Metagenomic Identification and Characterization of Novel Vitamin B12 Synthesizers from the Rumen of Beef Cattle Fed High-Lipid Inclusion Diets
Abstract
1. Introduction
2. Materials and Methods
2.1. Rumen Samples
2.2. Microbial Genomic DNA Purification and PCR Amplification of the 16S rRNA Gene
2.3. Bacterial Composition Analysis
2.4. Metagenomics Analysis
2.5. Data Visualization and Statistical Analysis
3. Results
3.1. 16S rRNA Gene-Based Rumen Bacterial Composition Analysis from Steers Fed Diets with High Inclusion of Triglycerides
3.2. Characterizing the Metabolic Potential of Predominant OTUs Through Assembly of Metagenomes
3.2.1. Genomic Potential of Bt-1367
3.2.2. Genomic Potential of Bt-995
3.2.3. Genomic Potential of Bt-1391
4. Discussion
4.1. Hydrolysis and Biohydrogenation Potential of Bt-1367, Bt-0995 and Bt-1391
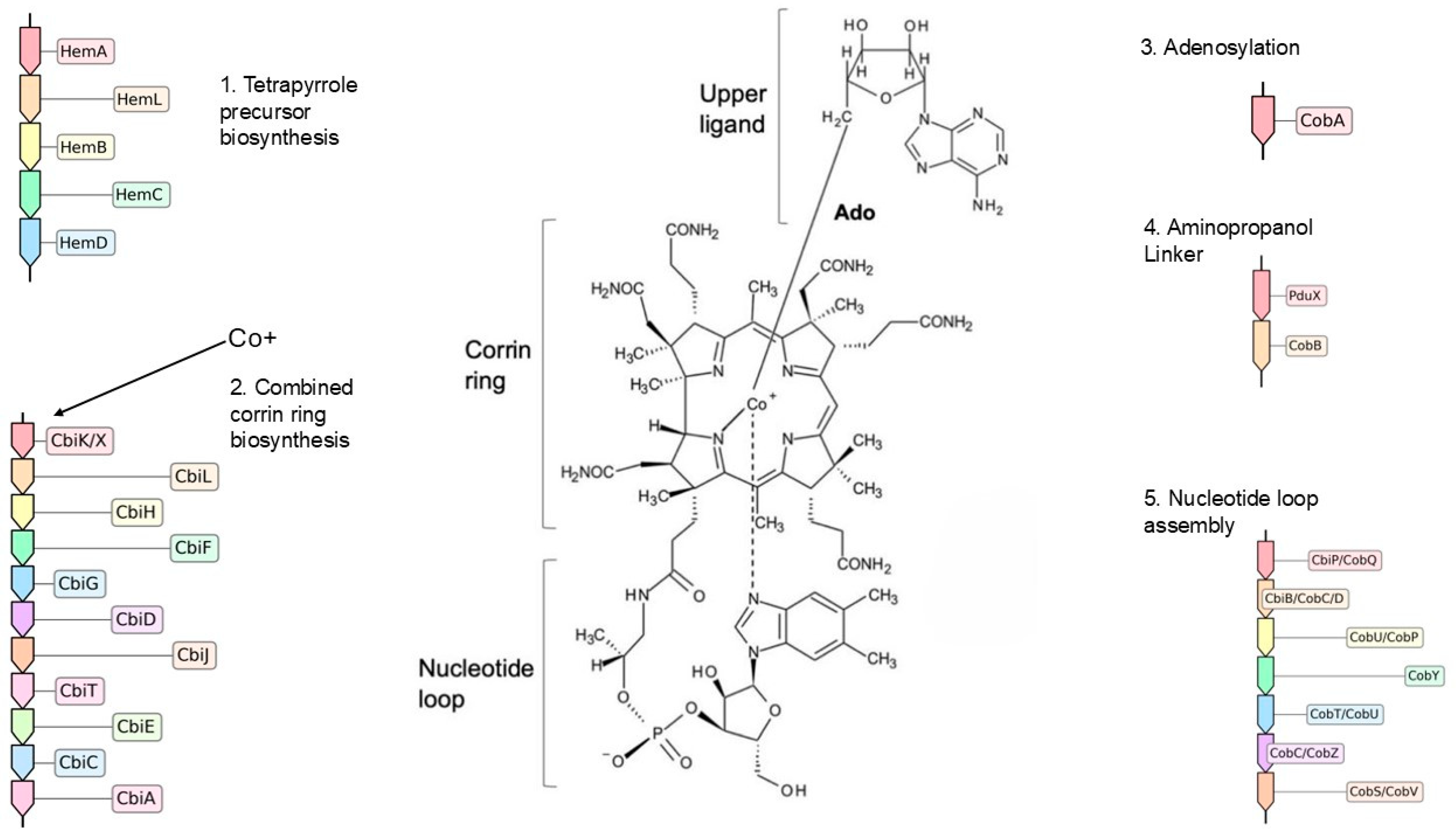
4.2. Vitamin B12-Dependent Pathways Were Shared by OTUs That Were Predominant Under Conditions of Elevated Unsaturated Fatty Acid Supplementation
4.3. Vitamin B12 Synthesis and Scavenging Capabilities of Bt-995 and Bt-1367
4.4. Limitations of the Study
5. Conclusions
Supplementary Materials
Author Contributions
Funding
Institutional Review Board Statement
Informed Consent Statement
Data Availability Statement
Acknowledgments
Conflicts of Interest
References
- Oerly, A.; Johnson, M.; Soule, J. Economic, Social, and Environmental Impacts of Cattle on Grazing Land Ecosystems. Rangelands 2022, 44, 148–156. [Google Scholar] [CrossRef]
- Choudhury, P.K.; Salem, A.Z.M.; Jena, R.; Kumar, S.; Singh, R.; Puniya, A.K. Rumen Microbiology: An Overview. In Rumen Microbiology: From Evolution to Revolution; Puniya, A.K., Singh, R., Kamra, D.N., Eds.; Springer: New Delhi, India, 2015; pp. 3–16. ISBN 978-81-322-2401-3. [Google Scholar]
- Liu, J.; Bai, Y.; Liu, F.; Kohn, R.A.; Tadesse, D.A.; Sarria, S.; Li, R.W.; Song, J. Rumen Microbial Predictors for Short-Chain Fatty Acid Levels and the Grass-Fed Regimen in Angus Cattle. Animals 2022, 12, 2995. [Google Scholar] [CrossRef]
- Caton, J.S.; Crouse, M.S.; Dahlen, C.R.; Ward, A.K.; Diniz, W.J.S.; Hammer, C.J.; Swanson, R.M.; Reynolds, L.P. Review: Micronutrient supply, developmental programming, and strategic supplementation in ruminant livestock. Animal 2025, 19, 101563. [Google Scholar] [CrossRef]
- González-Montaña, J.-R.; Escalera-Valente, F.; Alonso, A.J.; Lomillos, J.M.; Robles, R.; Alonso, M.E. Relationship between Vitamin B12 and Cobalt Metabolism in Domestic Ruminant: An Update. Animals 2020, 10, 1855. [Google Scholar] [CrossRef]
- Onche, E.; Cho, H.; Rangandang, A.D.; Kang, N.; Kim, S.; Kim, H.; Seo, S. Enhancing Feed Efficiency and Growth in Early-Fattening Hanwoo Steers Through High-Energy Concentrate Feeding. Animals 2025, 15, 490. [Google Scholar] [CrossRef]
- Plaizier, J.C.; Mulligan, F.J.; Neville, E.W.; Guan, L.L.; Steele, M.A.; Penner, G.B. Invited Review: Effect of Subacute Ruminal Acidosis on Gut Health of Dairy Cows. J. Dairy Sci. 2022, 105, 7141–7160. [Google Scholar] [CrossRef] [PubMed]
- Jenkins, T.C.; Wallace, R.J.; Moate, P.J.; Mosley, E.E. Board-Invited Review: Recent Advances in Biohydrogenation of Unsaturated Fatty Acids within the Rumen Microbial Ecosystem. J. Anim. Sci. 2008, 86, 397–412. [Google Scholar] [CrossRef] [PubMed]
- Toral, P.G.; Hervás, G.; Frutos, P. Invited Review: Research on Ruminal Biohydrogenation—Achievements, Gaps in Knowledge, and Future Approaches from the Perspective of Dairy Science. J. Dairy Sci. 2024, 107, 10115–10140. [Google Scholar] [CrossRef]
- De Beni Arrigoni, M.; Cyntia Ludovico, M.; Factori, M.A. Lipid Metabolism in the Rumen. In Rumenology; Millen, D.D., De Beni Arrigoni, M., Lauritano Pacheco, R.D., Eds.; Springer International Publishing: Cham, Switzerland, 2016; pp. 103–126. ISBN 978-3-319-30533-2. [Google Scholar]
- Mialon, M.M.; Renand, G.; Ortigues-Marty, I.; Bauchart, D.; Hocquette, J.F.; Mounier, L.; Noël, T.; Micol, D.; Doreau, M. Fattening Performance, Metabolic Indicators, and Muscle Composition of Bulls Fed Fiber-Rich versus Starch-plus-Lipid-Rich Concentrate Diets1. J. Anim. Sci. 2015, 93, 319–333. [Google Scholar] [CrossRef] [PubMed]
- Jenkins, T.C. Lipid Metabolism in the Rumen. J. Dairy Sci. 1993, 76, 3851–3863. [Google Scholar] [CrossRef]
- Butler, W.R.; Smith, R.D. Interrelationships between Energy Balance and Postpartum Reproductive Function in Dairy Cattle. J. Dairy Sci. 1989, 72, 767–783. [Google Scholar] [CrossRef] [PubMed]
- Green, K.L.; Kovarna, M.; Menezes, A.C.B.; Schlegel, E.; Wright, C.; Smith, Z.K.; Drum, J. Omega-3 Supplement Alters Water Consumption and Plasma Fatty Acid Profile of Beef Heifers. J. Anim. Sci. 2025, 102, 503–504. [Google Scholar] [CrossRef]
- Dryden, F.D.; Maechello, J.A. Influence of Total Lipid and Fatty Acid Composition upon the Palatability of Three Bovine Muscles. J. Anim. Sci. 1970, 31, 36–41. [Google Scholar] [CrossRef]
- Demeyer, D.; Doreau, M. Targets and Procedures for Altering Ruminant Meat and Milk Lipids. Proc. Nutr. Soc. 1999, 58, 593–607. [Google Scholar] [CrossRef]
- Martin, C.; Ferlay, A.; Mosoni, P.; Rochette, Y.; Chilliard, Y.; Doreau, M. Increasing Linseed Supply in Dairy Cow Diets Based on Hay or Corn Silage: Effect on Enteric Methane Emission, Rumen Microbial Fermentation, and Digestion. J. Dairy Sci. 2016, 99, 3445–3456. [Google Scholar] [CrossRef]
- Jarvis, G.N.; Moore, E.R.B. Lipid Metabolism and the Rumen Microbial Ecosystem. In Handbook of Hydrocarbon and Lipid Microbiology; Timmis, K.N., Ed.; Springer: Berlin/Heidelberg, Germany, 2010; pp. 2245–2257. ISBN 978-3-540-77584-3. [Google Scholar]
- Privé, F.; Newbold, C.J.; Kaderbhai, N.N.; Girdwood, S.G.; Golyshina, O.V.; Golyshin, P.N.; Scollan, N.D.; Huws, S.A. Isolation and Characterization of Novel Lipases/Esterases from a Bovine Rumen Metagenome. Appl. Microbiol. Biotechnol. 2015, 99, 5475–5485. [Google Scholar] [CrossRef]
- Liu, Y.; Zhang, Y.-G.; Zhang, R.-B.; Zhang, F.; Zhu, J. Glycerol/Glucose Co-Fermentation: One More Proficient Process to Produce Propionic Acid by Propionibacterium Acidipropionici. Curr. Microbiol. 2011, 62, 152–158. [Google Scholar] [CrossRef]
- Vasta, V.; Priolo, A. Ruminant Fat Volatiles as Affected by Diet. A Review. Meat Sci. 2006, 73, 218–228. [Google Scholar] [CrossRef]
- Padilla, L. Impact of pH and Palmitic Acid on Ruminal Fermentation and Microbial Community Composition. Master’s Thesis, Utah State University, Logan, UT, USA, 2022. [Google Scholar]
- Bauchart, D.; Legay-Carmier, F.; Doreau, M.; Gaillard, B. Lipid Metabolism of Liquid-Associated and Solid-Adherent Bacteria in Rumen Contents of Dairy Cows Offered Lipid-Supplemented Diets. Br. J. Nutr. 1990, 63, 563–578. [Google Scholar] [CrossRef] [PubMed]
- Keweloh, H.; Heipieper, H. Trans Unsaturated Fatty Acids in Bacteria. Lipids 1996, 31, 129–137. [Google Scholar] [CrossRef] [PubMed]
- Maia, M.R.; Chaudhary, L.C.; Bestwick, C.S.; Richardson, A.J.; McKain, N.; Larson, T.R.; Graham, I.A.; Wallace, R.J. Toxicity of Unsaturated Fatty Acids to the Biohydrogenating Ruminal Bacterium, Butyrivibrio Fibrisolvens. BMC Microbiol. 2010, 10, 52. [Google Scholar] [CrossRef]
- Lourenço, M.; Ramos-Morales, E.; Wallace, R.J. The Role of Microbes in Rumen Lipolysis and Biohydrogenation and Their Manipulation. Animal 2010, 4, 1008–1023. [Google Scholar] [CrossRef]
- Zinn, R.A.; Jorquera, A.P. Feed Value of Supplemental Fats Used in Feedlot Cattle Diets. Vet. Clin. N. Am. Food Anim. Pract. 2007, 23, 247–268. [Google Scholar] [CrossRef]
- Blom, E.J.; Brake, D.W. Effects of Intake of Linseed Oil or Tallow on Nutrient Digestion and Nitrogen Balance of Beef Steers Consuming Diets Based on Dry-Rolled Corn. Prof. Anim. Sci. 2018, 34, 447–459. [Google Scholar] [CrossRef]
- Yu, Z.; Morrison, M. Improved Extraction of PCR-Quality Community DNA from Digesta and Fecal Samples. BioTechniques 2004, 36, 808–812. [Google Scholar] [CrossRef] [PubMed]
- Edwards, U.; Rogall, T.; Blöcker, H.; Emde, M.; Böttger, E.C. Isolation and Direct Complete Nucleotide Determination of Entire Genes. Characterization of a Gene Coding for 16S Ribosomal RNA. Nucleic Acids Res. 1989, 17, 7843–7853. [Google Scholar] [CrossRef]
- Lane, D.J.; Pace, B.; Olsen, G.J.; Stahl, D.A.; Sogin, M.L.; Pace, N.R. Rapid Determination of 16S Ribosomal RNA Sequences for Phylogenetic Analyses. Proc. Natl. Acad. Sci. USA 1985, 82, 6955–6959, Correction in Proc. Natl. Acad. Sci. USA 1986, 83, 4972. [Google Scholar] [CrossRef]
- Opdahl, L.J.; Gonda, M.G.; St-Pierre, B. Identification of Uncultured Bacterial Species from Firmicutes, Bacteroidetes and CANDIDATUS Saccharibacteria as Candidate Cellulose Utilizers from the Rumen of Beef Cows. Microorganisms 2018, 6, 17. [Google Scholar] [CrossRef]
- Schloss, P.D.; Westcott, S.L.; Ryabin, T.; Hall, J.R.; Hartmann, M.; Hollister, E.B.; Lesniewski, R.A.; Oakley, B.B.; Parks, D.H.; Robinson, C.J.; et al. Introducing Mothur: Open-Source, Platform-Independent, Community-Supported Software for Describing and Comparing Microbial Communities. Appl. Environ. Microbiol. 2009, 75, 7537–7541. [Google Scholar] [CrossRef] [PubMed]
- Wang, Q.; Garrity, G.M.; Tiedje, J.M.; Cole, J.R. Naive Bayesian classifier for rapid assignment of rRNA sequences into the new bacterial taxonomy. Appl. Environ. Microbiol. 2007, 73, 5261–5267. [Google Scholar] [CrossRef]
- Altschul, S.F.; Madden, T.L.; Schäffer, A.A.; Zhang, J.; Zhang, Z.; Miller, W.; Lipman, D.J. Gapped BLAST and PSI-BLAST: A New Generation of Protein Database Search Programs. Nucleic Acids Res. 1997, 25, 3389–3402. [Google Scholar] [CrossRef]
- Bandarupalli, V.V.K.; St-Pierre, B. Identification of a Candidate Starch Utilizing Strain of Prevotella Albensis from Bovine Rumen. Microorganisms 2020, 8, 2005. [Google Scholar] [CrossRef]
- Bandarupalli, V.V.K.; St-Pierre, B. Metagenomics-Based Analysis of Candidate Lactate Utilizers from the Rumen of Beef Cattle. Microorganisms 2023, 11, 658. [Google Scholar] [CrossRef] [PubMed]
- Aziz, R.K.; Bartels, D.; Best, A.A.; DeJongh, M.; Disz, T.; Edwards, R.A.; Formsma, K.; Gerdes, S.; Glass, E.M.; Kubal, M.; et al. The RAST Server: Rapid Annotations Using Subsystems Technology. BMC Genom. 2008, 9, 75. [Google Scholar] [CrossRef] [PubMed]
- Zheng, J.; Ge, Q.; Yan, Y.; Zhang, X.; Huang, L.; Yin, Y. dbCAN3: Automated Carbohydrate-Active Enzyme and Substrate Annotation. Nucleic Acids Res. 2023, 51, W115–W121. [Google Scholar] [CrossRef]
- Kanehisa, M.; Goto, S. KEGG: Kyoto Encyclopedia of Genes and Genomes. Nucleic Acids Res. 2000, 28, 27–30. [Google Scholar] [CrossRef] [PubMed]
- Shoukry, K.; Schulz, H. Significance of the Reductase-Dependent Pathway for the Beta-Oxidation of Unsaturated Fatty Acids with Odd-Numbered Double Bonds. Mitochondrial Metabolism of 2-Trans-5-Cis-Octadienoyl-CoA. J. Biol. Chem. 1998, 273, 6892–6899. [Google Scholar] [CrossRef]
- You, S.Y.; Cosloy, S.; Schulz, H. Evidence for the Essential Function of 2,4-Dienoyl-Coenzyme A Reductase in the Beta-Oxidation of Unsaturated Fatty Acids in Vivo. Isolation and Characterization of an Escherichia Coli Mutant with a Defective 2,4-Dienoyl-Coenzyme A Reductase. J. Biol. Chem. 1989, 264, 16489–16495. [Google Scholar] [CrossRef]
- Kierans, S.J.; Taylor, C.T. Glycolysis: A Multifaceted Metabolic Pathway and Signaling Hub. J. Biol. Chem. 2024, 300, 107906. [Google Scholar] [CrossRef]
- Sharkey, T.D. Pentose Phosphate Pathway Reactions in Photosynthesizing Cells. Cells 2021, 10, 1547. [Google Scholar] [CrossRef]
- Allen, S.; Zilles, J.L.; Downs, D.M. Metabolic Flux in Both the Purine Mononucleotide and Histidine Biosynthetic Pathways Can Influence Synthesis of the Hydroxymethyl Pyrimidine Moiety of Thiamine in Salmonella Enterica. J. Bacteriol. 2002, 184, 6130–6137. [Google Scholar] [CrossRef]
- Haft, D.H.; Selengut, J.D.; Richter, R.A.; Harkins, D.; Basu, M.K.; Beck, E. TIGRFAMs and Genome Properties in 2013. Nucleic Acids Res. 2013, 41, D387–D395. [Google Scholar] [CrossRef]
- Lobo, S.A.L.; Brindley, A.A.; Romão, C.V.; Leech, H.K.; Warren, M.J.; Saraiva, L.M. Two Distinct Roles for Two Functional Cobaltochelatases (CbiK) in Desulfovibrio Vulgaris Hildenborough. Biochemistry 2008, 47, 5851–5857. [Google Scholar] [CrossRef] [PubMed]
- Silano, V.; Barat Baviera, J.M.; Bolognesi, C.; Brüschweiler, B.J.; Cocconcelli, P.S.; Crebelli, R.; Gott, D.M.; Grob, K.; Lampi, E.; Mortensen, A.; et al. Safety Evaluation of the Food Enzyme Lysophospholipase from Trichoderma Reesei (Strain RF7206). EFSA J. 2019, 17, e05548. [Google Scholar] [CrossRef]
- Yao, J.; Rock, C.O. Exogenous Fatty Acid Metabolism in Bacteria. Biochimie 2017, 141, 30–39. [Google Scholar] [CrossRef]
- Zhang, Y.-Z.; Wei, Z.-Z.; Liu, C.-H.; Chen, Q.; Xu, B.-J.; Guo, Z.-R.; Cao, Y.-L.; Wang, Y.; Han, Y.-N.; Chen, C.; et al. Linoleic Acid Isomerase Gene FgLAI12 Affects Sensitivity to Salicylic Acid, Mycelial Growth and Virulence of Fusarium Graminearum. Sci. Rep. 2017, 7, 46129. [Google Scholar] [CrossRef] [PubMed]
- Enjalbert, F.; Combes, S.; Zened, A.; Meynadier, A. Rumen Microbiota and Dietary Fat: A Mutual Shaping. J. Appl. Microbiol. 2017, 123, 782–797. [Google Scholar] [CrossRef]
- Boeckaert, C.; Vlaeminck, B.; Fievez, V.; Maignien, L.; Dijkstra, J.; Boon, N. Accumulation of Trans C18:1 Fatty Acids in the Rumen after Dietary Algal Supplementation Is Associated with Changes in the Butyrivibrio Community. Appl. Environ. Microbiol. 2008, 74, 6923–6930. [Google Scholar] [CrossRef] [PubMed]
- Meynadier, A.; Zened, A.; Farizon, Y.; Chemit, M.-L.; Enjalbert, F. Enzymatic Study of Linoleic and Alpha-Linolenic Acids Biohydrogenation by Chloramphenicol-Treated Mixed Rumen Bacterial Species. Front. Microbiol. 2018, 9, 1452. [Google Scholar] [CrossRef]
- Salsinha, A.S.; Pimentel, L.L.; Fontes, A.L.; Gomes, A.M.; Rodríguez-Alcalá, L.M. Microbial Production of Conjugated Linoleic Acid and Conjugated Linolenic Acid Relies on a Multienzymatic System. Microbiol. Mol. Biol. Rev. 2018, 82, e00019-18. [Google Scholar] [CrossRef]
- Dommes, P.; Dommes, V.; Kunau, W.H. Beta-Oxidation in Candida Tropicalis. Partial Purification and Biological Function of an Inducible 2,4-Dienoyl Coenzyme A Reductase. J. Biol. Chem. 1983, 258, 10846–10852. [Google Scholar] [CrossRef]
- Krysenko, S.; Wohlleben, W. Polyamine and Ethanolamine Metabolism in Bacteria as an Important Component of Nitrogen Assimilation for Survival and Pathogenicity. Med. Sci. 2022, 10, 40. [Google Scholar] [CrossRef]
- Kaval, K.G.; Garsin, D.A. Ethanolamine Utilization in Bacteria. mBio 2018, 9, e00066-18. [Google Scholar] [CrossRef]
- Cheng, S.; Bobik, T.A. Characterization of the PduS Cobalamin Reductase of Salmonellaenterica and Its Role in the Pdu Microcompartment. J. Bacteriol. 2010, 192, 5071–5080. [Google Scholar] [CrossRef] [PubMed]
- Sturms, R.; Streauslin, N.A.; Cheng, S.; Bobik, T.A. In Salmonella Enterica, Ethanolamine Utilization Is Repressed by 1,2-Propanediol To Prevent Detrimental Mixing of Components of Two Different Bacterial Microcompartments. J. Bacteriol. 2015, 197, 2412–2421. [Google Scholar] [CrossRef] [PubMed]
- Garsin, D.A. Ethanolamine Utilization in Bacterial Pathogens: Roles and Regulation. Nat. Rev. Microbiol. 2010, 8, 290–295. [Google Scholar] [CrossRef] [PubMed]
- Balabanova, L.; Averianova, L.; Marchenok, M.; Son, O.; Tekutyeva, L. Microbial and Genetic Resources for Cobalamin (Vitamin B12) Biosynthesis: From Ecosystems to Industrial Biotechnology. Int. J. Mol. Sci. 2021, 22, 4522. [Google Scholar] [CrossRef]
- Martens, J.H.; Barg, H.; Warren, M.; Jahn, D. Microbial Production of Vitamin B12. Appl. Microbiol. Biotechnol. 2002, 58, 275–285. [Google Scholar] [CrossRef]
- Lin, H.; Shi, Z.; Wang, B.; Wang, S.; He, J.; Zhang, W. Effects of Dietary Soybean Phosphatidylethanolamine on Intestinal Metabolism and Microbiota in Mice Fed Low-Fat and High-Fat Diets. Food Res. Int. 2025, 218, 116909. [Google Scholar] [CrossRef]
- Herchi, W.; Bouali, I.; Bahashwan, S.; Rochut, S.; Boukhchina, S.; Kallel, H.; Pepe, C. Changes in Phospholipid Composition, Protein Content and Chemical Properties of Flaxseed Oil during Development. Plant Physiol. Biochem. 2012, 54, 1–5. [Google Scholar] [CrossRef]
- Luzader, D.H.; Kendall, M.M. Commensal “trail of Bread Crumbs” Provide Pathogens with a Map to the Intestinal Landscape. Curr. Opin. Microbiol. 2016, 29, 68–73. [Google Scholar] [CrossRef]
- Degnan, P.H.; Taga, M.E.; Goodman, A.L. Vitamin B12 as a Modulator of Gut Microbial Ecology. Cell Metab. 2014, 20, 769–778. [Google Scholar] [CrossRef]
- Roth, J.R.; Lawrence, J.G.; Bobik, T.A. Cobalamin (Coenzyme B12): Synthesis and Biological Significance. Annu. Rev. Microbiol. 1996, 50, 137–181. [Google Scholar] [CrossRef] [PubMed]
- Hallberg, Z.F.; Nicolas, A.M.; Alvarez-Aponte, Z.I.; Mok, K.C.; Sieradzki, E.T.; Pett-Ridge, J.; Banfield, J.F.; Carlson, H.K.; Firestone, M.K.; Taga, M.E. Soil Microbial Community Response to Corrinoids Is Shaped by a Natural Reservoir of Vitamin B12. ISME J. 2024, 18, wrae094. [Google Scholar] [CrossRef] [PubMed]
- Sultana, S.; Bruns, S.; Wilkes, H.; Simon, M.; Wienhausen, G. Vitamin B12 is not shared by all marine prototrophic bacteria with their environment. ISME J. 2023, 17, 836–845. [Google Scholar] [CrossRef] [PubMed]
- Shelton, A.N.; Seth, E.C.; Mok, K.C.; Han, A.W.; Jackson, S.N.; Haft, D.R.; Taga, M.E. Uneven Distribution of Cobamide Biosynthesis and Dependence in Bacteria Predicted by Comparative Genomics. ISME J. 2019, 13, 789–804. [Google Scholar] [CrossRef]
- You, J.; Pan, X.; Yang, C.; Du, Y.; Osire, T.; Yang, T.; Zhang, X.; Xu, M.; Xu, G.; Rao, Z. Microbial Production of Riboflavin: Biotechnological Advances and Perspectives. Metab. Eng. 2021, 68, 46–58. [Google Scholar] [CrossRef]
- Frye, K.A.; Piamthai, V.; Hsiao, A.; Degnan, P.H. Mobilization of Vitamin B12 Transporters Alters Competitive Dynamics in a Human Gut Microbe. Cell Rep. 2021, 37, 110164. [Google Scholar] [CrossRef]



| Enzymes Detected (per OTU/Total) | |||||
|---|---|---|---|---|---|
| Metabolic Pathways | Bt-995 1 | Bt-1367 1 | Bt-1391 1 | Key Product(s) 2 | Reference 3 |
| Glycolysis | 7/10 (70.0%) | 9/10 (90.0%) | 6/10 (60.0%) | Pyruvate | [43] |
| Non-oxidative Pentose Phosphate Pathway | 5/8 (62.5%) | 7/8 (87.5%) | 2/10 (20.0%) | PRPP | [44] |
| Purine metabolism | 19/38 (50.0%) | 20/38 (52.6%) | 16/38 (42.1%) | GTP | Supplementary Materials S2 |
| Histidine metabolism | 4/9 (44.4%) | 7/9 (77.8%) | 0/9 (0.0%) | Histidine | [45,46] |
| De novo Riboflavin synthesis | 2/9 (22.2%) | 8/9 (88.9%) | 0/9 (0.0%) | Riboflavin (B2), FMN, FAD | Supplementary Materials S2 |
| De novo Adenosylcobalamin synthesis | 15/28 (53.6%) | 20/28 (71.4%) | 0/28 (0.0%) | Adenosyl-cobalamin, Methyl-cobalamin | Supplementary Materials S2 |
| Stages of the Vitamin B12 Biosynthesis Pathway | Bt-1367 1 | Bt-995 1 | Bt-1391 1 | EC Numbers |
|---|---|---|---|---|
| 1. Tetrapyrrole precursor biosynthesis (5 total) | 4/5. | 0/5 | 0/5 | ALA synthesis (either EC:2.3.1.37 or both EC:1.2.1.70 and EC:5.4.3.8), EC:4.2.1.24, EC:2.5.1.61, EC:4.2.1.75, EC:2.1.1.10722 |
| 2. Combined corrin ring biosynthesis (10-anaerobic pathway total) | 8/10 | 8/10 | 0/10 | EC:2.1.1.151, EC:2.1.1.131, EC:2.1.1.271, EC:3.7.1.12 and EC:2.1.1.195, EC:1.3.1.106, EC:2.1.1.289, EC:2.1.1.196, EC:5.4.99.60, EC:6.3.5.11, and EC:4.99.1.3. |
| 3. Aminopropanol Linker | 1/2 | 1/2 | 0/2 | EC:2.7.1.177, EC:4.1.1.81 |
| 4. Adenosylation | 1/1 | 0/1 | 0/1 | EC:2.5.1.17 |
| 5. Nucleotide loop assembly (7 total) | 6/7 | 7/7 | 0/7 | EC:6.3.5.10, EC:6.3.1.10, EC:2.7.1.156, cobinamide activation (EC:2.7.7.62), cobalamin phosphatase (EC:3.1.3.73), EC:2.7.8.26 |
| Key Enzymes from Shelton et al. [70] | 2 | |||
| Core biosynthesis genes (8 total) | 8/8. | 8/8. | 0/8 | (EC:2.1.1.130 or EC:2.1.1.151), (EC:2.1.1.133 or EC:2.1.1.271), (EC:5.4.99.61 or EC:5.4.99.60), EC:6.3.5.10, EC:6.3.1.10, EC:2.7.1.156, cobinamide activation (EC:2.7.7.62), EC:2.7.8.26 |
| OTU | Bt-1367 | Bt-995 | Bt-1391 |
|---|---|---|---|
| Classification 1 | possible cobamide producer | cobinamide (cbi) salvage | very likely non-producer |
| Explanation according to Shelton 2019 [70] | ≥6/9 corrin ring biosynthesis steps and (either ≥18/25 anaerobic steps or ≥16/23 aerobic steps) or ≥16/21 (tetrapyrrole precursor + corrin ring + nucleotide loop assembly steps) | not any of the producer categories nor tetrapyrrole precursor salvager and has ≥5 nucleotide loop assembly steps | not any of the complete biosynthesis categories or partial biosynthesis categories and has ≤5/9 corrin ring steps |
Disclaimer/Publisher’s Note: The statements, opinions and data contained in all publications are solely those of the individual author(s) and contributor(s) and not of MDPI and/or the editor(s). MDPI and/or the editor(s) disclaim responsibility for any injury to people or property resulting from any ideas, methods, instructions or products referred to in the content. |
© 2025 by the authors. Licensee MDPI, Basel, Switzerland. This article is an open access article distributed under the terms and conditions of the Creative Commons Attribution (CC BY) license (https://creativecommons.org/licenses/by/4.0/).
Share and Cite
Martinez, A.; St-Pierre, B. Metagenomic Identification and Characterization of Novel Vitamin B12 Synthesizers from the Rumen of Beef Cattle Fed High-Lipid Inclusion Diets. Microorganisms 2025, 13, 2617. https://doi.org/10.3390/microorganisms13112617
Martinez A, St-Pierre B. Metagenomic Identification and Characterization of Novel Vitamin B12 Synthesizers from the Rumen of Beef Cattle Fed High-Lipid Inclusion Diets. Microorganisms. 2025; 13(11):2617. https://doi.org/10.3390/microorganisms13112617
Chicago/Turabian StyleMartinez, Angel, and Benoit St-Pierre. 2025. "Metagenomic Identification and Characterization of Novel Vitamin B12 Synthesizers from the Rumen of Beef Cattle Fed High-Lipid Inclusion Diets" Microorganisms 13, no. 11: 2617. https://doi.org/10.3390/microorganisms13112617
APA StyleMartinez, A., & St-Pierre, B. (2025). Metagenomic Identification and Characterization of Novel Vitamin B12 Synthesizers from the Rumen of Beef Cattle Fed High-Lipid Inclusion Diets. Microorganisms, 13(11), 2617. https://doi.org/10.3390/microorganisms13112617

