Driving Effects of Soil Microbial Diversity on Soil Multifunctionality in Carya illinoinensis Agroforestry Systems
Abstract
1. Introduction
2. Materials and Methods
2.1. Study Area
2.2. Experimental Design
2.3. Sampling Design
2.4. Laboratory Analysis
2.4.1. Physicochemical Analysis
2.4.2. Enzyme Activity Assays
2.4.3. Illumina MiSeq Amplicon Sequencing of 16S rDNA and ITS2 Region
2.5. Data Analysis
3. Results
3.1. Changes in Soil Microbial Diversity
3.2. Changes in Soil Functional Characteristics
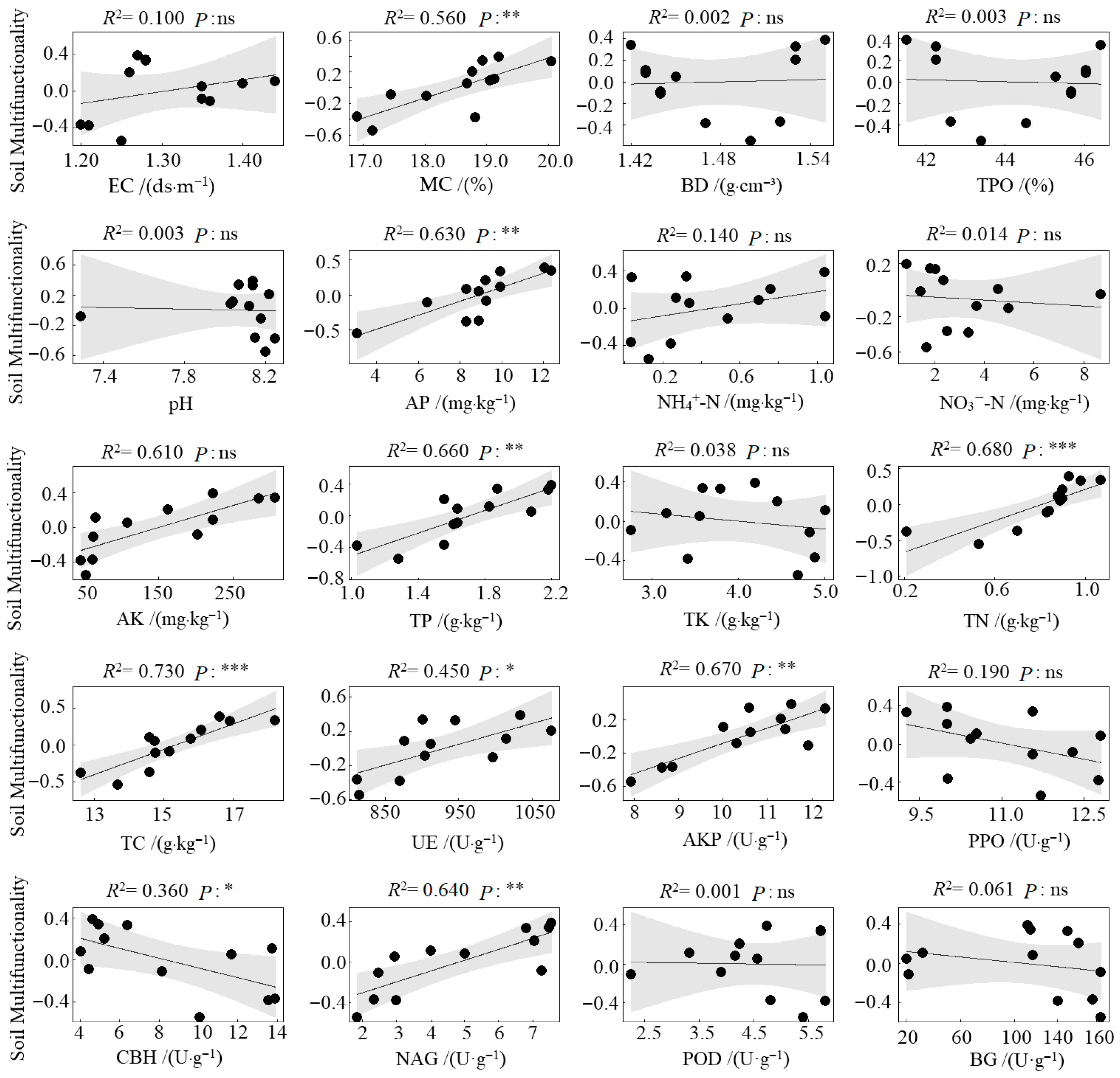
3.3. Effects of Soil Microorganisms on Soil Multifunctionality
4. Discussion
4.1. Agroforestry Practices Enhanced Soil Microbial Diversity
4.2. Agroforestry Practices Enhanced Soil Functions
4.3. Indirect Effects of Soil Microbial Diversity on Soil Multifunctionality
4.4. Limitations and Future Prospectives
5. Conclusions
Supplementary Materials
Author Contributions
Funding
Institutional Review Board Statement
Informed Consent Statement
Data Availability Statement
Acknowledgments
Conflicts of Interest
References
- Hu, W.; Ran, J.; Dong, L.; Du, Q.; Ji, M.; Yao, S.; Sun, Y.; Gong, C.; Hou, Q.; Gong, H.; et al. Aridity-driven shift in biodiversity-soil multifunctionality relationships. Nat. Commun. 2021, 12, 5350. [Google Scholar] [CrossRef]
- Ke, W.; Li, C.; Zhu, F.; Luo, X.; Feng, J.; Li, X.; Jiang, Y.; Wu, C.; Hartley, W.; Xue, S. Effect of potentially toxic elements on soil multifunctionality at a lead smelting site. J. Hazard. Mater. 2023, 454, 131525. [Google Scholar] [CrossRef]
- Baleon, A.; Mora, F.; Gavito, M.E. Similar soil multifunctionality and function synergies, but with management trade-offs, in agricultural land covers. Sci. Total Environ. 2025, 968, 178866. [Google Scholar] [CrossRef]
- Xu, C.; Zhang, H.; Li, J.; Liu, Y.; Su, C. Microbial diversity drives soil multifunctionality along reclamation chronosequence in an opencast coal mine. Land Degrad. Dev. 2024, 35, 1985–1999. [Google Scholar] [CrossRef]
- Wang, W.; Mishra, S.; Yang, X.D. Seasonal difference in soil health indicators mediating multidiversity-multifunctionality relationship depends on body size of soil organisms: Evidence from rubber plantation agroforestry system. Soil Biol. Biochem. 2023, 178, 108968. [Google Scholar] [CrossRef]
- Xu, F.; Guo, Z.; Yang, Y.; Chen, Y.; Bai, H.; Wang, T.; Wu, J.; Li, S.; Su, J. Microbial dynamics and agroforestry impact on soil ecosystem multifunctionality following forest conversion to macadamia-based systems. Appl. Soil Ecol. 2025, 206, 105869. [Google Scholar] [CrossRef]
- Zhou, S.; Lie, Z.; Liu, X.; Zhu, Y.; Peñuelas, J.; Roy, N.; Su, X.; Liu, Z.; Chu, G.; Meng, Z.; et al. Distinct patterns of soil bacterial and fungal community assemblages in subtropical forest ecosystems under warming. Glob. Change Biol. 2023, 29, 1501–1513. [Google Scholar] [CrossRef]
- Zhou, S.; Lie, Z.; Lei, C.; Zhang, Q.; Liu, X.; Wu, G.; Neilson, R.; Huang, F.; Chu, G.; Meng, Z.; et al. Multi-scale evidence for declining microbial carbon fixation along forest succession gradients. ISME J. 2025, 19, wraf191. [Google Scholar] [CrossRef]
- Li, X.; Wu, G.; Lie, Z.; Aguila, L.C.R.; Khan, M.S.; Luo, H.; Liu, X.; Liu, J. Microbial community variation in rhizosphere and non-rhizosphere soils of Castanopsis hystrix plantations across stand ages. J. For. Res. 2025, 36, 82. [Google Scholar] [CrossRef]
- Lei, C.; Zhou, S.; Tissue, D.T.; Neilson, R.; Lie, Z.; Wu, T.; Liu, X.; Meng, C.; Li, X.; Zhu, D.; et al. Seasonal variation of phyllosphere microbial communities under warming. Glob. Change Biol. 2025, 31, e70270. [Google Scholar] [CrossRef]
- Li, X.; Wu, T.; Wu, G.; Aguila, L.C.R.; Liu, X.; Liu, Y.; Cheng, Y.; Jiang, F.; Lie, Z.; Liu, J. Increasing stand age increases N deficiency but alleviates relative P limitations in Castanopsis hystrix plantations in southern China. Land Degrad. Dev. 2024, 35, 2173–2183. [Google Scholar] [CrossRef]
- Harris, J. Soil microbial communities and restoration ecology: Facilitators or followers? Science 2009, 325, 573–574. [Google Scholar] [CrossRef]
- Li, X.; Liu, Y.; Wu, G.; Lie, Z.; Sheng, H.; Aguila, L.C.R.; Khan, M.S.; Liu, X.; Zhou, S.; Wu, T.; et al. Mixed plantations do not necessarily provide higher ecosystem multifunctionality than monoculture plantations. Sci. Total Environ. 2024, 914, 170156. [Google Scholar] [CrossRef]
- Graham, E.B.; Knelman, J.E. Implications of Soil Microbial community assembly for ecosystem restoration: Patterns, process, and potential. Microb. Ecol. 2023, 85, 809–819. [Google Scholar] [CrossRef]
- García-Carmona, M.; García-Orenes, F.; Mataix-Solera, J.; Roldán, A.; Pereg, L.; Caravaca, F. Salvage logging alters microbial community structure and functioning after a wildfire in a Mediterranean forest. Appl. Soil Ecol. 2021, 168, 104130. [Google Scholar] [CrossRef]
- Huang, C.; Liu, H.; Zhou, S.; Mou, L.; Cui, L.; Yao, L.; Ma, Y.; Haider, F.U.; Fu, S.; Li, X. Management methods and duration induces changes in soil microbial communities of Carya cathayensis var. dabeishansis forests. Ecol. Evol. 2025, 15, e72173. [Google Scholar] [CrossRef]
- Luo, J.; Liao, G.; Banerjee, S.; Gu, S.; Liang, J.; Guo, X.; Zhao, H.; Liang, Y.; Li, T. Long-term organic fertilization promotes the resilience of soil multifunctionality driven by bacterial communities. Soil Biol. Biochem. 2023, 177, 108922. [Google Scholar] [CrossRef]
- Wang, Y.; Chen, P.; Wang, F.; Han, W.; Qiao, M.; Dong, W.; Hu, C.; Zhu, D.; Chu, H.; Zhu, Y. The ecological clusters of soil organisms drive the ecosystem multifunctionality under long-term fertilization. Environ. Int. 2022, 161, 107133. [Google Scholar] [CrossRef]
- Van Rijssel, S.Q.; Koorneef, G.J.; Veen, G.F.; Pulleman, M.M.; de Goede, R.G.M.; Comans, R.N.J.; van der Putten, W.H.; Mason-Jones, K. Conventional and organic farms with more intensive management have lower soil functionality. Science 2025, 388, 410–415. [Google Scholar] [CrossRef]
- Yang, Y.; Chai, Y.; Xie, H.; Zhang, L.; Zhang, Z.; Yang, X.; Hao, S.; Gai, J.; Chen, Y. Responses of soil microbial diversity, network complexity and multifunctionality to three land-use changes. Sci. Total Environ. 2023, 859, 160255. [Google Scholar] [CrossRef]
- Wang, Y.; Ji, H.; Chen, Y.; Wang, R.; Guo, S. Thirty-year dryland crop rotation improves soil multifunctionality and shifts soil fungal community. Plant Soil 2025, 507, 11–24. [Google Scholar] [CrossRef]
- Ngaba, M.J.Y.; Mgelwa, A.S.; Gurmesa, G.A.; Uwiragiye, Y.; Zhu, F.; Qiu, Q.; Fang, Y.; Hu, B.; Rennenberg, H. Meta-analysis unveils differential effects of agroforestry on soil properties in different zonobiomes. Plant Soil 2024, 496, 589–607. [Google Scholar] [CrossRef]
- Huang, C.; Fu, S.; Ma, X.; Ma, X.; Ren, X.; Tian, X.; Tong, Y.; Yuan, F.; Liu, H. Long-term intensive management reduced the soil quality of a Carya dabieshanensis forest. Sci. Rep. 2023, 13, 5058. [Google Scholar] [CrossRef]
- Mathieu, A.; Martin-Guay, M.O.; Rivest, D. Enhancement of agroecosystem multifunctionality by agroforestry: A global quantitative summary. Glob. Change Biol. 2025, 31, e70234. [Google Scholar] [CrossRef]
- Li, S.; Gong, S.; Hou, Y.; Li, X.; Wang, C. The impacts of agroforestry on soil multi-functionality depending on practices and duration. Sci. Total Environ. 2022, 847, 157438. [Google Scholar] [CrossRef]
- Wang, Z.; Zhou, M.; Liu, H.; Huang, C.; Ma, Y.; Ge, H.; Ge, X.; Fu, S. Pecan agroforestry systems improve soil quality by stimulating enzyme activity. PeerJ 2022, 9, 12663. [Google Scholar] [CrossRef]
- Li, X.; Ou, X.; Chen, D.; Wu, J. Rubber intercropped with Coffea liberica increases carbon and nitrogen stocks in soils in Xishuangbanna, China. Forests 2024, 16, 13. [Google Scholar] [CrossRef]
- Ma, Y.; Fu, S.; Zhang, X.; Zhao, K.; Chen, H.Y.H. Intercropping improves soil nutrient availability, soil enzyme activity and tea quantity and quality. Appl. Soil Ecol. 2017, 119, 171–178. [Google Scholar] [CrossRef]
- Xu, C.; Qian, Z.; Wang, B.; Yang, T.; Lin, Z.; Tian, D.; Ding, C.; Tang, L. Effects of poplar agroforestry systems on soil nutrient and enzyme activity in the coastal region of eastern China. J. Soils Sediments 2023, 23, 3108–3123. [Google Scholar] [CrossRef]
- Beillouin, D.; Ben-Ari, T.; Malézieux, E.; Seufert, V.; Makowski, D. Positive but variable effects of crop diversification on biodiversity and ecosystem services. Glob. Change Biol. 2021, 27, 4697–4710. [Google Scholar] [CrossRef] [PubMed]
- Yang, X.; Hu, H.; Yang, G.; Cui, Z.; Chen, L. Crop rotational diversity enhances soil microbiome network complexity and multifunctionality. Geoderma 2023, 436, 116562. [Google Scholar] [CrossRef]
- Li, X.; Ge, T.; Chen, Z.; Wang, S.; Ou, X.; Wu, Y.; Chen, H.; Wu, J. Enhancement of soil carbon and nitrogen stocks by abiotic and microbial pathways in three rubber-based agroforestry systems in Southwest China. Land Degrad. Dev. 2020, 31, 2507–2515. [Google Scholar] [CrossRef]
- Deng, P.; Fan, W.; Wang, H.; Ti, J.; Xu, X. Chinese Torreya agroforestry alters the rhizosphere soil bacterial communities and potential functions. Appl. Soil Ecol. 2022, 177, 104504. [Google Scholar] [CrossRef]
- Zhu, Y.; Lai, L.; Zhou, J.; Chen, Q.; Yue, Y.; Yang, G.; Du, H.; Zheng, Y. Divergent responses and roles of soil bacterial and fungal communities in shrub encroachment: A meta-analysis. Catena 2025, 254, 108926. [Google Scholar] [CrossRef]
- Tong, Y.; Wang, Z.; Gong, D.; Huang, C.; Ma, X.; Ma, X.; Yuan, F.; Fu, S.; Feng, C. Enhancing soil fertility and elevating pecan fruit quality through combined chemical and organic fertilization practices. Horticulturae 2023, 10, 25. [Google Scholar] [CrossRef]
- Huang, C.; Wang, Z.; Ren, X.; Ma, X.; Zhou, M.; Ge, X.; Liu, H.; Fu, S. Evaluation of soil quality in a composite pecan orchard agroforestry system based on the smallest Data Set. Sustainability 2022, 14, 10665. [Google Scholar] [CrossRef]
- Schad, P. World Reference Base for Soil Resources-Its fourth edition and its history. J. Plant Nutr. Soil Sci. 2023, 186, 151–163. [Google Scholar] [CrossRef]
- Callahan, B.J.; McMurdie, P.J.; Rosen, M.J.; Han, A.W.; Johnson, A.J.; Holmes, S.P. DADA2: High-resolution sample inference from Illumina amplicon data. Nat. Methods 2016, 13, 581–583. [Google Scholar] [CrossRef]
- Yang, L.; Barnard, R.; Kuzyakov, Y.; Tian, J. Bacterial communities drive the resistance of soil multifunctionality to land-use change in karst soils. Eur. J. Soil Biol. 2021, 10, 103313. [Google Scholar] [CrossRef]
- Liu, J.; Zhang, W.; Teng, C.; Pang, Z.; Peng, Y.; Qiu, J.; Lei, J.; Su, X.; Zhu, W.; Ding, C. Intercropping changed the soil microbial community composition but no significant effect on alpha diversity. Front. Microbiol. 2024, 15, 1370996. [Google Scholar] [CrossRef]
- Wang, H.; Cao, X.; Fan, W.; Deng, P.; Xu, X. Effects of intercropping systems of Phyllostachys edulis and Bletilla striata on soil bacterial community composition and function. Agroforest. Syst. 2023, 97, 617–630. [Google Scholar] [CrossRef]
- Mori, A.S.; Isbell, F.; Fujii, S.; Makoto, K.; Matsuoka, S.; Osono, T.; Casper, B. Low multifunctional redundancy of soil fungal diversity at multiple scales. Ecol. Lett. 2015, 19, 249–259. [Google Scholar] [CrossRef]
- Qu, Z.; Liu, B.; Ma, Y.; Sun, H. Differences in bacterial community structure and potential functions among Eucalyptus plantations with different ages and species of trees. Appl. Soil Ecol. 2020, 149, 103515. [Google Scholar] [CrossRef]
- You, Y.; Wang, L.; Liu, X.; Wang, X.; Jiang, L.; Ding, C.; Wang, W.; Zhang, D.; Zhao, X.; Lopes dos Santos, A. Interspecific plant interaction structures the microbiomes of poplar-soil interface to alter nutrient cycling and utilization. Microbiol. Spectr. 2024, 12, e03368-23. [Google Scholar] [CrossRef]
- Bian, F.; Zhong, Z.; Zhang, X.; Li, Q.; Huang, Z. Bamboo-based agroforestry changes phytoremediation efficiency by affecting soil properties in rhizosphere and non-rhizosphere in heavy metal-polluted soil (Cd/Zn/Cu). J. Soils Sediments 2022, 23, 368–378. [Google Scholar] [CrossRef]
- Xue, R.; Wang, C.; Zhao, L.; Cao, J.; Liu, M.; Zhang, D. Agricultural intensification weakens soil multifunctionality by reducing fungal diversity. Appl. Soil Ecol. 2023, 189, 104900. [Google Scholar] [CrossRef]
- Banerjee, S.; Walder, F.; Büchi, L.; Meyer, M.; Held, A.Y.; Gattinger, A.; Keller, T.; Charles, R.; van der Heijden, M.G.A. Agricultural intensification reduces microbial network complexity and the abundance of keystone taxa in roots. ISME J. 2019, 13, 1722–1736. [Google Scholar] [CrossRef]
- Manici, L.M.; Caputo, F.; Fornasier, F.; Paletto, A.; Ceotto, E.; De Meo, I. Ascomycota and Basidiomycota fungal phyla as indicators of land use efficiency for soil organic carbon accrual with woody plantations. Ecol. Indic. 2024, 160, 111796. [Google Scholar] [CrossRef]
- Li, Y.; Li, Y.; Chang, S.; Liang, X.; Qin, H.; Chen, J.; Xu, Q. Linking soil fungal community structure and function to soil organic carbon chemical composition in intensively managed subtropical bamboo forests. Soil Biol. Biochem. 2017, 107, 19–31. [Google Scholar] [CrossRef]
- Guo, Z.; Han, J.; Li, J.; Xu, Y.; Wang, X.; Li, Y. Effects of long-term fertilization on soil organic carbon mineralization and microbial community structure. PLoS ONE 2019, 14, e0211163, Erratum in PLoS ONE 2019, 14, e0216006. [Google Scholar]
- Fahad, S.; Chavan, S.B.; Chichaghare, A.R.; Uthappa, A.R.; Kumar, M.; Kakade, V.; Pradhan, A.; Jinger, D.; Rawale, G.; Yadav, D.K.; et al. Agroforestry systems for soil health improvement and maintenance. Sustainability 2022, 14, 14877. [Google Scholar] [CrossRef]
- Wang, C.; Guo, L.; Shen, R. Rare microbial communities drive ecosystem multifunctionality in acidic soils of southern China. Appl. Soil Ecol. 2023, 189, 104895. [Google Scholar] [CrossRef]
- Li, G.; Chen, X.; Qin, W.; Chen, J.; Leng, K.; Sun, L.; Liu, M.; Wu, M.; Fan, J.; Xu, C.; et al. Characteristics of the microbial communities regulate soil multi-functionality under different cover crop amendments in Ultisol. J. Integr. Agric. 2024, 23, 2099–2111. [Google Scholar] [CrossRef]
- Zhang, A.; Su, F.; Qin, X.; Yu, H.; Zhong, Y.; Ji, X.; He, S.; Zong, Y.; An, N.; Li, L.; et al. The effect of intercropping with Pandanus amaryllifolius Roxb. on rhizospheric microorganism of Areca catechu L. iScience 2024, 27, 111428. [Google Scholar] [CrossRef]
- Chen, X.; Chen, J.; Cao, J. Intercropping increases soil N-targeting enzyme activities: A meta-analysis. Rhizosphere 2023, 26, 100686. [Google Scholar] [CrossRef]
- Yang, Z.; Hu, J.; Chen, X.; Zhang, Y.; Wang, Y.; Peng, J.; Fei, J.; Luo, G.; Liao, C. Intercropping-driven effects on soil organic carbon mineralization and its temperature sensitivity are associated with soil C-N-P stoichiometry and carbon-acquiring microorganisms and enzymes. Geoderma 2025, 460, 117411. [Google Scholar] [CrossRef]
- Wang, R.; Liu, C.; Bie, X.; Dai, Y.; Feng, X.; Wang, R.; Wang, M.; Xu, S.; Chen, Y. Pecan-medicinal crops intercropping improved soil fertility and promoted interactions between soil microorganisms and metabolites. Chem. Biol. Technol. Agric. 2024, 11, 162. [Google Scholar] [CrossRef]







| Functions | Functional Factor |
|---|---|
| Environmental regulation | MC, BD, TPO, EC, pH |
| Nutrient supply | AP, AK, NH4+-N, NO3−-N |
| Nutrient storage | TC, TN, TP, TK |
| Nutrient cycling | UE, AKP, CBH, NAG, BG, PPO, POD |
Disclaimer/Publisher’s Note: The statements, opinions and data contained in all publications are solely those of the individual author(s) and contributor(s) and not of MDPI and/or the editor(s). MDPI and/or the editor(s) disclaim responsibility for any injury to people or property resulting from any ideas, methods, instructions or products referred to in the content. |
© 2025 by the authors. Licensee MDPI, Basel, Switzerland. This article is an open access article distributed under the terms and conditions of the Creative Commons Attribution (CC BY) license (https://creativecommons.org/licenses/by/4.0/).
Share and Cite
Huang, C.; Zhou, M.; Haider, F.U.; Wu, L.; Xiong, J.; Fu, S.; Wang, Z.; Yang, F.; Li, X. Driving Effects of Soil Microbial Diversity on Soil Multifunctionality in Carya illinoinensis Agroforestry Systems. Microorganisms 2025, 13, 2425. https://doi.org/10.3390/microorganisms13112425
Huang C, Zhou M, Haider FU, Wu L, Xiong J, Fu S, Wang Z, Yang F, Li X. Driving Effects of Soil Microbial Diversity on Soil Multifunctionality in Carya illinoinensis Agroforestry Systems. Microorganisms. 2025; 13(11):2425. https://doi.org/10.3390/microorganisms13112425
Chicago/Turabian StyleHuang, Cheng, Mengyu Zhou, Fasih Ullah Haider, Lin Wu, Jia Xiong, Songling Fu, Zhaocheng Wang, Fan Yang, and Xu Li. 2025. "Driving Effects of Soil Microbial Diversity on Soil Multifunctionality in Carya illinoinensis Agroforestry Systems" Microorganisms 13, no. 11: 2425. https://doi.org/10.3390/microorganisms13112425
APA StyleHuang, C., Zhou, M., Haider, F. U., Wu, L., Xiong, J., Fu, S., Wang, Z., Yang, F., & Li, X. (2025). Driving Effects of Soil Microbial Diversity on Soil Multifunctionality in Carya illinoinensis Agroforestry Systems. Microorganisms, 13(11), 2425. https://doi.org/10.3390/microorganisms13112425

