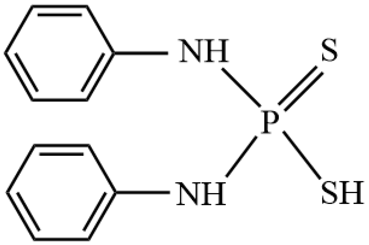
Characteristics of Aniline Aerofloat Biodegradation in Mineral Processing Wastewater and Energy Recovery by Single-Chamber Bioelectrochemical System: Strategies for Efficiency Improvement and Microbial Mechanisms
Abstract
1. Introduction
2. Materials and Methods
2.1. Reactor Construction
2.2. Inoculation and MFC Operation
2.3. Measurement and Analysis
2.4. Bacteria Community Analyses
3. Results and Discussion
3.1. Performance of COD and AAF Removal in the sMFC
3.1.1. Effect of Different SA/AAF Ratio and Operating Resistor
3.1.2. Effect of Initial pH
3.2. sMFC Electricity Generation and Columbic Efficiency
3.2.1. Electricity Generation Performance of sMFC
3.2.2. Coulombic Efficiency of the sMFC
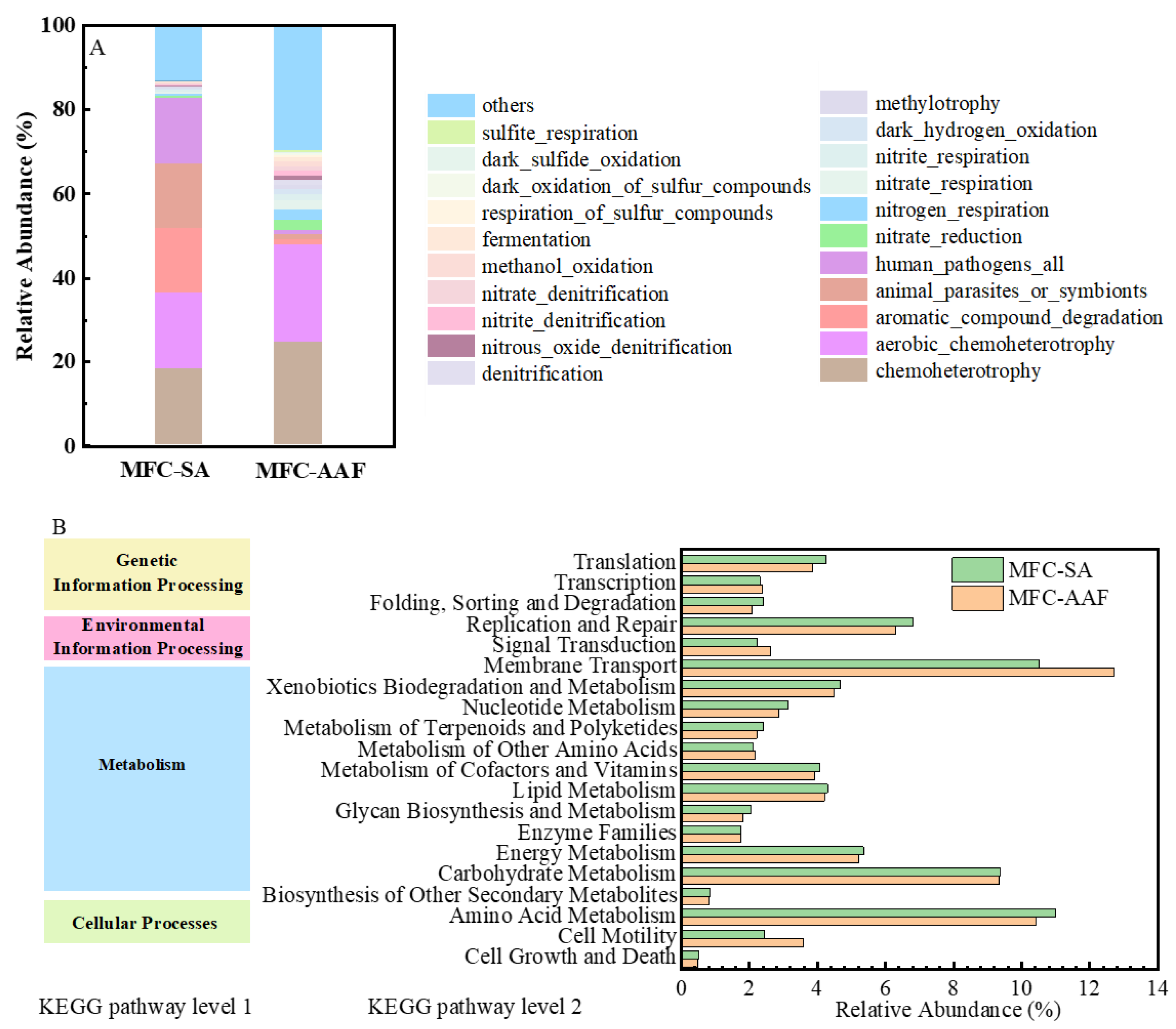
3.3. Microbial Community in the Anode Biofilm
3.3.1. Microbial Community Analysis
3.3.2. Microbial Function Predictive
4. Conclusions
Supplementary Materials
Author Contributions
Funding
Institutional Review Board Statement
Informed Consent Statement
Data Availability Statement
Acknowledgments
Conflicts of Interest
References
- Yang, H.; Qiu, R.; Tang, Y.; Ye, S.; Wu, S.; Qin, F.; Xiang, L.; Tan, X.; Zeng, G.; Yan, M. Carbonyl and defect of metal-free char trigger electron transfer and O2•− in persulfate activation for Aniline aerofloat degradation. Water Res. 2023, 231, 119659. [Google Scholar] [CrossRef]
- Jing, G.; Meng, X.; Sun, W.; Kowalczuk, P.B.; Gao, Z. Recent advances in the treatment and recycling of mineral processing wastewater. Environ. Sci. Water Res. Technol. 2023, 9, 129–134. [Google Scholar] [CrossRef]
- Meng, X.; Jiang, M.; Lin, S.; Gao, Z.; Han, H.; Tian, M.; Zhang, C.; Liu, R.; Wu, M.; Bao, H.; et al. Removal of residual benzohydroxamic acid-lead complex from mineral processing wastewater by metal ion combined with gangue minerals. J. Clean. Prod. 2023, 396, 136578. [Google Scholar] [CrossRef]
- Wang, X.; Deng, R.; Wang, C.; Long, P.; Hou, B.; Chen, W.; Chen, F.; Ren, B.; Hursthouse, A. Removal of Sb(V) from complex wastewater of Sb(V) and aniline aerofloat using Fe3O4–CeO2 absorbent enhanced by H2O2: Efficiency and mechanism. J. Environ. Manag. 2024, 365, 121610. [Google Scholar] [CrossRef]
- Wu, W.; Zheng, Q.; Liang, J.; Zhao, H.; Liu, B.; Li, Y.; Feng, N.; Cai, Q.; Xiang, L.; Mo, C.; et al. Mining flotation reagents: Quantitative and robust analysis of metal-xanthate complexes in water. J. Hazard. Mater. 2024, 476, 134873. [Google Scholar] [CrossRef]
- Qiao, Y.; Lu, Y.; Yu, P.; Feng, N.; Li, Y.; Zhao, H.; Cai, Q.; Xiang, L.; Mo, C.; Li, Q.X. A novel method based on solid phase extraction and liquid chromatography-tandem mass spectrometry warrants occurrence of trace xanthates in water. Chemosphere 2023, 310, 136770. [Google Scholar] [CrossRef] [PubMed]
- Liu, W.; Dong, Y.; Liu, J.; Zhang, L.; Lu, Y.; Lin, H. Mechanism of aniline aerofloat and Cd2+ elimination from mining wastewater by customized S-scheme Halloysite@MoS2/goethite nanotube: Synergy of photo-Fenton decomplexation and adsorption. Appl. Surf. Sci. 2023, 626, 157307. [Google Scholar] [CrossRef]
- Ye, J.; Zhao, Q.; Liang, J.; Wang, X.; Zhan, Z.; Du, H.; Cheng, J.; Xiang, L.; Feng, N.; Liu, B.; et al. Bioremediation of aniline aerofloat wastewater at extreme conditions using a novel isolate Burkholderia sp. WX-6 immobilized on biochar. J. Hazard. Mater. 2023, 456, 131668. [Google Scholar] [CrossRef] [PubMed]
- Zhu, S.; Chen, Z.; Wang, C.; Pan, J.; Luo, X. Facile Synthesis with TiO2 Xerogel and Urea Enhanced Aniline Aerofloat Degradation Performance of Direct Z-Scheme Heterojunction TiO2/g-C3N4 Composite. Materials 2022, 15, 3613. [Google Scholar] [CrossRef]
- Hou, B.; Liu, J.; Tang, J.; Li, Z.; Shu, J.; Wang, Z.; Ren, B.; Deng, R.; Liu, Y.; Hursthouse, A. Heterogeneous Fenton oxidation of aniline aerofloat catalyzed by Fe/Mn binary oxides supported on activated carbon: Performance and mechanism. J. Environ. Chem. Eng. 2025, 13, 115126. [Google Scholar] [CrossRef]
- Jing, G.; Meng, X.; Chen, J.; Sun, W.; Boguslaw Kowalczuk, P.; Gao, Z. Electrocoagulation in a packed aluminium scraps anode reactor for mineral processing wastewater treatment. Miner. Eng. 2023, 202, 108231. [Google Scholar] [CrossRef]
- Liu, W.; Lu, Y.; Jin, Q.; Liu, J.; Lin, H.; Dong, Y. A stretchable gel-type floating material boosts photo-Fenton-adsorption for efficient purification of mineral processing wastewater. Sep. Purif. Technol. 2025, 352, 128252. [Google Scholar] [CrossRef]
- Meng, X.; Wu, J.; Kang, J.; Gao, J.; Liu, R.; Gao, Y.; Wang, R.; Fan, R.; Khoso, S.A.; Sun, W.; et al. Comparison of the reduction of chemical oxygen demand in wastewater from mineral processing using the coagulation–flocculation, adsorption and Fenton processes. Miner. Eng. 2018, 128, 275–283. [Google Scholar] [CrossRef]
- Fu, P.; Wang, L.; Li, G.; Hou, Z.; Ma, Y. Homogenous catalytic ozonation of aniline aerofloat collector by coexisted transition metallic ions in flotation wastewaters. J. Environ. Chem. Eng. 2020, 8, 103714. [Google Scholar] [CrossRef]
- Hu, J.; Zhou, S.; Liao, S.; Gu, G.; Wang, Y. Effect of oxidized pyrite activating persulfate on the degradation of aniline aerofloat: Mechanism and degradation pathway. Miner. Eng. 2023, 201, 108233. [Google Scholar] [CrossRef]
- Lin, W.; Sun, S.; Wu, C.; Xu, P.; Ye, Z.; Zhuang, S. Effects of toxic organic flotation reagent (aniline aerofloat) on an A/O submerged membrane bioreactor (sMBR): Microbial community dynamics and performance. Ecotoxicol. Environ. Saf. 2017, 142, 14–21. [Google Scholar] [CrossRef]
- Zhang, Y.; Cai, Z.; Wu, Z.; Liang, H.; Li, D.; Fan, S.; Gao, S.; Chen, S.; Lu, Y.; Su, C. Effects of flotation reagents with aniline aerofloat and ammonium dibutyl dithiophosphate on a constructed rapid infiltration system: Performance and microbial metabolic pathways. Environ. Pollut. 2024, 363, 125218. [Google Scholar] [CrossRef]
- Song, W.F.; Deng, Q. Biodegradation Mechanism of Aniline Aerofloat by Bacillus vallismortis Isolated from SBR System. Adv. Mater. Res. 2012, 466–467, 262–266. [Google Scholar] [CrossRef]
- Zhang, H.; Xing, F.; Duan, L.; Gao, Q.; Li, S.; Zhao, Y. Effect of substrate concentration on sulfamethoxazole wastewater treatment by osmotic microbial fuel cell: Insight into operational efficiency, dynamic changes of membrane fouling and microbial response. Bioresour. Technol. 2025, 417, 131805. [Google Scholar] [CrossRef]
- Lin, X.Q.; Li, Z.L.; Nan, J.; Su, J.H.; Liang, B.; Li, C.J.; Wang, A.J. Biodegradation and metabolism of tetrabromobisphenol A in microbial fuel cell: Behaviors, dynamic pathway and the molecular ecological mechanism. J. Hazard. Mater. 2021, 417, 126104. [Google Scholar] [CrossRef]
- Chen, L.; Zheng, X.; Zhang, K.; Wu, B.; Pei, X.; Chen, W.; Wei, X.; Luo, Z.; Li, Y.; Zhang, Z. Sustained-release nitrate combined with microbial fuel cell: A novel strategy for PAHs and odor removal from sediment. J. Hazard. Mater. 2023, 455, 131610. [Google Scholar] [CrossRef]
- Zou, J.; Chang, Q.; Guo, C.; Yan, M. Vanadium nitride decorated carbon cloth anode promotes aniline degradation and electricity generation of MFCs by efficiently enriching electroactive bacteria and promoting extracellular electron transfer. J. Environ. Manag. 2023, 346, 119048. [Google Scholar] [CrossRef]
- Zhai, S.; Zeng, R.; Liu, C.; Zhang, D.; Wang, A.; Cheng, H. Aniline Degradation Coupled with Removal and Recovery of the Chemically Bound Nitrogen in a Bioelectrochemical System with a Micro-oxygen Bioanode. Environ. Sci. Technol. Lett. 2023, 10, 611–616. [Google Scholar] [CrossRef]
- Feng, K.; Lu, Y.; Zhou, W.; Xu, Z.; Ye, J.; Zhang, S.; Chen, J.; Zhao, J. Metagenomics revealing biomolecular insights into the enhanced toluene removal and electricity generation in PANI@CNT bioanode. Sci. Total. Environ. 2024, 927, 172402. [Google Scholar] [CrossRef] [PubMed]
- Tian, L.; Liao, C.; Yan, X.; Zhao, Q.; Wang, Z.; Li, T.; Li, N.; Wang, X. Endogenous electric field accelerates phenol degradation in bioelectrochemical systems with reduced electrode spacing. J. Hazard. Mater. 2023, 442, 130043. [Google Scholar] [CrossRef] [PubMed]
- Dai, S.; Harnisch, F.; Morejón, M.C.; Keller, N.S.; Korth, B.; Vogt, C. Microbial electricity-driven anaerobic phenol degradation in bioelectrochemical systems. Environ. Sci. Ecotechnol. 2024, 17, 100307. [Google Scholar] [CrossRef]
- Wang, C.; Zheng, M.; Chen, G.; Yan, Z.; Xie, B.; Wang, W.; Han, H. Insights into synergistic metabolism of phenol and ammonium pollutants in treating coal gasification wastewater by algal-microbial fuel cell. J. Water Process Eng. 2023, 56, 104492. [Google Scholar] [CrossRef]
- Wang, A.; Shi, K.; Ning, D.; Cheng, H.; Wang, H.; Liu, W.; Gao, S.; Li, Z.; Han, J.; Liang, B.; et al. Electrical selection for planktonic sludge microbial community function and assembly. Water Res. 2021, 206, 117744. [Google Scholar] [CrossRef]
- Han, X.; Qu, Y.; Wu, J.; Li, D.; Ren, N.; Feng, Y. Nitric oxide reduction by microbial fuel cell with carbon based gas diffusion cathode for power generation and gas purification. J. Hazard. Mater. 2020, 399, 122878. [Google Scholar] [CrossRef]
- Dong, H.; Yu, H.; Wang, X.; Zhou, Q.; Feng, J. A novel structure of scalable air-cathode without Nafion and Pt by rolling activated carbon and PTFE as catalyst layer in microbial fuel cells. Water Res. 2012, 46, 5777–5787. [Google Scholar] [CrossRef]
- Liang, D.; Zhang, L.; He, W.; Li, C.; Liu, J.; Liu, S.; Lee, H.; Feng, Y. Efficient hydrogen recovery with CoP-NF as cathode in microbial electrolysis cells. Appl. Eng. 2020, 264, 114700. [Google Scholar] [CrossRef]
- Li, C.; Hu, S.; Ji, C.; Yi, K.; Yang, W. Insight into the Pseudocapacitive Behavior of Electroactive Biofilms in Response to Dynamic-Controlled Electron Transfer and Metabolism Kinetics for Current Generation in Water Treatment. Environ. Sci. Technol. 2023, 57, 19891–19901. [Google Scholar] [CrossRef] [PubMed]
- Katuri, K.P.; Scott, K.; Head, I.M.; Picioreanu, C.; Curtis, T.P. Microbial fuel cells meet with external resistance. Bioresour. Technol. 2011, 102, 2758–2766. [Google Scholar] [CrossRef] [PubMed]
- Li, D.; Shi, Y.; Gao, F.; Yang, L.; Li, S.; Xiao, L. Understanding the current plummeting phenomenon in microbial fuel cells (MFCs). J. Water Process Eng. 2021, 40, 101984. [Google Scholar] [CrossRef]
- Jung, S.; Regan, J.M. Influence of External Resistance on Electrogenesis, Methanogenesis, and Anode Prokaryotic Communities in Microbial Fuel Cells. Appl. Environ. Microbiol. 2011, 77, 564–571. [Google Scholar] [CrossRef]
- Kumar, P.; Mungray, A.K. Microbial fuel cell: Optimizing pH of anolyte and catholyte by using taguchi method. Environ. Prog. Sustain. Eng. 2017, 36, 120–128. [Google Scholar] [CrossRef]
- Manikandan, S.; Krishnamurthy, B. Impact of operating parameters on anode biofilm growth in microbial fuel cells—A performance study. Ionics 2025, 31, 7145–7154. [Google Scholar] [CrossRef]
- Malekmohammadi, S.; Ahmad Mirbagheri, S. A review of the operating parameters on the microbial fuel cell for wastewater treatment and electricity generation. Water Sci. Technol. 2021, 84, 1309–1323. [Google Scholar] [CrossRef]
- He, Z.; Huang, Y.; Manohar, A.K.; Mansfeld, F. Effect of electrolyte pH on the rate of the anodic and cathodic reactions in an air-cathode microbial fuel cell. Bioelectrochemistry 2008, 74, 78–82. [Google Scholar] [CrossRef]
- Rusyn, I.; Gómora-Hernández, J.C. Constructed wetland microbial fuel cell as enhancing pollutants treatment technology to produce green energy. Biotechnol. Adv. 2024, 77, 108468. [Google Scholar] [CrossRef]
- Zhang, L.; Liu, Y.; Lv, S.; Wang, R.; Wang, Y.; Lin, K.; Hu, X.; Liu, Y.; Dong, Z.; Liu, L. An overview on constructed wetland-microbial fuel cell: Greenhouse gases emissions and extracellular electron transfer. J. Environ. Chem. Eng. 2023, 11, 109551. [Google Scholar] [CrossRef]
- Zhao, Z.; Li, Y.; Zhang, Y.; Lovley, D.R. Sparking Anaerobic Digestion: Promoting Direct Interspecies Electron Transfer to Enhance Methane Production. Iscience 2020, 23, 1309–1323. [Google Scholar] [CrossRef] [PubMed]
- Liu, D.; Chang, Q.; Gao, Y.; Huang, W.; Sun, Z.; Yan, M.; Guo, C. High performance of microbial fuel cell afforded by metallic tungsten carbide decorated carbon cloth anode. Electrochim. Acta 2020, 330, 135243. [Google Scholar] [CrossRef]
- Xue, W.; Li, F.; Zhou, Q. Degradation mechanisms of sulfamethoxazole and its induction of bacterial community changes and antibiotic resistance genes in a microbial fuel cell. Bioresour. Technol. 2019, 289, 121632. [Google Scholar] [CrossRef]
- Zhou, H.; Wang, K.; He, L.; Liu, Z.; Kong, D.; Zhang, Q.; Jin, S.; Han, Y.; Guan, Q.; Sheng, G. Periplasmic transport channels to accelerate the proton motive force for efficient groundwater bioelectrocatalytic Cr(VI) reduction. Water Res. 2026, 288, 124581. [Google Scholar] [CrossRef]
- Puggioni, G.; Milia, S.; Unali, V.; Ardu, R.; Tamburini, E.; Balaguer, M.D.; Pous, N.; Carucci, A.; Puig, S. Effect of hydraulic retention time on the electro-bioremediation of nitrate in saline groundwater. Sci. Total Environ. 2022, 845, 157236. [Google Scholar] [CrossRef]
- Wang, W.; Wang, J.; Wang, X.; Cui, Y.; Zhai, T.; Wu, H.; Wang, S. Performance and mechanism of azo dyes degradation and greenhouse gases reduction in single-chamber electroactive constructed wetland system. Bioresour. Technol. 2022, 365, 128142. [Google Scholar] [CrossRef]
- Zhang, Q.; Zhang, L.; Wang, H.; Jiang, Q.; Zhu, X. Simultaneous efficient removal of oxyfluorfen with electricity generation in a microbial fuel cell and its microbial community analysis. Bioresour. Technol. 2018, 250, 658–665. [Google Scholar] [CrossRef]
- Liu, R.; Tursun, H.; Hou, X.; Odey, F.; Li, Y.; Wang, X.; Xie, T. Microbial community dynamics in a pilot-scale MFC-AA/O system treating domestic sewage. Bioresour. Technol. 2017, 241, 439–447. [Google Scholar] [CrossRef]
- Jothinathan, D.; Wilson, R.T. Performance of Paracoccus homiensis DRR-3 in microbial fuel cell with membranes. Int. J. Ambient. Eng. 2018, 39, 573–580. [Google Scholar] [CrossRef]
- Zhao, H.; Kong, C. Elimination of pyraclostrobin by simultaneous microbial degradation coupled with the Fenton process in microbial fuel cells and the microbial community. Bioresour. Technol. 2018, 258, 227–233. [Google Scholar] [CrossRef]
- Zhang, Q.; Zhang, Y.; Li, D. Cometabolic degradation of chloramphenicol via a meta-cleavage pathway in a microbial fuel cell and its microbial community. Bioresour. Technol. 2017, 229, 104–110. [Google Scholar] [CrossRef]
- Zhao, J.; Rao, M.; Zhang, H.; Wang, Q.; Shen, Y.; Ye, J.; Feng, K.; Zhang, S. Evolution of interspecific interactions underlying the nonlinear relationship between active biomass and pollutant degradation capacity in bioelectrochemical systems. Water Res. 2025, 274, 123071. [Google Scholar] [CrossRef]
- Liu, Y.; Zhao, N.; Dai, S.; He, R.; Zhang, Y. Metagenomic insights into phenanthrene biodegradation in electrical field-governed biofilms for groundwater bioremediation. J. Hazard. Mater. 2024, 465, 133477. [Google Scholar] [CrossRef]
- Jiang, N.; Yan, M.; Li, Q.; Zheng, S.; Hu, Y.; Xu, X.; Wang, L.; Liu, Y.; Huang, M. Bioelectrocatalytic reduction by integrating pyrite assisted manganese cobalt-doped carbon nanofiber anode and bacteria for sustainable antimony catalytic removal. Bioresour. Technol. 2024, 395, 130378. [Google Scholar] [CrossRef]







| Stage | SA + AAF Concentration (mg/L) | Resistor (Ω) | pH |
|---|---|---|---|
| I | 1000 + 0 | 1000 | 7.0 |
| II | 300 + 50 | 1000 | 7.0 |
| III | 300 + 100 | 1000 | 7.0 |
| IV | 100 + 100 | 1000 | 7.0 |
| V | 300 + 100 | 200 | 7.0 |
| VI | 300 + 100 | 50 | 7.0 |
| VII | 300 + 100 | 1000 | 8.0 |
| VIII | 300 + 100 | 1000 | 6.0 |
| IX | 300 + 100 | 1000 | 5.0 |
Disclaimer/Publisher’s Note: The statements, opinions and data contained in all publications are solely those of the individual author(s) and contributor(s) and not of MDPI and/or the editor(s). MDPI and/or the editor(s) disclaim responsibility for any injury to people or property resulting from any ideas, methods, instructions or products referred to in the content. |
© 2025 by the authors. Licensee MDPI, Basel, Switzerland. This article is an open access article distributed under the terms and conditions of the Creative Commons Attribution (CC BY) license (https://creativecommons.org/licenses/by/4.0/).
Share and Cite
Han, X.; Ji, W.; Wang, S.; Zhao, J.; Yu, H.; Ma, J.; Zhang, M.; Zhou, J.; Zhao, X. Characteristics of Aniline Aerofloat Biodegradation in Mineral Processing Wastewater and Energy Recovery by Single-Chamber Bioelectrochemical System: Strategies for Efficiency Improvement and Microbial Mechanisms. Microorganisms 2025, 13, 2610. https://doi.org/10.3390/microorganisms13112610
Han X, Ji W, Wang S, Zhao J, Yu H, Ma J, Zhang M, Zhou J, Zhao X. Characteristics of Aniline Aerofloat Biodegradation in Mineral Processing Wastewater and Energy Recovery by Single-Chamber Bioelectrochemical System: Strategies for Efficiency Improvement and Microbial Mechanisms. Microorganisms. 2025; 13(11):2610. https://doi.org/10.3390/microorganisms13112610
Chicago/Turabian StyleHan, Xiaoyu, Wenchao Ji, Shengxiao Wang, Jingru Zhao, Hong Yu, Jiayang Ma, Meng Zhang, Jinyan Zhou, and Xin Zhao. 2025. "Characteristics of Aniline Aerofloat Biodegradation in Mineral Processing Wastewater and Energy Recovery by Single-Chamber Bioelectrochemical System: Strategies for Efficiency Improvement and Microbial Mechanisms" Microorganisms 13, no. 11: 2610. https://doi.org/10.3390/microorganisms13112610
APA StyleHan, X., Ji, W., Wang, S., Zhao, J., Yu, H., Ma, J., Zhang, M., Zhou, J., & Zhao, X. (2025). Characteristics of Aniline Aerofloat Biodegradation in Mineral Processing Wastewater and Energy Recovery by Single-Chamber Bioelectrochemical System: Strategies for Efficiency Improvement and Microbial Mechanisms. Microorganisms, 13(11), 2610. https://doi.org/10.3390/microorganisms13112610

