Vaccination with a Trypanosoma cruzi Protein Extract Plus BCG∆BCG1419c Promotes a Balanced Th1/Th2 Immune Profile That Improves Control of Acute Chagas Disease in BALB/c Mice
Abstract
1. Introduction
2. Materials and Methods
2.1. Experimental Animals
2.2. Vaccine Inoculum and Adjuvants Preparation
2.3. Mice Immunization
2.4. Parasite Challenge and Serum Samples
2.5. Parasitemia and Survival Assays
2.6. Animal Clinical Examination
2.7. Anti-T. cruzi Humoral Immune Response Evaluation
2.8. Serum Cytokines Determination
2.9. Macroscopic and Microscopic Findings
2.10. Statistical Analysis
3. Results
3.1. Beneficial Effect on Parasitemia and Survival upon Vaccination Using BCGΔBCG1419c as an Adjuvant
3.2. Vaccination Using BCGΔBCG1419c as an Adjuvant Caused Less Weight Loss than wtBCG and Prevented Fever and Physical Deterioration
3.3. Administration of Vaccine Induced Humoral Response
3.4. BCG Strains as Adjuvants Induced a Differential Immune Response by IgG1/IgG2a Ratio
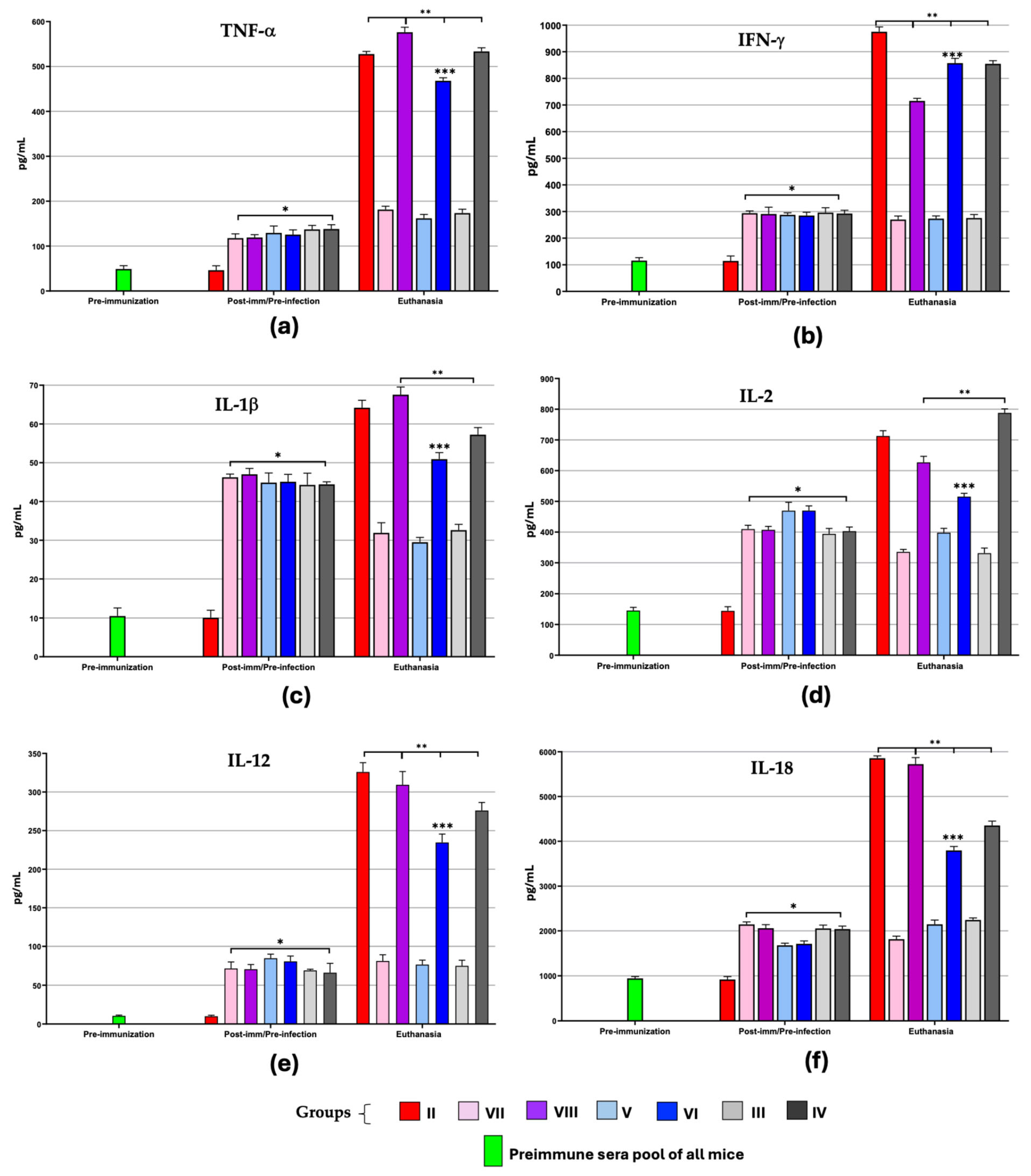
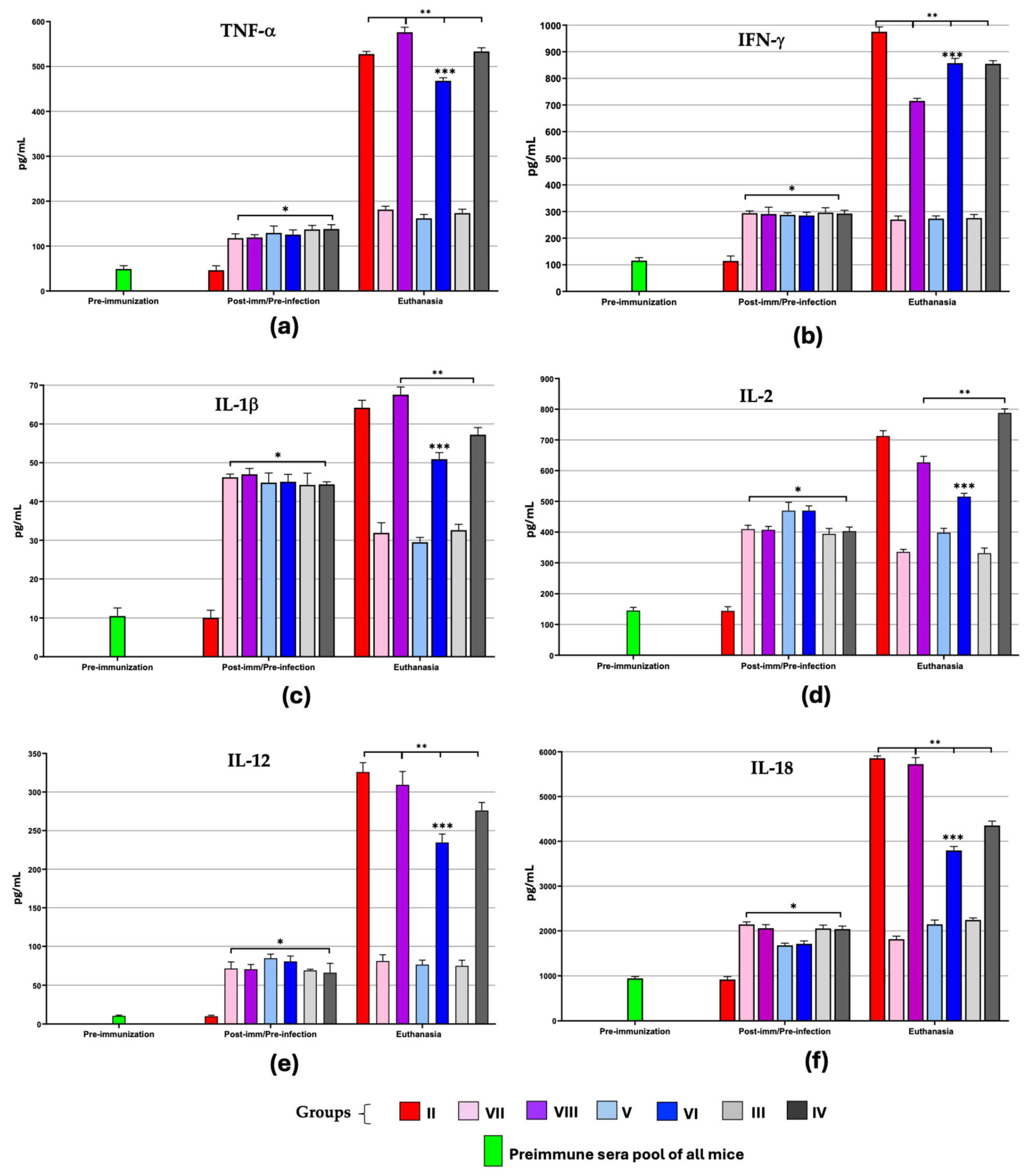
3.5. Vaccine Formulation Using BCGΔBCG1419c as an Adjuvant Induced a Th1/Th2 Balanced Immune Response by the Production of Serum Cytokines
3.6. Tissues from Mice Vaccinated with the BCGΔBCG1419c Formulation as an Adjuvant Showed Less Damage in Heart and Skeletal Muscle
4. Discussion
5. Conclusions
Supplementary Materials
Author Contributions
Funding
Institutional Review Board Statement
Informed Consent Statement
Data Availability Statement
Acknowledgments
Conflicts of Interest
Abbreviations
| BT | Blood trypomastigotes |
| c-di-cGMP | Cyclic diguanylate |
| CDC | Centers for Disease Control and Prevention |
| CFU | Colony-forming units |
| ChD | Chagas disease |
| d | Days |
| dpi | Day post-infection |
| IL | Interleukin |
| IP | Intraperitoneal |
| IFN | Interferon |
| LIT | Liver Infusion Tryptose |
| MST | Median survival time |
| PBS | Phosphate-buffered solution |
| PPD | Purified protein derivative |
| SC | Subcutaneous |
| S.D. | Standard deviation |
| TcTPE | Total protein extract from Trypanosoma cruzi |
| TNF | Tumor necrosis factor |
| WHO | World Health Organization |
| wtBCG | M. bovis BCG Pasteur ATCC 35734 (wild-type BCG strain) |
References
- Borba, J.V.V.B.; Silva, A.C.; Lima, M.N.N.; Mendonca, S.S.; Furnham, N.; Costa, F.T.M.; Andrade, C.H. Chemogenomics and bioinformatics approaches for prioritizing kinases as drug targets for neglected tropical diseases. Adv. Protein. Chem. Struct. Biol. 2021, 124, 187–223. [Google Scholar] [CrossRef]
- World Health Organization. Chagas Disease (Also Known as American Trypanosomiasis)–WHO 2023; WHO: Geneva, Switzerland, 2023; Available online: https://www.who.int/news-room/fact-sheets/detail/chagas-disease-(american-trypanosomiasis) (accessed on 25 August 2023).
- Echavarría, N.G.; Echeverría, L.E.; Stewart, M.; Gallego, C.; Saldarriaga, C. Chagas Disease: Chronic Chagas Cardiomyopathy. Curr. Probl. Cardiol. 2021, 46, 100507. [Google Scholar] [CrossRef]
- García-Huertas, P.; Cardona-Castro, N. Advances in the treatment of Chagas disease: Promising new drugs, plants and targets. Biomed. Pharmacother. 2021, 142, 112020. [Google Scholar] [CrossRef]
- Rodríguez-Morales, O.; Monteón-Padilla, V.; Carrillo-Sánchez, S.C.; Rios-Castro, M.; Martínez-Cruz, M.; Carabarin-Lima, A.; Arce-Fonseca, M. Experimental Vaccines against Chagas Disease: A Journey through History. J. Immunol. Res. 2015, 2015, 489758. [Google Scholar] [CrossRef] [PubMed]
- Magalhães, L.M.D.; Gollob, K.J.; Zingales, B.; Dutra, W.O. Pathogen diversity, immunity, and the fate of infections: Lessons learned from Trypanosoma cruzi human-host interactions. Lancet Microbe 2022, 3, e711–e722. [Google Scholar] [CrossRef] [PubMed]
- Firdaus, F.Z.; Skwarczynski, M.; Toth, I. Developments in Vaccine Adjuvants. Methods Mol. Biol. 2022, 2412, 145–178. [Google Scholar] [CrossRef] [PubMed]
- Vicco, M.H.; Bontempi, I.A.; Rodeles, L.; Yodice, A.; Marcipar, I.S.; Bottasso, O. Decreased level of antibodies and cardiac involvement in patients with chronic Chagas heart disease vaccinated with BCG. Med. Microbiol. Immunol. 2014, 203, 133–139. [Google Scholar] [CrossRef]
- Arce-Fonseca, M.; Mata-Espinosa, D.; Aranda-Fraustro, A.; Rosales-Encina, J.L.; Flores-Valdez, M.A.; Rodríguez-Morales, O. Mycobacterium bovis BCG as immunostimulating agent prevents the severe form of chronic experimental Chagas disease. Front. Immunol. 2024, 15, 1380049. [Google Scholar] [CrossRef]
- Aceves-Sánchez, M.J.; Flores-Valdez, M.A.; Pedroza-Roldán, C.; Creissen, E.; Izzo, L.; Silva-Angulo, F.; Dawson, C.; Izzo, A.; Bielefeldt-Ohmann, H.; Segura-Cerda, C.A.; et al. Vaccination with BCGΔBCG1419c protects against pulmonary and extrapulmonary TB and is safer than BCG. Sci. Rep. 2021, 11, 12417. [Google Scholar] [CrossRef]
- Kwon, K.W.; Aceves-Sánchez, M.J.; Segura-Cerda, C.A.; Choi, E.; Bielefeldt-Ohmann, H.; Shin, S.J.; Flores-Valdez, M.A. BCGΔBCG1419c increased memory CD8+ T cell-associated immunogenicity and mitigated pulmonary inflammation compared with BCG in a model of chronic tuberculosis. Sci. Rep. 2022, 22, 15824. [Google Scholar] [CrossRef]
- Velázquez-Fernández, J.B.; Ferreira-Souza, G.H.M.; Rodríguez-Campos, J.; Aceves-Sánchez, M.J.; Bravo-Madrigal, J.; Vallejo-Cardona, A.A.; Flores-Valdez, M.A. Proteomic characterization of a second-generation version of the BCGΔBCG1419c vaccine candidate by means of electrospray-ionization quadrupole time-of-flight mass spectrometry. Pathog. Dis. 2021, 79, ftaa070. [Google Scholar] [CrossRef]
- Vázquez, M.E.; Zabala, B.A.; Mesías, A.C.; Biscari, L.; Kaufman, C.D.; Alloatti, A.; Siano, F.; Picariello, G.; Corbalán, N.S.; Lenis, B.A.; et al. Protective Efficacy of the Epitope-Conjugated Antigen N-Tc52/TSkb20 in Mitigating Trypanosoma cruzi Infection through CD8+ T-Cells and IFNγ Responses. Vaccines 2024, 12, 621. [Google Scholar] [CrossRef] [PubMed]
- Pérez, A.R.; Morrot, A.; Carvalho, V.F.; de Meis, J.; Savino, W. Role of Hormonal Circuitry Upon T Cell Development in Chagas Disease: Possible implications on T Cell Dysfunctions. Front. Endocrinol. 2018, 9, 334. [Google Scholar] [CrossRef] [PubMed]
- National Research Council (US). Committee for the Update of the Guide for the Care and Use of Laboratory Animals. In Guide for the Care and Use of Laboratory Animals, 8th ed.; National Academies Press: Washington, DC, USA, 2011; pp. 13–66. [Google Scholar]
- Norma Oficial Mexicana NOM-062-ZOO-1999; Especificaciones Técnicas Para la Protección, Cuidado y Uso de Los Animales de Laboratorio. Diario Oficial de la Federación: México City, Mexico, 2001; pp. 1–13.
- Salgado-Jiménez, B.; Arce-Fonseca, M.; Baylón-Pacheco, L.; Talamás-Rohana, P.; Rosales-Encina, J.L. Differential immune response in mice immunized with the A, R or C domain from TcSP protein of Trypanosoma cruzi or with the coding DNAs. Parasite Immunol. 2013, 35, 32–41. [Google Scholar] [CrossRef]
- Arce-Fonseca, M. Respuesta inmune inducida por inmunización con DNA que codifica para un antígeno de amastigote de Trypanosoma cruzi. Ph.D. Thesis, Centro de Investigación y de Estudios Avanzados del Instituto Politécnico Nacional (CINVESTAV-IPN), Mexico City, Mexico, 2005. [Google Scholar]
- Khatri, B.; Keeble, J.; Dagg, B.; Kaveh, D.A.; Hogarth, P.J.; Ho, M.M. Efficacy and immunogenicity of different BCG doses in BALB/c and CB6F1 mice when challenged with H37Rv or Beijing HN878. Sci Rep. 2021, 11, 23308. [Google Scholar] [CrossRef]
- Urribarrí, R.S. Estudio comparativo de dos Métodos para valoración Cuantitativa de la Parasitemia por Tripanosomas. Kasmera 1974, 5, 103–110. [Google Scholar]
- Norma Oficial Mexicana NOM-087-ECOL-SSA1-2002; Protección Ambiental–Salud Ambiental–Residuos Peligrosos Biológico-Infecciosos–Clasificación y Especificaciones de Manejo. Diario Oficial de la Federación: México City, Mexico, 2002; pp. 1–20.
- Sánchez-Valdéz, F.J.; Pérez Brandán, C.; Ferreira, A.; Basombrío, M.Á. Gene-deleted live-attenuated Trypanosoma cruzi parasites as vaccines to protect against Chagas disease. Expert Rev. Vaccines. 2015, 14, 681–697. [Google Scholar] [CrossRef]
- Frank, F.M.; Petray, P.B.; Cazorla, S.I.; Muñoz, M.C.; Corral, R.S.; Malchiodi, E.L. Use of a purified Trypanosoma cruzi antigen and CpG oligodeoxynucleotides for immunoprotection against a lethal challenge with trypomastigotes. Vaccine 2003, 22, 77–86. [Google Scholar] [CrossRef]
- Luhrs, K.A.; Fouts, D.L.; Manning, J.E. Immunization with recombinant paraflagellar rod protein induces protective immunity against Trypanosoma cruzi infection. Vaccine 2003, 21, 3058–3069. [Google Scholar] [CrossRef]
- Fontanella, G.H.; De Vusser, K.; Laroy, W.; Daurelio, L.; Nocito, A.L.; Revelli, S.; Contreras, R. Immunization with an engineered mutant trans-sialidase highly protects mice from experimental Trypanosoma cruzi infection: A vaccine candidate. Vaccine 2008, 26, 2322–2334. [Google Scholar] [CrossRef]
- Bontempi, I.; Leal, K.; Prochetto, E.; Díaz, G.; Cabrera, G.; Bortolotti, A.; Morbidoni, H.R.; Borsuk, S.; Dellagostin, O.; Marcipar, I. Recombinant Mycobacterium bovis BCG is a promising platform to develop vaccines against Trypanosoma cruzi infection. Clin Exp. Immunol. 2020, 201, 306–316. [Google Scholar] [CrossRef]
- Pai, M.; Behr, M.A.; Dowdy, D.; Dheda, K.; Divangahi, M.; Boehme, C.C.; Ginsberg, A.; Swaminathan, S.; Spigelman, M.; Getahun, H.; et al. Tuberculosis. Nat. Rev. Dis. Primers 2016, 2, 16076. [Google Scholar] [CrossRef]
- Nieuwenhuizen, N.E.; Zyla, J.; Zedler, U.; Bandermann, S.; Abu Abed, U.; Brinkmann, V.; Kaufmann, S.H.E. Weaker protection against tuberculosis in BCG-vaccinated male 129 S2 mice compared to females. Vaccine 2021, 39, 7253–7264. [Google Scholar] [CrossRef]
- Tapiainen, T.; Heininger, U. Fever following immunization. Expert Rev Vaccines 2005, 4, 419–427. [Google Scholar] [CrossRef]
- Guarner, J. Chagas disease as example of a reemerging parasite. Semin. Diagn. Pathol. 2019, 36, 164–169. [Google Scholar] [CrossRef] [PubMed]
- Dumonteil, E.; Herrera, C.M.; Tu, W.; Goff, K.; Fahlberg, M.; Haupt, E.; Kaur, A.; Marx, P.A.; Ortega-Lopez, J.; Hotez, P.J.; et al. Safety and immunogenicity of a recombinant vaccine against Trypanosoma cruzi in Rhesus macaques. Vaccine 2020, 38, 4584–4591. [Google Scholar] [CrossRef]
- Falkowski, G.J.S.; Sandri, P.F.; Tiyo, R.; Aleixo, D.L.; Araújo, S.M. Parameters for evaluation of clinical trial in mice infected with Trypanosoma cruzi. Arq. Bras. Med. Vet. Zootec. 2012, 64, 1539–1546. [Google Scholar] [CrossRef]
- Rodríguez-Morales, O.; Pérez-Leyva, M.M.; Ballinas-Verdugo, M.A.; Carrillo-Sánchez, S.C.; Rosales-Encina, J.L.; Alejandre-Aguilar, R.; Reyes, P.A.; Arce-Fonseca, M. Plasmid DNA immunization with Trypanosoma cruzi genes induces cardiac and clinical protection against Chagas disease in the canine model. Vet. Res. 2012, 43, 79. [Google Scholar] [CrossRef]
- Bontempi, I.A.; Vicco, M.H.; Cabrera, G.; Villar, S.R.; González, F.B.; Roggero, E.A.; Ameloot, P.; Callewaert, N.; Pérez, A.R.; Marcipar, I.S. Efficacy of a trans-sialidase-ISCOMATRIX subunit vaccine candidate to protect against experimental Chagas disease. Vaccine 2015, 33, 1274–1283. [Google Scholar] [CrossRef] [PubMed]
- Andrade, D.V.; Gollob, K.J.; Dutra, W.O. Acute chagas disease: New global challenges for an old neglected disease. PLoS Negl. Trop. Dis. 2014, 8, e3010. [Google Scholar] [CrossRef] [PubMed]
- Soprano, L.L.; Ferrero, M.R.; Landoni, M.; García, G.A.; Esteva, M.I.; Couto, A.S.; Duschak, V.G. Cruzipain Sulfotopes-Specific Antibodies Generate Cardiac Tissue Abnormalities and Favor Trypanosoma cruzi Infection in the BALB/c Mice Model of Experimental Chagas Disease. Front. Cell. Infect. Microbiol. 2022, 11, 814276. [Google Scholar] [CrossRef] [PubMed]
- Cardillo, F.; de Pinho, R.T.; Antas, P.R.; Mengel, J. Immunity and immune modulation in Trypanosoma cruzi infection. Pathog Dis. 2015, 73, ftv082. [Google Scholar] [CrossRef] [PubMed][Green Version]
- Cristovão-Silva, A.C.; Brelaz-de-Castro, M.C.A.; Hernandes, M.Z.; Pereira, V.R.A. Chagas disease: Immunology of the disease at a glance. Cytokine Growth Factor Rev. 2021, 62, 15–22. [Google Scholar] [CrossRef] [PubMed]
- Cazorla, S.I.; Matos, M.N.; Cerny, N.; Ramirez, C.; Alberti, A.S.; Bivona, A.E.; Morales, C.; Guzmán, C.A.; Malchiodi, E.L. Oral multicomponent DNA vaccine delivered by attenuated Salmonella elicited immunoprotection against American trypanosomiasis. J. Infect. Dis. 2015, 211, 698–707. [Google Scholar] [CrossRef]
- Bivona, A.E.; Alberti, A.S.; Cerny, N.; Trinitario, S.N.; Malchiodi, E.L. Chagas disease vaccine design: The search for an efficient Trypanosoma cruzi immune-mediated control. Biochim. Biophys. Acta Mol. Basis Dis. 2020, 1866, 165658. [Google Scholar] [CrossRef]
- Beladelli, M.A.; Moreira Espinoza, M.J.; Díaz-Luján, C.M.; Triquell, M.F.; Mezzano, L.; Benizio, E.; Fretes, R.E.; Piegari, M. Parámetros biológicos detectables en un modelo murino de infección subpatente por Trypanosoma cruzi. In Proceedings of the XVII Jornadas de Investigación Científica Facultad de Ciencias Médicas, Ciudad de Córdoba, Argentina, 17 October 2019. [Google Scholar]











| Group (n = 5) | TcTPE Vaccine (10–15 mg) | BCG Strain as Adjuvant (104 CFU/Mouse) | Infection * (250 Blood Trypomastigotes/Mouse) |
|---|---|---|---|
| I | No | None | No |
| II | No | None | Yes |
| III | Yes | M. bovis BCG Pasteur strain ATCC 35734 | No |
| IV | Yes | M. bovis BCG Pasteur strain ATCC 35734 | Yes |
| V | Yes | BCG∆BCG1419c mutant strain derived from M. bovis BCG Pasteur strain ATCC 35734 | No |
| VI | Yes | BCG∆BCG1419c mutant strain derived from M. bovis BCG Pasteur strain ATCC 35734 | Yes |
| VII | Yes | None | No |
| VIII | Yes | None | Yes |
| Damage Grade Score | Description |
|---|---|
| 1 | No histological alteration (healthy tissue) |
| 2 | Localized myocarditis/myositis |
| 3 | Multiple foci of myocarditis/myositis, localized calcifications, preserved tissue integrity |
| 4 | Pericarditis with generalized myocarditis/myositis, multiple calcifications, localized basophilic necrosis, moderately preserved tissue integrity |
| 5 | Pericarditis with generalized myocarditis/myositis, multiple calcifications, generalized basophilic necrosis, tissue integrity completely altered |
| Group (n = 5) | TcTPE Vaccine | BCG Strain as Adjuvant | Mean of BT/mL of Blood at Peak of Parasitemia | p 1 |
|---|---|---|---|---|
| I | No | None | Not infected | N/A |
| II | No | None | 4.9 × 106 | N/A |
| III | Yes | M. bovis BCG Pasteur strain ATCC 35734 | Not infected | N/A |
| IV | Yes | M. bovis BCG Pasteur strain ATCC 35734 | 3.19 × 106 | * 0.0019 |
| V | Yes | BCG∆BCG1419c mutant strain derived from M. bovis BCG Pasteur strain ATCC 35734 | Not infected | N/A |
| VI | Yes | BCG∆BCG1419c mutant strain derived from M. bovis BCG Pasteur strain ATCC 35734 | 2.44 × 106 | * 0.0001 ** 0.007 |
| VII | Yes | None | Not infected | N/A |
| VIII | Yes | None | 5.26 × 106 | >0.05 |
Disclaimer/Publisher’s Note: The statements, opinions and data contained in all publications are solely those of the individual author(s) and contributor(s) and not of MDPI and/or the editor(s). MDPI and/or the editor(s) disclaim responsibility for any injury to people or property resulting from any ideas, methods, instructions or products referred to in the content. |
© 2025 by the authors. Licensee MDPI, Basel, Switzerland. This article is an open access article distributed under the terms and conditions of the Creative Commons Attribution (CC BY) license (https://creativecommons.org/licenses/by/4.0/).
Share and Cite
Rodríguez-Morales, O.; Arce-Fonseca, M.; Mata-Espinosa, D.; Aranda-Fraustro, A.; Rosales-Encina, J.L.; Flores-Valdez, M.A. Vaccination with a Trypanosoma cruzi Protein Extract Plus BCG∆BCG1419c Promotes a Balanced Th1/Th2 Immune Profile That Improves Control of Acute Chagas Disease in BALB/c Mice. Microorganisms 2025, 13, 2447. https://doi.org/10.3390/microorganisms13112447
Rodríguez-Morales O, Arce-Fonseca M, Mata-Espinosa D, Aranda-Fraustro A, Rosales-Encina JL, Flores-Valdez MA. Vaccination with a Trypanosoma cruzi Protein Extract Plus BCG∆BCG1419c Promotes a Balanced Th1/Th2 Immune Profile That Improves Control of Acute Chagas Disease in BALB/c Mice. Microorganisms. 2025; 13(11):2447. https://doi.org/10.3390/microorganisms13112447
Chicago/Turabian StyleRodríguez-Morales, Olivia, Minerva Arce-Fonseca, Dulce Mata-Espinosa, Alberto Aranda-Fraustro, José Luis Rosales-Encina, and Mario Alberto Flores-Valdez. 2025. "Vaccination with a Trypanosoma cruzi Protein Extract Plus BCG∆BCG1419c Promotes a Balanced Th1/Th2 Immune Profile That Improves Control of Acute Chagas Disease in BALB/c Mice" Microorganisms 13, no. 11: 2447. https://doi.org/10.3390/microorganisms13112447
APA StyleRodríguez-Morales, O., Arce-Fonseca, M., Mata-Espinosa, D., Aranda-Fraustro, A., Rosales-Encina, J. L., & Flores-Valdez, M. A. (2025). Vaccination with a Trypanosoma cruzi Protein Extract Plus BCG∆BCG1419c Promotes a Balanced Th1/Th2 Immune Profile That Improves Control of Acute Chagas Disease in BALB/c Mice. Microorganisms, 13(11), 2447. https://doi.org/10.3390/microorganisms13112447

