural system and low-carbon measures. Jianasu J. Aaricultural Sci. 2021, 37, 1215–1223. [Google Scholar]
- He, D.L.; Wei, Y.Y.; Liu, Y.; Zhu, Y.; Chen, Y.H. Preliminary calculation and analysis of greenhouse gas emission from livestock and poultry breeding in Chongqing. Swne Prod. 2022, 75–80. [Google Scholar] [CrossRef]
- Zhang, X. Estimated N2O Emissions from Farmland in Sichuan and Chongqing. Master’s Thesis, South West University, Chongqing, China, 2008. [Google Scholar]
- Qin, S.P.; Li, T.; Zhang, Y.J.; Yang, M.; Hao, Y.H.; Wang, M.M.; Ma, X.Y.; Wang, C.X.; Yan, Y. Accounting of non-CO2 greenhouse gas emissions from agricultural sources in China. Acta Ecol. Sin. 2024, 44, 7536–7551. [Google Scholar]
- Włodarczyk, M.K.; Kosowska, G.A. Sustainable Consumption and Production of Edible Plants in the Context of Reaching the EU Climate Neutrality by 2050: A Literature Review. Sustainability 2024, 16, 10822. [Google Scholar] [CrossRef]
- Fiala, V.; Jacob, K.; Barnickel, C.; Feindt, P.H. Diverging Stories on food system transitions. A qualitative analysis of policy narratives in the public consultation on the European Commission’s Farm to Fork Strategy. J. Rural. Stud. 2024, 110, 103374. [Google Scholar] [CrossRef]
- Wang, X.Y. The difficulties and challenges of green transition in the Central and Eastern European member states of the European Union. Eurasian Econ. 2024, 48–65+129–130. [Google Scholar]
- Rana, B.; Parihar, C.M.; Jat, M.L.; Patra, K.; Nayak, H.S.; Reddy, K.S.; Abdallah, A.M. Combining sub-surface fertigation with conservation agriculture in intensively irrigated rice under rice-wheat system can be an option for sustainably improving water and nitrogen use-efficiency. Field Crops Res. 2023, 302, 109074. [Google Scholar] [CrossRef]
- Rao, Y.; Wang, X.; Li, H.; Ruan, Y. How can the Pearl River Delta urban agglomeration achieve the carbon peak target: Based on the perspective of an optimal sTablele economic growth path. J. Clean. Prod. 2024, 439, 140879. [Google Scholar] [CrossRef]
- Kostakis, I.; Armaos, S.; Abeliotis, K.; Theodoropoulou, E. The investigation of EKC within CO2 emissions framework: Empirical evidence from selected cross-correlated countries. Sustain. Anal. Model. 2023, 3, 100015. [Google Scholar] [CrossRef]
- Bimonte, S.; Stabile, A. Protected Areas and the Environmental Kuznets Curve in European countries. For. Policy Econ. 2024, 161, 103186. [Google Scholar] [CrossRef]
- Ziheng, L.; Muntasir, M.; Pengdong, Y. Driving force analysis and prediction of ecological footprint in urban agglomeration based on extended STIRPAT model and shared socioeconomic pathways (SSPs). J. Clean. Prod. 2023, 383, 135424. [Google Scholar]
- Li, L.; Awada, T.; Shi, Y.; Jin, V.L.; Kaiser, M. Global Greenhouse Gas Emissions from Agriculture: Pathways to Sustainable Reductions. Glob. Change Biol. 2025, 31, e70015. [Google Scholar] [CrossRef]
- Xie, W.; Zhu, A.; Ali, T.; Zhang, Z.; Chen, X.; Wu, F.; Davis, K.F. Publisher Correction: Crop switching can enhance environmental sustainability and farmer incomes in China. Nature 2023, 618, E26. [Google Scholar] [CrossRef]
- Zhuang, M.; Wang, X.; Yang, Y.; Wu, Y.; Wang, L.; Lu, X. Agricultural machinery could contribute 20% of total carbon and air pollutant emissions by 2050 and compromise carbon neutrality targets in China. Nat. Food 2025. [Google Scholar] [CrossRef]
- Cai, K.; Wu, L. Grey prediction of carbon emission and carbon peak in several developing countries. Eng. Appl. Artif. Intell. 2024, 133, 108210. [Google Scholar] [CrossRef]
- Ruan, L.M. Playing the key role of the Yangtze River Economic Belt to promote the safe operation of the Three Gorges Project and the high-quality development of the reservoir area. Water Resour. Dev. Res. 2024, 249, 22–26. [Google Scholar]
- IPCC. 2019 Refinement to the 2006 IPCC Guidelines for National Greenhouse Gas Inventory; IGES: Kanagawa, Japan, 2019. [Google Scholar]
- Zhang, W.F.; Li, L.K.; Chen, X.P.; Zhang, F.S. The present status and existing problems in China’s compound fertilizer development. Phosphate Compound Fertilizer 2009, 24, 14–16. [Google Scholar]
- Dang, Z.L.; Duan, L.J.; Wei, W.; Tang, H.J. Research and discussion on the compilation of agricultural greenhouse gas inventory at the city and county level. Resour. Conserv. Environ. Prot. 2020, 119–120+122. [Google Scholar]
- Hu, Y.; Lin, Y.; Jin, S.Q. Agricultural non-point source pollution situation and policy orientation of the 14th Five-Year Plan: A comparative analysis based on the communiqué of two national pollution source surveys. Environ. Prot. 2021, 49, 31–36. [Google Scholar]
- Jing, Y.Y.; Wang, S.S.; Zhang, X.X. Effects of Tannic Acid and Proanthocyanidins on Nitrogen Use Efficiency and Nitrous Oxide Emissions in Rape. J. Hebei Agric. Univ. 2024, 47, 49–57. [Google Scholar]
- O’Neill, B.C.; Liddle, B.; Jiang, L.; Smith, K.R.; Pachauri, S.; Dalton, M.; Fuchs, R. Demographic change and carbon dioxide emissions. Lancet 2012, 380, 157–164. [Google Scholar] [CrossRef]
- Wang, X.; Ma, S.T.; Pu, C. Research on the trend and influencing factors of agricultural carbon emissions in southwest China. Chin. Popul. Resour. Environ. 2017, 27, 231–234. [Google Scholar]
- Fang, K.; Tang, Y.; Zhang, Q.; Song, J.; Wen, Q.; Sun, H.; Xu, A. Will China peak its energy-related carbon emissions by 2030? Lessons from 30 Chinese provinces. Appl. Energy 2019, 255, 113852. [Google Scholar] [CrossRef]
- Wu, J.Y. Research on Carbon Emission Peak Prediction and Emission Reduction Path in Chongqing. Master’s Thesis, Nanning Normal University, Nanning, China, 2023. [Google Scholar]
- Ma, L.; Cheng, Z.; Bai, H. Research on carbon peak emission peak in Guyuan City, Ningxia. China-Arab Sci. Technol. Forum (Chin. Engl.) 2023, 5, 28–32. [Google Scholar] [CrossRef]
- Dandan, C. Prediction of Carbon Peak Time in Jiangxi Province Based on Random Forest Model. In Proceedings of the 2022 International Conference on Bigdata Blockchain and Economy Management (ICBBEM 2022), Wuhan, China, 25–27 March 2022. [Google Scholar]
- Lu, Y.F.; Xuan, W.; Zhao, L.W. Spatial-temporal pattern evolution of carbon emissions and carbon peak path prediction in Anhui Province: Based on STIRPAT extended model and ridge regression model. Areal Res. Dev. 2024, 43, 146–152+173. [Google Scholar]
- Dong, H.J.; Guan, H.L.; He, Y. Research on the path of achieving carbon peak and carbon neutrality in Shanxi Province. Product. Res. 2024, 70–76+161. [Google Scholar] [CrossRef]
- Zhang, C.H.; Zhang, J.Y.; Yu, S.Q. Prediction of carbon peaking in provinces along the Silk Road Economic Belt from a multi-scenario perspective. Ecol. Econ. 2025, 41, 80–88. [Google Scholar]
- Shang, Q. Research on the Influencing Factors and Peak Prediction of Carbon Emissions in the Construction Industry in Shandong Province. Master’s Thesis, Shandong Jianzhu University, Jinan, China, 2023. [Google Scholar]
- Qin, X.; Xu, X.; Yang, Q. Carbon peak prediction and emission reduction pathways of China’s low-carbon pilot cities: A case study of Wuxi city in Jiangsu province. J. Clean. Prod. 2024, 447, 141385. [Google Scholar] [CrossRef]
- Zhang, Q.L. Research on Simulation, Prediction and Control Strategy of Carbon Emission Reduction System Under the Goal of “Dual Carbon”. Master’s Thesis, North University for Nationalities, Yinchuan, China, 2023. [Google Scholar]

















| Animals (Southwest) (kg/Head/Year) | Cattle | Poultry | Goat | Pig |
|---|---|---|---|---|
| Nitrogen excretion | 40 | 0.6 | 12 | 16 |
| Animal intestinal CH4 emission factor | 69.9 | — | 3.6 | 1 |
| CH4 fecal emission factor | 1.953 | 0.012 | 0.133 | 0.770 |
| N2O fecal emission factor | 1.197 | 0.007 | 0.064 | 0.159 |
| Crop | Dry-to-Weight Ratio | Nitrogen Content of Straw | Economic Coefficients | Root-to-Crown Ratio |
|---|---|---|---|---|
| rice | 0.885 | 0.00753 | 0.489 | 0.125 |
| wheat | 0.87 | 0.00516 | 0.434 | 0.166 |
| corn | 0.86 | 0.0058 | 0.438 | 0.17 |
| soybean | 0.86 | 0.0181 | 0.425 | 0.13 |
| potato | 0.45 | 0.011 | 0.667 | 0.05 |
| rapeseed | 0.82 | 0.00548 | 0.271 | 0.15 |
| peanut | 0.90 | 0.0182 | 0.556 | 0.2 |
| vegetable | 0.15 | 0.008 | 0.83 | 0.25 |
| Variable | Symbol | Meaning | Unit |
|---|---|---|---|
| GHG emissions | I | CH4 or N2O emissions in the Three Gorges Reservoir | Tons of tons |
| Population size | p | Total population | 104 people |
| Affluence | A | Gross National Product per capita | yuan |
| Technology | T | Total power of agricultural machinery | vandrite |
| The vitality of agricultural development | G | Primary industry-added value | 104 yuan |
| Grain production | F | Annual grain production | ton |
| Labor vitality in the reservoir area | V | Number of rural employees | people unit |
| K = 0.123 | Regression Coefficients | Standard Error | T-Test Value | p-Value | R2 |
|---|---|---|---|---|---|
| Constant | −2.936 | 0.349 | −8.404 | 0.000 *** | 0.789 |
| GDP per capita | −0.066 | 0.014 | −4.553 | 0.000 *** | |
| Population | 0.021 | 0.022 | 0.951 | 0.342 | |
| Total power of agricultural machinery | 0.255 | 0.029 | 8.694 | 0.000 *** | |
| Grain production | 0.331 | 0.025 | 13.375 | 0.000 *** | |
| Number of people employed in the rural areas | 0.117 | 0.025 | 4.632 | 0.000 *** | |
| Value-added in the primary industry | 0.041 | 0.018 | 2.348 | 0.020 ** |
| District | Drivers | Benchmark Scenario | Low-Speed Development Scenario | High Speed Development Scenario |
|---|---|---|---|---|
| (%) | ||||
| Chongqing | GDP per capita | 8 | 6 | 10 |
| Population | 1.8 | 1.4 | 2.2 | |
| Total power of agricultural machinery | 0.6 | 0.3 | 1 | |
| Grain production | −0.8 | −0.6 | −1 | |
| Number of people employed in the rural areas | −3 | −2.5 | −4 | |
| Value-added in the primary industry | 8 | 5 | 10 | |
| Scenario | Baseline Scenario | Low-Speed Development Scenarios | Rapid Development Scenarios |
|---|---|---|---|
| District | Chongqing, Jiangjin, Fengdu, Yunyang, Fengjie | Changshou, Wanzhou, Zhongxian, Wushan, Wulong, Shizhu, Xingshan, Yichang, Zigui | Fuling, Badong, Kaizhou, Wuxi |
Disclaimer/Publisher’s Note: The statements, opinions and data contained in all publications are solely those of the individual author(s) and contributor(s) and not of MDPI and/or the editor(s). MDPI and/or the editor(s) disclaim responsibility for any injury to people or property resulting from any ideas, methods, instructions or products referred to in the content. |
© 2025 by the authors. Licensee MDPI, Basel, Switzerland. This article is an open access article distributed under the terms and conditions of the Creative Commons Attribution (CC BY) license (https://creativecommons.org/licenses/by/4.0/).
Share and Cite
Li, D.; Wang, Y.; Liu, H.; Li, C.; Cheng, J.; Zhang, X.; Li, P.; Wang, L.; Chang, R. How Long Until Agricultural Carbon Peaks in the Three Gorges Reservoir? Insights from 18 Districts and Counties. Microorganisms 2025, 13, 1217. https://doi.org/10.3390/microorganisms13061217
Li D, Wang Y, Liu H, Li C, Cheng J, Zhang X, Li P, Wang L, Chang R. How Long Until Agricultural Carbon Peaks in the Three Gorges Reservoir? Insights from 18 Districts and Counties. Microorganisms. 2025; 13(6):1217. https://doi.org/10.3390/microorganisms13061217
Chicago/Turabian StyleLi, Danqing, Yunqi Wang, Huifang Liu, Cheng Li, Jinhua Cheng, Xiaoming Zhang, Peng Li, Lintao Wang, and Renfang Chang. 2025. "How Long Until Agricultural Carbon Peaks in the Three Gorges Reservoir? Insights from 18 Districts and Counties" Microorganisms 13, no. 6: 1217. https://doi.org/10.3390/microorganisms13061217
APA StyleLi, D., Wang, Y., Liu, H., Li, C., Cheng, J., Zhang, X., Li, P., Wang, L., & Chang, R. (2025). How Long Until Agricultural Carbon Peaks in the Three Gorges Reservoir? Insights from 18 Districts and Counties. Microorganisms, 13(6), 1217. https://doi.org/10.3390/microorganisms13061217

