LuxR-Type Regulator RRP6 Positively Regulates the Biosynthesis of Plantaricin EF and Improves Its Production in Lactiplantibacillus plantarum 163
Abstract
1. Introduction
2. Materials and Methods
2.1. Strains and Culture Medium
2.2. Construction of Overexpression and Heteroexpression Strains
2.3. Screening the Regulatory Factors Related to the pln Locus of Plantaricin Biosynthesis
2.4. Effects of rrp6 Gene Overexpression on Plantaricin EF Production
2.5. Effects of rrp6 Gene Overexpression on the Transcriptional Levels of Related Genes in the pln Locus
2.6. Heterologous Expression and Purification of RRP6 Protein
2.7. In Vitro Binding of RRP6 Protein to Sequence of plnG1 Promoter
2.8. Molecular Docking
2.9. Site-Directed Mutagenesis of Key Amino Acids
2.10. EMSA of Mutated Protein and Binding Sites
2.11. Gene Knockout of rrp6
2.12. Effects of rrp6 Gene Knockout on the Growth Curve of L. plantarum 163 and the Plantaricin Yield
2.13. Effects of rrp6 Gene Knockout on the Transcription Level of Relevant Genes
2.14. Statistical Analysis
3. Results
3.1. TCS HPK6/RRP6 Associated with the pln Locus of Plantaricin Biosynthesis
3.2. Effects of rrp6 Overexpression on the Growth of L. plantarum 163 and Plantaricin EF Production
3.3. Effects of rrp6 Overexpression on Transcription Levels of pln Locus Associated Genes
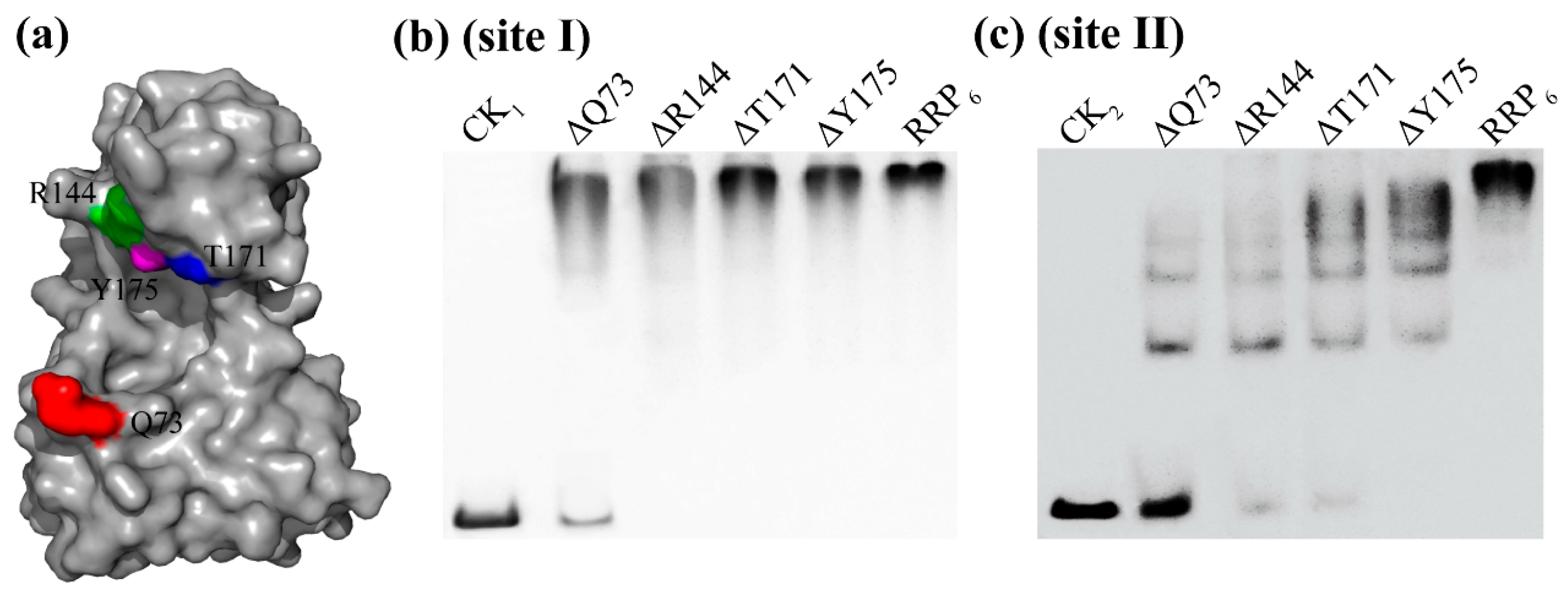
3.4. Identification of plnG1 Promoter Binding Sequence to RRP6 Protein
3.5. Binding of RRP6 Protein to Two Sequences
3.6. Mutated Protein and Nucleic Acid Interaction Detection
3.7. Effects of rrp6 Gene Knockout on the Growth of L. plantarum 163 and the Production of Plantaricin EF
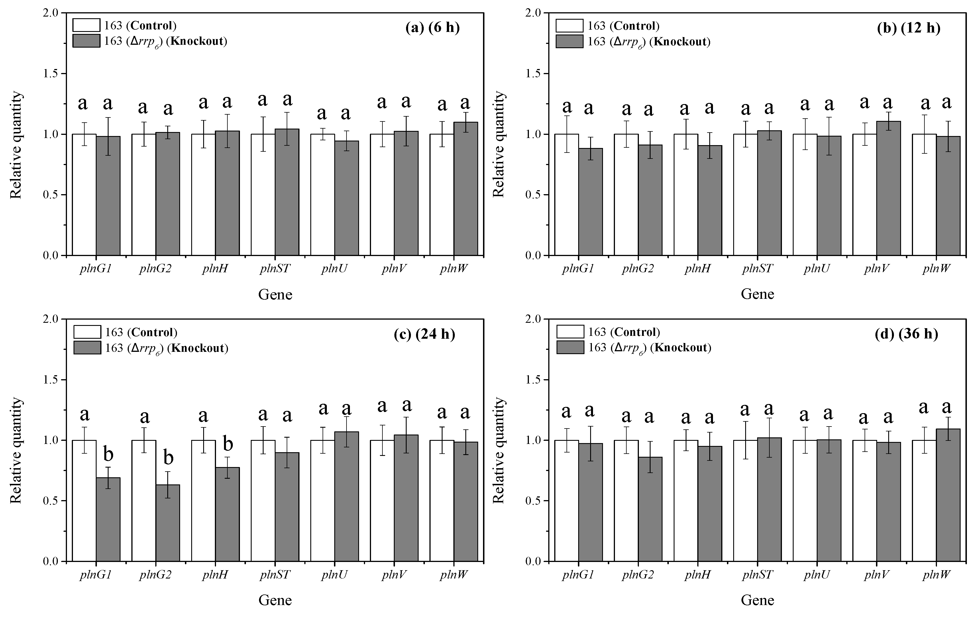
3.8. Effects of rrp6 Gene Knockout on the Transcription Levels of pln Locus Associated Genes in L. plantarum 163
4. Discussion
5. Conclusions
Supplementary Materials
Author Contributions
Funding
Institutional Review Board Statement
Informed Consent Statement
Data Availability Statement
Conflicts of Interest
Abbreviations
| AIP | Auto-inducing peptide |
| LAB | Lactic acid bacteria |
| QSS | Quorum-sensing system |
| TCS | Two-component system |
| CFS | Cell-free supernatant |
| EMSA | Electrophoretic mobility shift assay |
| PK | Protein kinase |
| RR | Response regulator |
| HPK | Histidine protein kinase |
References
- Zapasnik, A.; Sokolowska, B.; Bryla, M. Role of Lactic Acid Bacteria in food preservation and safety. Foods 2022, 11, 1283. [Google Scholar] [CrossRef]
- Agriopoulou, S.; Stamatelopoulou, E.; Sachadyn-Król, M.; Varzakas, T. Lactic Acid Bacteria as antibacterial agents to extend the shelf life of fresh and minimally processed fruits and vegetables: Quality and safety aspects. Microorganisms 2020, 8, 952. [Google Scholar] [CrossRef] [PubMed]
- He, X.A.; Cui, Y.; Jia, Q.Y.; Zhuang, Y.L.; Gu, Y.; Fan, X.J.; Ding, Y.Y. Response mechanisms of lactic acid bacteria under environmental stress and their application in the food industry. Food Biosci. 2025, 64, 105938. [Google Scholar] [CrossRef]
- Kang, A.N.; Mun, D.; Ryu, S.; Jae Lee, J.; Oh, S.; Kyu Kim, M.; Song, M.; Oh, S.; Kim, Y. Culturomic-, metagenomic-, and transcriptomic-based characterization of commensal lactic acid bacteria isolated from domestic dogs using Caenorhabditis elegans as a model for aging. J. Anim. Sci. 2022, 100, skac323. [Google Scholar] [CrossRef] [PubMed]
- Shahrir, S.Z.; Kee, P.E.; Ng, H.S.; Tan, J.S.; Lan, J.C.W. Evaluation of antimicrobial effect of bacteriocin produced by Lactobacillus acidophilus utilizing molasses and corn steep liquor. Biochem. Eng. J. 2024, 205, 109266. [Google Scholar] [CrossRef]
- Villarreal, L.A.; Ladero, V.; Sarquis, A.; Martinez, B.; del Rio, B.; Alvarez, M.A. Bacteriocins against biogenic amine-accumulating lactic acid bacteria in cheese: Nisin A shows the broadest antimicrobial spectrum and prevents the formation of biofilms. J. Dairy Sci. 2024, 107, 4277–4287. [Google Scholar] [CrossRef]
- Xu, C.; Fu, Y.Y.; Liu, F.; Liu, Z.J.; Ma, J.G.; Jiang, R.; Song, C.N.; Jiang, Z.M.; Hou, J.C. Purification and antimicrobial mechanism of a novel bacteriocin produced by Lactobacillus rhamnosus 1.0320. LWT-Food Sci. Technol. 2021, 137, 110338. [Google Scholar] [CrossRef]
- Gor, M.C.; Golneshin, A.; Van, T.T.H.; Moore, R.J.; Smith, A.T. Cloning and functional expression of a food-grade circular bacteriocin, plantacyclin B21AG, in probiotic Lactobacillus plantarum WCFS1. PLoS ONE 2020, 15, e0232806. [Google Scholar] [CrossRef]
- Hassan, M.U.; Nayab, H.; Rehman, T.U.; Williamson, M.P.; Haq, K.U.; Shafi, N.; Shafique, F. Characterisation of bacteriocins produced by Lactobacillus spp. Isolated from the traditional Pakistani yoghurt and their antimicrobial activity against common foodborne pathogens. BioMed Res. Int. 2020, 2020, 8281623. [Google Scholar] [CrossRef]
- Bu, Y.S.; Yang, H.; Li, J.X.; Liu, Y.X.; Liu, T.J.; Gong, P.M.; Zhang, L.W.; Wang, S.M.; Yi, H.X. Comparative metabolomics analyses of plantaricin Q7 production by Lactobacillus plantarum Q7. J. Agric. Food Chem. 2021, 69, 10741–10748. [Google Scholar] [CrossRef]
- Du, H.C.; Chi, H.B.; Yao, H.L.; Lu, Z.X.; Bie, X.M.; Zhang, C.; Zhao, H.Z.; Lu, F.X.; Chen, M.R. The antibacterial activity of plantaricin GZ1-27 against MRSA and its bio-preservative effect on chilled pork in combination with chitosan. Int. J. Food Microbiol. 2022, 365, 109539. [Google Scholar] [CrossRef]
- Pei, J.J.; Jin, W.G.; Abd El-Aty, A.M.; Baranenko, D.A.; Gou, X.X.; Zhang, H.X.; Geng, J.Z.; Jiang, L.; Chen, D.J.; Yue, T.L. Isolation, purification, and structural identification of a new bacteriocin made by Lactobacillus plantarum found in conventional kombucha. Food Control 2020, 110, 106923. [Google Scholar] [CrossRef]
- Wei, Z.Q.; Fan, P.R.; Li, B.; Madjirebaye, P.; Peng, Z.; Xiong, T. Optimization of culture medium ingredients and culture conditions for bacteriocin production in Lactococcus lactis NCU036019. Biotechnol. Appl. Biochem. 2025, 72, 985–998. [Google Scholar] [CrossRef]
- Wang, S.C.; Song, X.D.; Zheng, X.; Cheng, C.Y.; Jin, J.H.; Xie, Y.H.; Zhang, H.X. FliA regulates the antibacterial activity of plantaricin BM-1 against Escherichia coli K-12 through the LuxS/AI-2 quorum-sensing-mediated biofilm formation. Front. Microbiol. 2025, 16, 1606567. [Google Scholar] [CrossRef]
- Diep, D.B.; Straume, D.; Kjos, M.; Torres, C.; Nes, I.F. An overview of the mosaic bacteriocin pln loci from Lactobacillus plantarum. Peptides 2009, 30, 1562–1574. [Google Scholar] [CrossRef]
- Blanchard, A.E.; Liao, C.; Lu, T. An ecological understanding of quorum sensing-controlled bacteriocin synthesis. Cell. Mol. Bioeng. 2016, 9, 443–454. [Google Scholar] [CrossRef]
- Axelsson, L.; Holck, A. The genes involved in production of and immunity to sakacin A, a bacteriocin from Lactobacillus sake Lb706. J. Bacteriol. 1995, 177, 2125–2137. [Google Scholar] [CrossRef] [PubMed]
- Quadri, L.E.N. Regulation of antimicrobial peptide production by autoinducer-mediated quorum sensing in lactic acid bacteria. Antonie Van Leeuwenhoek 2002, 82, 133–145. [Google Scholar] [CrossRef]
- Yan, Y.S.; Zou, L.S.; Wei, H.G.; Yang, M.Y.; Yang, Y.Q.; Li, X.F.; Xia, H.Y. An atypical two-component system, AtcR/AtcK, simultaneously regulates the biosynthesis of multiple secondary metabolites in Streptomyces bingchenggensis. Appl. Environ. Microbiol. 2024, 90, e0130023. [Google Scholar] [CrossRef] [PubMed]
- Zhao, D.Y.; Wang, Q.; Meng, F.Q.; Lu, F.X.; Bie, X.M.; Lu, Z.X.; Lu, Y.J. TetR-type regulator Lp_2642 positively regulates plantaricin EF production based on genome-wide transcriptome sequencing of Lactiplantibacillus plantarum 163. J. Agric. Food Chem. 2022, 70, 4362–4372. [Google Scholar] [CrossRef]
- Wang, K.P.; Liu, P.P.; Xia, Y.H.; Gao, D.S.; Chang, H.T.; Wang, X.W.; Li, Y.T.; Zhao, J.; Chen, L.; Wang, C.Q.; et al. Construction of recombinant Lactobacillus casei expressing Gallibacterium anatis flfA and evaluation of oral immune effect. Chin. J. Agric. Biotechnol. 2020, 28, 1652–1661. [Google Scholar]
- Yang, Y.Q.; Yu, Q.L.; Wang, M.; Zhao, R.; Liu, H.W.; Xun, L.Y.; Xia, Y.Z. Escherichia coli BW25113 competent cells prepared using a simple chemical method have unmatched transformation and cloning efficiencies. Front. Microbiol. 2022, 13, 838698. [Google Scholar] [CrossRef] [PubMed]
- Zhao, D.Y.; Meng, F.Q.; Zhou, L.B.; Lu, F.X.; Bie, X.M.; Sun, J.; Lu, Z.X.; Lu, Y.J. Maltose effective improving production and regulatory biosynthesis of plantaricin EF in Lactobacillus plantarum 163. Appl. Microbiol. Biotechnol. 2021, 105, 2713–2723. [Google Scholar] [CrossRef] [PubMed]
- Bian, S.L.; Shao, D.K.; Zhao, Q.S.; Li, Q.H.; Ren, Y.J. Transcriptome-based screening of candidate low-temperature-associated genes and analysis of the BocARR-B transcription factor gene family in kohlrabi (Brassica oleracea L. var. caulorapa L.). Int. J. Mol. Sci. 2024, 25, 9261. [Google Scholar] [CrossRef] [PubMed]
- Zhao, D.Y.; Wang, Q.; Lu, F.X.; Bie, X.M.; Zhao, H.Z.; Lu, Z.X.; Lu, Y.J. A novel plantaricin 827 effectively inhibits Staphylococcus aureus and extends shelf life of skim milk. LWT-Food Sci. Technol. 2022, 154, 112849. [Google Scholar] [CrossRef]
- Ueharu, H.; Higuchi, M.; Nishimura, N.; Yoshida, S.; Shibuya, S.; Sensui, K.; Kato, T.; Kato, Y. Expression of Kruppel-like Factor 6, KLF6, in rat pituitary stem/progenitor Cells and its regulation of the PRRX2 gene. J. Reprod. Dev. 2014, 60, 304–311. [Google Scholar] [CrossRef]
- Chang, S.C.; Lee, C.Y. Quorum-sensing regulator OpaR directly represses seven protease genes in Vibrio parahaemolyticus. Front. Microbiol. 2020, 11, 534692. [Google Scholar] [CrossRef]
- Hacisuleyman, A.; Erman, B. Fine tuning rigid body docking results using the dreiding force field: A computational study of 36 known nanobody-protein complexes. Proteins 2023, 91, 1417–1426. [Google Scholar] [CrossRef]
- Polonsky, K.; Pupko, T.; Freund, N.T. Evaluation of the ability of AlphaFold to predict the three-dimensional structures of antibodies and epitopes. J. Immunol. 2023, 211, 1578–1588. [Google Scholar] [CrossRef]
- Launay, G.; Ohue, M.; Santero, J.P.; Matsuzaki, Y.; Hilpert, C.; Uchikoga, N.; Hayashi, T.; Martin, J. Evaluation of CONSRANK-like scoring functions for rescoring ensembles of protein-protein docking poses. Front. Mol. Biosci. 2020, 7, 559005. [Google Scholar] [CrossRef]
- Fuhren, J.; Schwalbe, M.; Peralta-Marzal, L.; Rösch, C.; Schols, H.A.; Kleerebezem, M. Phenotypic and genetic characterization of differential galacto-oligosaccharide utilization in Lactobacillus plantarum. Sci. Rep. 2020, 10, 21657. [Google Scholar] [CrossRef]
- Bu, Y.S.; Liu, Y.X.; Li, J.X.; Liu, T.J.; Gong, P.M.; Zhang, L.W.; Wang, Y.; Yi, H.X. Analyses of plantaricin Q7 synthesis by Lactobacillus plantarum Q7 based on comparative transcriptomics. Food Control 2021, 124, 107909. [Google Scholar] [CrossRef]
- Davey, L.; Halperin, S.A.; Lee, S.F. Mutation of the thiol-disulfide oxidoreductase SdbA activates the CiaRH two-component system, leading to bacteriocin expression shutdown in Streptococcus gordonii. J. Bacteriol. 2016, 198, 321–331. [Google Scholar] [CrossRef] [PubMed]
- Schnorpfeil, A.; Kranz, M.; Kovács, M.; Kirsch, C.; Gartmann, J.; Brunner, I.; Bittmann, S.; Brückner, R. Target evaluation of the non-coding csRNAs reveals a link of the two-component regulatory system CiaRH to competence control in Streptococcus pneumoniae R6. Mol. Microbiol. 2013, 89, 334–349. [Google Scholar] [CrossRef] [PubMed]
- Heng, N.C.K.; Tagg, J.R.; Tompkins, G.R. Competence-dependent bacteriocin production by Streptococcus gordonii DL1 (challis). J. Bacteriol. 2007, 189, 1468–1472. [Google Scholar] [CrossRef]
- Ducros, V.M.A.; Lewis, R.J.; Verma, C.S.; Dodson, E.J.; Leonard, G.; Turkenburg, J.P.; Murshudov, G.N.; Wilkinson, A.J.; Brannigan, J.A. Crystal structure of GerE, the ultimate transcriptional regulator of spore formation in Bacillus subtilis. J. Mol. Biol. 2001, 306, 759–771. [Google Scholar] [CrossRef]
- Pristovsek, P.; Sengupta, K.; Löhr, F.; Schafer, B.; von Trebra, M.W.; Rüterjans, H.; Bernhard, F. Structural analysis of the DNA-binding domain of the Erwinia amylovora RcsB protein and its interaction with the RcsAB box. J. Biol. Chem. 2003, 278, 17752–17759. [Google Scholar] [CrossRef]
- Zhang, R.G.; Pappas, K.M.; Brace, J.L.; Miller, P.C.; Oulmassov, T.; Molyneaux, J.M.; Anderson, J.C.; Bashkin, J.K.; Winans, S.C.; Joachimiak, A. Structure of a bacterial quorum-sensing transcription factor complexed with pheromone and DNA. Nature 2002, 417, 971–974. [Google Scholar] [CrossRef]
- Wang, T.L.; Yang, Y.W.; Zhao, T.C. The LuxR-like regulator LuxR-2460 controls virulence and biofilm formation in Acidovorax citrulli. Acta Phytopathol. Sin. 2016, 46, 328–337. [Google Scholar]
- Maris, A.E.; Sawaya, M.R.; Kaczor-Grzeskowiak, M.; Jarvis, M.R.; Bearson, S.M.D.; Kopka, M.L.; Schröder, I.; Gunsalus, R.P.; Dickerson, R.E. Dimerization allows DNA target site recognition by the NarL response regulator. Nat. Struct. Biol. 2002, 9, 771–778. [Google Scholar] [CrossRef]
- Liu, W.; Li, Y.; Bai, X.; Wu, H.G.; Bian, L.X.; Hu, X.K. LuxR-type regulator AclR1 of Azorhizobium caulinodans regulates Cyclic di-GMP and numerous phenotypes in free-living and symbiotic states. Mol. Plant Microbe Interact. 2020, 33, 528–538. [Google Scholar] [CrossRef]
- Boos, W.; Shuman, H. Maltose/maltodextrin system of Escherichia coli: Transport, metabolism, and regulation. Microbiol. Mol. Biol. Rev. 1998, 62, 204–229. [Google Scholar] [CrossRef] [PubMed]
- Suzuki, Y.; Kawada-Matsuo, M.; Le, M.-T.; Eng, S.; Hisatsune, J.; Sugai, M.; Sakaguchi, T.; Komatsuzawa, H. The two-component regulatory systems GraRS and SrrAB mediate Staphylococcus aureus susceptibility to Pep5 produced by clinical isolate of Staphylococcus epidermidis. Appl. Environ. Microbiol. 2024, 90, e0030024. [Google Scholar] [CrossRef] [PubMed]
- Nguyen, T.V.A.; Hong, S.H. Whole genome-based phylogenetic analysis of bacterial two-component systems. Biotechnol. Bioprocess Eng. 2008, 13, 288–292. [Google Scholar] [CrossRef]
- Chang, C.; Stewart, R.C. The two-component system—Regulation of diverse signaling pathways in prokaryotes and eukaryotes. Plant Physiol. 1998, 117, 723–731. [Google Scholar] [CrossRef]
- Itou, H.; Tanaka, I. The OmpR-family of proteins: Insight into the tertiary structure and functions of two-component regulator proteins. Microbes Infect. 2001, 129, 343–350. [Google Scholar] [CrossRef]
- Szurmant, H.; Ordal, G.W. Diversity in chemotaxis mechanisms among the bacteria and archaea. Microbiol. Mol. Biol. Rev. 2004, 68, 301–319. [Google Scholar] [CrossRef]
- Meng, F.Q.; Lu, F.X.; Du, H.C.; Nie, T.; Zhu, X.Y.; Connerton, I.F.; Zhao, H.Z.; Bie, X.M.; Zhang, C.; Lu, Z.X.; et al. Acetate and auto-inducing peptide are independent triggers of quorum sensing in Lactobacillus plantarum. Mol. Microbiol. 2021, 116, 298–310. [Google Scholar] [CrossRef]
- Havarstein, L.S.; Diep, D.B.; Nes, I.F. A family of bacteriocin ABC transporters carry out proteolytic processing of their substrates concomitant with export. Mol. Microbiol. 1995, 16, 229–240. [Google Scholar] [CrossRef]







| Gene Name | Function | Gene Name | Function |
| plnorf3 | Bacteriocin | plnE | Bacteriocin |
| plnorf5 | Immunoprotein | plnG1 | ABC transporter protein |
| plnorfZ3 | Unknown function | plnG2 | ABC transporter protein |
| plnR | Unknown function | plnH | ABC transporter, accessory factor |
| plnL | Immunoprotein | plnST | Integral membrane protein |
| plnK | Bacteriocin | plnU | Integral membrane protein |
| plnA | Self-induced peptide | plnV | Integral membrane protein |
| plnB | Histidine protein kinase | plnW | Integral membrane protein |
| plnD | Response regulator | plnX | Type II toxin-antitoxin system RelE/ParE family toxin |
| plnI | Immunoprotein | plnY | HigA family addiction module antitoxin |
| plnF | Bacteriocin |
Disclaimer/Publisher’s Note: The statements, opinions and data contained in all publications are solely those of the individual author(s) and contributor(s) and not of MDPI and/or the editor(s). MDPI and/or the editor(s) disclaim responsibility for any injury to people or property resulting from any ideas, methods, instructions or products referred to in the content. |
© 2025 by the authors. Licensee MDPI, Basel, Switzerland. This article is an open access article distributed under the terms and conditions of the Creative Commons Attribution (CC BY) license (https://creativecommons.org/licenses/by/4.0/).
Share and Cite
Liu, Y.; Liu, S.; Li, Z.; Huo, C.; Wang, G.; Zeng, X.; Xin, B.; Zhao, D. LuxR-Type Regulator RRP6 Positively Regulates the Biosynthesis of Plantaricin EF and Improves Its Production in Lactiplantibacillus plantarum 163. Microorganisms 2025, 13, 2780. https://doi.org/10.3390/microorganisms13122780
Liu Y, Liu S, Li Z, Huo C, Wang G, Zeng X, Xin B, Zhao D. LuxR-Type Regulator RRP6 Positively Regulates the Biosynthesis of Plantaricin EF and Improves Its Production in Lactiplantibacillus plantarum 163. Microorganisms. 2025; 13(12):2780. https://doi.org/10.3390/microorganisms13122780
Chicago/Turabian StyleLiu, Yaxuan, Siqi Liu, Zixian Li, Chuangen Huo, Guangli Wang, Xin Zeng, Bingyue Xin, and Deyin Zhao. 2025. "LuxR-Type Regulator RRP6 Positively Regulates the Biosynthesis of Plantaricin EF and Improves Its Production in Lactiplantibacillus plantarum 163" Microorganisms 13, no. 12: 2780. https://doi.org/10.3390/microorganisms13122780
APA StyleLiu, Y., Liu, S., Li, Z., Huo, C., Wang, G., Zeng, X., Xin, B., & Zhao, D. (2025). LuxR-Type Regulator RRP6 Positively Regulates the Biosynthesis of Plantaricin EF and Improves Its Production in Lactiplantibacillus plantarum 163. Microorganisms, 13(12), 2780. https://doi.org/10.3390/microorganisms13122780

